Effect of Winter Cropping Forage on Soil Aggregate Distribution and Stability
Abstract
1. Introduction
2. Materials and Methods
2.1. Field Site Description
2.2. Experimental Material and Design
2.3. Determination of Root Morphological Traits
2.4. Aggregate Fractionation Scheme
2.5. Determination of Soil Aggregate Stability Indices and Pore Characteristics
- (1)
- Mean weight diameter (MWD, mm) and geometric mean diameter (GMD, mm):
- (2)
- Water-stable aggregates > 0.25 mm (R0.25) content:
- (3)
- Percentage of aggregate destruction (PAD):
- (4)
- Fractal dimension (Dm) was calculated using the formula proposed by Tyler and Wheatcraft [33]:
2.6. Determination of Soil Properties
2.7. Determination of Soil-Cementing Materials’ Contents
2.8. DNA Extraction and Soil AMF Sequencing
2.9. Statistical Analysis
3. Results
3.1. Distribution and Stability of Soil Aggregates
3.2. Soil Chemical Properties
3.3. Root Traits of Forage Grasses
3.4. Soil Pore Characteristics
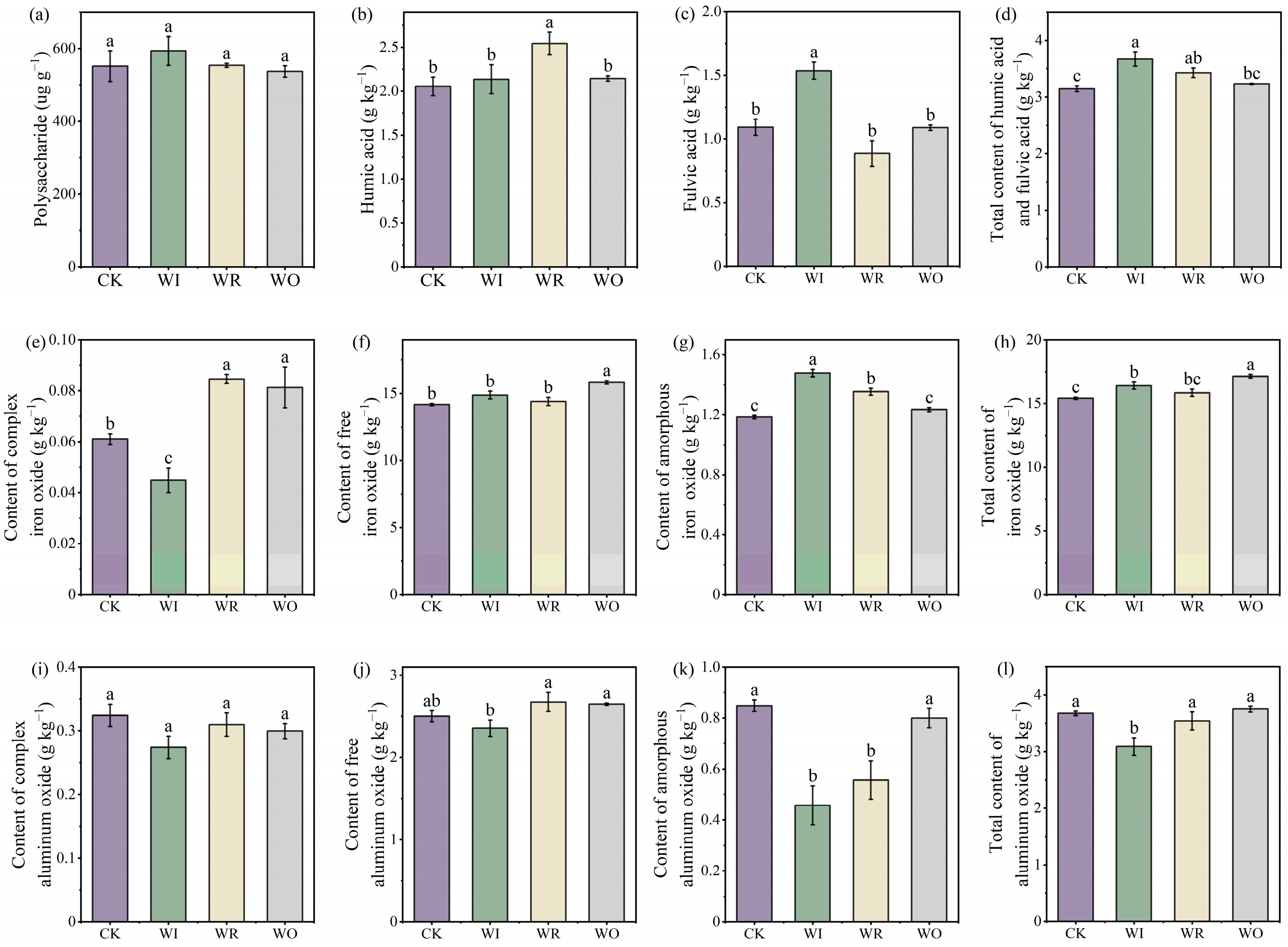
3.5. Soil-Cementing Material Contents
3.6. AMF Community Diversity and Composition
3.7. Correlations Between Soil-Cementing Material and Soil Aggregate Characteristic
4. Discussion
4.1. Winter Cropping Forage Improves Soil Physicochemical Properties
4.2. Winter Cropping Forage Promotes Soil Aggregate Structure
4.3. Soil-Cementing Materials Regulate Aggregate Distribution and Stability
4.4. Winter Cropping Forage Impacts Soil Aggregates by Improving the AMF Community
5. Conclusions
Supplementary Materials
Author Contributions
Funding
Institutional Review Board Statement
Data Availability Statement
Conflicts of Interest
References
- Bronick, C.J.; Lal, R. Soil structure and management: A review. Geoderma 2005, 124, 3–22. [Google Scholar] [CrossRef]
- Tripathi, R.; Nayak, A.K.; Bhattacharyya, P.; Shukla, A.K.; Shahid, M.; Raja, R.; Panda, B.B.; Mohanty, S.; Kumar, A.; Thilagam, V.K. Soil aggregation and distribution of carbon and nitrogen in different fractions after 41 years long-term fertilizer experiment in tropical rice-rice system. Geoderma 2014, 213, 280–286. [Google Scholar] [CrossRef]
- Liao, H.; Zhang, Y.C.; Zuo, Q.Y.; Du, B.B.; Chen, W.L.; Wei, D.; Huang, Q.Y. Contrasting responses of bacterial and fungal communities to aggregate-size fractions and long-term fertilizations in soils of northeastern China. Sci. Total Environ. 2018, 635, 784–792. [Google Scholar] [CrossRef] [PubMed]
- Han, S.; Delgado-Baquerizo, M.; Luo, X.S.; Liu, Y.R.; Van Nostrand, J.D.; Chen, W.L.; Zhou, J.Z.; Huang, Q.Y. Soil aggregate size-dependent relationships between microbial functional diversity and multifunctionality. Soil Biol. Biochem. 2021, 154, 108143. [Google Scholar] [CrossRef]
- Yuan, Y.; Li, Y.; Mou, Z.J.; Kuang, L.H.; Wu, W.J.; Zhang, J.; Wang, F.M.; Hui, D.F.; Peñuelas, J.; Sardans, J.; et al. Phosphorus addition decreases microbial residual contribution to soil organic carbon pool in a tropical coastal forest. Glob. Change Biol. 2021, 27, 454–466. [Google Scholar] [CrossRef]
- Zhang, Q.; Liang, G.Q.; Guo, T.F.; He, P.; Wang, X.B.; Zhou, W. Evident variations of fungal and actinobacterial cellulolytic communities associated with different humified particle-size fractions in a long-term fertilizer experiment. Soil Biol. Biochem. 2017, 113, 1–13. [Google Scholar] [CrossRef]
- Six, J.; Elliott, E.T.; Paustian, K. Soil macroaggregate turnover and microaggregate formation: A mechanism for C sequestration under no-tillage agriculture. Soil Biol. Biochem. 2000, 32, 2099–2103. [Google Scholar] [CrossRef]
- Demenois, J.; Carriconde, F.; Bonaventure, P.; Maeght, J.L.; Stokes, A.; Rey, F. Impact of plant root functional traits and associated mycorrhizas on the aggregate stability of a tropical Ferralsol. Geoderma 2018, 312, 6–16. [Google Scholar] [CrossRef]
- Li, P.; Kong, D.N.; Zhang, H.J.; Xu, L.Y.; Li, C.K.; Wu, M.C.; Jiao, J.G.; Li, D.M.; Xu, L.; Li, H.X.; et al. Different regulation of soil structure and resource chemistry under animal- and plant-derived organic fertilizers changed soil bacterial communities. Appl. Soil Ecol. 2021, 165, 104020. [Google Scholar] [CrossRef]
- Regelink, I.C.; Stoof, C.R.; Rousseva, S.; Weng, L.; Lair, G.J.; Kram, P.; Nikolaidis, N.P.; Kercheva, M.; Banwart, S.; Comans, R.N.J. Linkages between aggregate formation, porosity and soil chemical properties. Geoderma 2015, 247–248, 24–37. [Google Scholar] [CrossRef]
- Liu, M.; Han, G.L.; Zhang, Q. Effects of soil aggregate stability on soil organic carbon and nitrogen under land use change in an erodible region in Southwest China. Int. J. Environ. Res. Public Health 2019, 16, 3809. [Google Scholar] [CrossRef]
- Arduino, E.; Barberis, E.; Boero, V. Iron oxides and particle aggregation in B horizons of some Italian soils. Geoderma 1989, 45, 319–329. [Google Scholar] [CrossRef]
- Peng, X.; Yan, X.; Zhou, H.; Zhang, Y.Z.; Sun, H. Assessing the contributions of sesquioxides and soil organic matter to aggregation in an Ultisol under long-term fertilization. Soil Tillage Res. 2015, 146, 89–98. [Google Scholar] [CrossRef]
- Gupta, V.V.S.R.; Germida, J.J. Soil aggregation: Influence on microbial biomass and implications for biological processes. Soil Biol. Biochem. 2015, 80, A3–A9. [Google Scholar] [CrossRef]
- Rillig, M.C.; Mummey, D.L. Mycorrhizas and soil structure. New Phytol. 2006, 171, 41–53. [Google Scholar] [CrossRef]
- De Graaff, M.A.; Classen, A.T.; Castro, H.F.; Schadt, C.W. Labile soil carbon inputs mediate the soil microbial community composition and plant residue decomposition rates. New Phytol. 2010, 188, 1055–1064. [Google Scholar] [CrossRef]
- Abiven, S.; Menasseri, S.; Chenu, C. The effects of organic inputs over time on soil aggregate stability—A literature analysis. Soil Biol. Biochem. 2009, 41, 1–12. [Google Scholar] [CrossRef]
- Geddes, N.; Dunkerley, D. The influence of organic litter on the erosive effects of raindrops and of gravity drops released from desert shrubs. CATENA 1999, 36, 303–313. [Google Scholar] [CrossRef]
- Higo, M.; Tatewaki, Y.; Gunji, K.; Kaseda, A.; Isobe, K. Cover cropping can be a stronger determinant than host crop identity for arbuscular mycorrhizal fungal communities colonizing maize and soybean. Peer 2019, 7, e6403. [Google Scholar] [CrossRef]
- Ji, L.L.; Tan, W.F.; Chen, X.H. Arbuscular mycorrhizal mycelial networks and glomalin-related soil protein increase soil aggregation in Calcaric Regosol under well-watered and drought stress conditions. Soil Tillage Res. 2019, 185, 1–8. [Google Scholar] [CrossRef]
- Zhao, J.S.; Chen, S.; Hu, R.G.; Li, Y.Y. Aggregate stability and size distribution of red soils under different land uses integrally regulated by soil organic matter, and iron and aluminum oxides. Soil Tillage Res. 2017, 167, 73–79. [Google Scholar] [CrossRef]
- Yan, L.; Jiang, X.X.; Ji, X.N.; Zhou, L.T.; Li, S.Y.; Chen, C.; Li, P.Y.; Zhu, Y.C.; Dong, T.H.; Meng, Q.F. Distribution of water-stable aggregates under soil tillage practices in a black soil hillslope cropland in Northeast China. J. Soils Sediments 2020, 20, 24–31. [Google Scholar] [CrossRef]
- Goutal, N.; Keller, T.; Défossez, P.; Ranger, J. Soil compaction due to heavy forest traffic: Measurements and simulations using an analytical soil compaction model. Ann. For. Sci. 2013, 70, 545–556. [Google Scholar] [CrossRef]
- Paul, B.K.; Vanlauwe, B.; Ayuke, F.; Gassner, A.; Hoogmoed, M.; Hurisso, T.T.; Koala, S.; Lelei, D.; Ndabamenye, T.; Six, J.; et al. Medium-term impact of tillage and residue management on soil aggregate stability, soil carbon and crop productivity. Agric. Ecosyst. Environ. 2013, 164, 14–22. [Google Scholar] [CrossRef]
- Liu, W.X.; Wei, Y.X.; Li, R.C.; Chen, Z.; Wang, H.D.; Virk, A.L.; Lal, R.; Zhao, X.; Zhang, H.L. Improving soil aggregates stability and soil organic carbon sequestration by no-till and legume-based crop rotations in the North China Plain. Sci. Total Environ. 2022, 847, 157518. [Google Scholar] [CrossRef] [PubMed]
- Cao, M.Y.; Xiang, Y.; He, H.B.; Cheng, J.K.; Song, Y.; Jin, C.; Xin, G.R.; He, C.T. Italian ryegrass (Lolium multiflorum L.)-rice (Oryza sativa L.) rotation promotes the nitrogen cycle in the rice rhizosphere through dominant ammonia-oxidizing bacteria. Appl. Soil Ecol. 2024, 193, 105121. [Google Scholar] [CrossRef]
- Farahani, E.; Emami, H.; Forouhar, M. Effects of tillage systems on soil organic carbon and some soil physical properties. Land Degrad. Dev. 2022, 33, 1307–1320. [Google Scholar] [CrossRef]
- Iheshiulo, E.M.A.; Larney, F.J.; Hernandez-Ramirez, G.; Luce, M.S.; Chau, H.W.; Liu, K. Soil organic matter and aggregate stability dynamics under major no-till crop rotations on the Canadian prairies. Geoderma 2024, 442, 116777. [Google Scholar] [CrossRef]
- Li, J.Y.; Yuan, X.L.; Ge, L.; Li, Q.; Li, Z.G.; Wang, L.; Liu, Y. Rhizosphere effects promote soil aggregate stability and associated organic carbon sequestration in rocky areas of desertification. Agric. Ecosyst. Environ. 2020, 304, 107126. [Google Scholar] [CrossRef]
- Yang, Z.P.; Xu, M.G.; Nie, J.; Zheng, S.X.; Gao, J.S.; Xie, J.; Liao, Y.L. Effect of long-term winter planting-green manure on reddish paddy soil quality and its comprehensive evaluation under double-rice cropping system. J. Soil Water Conserv. 2011, 25, 92–97+102. [Google Scholar] [CrossRef]
- Elliott, E.T. Aggregate structure and carbon, nitrogen and phosphorus in native and cultivated soils. Soil Sci. Soc. Am. J. 1986, 50, 627–633. [Google Scholar] [CrossRef]
- Van Bavel, C.H.M. Mean weight-diameter of soil aggregates as a statistical index of aggregation. Soil Sci. Soc. Am. J. 1950, 14, 20–23. [Google Scholar] [CrossRef]
- Tyler, S.W.; Wheatcraft, S.W. Fractal scaling of soil particle-size distributions: Analysis and limitations. Soil Sci. Soc. Am. J. 1992, 56, 362–369. [Google Scholar] [CrossRef]
- Van Brakel, J.; Modrý, S.; Svatá, M. Mercury porosimetry: State of the art. Powder Technol. 1981, 29, 1–12. [Google Scholar] [CrossRef]
- Lu, R.K. Agriculture Chemical Analysis Methods of Soil, 1st ed.; China Agricultural Science and Technology Press: Beijing, China, 2000. [Google Scholar]
- Jackson, M.L. Soil Chemical Analysis; Prentice-Hall, Inc.: Englewood Cliffs, NJ, USA, 1958. [Google Scholar]
- Rimada, P.S.; Abraham, A.G. Comparative study of different methodologies to determine the exopolysaccharide produced by kefir grains in milk and whey. Lait 2003, 83, 79–87. [Google Scholar] [CrossRef]
- Zhang, J.J.; Wang, L.B.; Li, C.L. Humus characteristics after maize residues degradation in soil amended with different copper concentrations. Plant Soil Environ. 2010, 56, 120–124. [Google Scholar] [CrossRef]
- Zhang, R.Z.; Mu, Y.; Li, X.R.; Li, S.M.; Sang, P.; Wang, X.R.; Wu, H.L.; Xu, N. Response of the arbuscular mycorrhizal fungi diversity and community in maize and soybean rhizosphere soil and roots to intercropping systems with different nitrogen application rates. Sci. Total Environ. 2020, 740, 139810. [Google Scholar] [CrossRef]
- Rohosková, M.; Valla, M. Comparison of two methods for aggregate stability measurement: A review. Plant Soil Environ. 2004, 50, 379–382. [Google Scholar] [CrossRef]
- Tian, S.Y.; Zhu, B.J.; Yin, R.; Wang, M.W.; Jiang, Y.J.; Zhang, C.Z.; Li, D.M.; Chen, X.Y.; Kardol, P.; Liu, M.Q. Organic fertilization promotes crop productivity through changes in soil aggregation. Soil Biol. Biochem. 2022, 165, 108533. [Google Scholar] [CrossRef]
- Tiemann, L.K.; Grandy, A.S.; Atkinson, E.E.; Marin-Spiotta, E.; McDaniel, M.D. Crop rotational diversity enhances belowground communities and functions in an agroecosystem. Ecol. Lett. 2015, 18, 761–771. [Google Scholar] [CrossRef]
- Ma, W.M.; Tang, S.H.; Dengzeng, Z.M.; Zhang, D.; Zhang, T.; Ma, X.L. Root exudates contribute to belowground ecosystem hotspots: A review. Front. Microbiol. 2022, 13, 937940. [Google Scholar] [CrossRef]
- Horn, R.; Taubner, H.; Wuttke, M.; Baumgartl, T. Soil physical properties related to soil structure. Soil Tillage Res. 1994, 30, 187–216. [Google Scholar] [CrossRef]
- Kravchenko, A.N.; Negassa, W.C.; Guber, A.K.; Rivers, M.L. Protection of soil carbon within macro-aggregates depends on intra-aggregate pore characteristics. Sci. Rep. 2015, 5, 16261. [Google Scholar] [CrossRef]
- Mangalassery, S.; Sjögersten, S.; Sparkes, D.L.; Sturrock, C.J.; Mooney, S.J. The effect of soil aggregate size on pore structure and its consequence on emission of greenhouse gases. Soil Tillage Res. 2013, 132, 39–46. [Google Scholar] [CrossRef]
- Yan, Z.J.; Zhou, J.; Yang, L.; Gunina, A.; Yang, Y.D.; Peixoto, L.; Zeng, Z.H.; Zang, H.D.; Kuzyakov, Y. Diversified cropping systems benefit soil carbon and nitrogen stocks by increasing aggregate stability: Results of three fractionation methods. Sci. Total Environ. 2022, 824, 153878. [Google Scholar] [CrossRef]
- Garland, G.; Bünemann, E.K.; Oberson, A.; Frossard, E.; Snapp, S.; Chikowo, R.; Six, J. Phosphorus cycling within soil aggregate fractions of a highly weathered tropical soil: A conceptual model. Soil Biol. Biochem. 2018, 116, 91–98. [Google Scholar] [CrossRef]
- Kamran, M.; Huang, L.; Nie, J.; Geng, M.J.; Lu, Y.H.; Liao, Y.L.; Zhou, F.L.; Xu, Y.H. Effect of reduced mineral fertilization (NPK) combined with green manure on aggregate stability and soil organic carbon fractions in a fluvo-aquic paddy soil. Soil Tillage Res. 2021, 211, 105005. [Google Scholar] [CrossRef]
- Thapa, V.R.; Ghimire, R.; VanLeeuwen, D.; Acosta-Martínez, V.; Shukla, M. Response of soil organic matter to cover cropping in water-limited environments. Geoderma 2022, 406, 115497. [Google Scholar] [CrossRef]
- Hudek, C.; Putinica, C.; Otten, W.; De Baets, S. Functional root trait-based classification of cover crops to improve soil physical properties. Eur. J. Soil Sci. 2022, 73, e13147. [Google Scholar] [CrossRef]
- dos Reis Martins, M.; Corá, J.E.; Jorge, R.F.; Marcelo, A.V. Crop type influences soil aggregation and organic matter under no-tillage. Soil Tillage Res. 2009, 104, 22–29. [Google Scholar] [CrossRef]
- Callesen, I.; Harrison, R.; Stupak, I.; Hatten, J.; Raulund-Rasmussen, K.; Boyle, J.; Clarke, N.; Zabowski, D. Carbon storage and nutrient mobilization from soil minerals by deep roots and rhizospheres. For. Ecol. Manage. 2016, 359, 322–331. [Google Scholar] [CrossRef]
- Bodner, G.; Leitner, D.; Kaul, H.P. Coarse and fine root plants affect pore size distributions differently. Plant Soil 2014, 380, 133–151. [Google Scholar] [CrossRef]
- Jozefaciuk, G.; Czachor, H. Impact of organic matter, iron oxides, alumina, silica and drying on mechanical and water stability of artificial soil aggregates. Assessment of new method to study water stability. Geoderma 2014, 221, 1–10. [Google Scholar] [CrossRef]
- Paul, E.A. The nature and dynamics of soil organic matter: Plant inputs, microbial transformations, and organic matter stabilization. Soil Biol. Biochem. 2016, 98, 109–126. [Google Scholar] [CrossRef]
- Song, X.Y.; Yang, J.K.; Hussain, Q.; Liu, X.W.; Zhang, J.J.; Cui, D.J. Stable isotopes reveal the formation diversity of humic substances derived from different cotton straw-based materials. Sci. Total Environ. 2020, 740, 140202. [Google Scholar] [CrossRef] [PubMed]
- Zhang, B.; Horn, R. Mechanisms of aggregate stabilization in Ultisols from subtropical China. Geoderma 2001, 99, 123–145. [Google Scholar] [CrossRef]
- Duan, X.; Yu, X.F.; Li, Z.; Wang, Q.G.; Liu, Z.P.; Zou, Y.C. Iron-bound organic carbon is conserved in the rhizosphere soil of freshwater wetlands. Soil Biol. Biochem. 2020, 149, 107949. [Google Scholar] [CrossRef]
- Yu, X.B.; Fu, Y.N.; Lu, S.G. Characterization of the pore structure and cementing substances of soil aggregates by a combination of synchrotron radiation X-ray micro-computed tomography and scanning electron microscopy. Eur. J. Soil Sci. 2016, 68, 66–79. [Google Scholar] [CrossRef]
- Pronk, G.J.; Heister, K.; Kögel-Knabner, I. Iron oxides as major available interface component in loamy arable topsoils. Soil Sci. Soc. Am. J. 2011, 75, 2158–2168. [Google Scholar] [CrossRef]
- Barthès, B.G.; Kouakoua, E.; Larré-Larrouy, M.C.; Razafimbelo, T.M.; de Luca, E.F.; Azontonde, A.; Neves, C.S.V.J.; de Freitas, P.L.; Feller, C.L. Texture and sesquioxide effects on water-stable aggregates and organic matter in some tropical soils. Geoderma 2008, 143, 14–25. [Google Scholar] [CrossRef]
- Arias, M.; Barral, M.T.; Diaz-Fierros, F. Effects of associations between humic acids and iron or aluminium on the flocculation and aggregation of kaolin and quartz. Eur. J. Soil Sci. 1996, 47, 335–343. [Google Scholar] [CrossRef]
- Zhang, Z.F.; Mallik, A.; Zhang, J.C.; Huang, Y.Q.; Zhou, L.W. Effects of arbuscular mycorrhizal fungi on inoculated seedling growth and rhizosphere soil aggregates. Soil Tillage Res. 2019, 194, 104340. [Google Scholar] [CrossRef]
- Nichols, K.A.; Halvorson, J.J. Roles of biology, chemistry, and physics in soil macroaggregate formation and stabilization. Open Agric. 2013, 7, 107–117. [Google Scholar] [CrossRef]
- Lehmann, A.; Rillig, M.C. Understanding mechanisms of soil biota involvement in soil aggregation: A way forward with saprobic fungi? Soil Biol. Biochem. 2015, 88, 298–302. [Google Scholar] [CrossRef]
- Cao, T.T.; Fang, Y.; Chen, Y.R.; Kong, X.S.; Yang, J.B.; Alharbi, H.; Kuzyakov, Y.; Tian, X.J. Synergy of saprotrophs with mycorrhiza for litter decomposition and hotspot formation depends on nutrient availability in the rhizosphere. Geoderma 2022, 410, 115662. [Google Scholar] [CrossRef]
- Liu, Y.; Ma, M.H.; Wu, S.J.; Ran, Y.G.; Wang, X.X.; Huang, P. Soil aggregates as affected by wetting-drying cycle: A review. Soils 2018, 50, 853–865. (In Chinese) [Google Scholar] [CrossRef]
- Vogelsang, K.M.; Reynolds, H.L.; Bever, J.D. Mycorrhizal fungal identity and richness determine the diversity and productivity of a tallgrass prairie system. New Phytol. 2006, 172, 554–562. [Google Scholar] [CrossRef] [PubMed]
- Wagg, C.; Jansa, J.; Stadler, M.; Schmid, B.; van der Heijden, M.G. Mycorrhizal fungal identity and diversity relaxes plant-plant competition. Ecology 2011, 92, 1303–1313. [Google Scholar] [CrossRef] [PubMed]
- Ma, Q.J.; Luan, F.; Jia, B.; Zhang, Q.; Wang, L.; Cui, Z.T.; Li, X.G. Agricultural soil aggregation is affected by the crop root biomass rather than morphological characteristics. J. Plant Nutr. Soil Sci. 2023, 186, 339–350. [Google Scholar] [CrossRef]
- Leifheit, E.F.; Veresoglou, S.D.; Lehmann, A.; Morris, E.K.; Rillig, M.C. Multiple factors influence the role of arbuscular mycorrhizal fungi in soil aggregation—A meta-analysis. Plant Soil 2014, 374, 523–537. [Google Scholar] [CrossRef]
- Piotrowski, J.S.; Denich, T.; Klirono-Mos, J.N.; Graham, J.; Rillig, M.C. The effects of arbuscular mycorrhizas on soil aggregationdepend on the interaction between plant and fungal species. New Phytol. 2004, 164, 365–373. [Google Scholar] [CrossRef] [PubMed]
- Schütz, L.; Saharan, K.; Mäder, P.; Boller, T.; Mathimaran, N. Rate of hyphal spread of arbuscular mycorrhizal fungi from pigeon pea to finger millet and their contribution to plant growth and nutrient uptake in experimental microcosms. Appl. Soil Ecol. 2022, 169, 104156. [Google Scholar] [CrossRef]
- Friese, C.F.; Allen, M.F. The spread of VA mycorrhizal fungal hyphae in the soil: Inoculum types and external hyphal architecture. Mycologia 1991, 83, 409–418. [Google Scholar] [CrossRef]
- Barbosa, M.V.; Pedroso, D.D.; Curi, N.; Carneiro, M.A.C. Do different arbuscular mycorrhizal fungi affect the formation and stability of soil aggregates? Ciênc. Agrotecnol. 2019, 43, e003519. [Google Scholar] [CrossRef]
- Zhang, C.T.; Peng, X.; Song, Y.; Xin, G.R. Analysis of arbuscular mycorrhizal fungi diversity and microflora structure in Zoysia field of ‘Lanyin No. 3’. Grassl. Turf. 2022, 42, 27–34, 44. (In Chinese) [Google Scholar]
- Cao, M.; Xiang, Y.; Huang, L.; Li, M.; Jin, C.; He, C.; Xin, G. Winter forage crops influence soil properties through establishing different arbuscular mycorrhizal fungi communities in paddy field. Adv. Biotechnol. 2024, 2, 30. [Google Scholar] [CrossRef]
- Kalisz, S.; Kivlin, S.N.; Bialic-Murphy, L. Allelopathy is pervasive in invasive plants. Biol. Invasions 2021, 23, 367–371. [Google Scholar] [CrossRef]
- Jamiolkowska, A.; Ksiezniak, A.; Galazka, A.; Hetman, B.; Kopacki, M.; Skwarylo-Bednarz, B. Impact of abiotic factors on development of the community of arbuscular mycorrhizal fungi in the soil: A review. Int. Agrophysics 2018, 32, 133–140. [Google Scholar] [CrossRef]
- Wang, Y.T.; Li, T.; Li, Y.W.; Björn, L.O.; Rosendahl, S.; Olsson, P.A.; Li, S.S.; Fu, X.L. Community dynamics of arbuscular mycorrhizal fungi in high-input and intensively irrigated rice cultivation systems. Appl. Environ. Microbiol. 2015, 81, 2958–2965. [Google Scholar] [CrossRef]
- Parvin, S.; Van Geel, M.; Yeasmin, T.; Lievens, B.; Honnay, O. Variation in arbuscular mycorrhizal fungal communities associated with lowland rice (Oryza sativa) along a gradient of soil salinity and arsenic contamination in Bangladesh. Sci. Total Environ. 2019, 686, 546–554. [Google Scholar] [CrossRef]
- Samra, A.; Dumas-Gaudot, E.; Gianinazzi-Pearson, V.; Gianinazzi, S. Soluble proteins and polypeptide profiles of spores of arbuscular mycorrhizal fungi. Interspecific variability and effects of host (myc+) and non-host (myc−) Pisum sativum root exudates. Agronomy 1996, 16, 709–719. [Google Scholar] [CrossRef]
- Han, T.; Mi, Z.R.; Chen, Z.; Zhao, J.J.; Zhang, H.G.; Lv, Y.; Du, S.Y.; Bu, R.F.; Zhou, J.G.; Li, X.Z.; et al. Multi-omics analysis reveals the influence of tetracycline on the growth of ryegrass root. J. Hazard. Mater. 2022, 435, 129019. [Google Scholar] [CrossRef]
- Akter, S.; Kamruzzaman, M.; Sarder, M.P.; Amin, M.S.; Joardar, J.C.; Islam, M.S.; Nasrin, S.; Islam, M.U.; Islam, F.; Rabbi, S.; et al. Mycorrhizal fungi increase plant nutrient uptake, aggregate stability and microbial biomass in the clay soil. Symbiosis 2024, 93, 163–176. [Google Scholar] [CrossRef]




| Treatment | Mean Weight Diameter (mm) | Geometric Mean Diameter (mm) | Percentage of Aggregates Destruction (%) | Content of Water-Stable Aggregates > 0.25 mm (%) | Fractal Dimension |
|---|---|---|---|---|---|
| CK | 2.41 ± 0.12 b | 1.07 ± 0.05 b | 12.24 ± 1.71 b | 77.23 ± 1.12 a | 2.36 ± 0.03 b |
| WI | 3.14 ± 0.06 a | 1.48 ± 0.06 a | 6.31 ± 1.44 b | 80.21 ± 1.51 a | 2.34 ± 0.05 b |
| WR | 3.06 ± 0.09 a | 1.42 ± 0.11 a | 7.06 ± 1.22 b | 79.37 ± 2.74 a | 2.37 ± 0.04 b |
| WO | 2.39 ± 0.05 b | 0.81 ± 0.07 c | 19.48 ± 3.87 a | 65.36 ± 2.08 b | 2.51 ± 0.05 a |
| Treatment | Root Length (cm) | Root Surface Area (cm2) | Fractal Dimension of Root System | Average Root Diameter (mm) | Total Length of R1 (cm) | Proportion of R1 (%) | Total Length of R2 (cm) | Proportion of R2 (%) |
|---|---|---|---|---|---|---|---|---|
| I | 539.51 ± 18.6 b | 130.12 ± 12.46 b | 1.61 ± 0.01 a | 0.83 ± 0.08 a | 187.67 ± 7.88 b | 34.96 ± 2.61 b | 335.17 ± 20.77 a | 62.01 ± 1.73 a |
| R | 1021.51 ± 114.82 a | 184.7 ± 18.79 a | 1.6 ± 0.03 a | 0.6 ± 0.01 b | 586.23 ± 68.97 a | 57.31 ± 0.34 a | 415.07 ± 44.35 a | 40.69 ± 0.3 b |
| O | 341.38 ± 9.59 b | 60.53 ± 4.87 c | 1.48 ± 0.02 b | 0.63 ± 0.06 ab | 213.73 ± 25.27 b | 62.3 ± 5.63 a | 117.4 ± 13.85 b | 34.66 ± 4.96 b |
Disclaimer/Publisher’s Note: The statements, opinions and data contained in all publications are solely those of the individual author(s) and contributor(s) and not of MDPI and/or the editor(s). MDPI and/or the editor(s) disclaim responsibility for any injury to people or property resulting from any ideas, methods, instructions or products referred to in the content. |
© 2025 by the authors. Licensee MDPI, Basel, Switzerland. This article is an open access article distributed under the terms and conditions of the Creative Commons Attribution (CC BY) license (https://creativecommons.org/licenses/by/4.0/).
Share and Cite
Xiang, Y.; Zhang, C.; Cao, M.; Jiang, S.; He, C.; Xin, G. Effect of Winter Cropping Forage on Soil Aggregate Distribution and Stability. Agriculture 2025, 15, 2039. https://doi.org/10.3390/agriculture15192039
Xiang Y, Zhang C, Cao M, Jiang S, He C, Xin G. Effect of Winter Cropping Forage on Soil Aggregate Distribution and Stability. Agriculture. 2025; 15(19):2039. https://doi.org/10.3390/agriculture15192039
Chicago/Turabian StyleXiang, Yao, Chuting Zhang, Mengyan Cao, Shuangqi Jiang, Chuntao He, and Guorong Xin. 2025. "Effect of Winter Cropping Forage on Soil Aggregate Distribution and Stability" Agriculture 15, no. 19: 2039. https://doi.org/10.3390/agriculture15192039
APA StyleXiang, Y., Zhang, C., Cao, M., Jiang, S., He, C., & Xin, G. (2025). Effect of Winter Cropping Forage on Soil Aggregate Distribution and Stability. Agriculture, 15(19), 2039. https://doi.org/10.3390/agriculture15192039
