Sign in to use this feature.

Years

Between: -

Subjects

remove_circle_outline
remove_circle_outline
remove_circle_outline
remove_circle_outline
remove_circle_outline
remove_circle_outline
remove_circle_outline
remove_circle_outline
remove_circle_outline

Journals

Article Types

Countries / Regions

Search Results (123)

Search Parameters:
Keywords = the proportion of aggregates–cement and water–cement

Order results
Result details
Results per page
Select all
Export citation of selected articles as:
16 pages, 4616 KB  
Article
Design of the Pore Structure of Sponge-Structured Cement Pastes with Both Absorption and Storage Functions
by Tong Li, Guojun Du, Hefang Zhang, Dongli Wang, Xiangwang Tao and Jinqiu Zhang
Materials 2025, 18(24), 5537; https://doi.org/10.3390/ma18245537 - 10 Dec 2025
Viewed by 232
Abstract
This study uses fly ash and slag as the main raw materials to replace 80% of the cement, and prepares a sponge-structured cement paste with storage and absorption functions. This paste is then used to bind the coarse aggregate of permeable concrete to [...] Read more.
This study uses fly ash and slag as the main raw materials to replace 80% of the cement, and prepares a sponge-structured cement paste with storage and absorption functions. This paste is then used to bind the coarse aggregate of permeable concrete to improve the water absorption and storage performance of the permeable concrete. This research examined the influence of mineral admixture ratios on mechanical strength, capillary absorption and storage capacity, and analyzed the formation mechanisms of microporous structure. Sponge structure cement stone was prepared with a cementitious material ratio of 70% grade II fly ash, 10% slag and 20% cement. The findings indicate an optimal mix proportion that provides enhanced compressive strength, capillary water absorption, and volumetric water storage capacity. Compared with standard curing, water-bath curing was found to be unfavorable for enhancing the water absorption performance of sponge-structured cement paste; therefore, standard curing is recommended for its preparation. The pore structure of sponge-structured cement paste was analyzed using the Bruker–Emmett–Taylor (BET) method, scanning electron microscopy (SEM), Image-Pro Plus (IPP) image processing technology, and mercury intrusion porosimetry (MIP). Results indicated that the volume fraction of capillary pores in the 100–1000 nm range was positively correlated with water absorption and storage performance. The exponential relationship model between the content of grade II fly ash and the capillary pore content of sponge-structured cement stone was determined. Full article
(This article belongs to the Section Construction and Building Materials)
Show Figures

Figure 1

26 pages, 8789 KB  
Article
Study on Preparation and Properties of Phosphogypsum-Based Lightweight Thermal Insulation Materials
by Yunpeng Chu, Tianyong Jiang, Han Huang, Gangxin Yi and Binyang Huang
Materials 2025, 18(24), 5476; https://doi.org/10.3390/ma18245476 - 5 Dec 2025
Viewed by 328
Abstract
At present, phosphogypsum, as an industrial by-product, is a solid waste in phosphoric acid production, and its accumulation has caused serious environmental pollution. Furthermore, due to the insufficient insulation properties of traditional wall materials, the issue of a rising proportion of building energy [...] Read more.
At present, phosphogypsum, as an industrial by-product, is a solid waste in phosphoric acid production, and its accumulation has caused serious environmental pollution. Furthermore, due to the insufficient insulation properties of traditional wall materials, the issue of a rising proportion of building energy consumption in total social energy consumption has become increasingly pressing. The study investigated vitrified beads as a light aggregate and phosphogypsum, mineral powder, and quicklime as an inorganic composite cementitious system to prepare the phosphogypsum-based lightweight thermal insulation material. The effect mechanism of the initial material ratio on the mechanical properties and micro-morphology of insulation materials was studied by macroscale mechanical property testing, X-ray diffraction, and scanning electron microscopy. Meanwhile, in order to meet the performance indexes specified in relevant standards, insulation materials were modified by adding sulfate aluminate cement, basalt fibers, and a waterproof agent to improve the strength, toughness, and water resistance. Based on the single-factor experimental design, the optimal dosage of various admixtures was obtained. The results indicated that the optimal properties of the sample were achieved when the binder–bead ratio was 1:4, the water–binder ratio was 1.6, the dosage of hydroxypropyl methylcellulose was 0.1%, and the solid content of waterborne acrylic emulsion was 24%. The optimal dosages of cement and fibers were 8% and 0.9%, respectively. The cement hydration products and gypsum crystals lapped through each other, filling the pores in the matrix and increasing the strength of the sample. In addition, the fibers could form a disordered network structure inside the matrix, disperse external force, weaken the stress concentration at the tip of internal cracks, and significantly improve the toughness of the modified sample. By incorporating 2.0% paraffin emulsion in the mortar and spraying 5 dilutions of sodium methyl silicate on the external surface, dense protective layers were formed both inside and outside the modified sample. The water absorption rate reduced from 30.27% to 23.30%, and the water resistance was increased to satisfy the specified requirement for the insulation material. Full article
(This article belongs to the Section Construction and Building Materials)
Show Figures

Figure 1

17 pages, 2500 KB  
Systematic Review
Recycled Concrete Aggregate in Self-Consolidating Concrete: A Systematic Review and Meta-Analysis of Mechanical Properties, RCA Pre-Treatment and Durability Behaviour
by Ariana C. Morales Rapallo and Kerstin Kuchta
Recycling 2025, 10(6), 214; https://doi.org/10.3390/recycling10060214 - 26 Nov 2025
Viewed by 553
Abstract
This systematic review and meta-analysis per PRISMA 2020 addresses the use of recycled concrete aggregates as a replacement for aggregates in self-consolidating concrete for structural and non-structural use. It provides a comprehensive evaluation of the available research and offers a synthesised overview of [...] Read more.
This systematic review and meta-analysis per PRISMA 2020 addresses the use of recycled concrete aggregates as a replacement for aggregates in self-consolidating concrete for structural and non-structural use. It provides a comprehensive evaluation of the available research and offers a synthesised overview of the potential use of recycled concrete aggregate in self-consolidating concrete beyond standardised replacement levels. A total of 256 research papers were obtained from different databases, and after a detailed content review, only 24 unique experimental research studies fulfilled the review criteria. Data were extracted on recycled concrete aggregate source, pre-treatment, replacement ratio, mix proportions, fresh properties, strength, stiffness, and durability. It was observed across all studies that the recycled concrete aggregates originated from precast concrete rejected elements with a low water-to-cement ratio, producing an equal or stronger concrete than the reference concrete in the studies; however, none of the studies included in this research resulted in a higher modulus of elasticity than the corresponding reference concrete. Additionally, moderate aggregate replacement (20–50%) preserved the workability, whereas high replacements (75–100%) affected fresh concrete properties as well as increased shrinkage and creep. The inclusion of fine recycled concrete aggregate in addition to coarse recycled concrete aggregate has a larger effect on lowering compressive strength and stiffness in the concrete. Overall, high-quality coarse recycled concrete aggregate (precast rejects or screened demolition waste)—an aggregate replacement level of around 50%—facilitates the production of sustainable self-consolidating concrete, whereas full replacement requires aggregate pre-treatment and a carefully optimised mix design. Full article
Show Figures

Figure 1

24 pages, 3095 KB  
Article
Sustainable Stabilization of Expansive Soils Using Metakaolin and Cement: Evaluation Through Soil–Water Characteristic Curve Analysis
by Grzegorz Kacprzak, Muluager Bewket Demlew, Semachew Molla Kassa and Betelhem Zewdu Wubineh
Sustainability 2025, 17(22), 10249; https://doi.org/10.3390/su172210249 - 16 Nov 2025
Viewed by 641
Abstract
The study examines the use of environmentally friendly materials, such as metakaolin and cement, in various proportions to stabilize expansive plastic soils and assess their effects on the soil–water characteristic curve (SWCC). Metakaolin, a supplementary cementitious material with a lower carbon footprint than [...] Read more.
The study examines the use of environmentally friendly materials, such as metakaolin and cement, in various proportions to stabilize expansive plastic soils and assess their effects on the soil–water characteristic curve (SWCC). Metakaolin, a supplementary cementitious material with a lower carbon footprint than ordinary cement, enhances soil behavior through pozzolanic reactions. The incorporation of metakaolin and cement reduced the fitting parameter “a,” linked to the air-entry value (AEV), indicating that treated soils desaturate at lower suction values due to improved aggregate formation and pore structure. With increasing stabilizer content, the SWCC shifted toward lower suction values, reflecting improved hydraulic performance and reduced moisture sensitivity. The fitting parameter “n,” representing desaturation capacity and pore size distribution, increased with stabilizer content, suggesting a more uniform and durable soil structure. Overall, using metakaolin and cement enhances expansive soils’ structural and hydraulic behavior while conserving cement and reducing CO2 emissions. Machine learning models, Random Forest (RF), Decision Tree (DT), and Artificial Neural Network (ANN), were developed to predict SWCC. The RF model achieved the best accuracy (R2 = 0.9063, adjusted R2 = 0.8631), demonstrating the reliability of ML in evaluating green soil stabilization methods. Full article
Show Figures

Figure 1

26 pages, 12277 KB  
Article
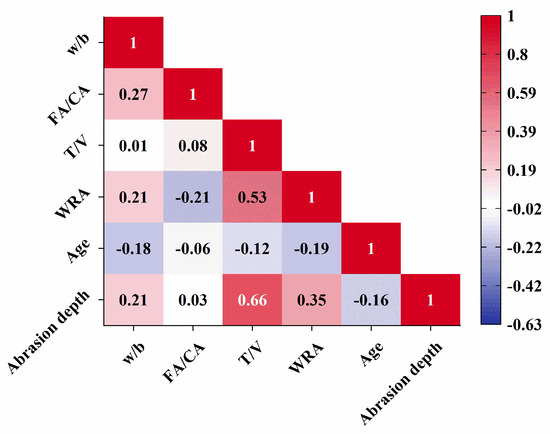
Prediction of Concrete Abrasion Depth in Hydraulic Structures Using an Interpretable Hybrid Ensemble Model Based on Meta-Heuristic Algorithms
by Changhai He, Xiaodong Liu, Ao Xu, Qingfu Li, Xiang Wang and Xiyu Ma
Buildings 2025, 15(22), 4086; https://doi.org/10.3390/buildings15224086 - 13 Nov 2025
Viewed by 249
Abstract
The concrete protective layer in hydraulic tunnels is prone to abrasion by high-velocity sand-laden water, reducing structural durability. Accurate prediction of abrasion depth is key to rational hydraulic structure design. Existing studies have limitations: classical empirical models consider only a single factor, while [...] Read more.
The concrete protective layer in hydraulic tunnels is prone to abrasion by high-velocity sand-laden water, reducing structural durability. Accurate prediction of abrasion depth is key to rational hydraulic structure design. Existing studies have limitations: classical empirical models consider only a single factor, while early machine learning models fail to cover two core abrasion mechanisms (friction and impact) and lack meta-heuristic algorithm-based parameter optimization, leading to insufficient generalization and stability. This study aims to (1) establish a multi-source database with 690 cases (463 friction-dominated, 227 impact-dominated) covering multiple test standards (ASTM C944, ASTM C779, BIS: 1237-1980, ASTM C1138); (2) optimize hyperparameters of LightGBM, XGBoost, and CatBoost using Genghis Khan Shark Optimizer (GKSO) to build a hybrid ensemble model; (3) verify model performance and identify key factors via SHAP analysis. After preprocessing, input features were simplified to five: water–cement ratio, FA/CA (fine aggregate/coarse aggregate), age, T/V (test duration/velocity), and WRA content. Results show that GKSO-CatBoost performed best (test set R2 = 0.982, RMSE = 0.1231 mm). SHAP analysis identified T/V and the water–cement ratio as key influencing features, providing clear directions for optimizing concrete mix proportions under different standard scenarios. This study provides a new method for hydraulic concrete abrasion prediction and a scientific basis for durability design oriented to specific test standards. Full article
(This article belongs to the Section Construction Management, and Computers & Digitization)
Show Figures

Figure 1

25 pages, 9622 KB  
Article
Prediction of Compressive Strength of Concrete Using Explainable Machine Learning Models
by Hainan Fu, Xiong Zhou, Pengfei Xu and Dandan Sun
Materials 2025, 18(21), 5009; https://doi.org/10.3390/ma18215009 - 3 Nov 2025
Viewed by 1369
Abstract
Predicting the compressive strength of concrete is essential for engineering design and quality assurance. Traditional empirical formulas often fall short in capturing complex multi-factor interactions and nonlinear relationships. This study employs an interpretable machine learning framework using Gradient Boosting Trees, Random Forest, and [...] Read more.
Predicting the compressive strength of concrete is essential for engineering design and quality assurance. Traditional empirical formulas often fall short in capturing complex multi-factor interactions and nonlinear relationships. This study employs an interpretable machine learning framework using Gradient Boosting Trees, Random Forest, and Backpropagation Neural Networks to predict concrete compressive strength. Bayesian optimization was employed for hyperparameter tuning, and SHAP analysis was used to quantify feature contributions. Based on 223 sets of compression test data, this study systematically compared the predictive performance of the five models. Results demonstrate that the CatBoost model achieved the best results, R2 of 0.9388, RMSE of 2.7131 MPa, and MAPE of 5.45%, outperforming other models. SHAP analysis indicated that cement content had the greatest impact on strength, followed by water content, water reducer, fly ash, and aggregates, with notable interactive effects between factors. Compared to the empirical formula in the current industry standard Specification for Mix Proportion Design of Ordinary Concrete, the CatBoost model showed higher accuracy under specific raw material and curing conditions, with MAPE values of 2.94% and 5.96%, respectively. The optimized CatBoost model, combined with interpretability analysis, offers a data-driven tool for concrete mix optimization, balancing high precision with practical engineering applicability. Full article
(This article belongs to the Section Construction and Building Materials)
Show Figures

Figure 1

27 pages, 7061 KB  
Article
Evaluation of the Influence of Different Color Glass on Cementitious Mortar Properties
by Leonardo Caniato Martioli, Maria Eduarda Almeida Gomes, Cézar Augusto Casagrande, Marcelo Henrique F. Medeiros and Lidiane Fernanda Jochem
Buildings 2025, 15(21), 3925; https://doi.org/10.3390/buildings15213925 - 30 Oct 2025
Viewed by 435
Abstract
The growing generation of solid waste, driven by urbanization and industrialization, represents one of today’s greatest environmental challenges. The construction industry can play a key role in this scenario by incorporating recycling and waste reuse practices. Glass, a fully recyclable material, is still [...] Read more.
The growing generation of solid waste, driven by urbanization and industrialization, represents one of today’s greatest environmental challenges. The construction industry can play a key role in this scenario by incorporating recycling and waste reuse practices. Glass, a fully recyclable material, is still largely disposed of in landfills. A promising alternative is the use of ground glass in cementitious materials, partially or completely replacing cement or aggregates. Thus, in this paper, the effect of partially replacing Portland cement with ground glass of different colors including green, blue, transparent, amber, and colorful (all colors used mixed) in proportions of 15 and 35% in mortars was evaluated. The ground glasses were characterized by laser granulometry and chemical analysis. The properties of the mortars were then evaluated in the fresh and hardened state (apparent specific gravity, mechanical strength, water absorption, and open porosity). Regarding workability, the highest improvement observed was 6.8% for the 35% colored glass series compared to the reference series. In terms of entrapped air, there was an increase of up to 18.8% in the 35% green glass series. At 28 days of hydration, the 15% colored glass series obtained a 33% increase in flexural strength compared to the REF series. In the microstructure, it was found that a 15% glass presence was sufficient to reduce the portlandite index from 16.04 to 13.53, while a 35% glass presence was sufficient to reduce it to 7.51% portlandite, equivalent to a 54% reduction, suggesting significant potential for the reaction of the finer glass fractions with portlandite. This study suggests that the use of glass waste in a cementitious matrix can provide an environmentally appropriate alternative for recycling this material, contributing to a sustainable application and increased recycling rates of glass waste. Full article
Show Figures

Figure 1

32 pages, 18102 KB  
Article
Sustainable Concrete Using Porcelain and Clay Brick Waste as Partial Sand Replacement: Evaluation of Mechanical and Durability Properties
by Mustafa Thaer Hasan, Alaa A. Abdul-Hamead and Farhad M. Othman
Constr. Mater. 2025, 5(4), 78; https://doi.org/10.3390/constrmater5040078 - 29 Oct 2025
Viewed by 590
Abstract
The increasing demand for sustainable construction materials has prompted the recycling of construction and demolition waste in concrete manufacturing. This study investigates the feasibility of utilizing porcelain and brick waste as partial substitutes for natural sand in concrete with the objective of improving [...] Read more.
The increasing demand for sustainable construction materials has prompted the recycling of construction and demolition waste in concrete manufacturing. This study investigates the feasibility of utilizing porcelain and brick waste as partial substitutes for natural sand in concrete with the objective of improving sustainability and preserving mechanical and durability characteristics. The experimental program was conducted in three consecutive phases. During the initial phase, natural sand was partially substituted with porcelain waste powder (PWP) and brick waste powder (BWP) in proportions of 25%, 50%, and 75% of the weight of the fine aggregate. During the second phase, polypropylene fibers were mixed at a dosage of 0.5% by volume fraction to enhance tensile and flexural properties. During the third phase, zinc oxide nanoparticles (ZnO-NPs) were utilized as a partial substitute for cement at concentrations of 0.5% and 1% to improve microstructure and strength progression. Concrete samples were tested at curing durations of 7, 28, and 91 days. The assessed qualities encompassed workability, density, water absorption, porosity, compressive strength, flexural strength, and splitting tensile strength. Microstructural characterization was conducted utilizing X-ray diffraction (XRD), scanning electron microscopy (SEM), and energy-dispersive X-ray spectroscopy (EDS). The findings indicated that porcelain waste powder markedly surpassed brick waste powder in all mechanical and durability-related characteristics, particularly at 25% and 50% sand replacement ratios. The integration of polypropylene fibers enhanced fracture resistance and ductility. Moreover, the incorporation of zinc oxide nanoparticles improved hydration, optimized the pore structure, and resulted in significant enhancements in compressive and tensile strength throughout prolonged curing durations. The best results were obtained with a mix of 50% porcelain sand aggregate, 1% zinc oxide nanoparticles as cement replacement, and 0.5% polypropylene fibers, for which the improvements in compressive strength, flexural strength, and splitting tensile strength were 39.5%, 46.2%, and 60%, respectively, at 28 days. The results confirm the feasibility of using porcelain and brick waste as sand replacements in concrete, as well as polypropylene fiber-reinforced concrete and polypropylene fiber-reinforced concrete mixed with zinc oxide nanoparticles as a sustainable option for construction purposes. Full article
Show Figures

Figure 1

17 pages, 4258 KB  
Article
Research on the Mechanical Properties and Microstructure of Fiber Geopolymer Mortar
by Zhiqiang Xing, Zekang Li, Peng Wang, Chao Li and Zeming Song
Coatings 2025, 15(11), 1239; https://doi.org/10.3390/coatings15111239 - 24 Oct 2025
Cited by 1 | Viewed by 568
Abstract
It is known that geopolymer mortar exhibits high compressive strength but relatively low flexural strength, high brittleness, and poor toughness. Engineering practices for cement-based materials have demonstrated that incorporating fibers can effectively prevent the expansion of existing cracks and the formation of new [...] Read more.
It is known that geopolymer mortar exhibits high compressive strength but relatively low flexural strength, high brittleness, and poor toughness. Engineering practices for cement-based materials have demonstrated that incorporating fibers can effectively prevent the expansion of existing cracks and the formation of new ones in the materials. Adding polypropylene fibers to geopolymer mortar can, on the one hand, improve the crack resistance of the mortar, and on the other hand, enhance the impact resistance of the geopolymer mortar. In this paper, slag, metakaolin, and fly ash are utilized as silico-aluminous raw materials, standard sand is employed as aggregate, and a mixture of water glass and NaOH in a specific proportion is used as the alkali activator to prepare geopolymer mortar. Polypropylene fibers are incorporated to improve its mechanical properties. The effects of fiber length and mixing method on the mechanical properties of geopolymer mortar are studied to determine the optimal fiber length and mixing method. The mechanism of the mechanical properties of fiber-reinforced geopolymer mortar is analyzed by combining SEM. The research results indicate that the geopolymer mortar with 15 mm single-doped fibers exhibits the best flexural strength and toughness. In contrast, the geopolymer mortar with 12 mm single-doped fibers demonstrates the best compressive strength. The geopolymer with 9 mm and 18 mm hybrid-doped fibers has the best mechanical properties and is superior to the geopolymer mortar with single-doped fibers. Full article
(This article belongs to the Section Environmental Aspects in Colloid and Interface Science)
Show Figures

Figure 1

20 pages, 4170 KB  
Article
Optimized Gradient Boosting Framework for Data-Driven Prediction of Concrete Compressive Strength
by Dawei Sun, Ping Zheng, Jun Zhang and Liming Cheng
Buildings 2025, 15(20), 3761; https://doi.org/10.3390/buildings15203761 - 18 Oct 2025
Viewed by 476
Abstract
Given the significant impact of concrete’s compressive strength on structural service life, the development of accurate and efficient prediction methods is critically important. A hybrid machine learning modeling method based on the Whale Optimization Algorithm (WOA)-optimized XGBoost algorithm is proposed. Using 1030 sets [...] Read more.
Given the significant impact of concrete’s compressive strength on structural service life, the development of accurate and efficient prediction methods is critically important. A hybrid machine learning modeling method based on the Whale Optimization Algorithm (WOA)-optimized XGBoost algorithm is proposed. Using 1030 sets of concrete mix proportion data covering eight key parameters—cement, blast furnace slag, fly ash, water, superplasticizer, coarse aggregate, fine aggregate, and curing age—the predictive performance of four models (linear regression, random forest, XGBoost, and WOA-XGBoost) was systematically compared. The results demonstrate that the WOA-XGBoost model achieved the highest goodness of fit (R2 = 0.9208, MSE = 4.5546), significantly outperforming the other models, and exhibited excellent generalization capability and robustness. Feature importance and SHAP analysis further revealed that curing age, cement content, and water content are the key variables affecting compressive strength, with blast furnace slag showing a significant marginal diminishing effect. This study provides a high-precision data-driven tool for optimizing mix proportions and predicting the strength of complex-component concrete, offering significant application value in promoting the resource utilization of industrial waste and advancing the development of green concrete. Full article
(This article belongs to the Section Building Materials, and Repair & Renovation)
Show Figures

Figure 1

25 pages, 8960 KB  
Article
Analysis on Durability of Bentonite Slurry–Steel Slag Foam Concrete Under Wet–Dry Cycles
by Guosheng Xiang, Feiyang Shao, Hongri Zhang, Yunze Bai, Yuan Fang, Youjun Li, Ling Li and Yang Ming
Buildings 2025, 15(19), 3550; https://doi.org/10.3390/buildings15193550 - 2 Oct 2025
Viewed by 709
Abstract
Wet–dry cycles are a key factor aggravating the durability degradation of foam concrete. To address this issue, this study prepared bentonite slurry–steel slag foam concrete (with steel slag and cement as main raw materials, and bentonite slurry as admixture) using the physical foaming [...] Read more.
Wet–dry cycles are a key factor aggravating the durability degradation of foam concrete. To address this issue, this study prepared bentonite slurry–steel slag foam concrete (with steel slag and cement as main raw materials, and bentonite slurry as admixture) using the physical foaming method. Based on 7-day unconfined compressive strength tests with different mix proportions, the optimal mix proportion was determined as follows: mass ratio of bentonite to water 1:15, steel slag content 10%, and mass fraction of bentonite slurry 5%. Based on this optimal mix proportion, dry–wet cycle tests were carried out in both water and salt solution environments to systematically analyze the improvement effect of steel slag and bentonite slurry on the durability of foam concrete. The results show the following: steel slag can act as fine aggregate to play a skeleton role; after fully mixing with cement paste, it wraps the outer wall of foam, which not only reduces foam breakage but also inhibits the formation of large pores inside the specimen; bentonite slurry can densify the interface transition zone, improve the toughness of foam concrete, and inhibit the initiation and propagation of matrix cracks during the dry–wet cycle process; the composite addition of the two can significantly enhance the water erosion resistance and salt solution erosion resistance of foam concrete. The dry–wet cycle in the salt solution environment causes more severe erosion damage to foam concrete. The main reason is that, after chloride ions invade the cement matrix, they erode hydration products and generate expansive substances, thereby aggravating the matrix damage. Scanning Electron Microscopy (SEM) analysis shows that, whether in water environment or salt solution environment, the fractal dimension of foam concrete decreased slightly with an increasing number of wet–dry cycle times. Based on fractal theory, this study established a compressive strength–porosity prediction model and a dense concrete compressive strength–dry–wet cycle times prediction model, and both models were validated against experimental data from other researchers. The research results can provide technical support for the development of durable foam concrete in harsh environments and the high-value utilization of steel slag solid waste, and are applicable to civil engineering lightweight porous material application scenarios requiring resistance to dry–wet cycle erosion, such as wall bodies and subgrade filling. Full article
(This article belongs to the Section Building Structures)
Show Figures

Figure 1

15 pages, 694 KB  
Article
Mechanical Performance and Durability of Concretes with Partial Replacement of Natural Aggregates by Construction and Demolition Waste
by Thamires Alves da Silveira, Rafaella dos Passos Nörnberg, Marcelo Subtil Santi, Renata Rabassa Morales, Alessandra Buss Tessaro, Hebert Luis Rosseto, Rafael de Avila Delucis and Guilherme Hoehr Trindade
Waste 2025, 3(4), 32; https://doi.org/10.3390/waste3040032 - 30 Sep 2025
Viewed by 651
Abstract
This study investigated the mechanical performance and durability of concretes produced with varying proportions of recycled coarse aggregate from construction and demolition waste (CDW), ranging from 0% to 100% replacement of natural coarse aggregate, using recycled aggregates derived from crushed concrete and mortar [...] Read more.
This study investigated the mechanical performance and durability of concretes produced with varying proportions of recycled coarse aggregate from construction and demolition waste (CDW), ranging from 0% to 100% replacement of natural coarse aggregate, using recycled aggregates derived from crushed concrete and mortar debris, characterized by lower density and high water absorption (~9%) compared to natural aggregates. A key contribution of this research lies in the inclusion of intermediate replacement levels (20%, 25%, 45%, 50%, and 65%), which are less explored in the literature and allow a more refined identification of performance thresholds. Fresh-state parameters (slump), axial compressive strength (7 and 28 days), total immersion water absorption, sorptivity, and chloride ion penetration depth (after 90 days of immersion in a 3.5% NaCl solution) were evaluated. The results indicate that, up to 50% CDW content, the concrete maintains slump (≥94 mm), characteristic strength (≥37.2 MPa at 28 days), and chloride penetration (≤14.1 mm) within the limits for moderate exposure conditions, in accordance with ABNT: NBR 6118. Water absorption doubled from 4.5% (0% CDW) to 9.5% (100% CDW), reflecting the higher porosity and adhered mortar on the recycled aggregate, which necessitates adjustments to the water–cement ratio and SSD pre-conditioning to preserve workability and minimize sorptivity. Concretes with more than 65% CDW exhibited chloride penetration depths exceeding 15 mm, potentially compromising durability without additional mitigation. The judicious incorporation of CDW, combined with optimized mix design practices and the use of supplementary cementitious materials (SCMs), demonstrates technical viability for reducing environmental impacts without significantly impairing the structural performance or service life of the concrete. Full article
(This article belongs to the Special Issue Use of Waste Materials in Construction Industry)
Show Figures

Graphical abstract

19 pages, 2295 KB  
Article
Effect of Winter Cropping Forage on Soil Aggregate Distribution and Stability
by Yao Xiang, Chuting Zhang, Mengyan Cao, Shuangqi Jiang, Chuntao He and Guorong Xin
Agriculture 2025, 15(19), 2039; https://doi.org/10.3390/agriculture15192039 - 29 Sep 2025
Viewed by 540
Abstract
Soil structure is crucial for maintaining soil health and can be improved through winter cropping. This study evaluated the effects of winter cropping Italian ryegrass (WI), rye (WR), oat (WO), and winter fallow (CK) on soil aggregate structure and explored the role of [...] Read more.
Soil structure is crucial for maintaining soil health and can be improved through winter cropping. This study evaluated the effects of winter cropping Italian ryegrass (WI), rye (WR), oat (WO), and winter fallow (CK) on soil aggregate structure and explored the role of soil-cementing materials and arbuscular mycorrhizal fungi (AMF) communities in regulating soil aggregate distribution and stability. Compared to CK, the WI and WR treatments increased the proportion of water-stable large macroaggregates (>2 mm diameter) by 45.7% and 41.5%, respectively. Both WI and WR treatments enhanced the mean weight diameter and geometric mean diameter of soil aggregates, while soil porosity increased by 15.7% and 21.7%, respectively. The contents of amorphous iron oxide, humic acid, and fulvic acid were significantly higher in the WI and WR treatments. The WR treatment improved the Shannon index of AMF communities by 14.6%, and the relative abundances of Claroideoglomus increased by 55.3%, 51.3%, and 43.5% in the WI, WR, and WO treatments, compared to CK, respectively. Dominant AMF genera had a substantial impact on soil aggregate distribution. The partial least squares path model indicated that distinct AMF communities contributed to variations in soil aggregate distribution following winter cropping forages. Both Italian ryegrass and rye showed the greatest potential for enhancing soil structure and are recommended for winter cropping in Southern China. These findings suggest that winter cropping forages can improve soil aggregate structure primarily by enhancing AMF communities, providing a promising strategy for improving soil health. Full article
(This article belongs to the Section Agricultural Soils)
Show Figures

Graphical abstract

18 pages, 5708 KB  
Article
Investigation on Similitude Materials with Controlled Strength and Permeability for Physical Model Tests
by Yao Rong, Yangchen Wang, Yitian Yu, Yang Sun and Jingliang Dong
Appl. Sci. 2025, 15(18), 10278; https://doi.org/10.3390/app151810278 - 22 Sep 2025
Viewed by 542
Abstract
To meet the demand for simulative materials exhibiting suitable hydraulic characteristics in geomechanical model tests, this research developed a type of simulative material using iron powder, quartz sand, and barite powder as aggregates, white cement as binder, and silicone oil as additive. An [...] Read more.
To meet the demand for simulative materials exhibiting suitable hydraulic characteristics in geomechanical model tests, this research developed a type of simulative material using iron powder, quartz sand, and barite powder as aggregates, white cement as binder, and silicone oil as additive. An orthogonal experimental design L16(44) was employed to prepare 16 distinct mix proportions. Advanced statistical methods, including range analysis, residual analysis, Pearson correlation analysis, and multiple regression performed with SPSS 27.0.1, were applied to analyze the influence of four factors—aggregate-to-cement ratio (A), water–cement ratio (B), silicone oil content (C), and moisture content (D)—on physical and mechanical parameters such as density, uniaxial compressive strength, elastic modulus, angle of internal friction, and permeability coefficient. Range analysis results indicate that the aggregate-to-cement ratio serves as the primary controlling factor for density and elastic modulus; moisture content exerts the most significant effect on compressive strength and permeability; while the water–cement ratio is the dominant factor influencing the internal friction angle. Empirical formulas were established through multiple regression to quantitatively correlate mix proportions with material properties. The resulting similitude materials cover a wide range of mechanical and hydraulic parameters, satisfying the requirements of large-scale physical modeling with high similitude ratios. The proposed equations allow efficient inverse design of mixture ratios based on target properties, thereby supporting the rapid preparation of simulative materials for advanced model testing. Full article
Show Figures

Figure 1

21 pages, 3305 KB  
Article
A Mix-Design Method for the Specific Surface Area of Eco-Concrete Based on Statistical Analysis
by Guofa Dong, Jiale Zhang, Abdolhossein Naghizadeh, Chuangzhou Wu, Zhen Zhang and Xinyu Zhan
Sustainability 2025, 17(17), 7932; https://doi.org/10.3390/su17177932 - 3 Sep 2025
Viewed by 791
Abstract
Ecological concrete designed by empirical method does not consider the mesoscopic influence of aggregates, resulting in problems such as low strength, excessive porosity, and poor stability with different gradations, which severely restricts the development and application of ecological concrete. To achieve the refined [...] Read more.
Ecological concrete designed by empirical method does not consider the mesoscopic influence of aggregates, resulting in problems such as low strength, excessive porosity, and poor stability with different gradations, which severely restricts the development and application of ecological concrete. To achieve the refined design of ecological concrete, a mesoscopic specific surface area design method based on statistical analysis is proposed. First, the meso-aggregate model with sub-millimeter precision was established using a high-precision 3D scanner, and CloudCompare was used to calculate the specific surface area of the mesoscopic aggregate model, laying the foundation for the statistical analysis of specific surface area. Second, statistical analysis methods verified that the mean specific surface area of 20 aggregates from a single random sampling reliably estimates the mean of the overall aggregate population. Third, the optimal water–cement ratio was calculated considering the water absorption characteristics and the mortar-wrapping capacity of aggregates; standard cubic specimens were prepared using this optimal water–cement ratio, with aggregates evenly coated with mortar and no obvious mortar settlement. Fourth, the cubic compressive strength of specimens naturally cured for 7 days was tested; experimental results showed that the cubic compressive strength of specimens formed by this project’s design method increased by more than 30% compared to the empirical design method. The results indicate that using the average volume-specific surface area of 20 aggregates to assess the overall average volume-specific surface area of aggregates is both reliable and relatively efficient. Based on the reliable estimation of the overall average volume-specific surface area of aggregates derived from this method, measurements were taken of the thickness of water films adsorbed on dry aggregates and the thickness of mortar coatings on surface-dry aggregates. Further, the optimal water–cement ratio for eco-concrete was deduced, and a comprehensive set of feasible refined methods for eco-concrete mix proportion design was proposed. In contrast to the empirical method, concrete designed via the subject’s methodology exhibits a marked enhancement in compressive strength while retaining favorable pore characteristics—rendering it well-suited for deployment in the slope protection of reservoirs and ponds and thereby facilitating the realization of ecological slope protection functionality. Full article
(This article belongs to the Section Sustainable Materials)
Show Figures

Figure 1

Back to TopTop