Sign in to use this feature.

Years

Between: -

Subjects

remove_circle_outline
remove_circle_outline
remove_circle_outline
remove_circle_outline
remove_circle_outline
remove_circle_outline
remove_circle_outline
remove_circle_outline
remove_circle_outline

Journals

remove_circle_outline
remove_circle_outline
remove_circle_outline
remove_circle_outline

Article Types

Countries / Regions

remove_circle_outline
remove_circle_outline
remove_circle_outline
remove_circle_outline
remove_circle_outline

Search Results (626)

Search Parameters:
Keywords = terrestrial surveying

Order results
Result details
Results per page
Select all
Export citation of selected articles as:
12 pages, 1182 KB  
Article
Endosymbiont Infections in Korean Insects: Patterns Across Orders and Habitat Types
by Jae-Yeon Kang, Gilsang Jeong, In Jung An, Kihyun Kim, Se-hwan Son and Soyeon Park
Insects 2026, 17(1), 71; https://doi.org/10.3390/insects17010071 - 7 Jan 2026
Abstract
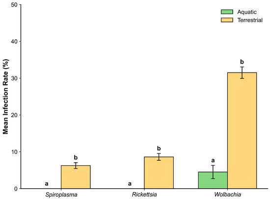
Endosymbiotic bacteria influence the ecology and evolution of insects through complex associations within host cells. To explore how these relationships vary among environments and taxa, we examined 1028 insect specimens from 14 orders across Korea for infections by three representative endosymbionts (Wolbachia [...] Read more.
Endosymbiotic bacteria influence the ecology and evolution of insects through complex associations within host cells. To explore how these relationships vary among environments and taxa, we examined 1028 insect specimens from 14 orders across Korea for infections by three representative endosymbionts (Wolbachia, Rickettsia, and Spiroplasma). Overall, 33.8% of specimens were infected, with single infections predominating and co-infections remaining relatively less common. Weak-to-modest but statistically significant associations were detected between several symbiont pairs (Rickettsia–Spiroplasma, Wolbachia–Spiroplasma, and Wolbachia–Rickettsia). Infection rates exhibited no significant variation among host orders except for Spiroplasma, and Wolbachia infections were more frequently detected in terrestrial than in aquatic insects. These results indicate that endosymbiont infection patterns might be shaped by factors operating at multiple biological scales, including host taxonomy and habitat types. As this study relied on polymerase chain reaction detection, infection frequencies should be interpreted as comparative rather than absolute measures. This survey provides baseline data that might help characterize regional patterns of endosymbiont distributions and their variation across taxonomic and ecological contexts. Full article
(This article belongs to the Special Issue Insect Microbiome and Immunity—2nd Edition)
Show Figures

Figure 1

23 pages, 52765 KB  
Article
GNSS NRTK, UAS-Based SfM Photogrammetry, TLS and HMLS Data for a 3D Survey of Sand Dunes in the Area of Caleri (Po River Delta, Italy)
by Massimo Fabris and Michele Monego
Land 2026, 15(1), 95; https://doi.org/10.3390/land15010095 - 3 Jan 2026
Viewed by 154
Abstract
Coastal environments are fragile ecosystems threatened by various factors, both natural and anthropogenic. The preservation and protection of these environments, and in particular, the sand dune systems, which contribute significantly to the defense of the inland from flooding, require continuous monitoring. To this [...] Read more.
Coastal environments are fragile ecosystems threatened by various factors, both natural and anthropogenic. The preservation and protection of these environments, and in particular, the sand dune systems, which contribute significantly to the defense of the inland from flooding, require continuous monitoring. To this end, high-resolution and high-precision multitemporal data acquired with various techniques can be used, such as, among other things, the global navigation satellite system (GNSS) using the network real-time kinematic (NRTK) approach to acquire 3D points, UAS-based structure-from-motion photogrammetry (SfM), terrestrial laser scanning (TLS), and handheld mobile laser scanning (HMLS)-based light detection and ranging (LiDAR). These techniques were used in this work for the 3D survey of a portion of vegetated sand dunes in the Caleri area (Po River Delta, northern Italy) to assess their applicability in complex environments such as coastal vegetated dune systems. Aerial-based and ground-based acquisitions allowed us to produce point clouds, georeferenced using common ground control points (GCPs), measured both with the GNSS NRTK method and the total station technique. The 3D data were compared to each other to evaluate the accuracy and performance of the different techniques. The results provided good agreement between the different point clouds, as the standard deviations of the differences were lower than 9.3 cm. The GNSS NRTK technique, used with the kinematic approach, allowed for the acquisition of the bare-ground surface but at a cost of lower resolution. On the other hand, the HMLS represented the poorest ability in the penetration of vegetation, providing 3D points with the highest elevation value. UAS-based and TLS-based point clouds provided similar average values, with significant differences only in dense vegetation caused by a very different platform of acquisition and point of view. Full article
(This article belongs to the Special Issue Digital Earth and Remote Sensing for Land Management, 2nd Edition)
Show Figures

Figure 1

32 pages, 3663 KB  
Article
Technology Acceptance and Perceived Learning Outcomes in Construction Surveying Education: A Comparative Analysis Using UTAUT and Bloom’s Taxonomy
by Ri Na, Dyala Aljagoub, Tianjiao Zhao and Xi Lin
Educ. Sci. 2026, 16(1), 45; https://doi.org/10.3390/educsci16010045 - 30 Dec 2025
Viewed by 184
Abstract
Rapid adoption of digital surveying technologies in construction has highlighted the need for engineering education to equip students with technological competency as well as higher-order problem-solving skills. This experiment explores undergraduate students’ acceptance of emerging surveying technologies and their perceived learning results within [...] Read more.
Rapid adoption of digital surveying technologies in construction has highlighted the need for engineering education to equip students with technological competency as well as higher-order problem-solving skills. This experiment explores undergraduate students’ acceptance of emerging surveying technologies and their perceived learning results within a constructivist framework of experiential learning. Thirty-six students in a required construction surveying class interacted with traditional and advanced technologies such as total stations, terrestrial laser scanning, drones, and mobile LiDAR through structured, semi-structured, and unstructured lab activities. Data were gathered based on two post-course surveys: a technology acceptance survey grounded in Unified Theory of Acceptance and Use of Technology (UTAUT) and a self-perceived cognitive learning outcome survey through Bloom’s Taxonomy. Qualitative analysis along with quantitative analysis indicated a gap between technology acceptance and perceived learning gains. Laser scanner had the greatest acceptance scores followed by other advanced tools. Total station (widespread in hands-on lab activities) was perceived to have been most influential in terms of enhancing learning. Lower-order skills were strengthened in structured labs, while higher-order thinking emerged more unevenly in open-ended labs. These findings underscore that the mode of student engagement with technology matters more for learning than the sophistication of the tools themselves. By embedding UTAUT and Bloom’s Taxonomy in an authentic learning environment, this experiment provides engineering educators a mechanism to assess technology-enhanced learning and identifies strategies to facilitate higher-order skills aligned with industry needs. Full article
(This article belongs to the Special Issue Technology-Enhanced Education for Engineering Students)
Show Figures

Figure 1

19 pages, 5120 KB  
Article
Deformation of the Taleqan Dam, Iran, from InSAR and Ground Observation
by Mehrnoosh Ghadimi, Andrew Hooper and David Whipp
Sustainability 2026, 18(1), 173; https://doi.org/10.3390/su18010173 - 23 Dec 2025
Viewed by 246
Abstract
Reliable assessments of dam stability require the continuous acquisition and interpretation of deformation data, as monitoring technologies provide essential information for evaluating structural behavior. Surface displacement measurements are particularly valuable for identifying instability within the dam embankment and adjacent slopes. While terrestrial surveying [...] Read more.
Reliable assessments of dam stability require the continuous acquisition and interpretation of deformation data, as monitoring technologies provide essential information for evaluating structural behavior. Surface displacement measurements are particularly valuable for identifying instability within the dam embankment and adjacent slopes. While terrestrial surveying networks can provide accurate point-based observations, they are often time-consuming and costly to maintain. Satellite radar interferometry (InSAR) offers a complementary, cost-effective means of monitoring surface displacement with wide spatial coverage; however, careful analysis is required to avoid misinterpreting superficial motions of riprap and cover materials as true dam settlement. In this study, we use multi-platform SAR datasets, including Sentinel-1A (2014–2019) and high-resolution TerraSAR-X (2018), to investigate the deformation behavior of the Taleqan Dam. We compare LOS displacement derived from InSAR with independent measurements from a terrestrial surveying network spanning the same period. TerraSAR-X data indicate up to ~20 mm of LOS displacement over three months (May–August 2018), and the displacement pattern is consistent with the Sentinel-1 time series. Despite lower spatial resolutions, Sentinel-1 provided dense, temporally continuous coverage, with LOS velocities reaching ~4 mm/yr on the downstream slope. The combined datasets demonstrate that the observed deformation predominantly reflects the ongoing lateral movement of downstream riprap materials rather than the vertical settlement of the dam’s core. These results highlight both the utility of InSAR for long-term dam monitoring and the importance of integrating multi-sensor observations to ensure accurate interpretations of dam deformation signals. Full article
(This article belongs to the Section Hazards and Sustainability)
Show Figures

Figure 1

25 pages, 2977 KB  
Article
Implementation of Deep Reinforcement Learning for Radio Telescope Control and Scheduling
by Sarut Puangragsa, Tanawit Sahavisit, Popphon Laon, Utumporn Puangragsa and Pattarapong Phasukkit
Galaxies 2025, 13(6), 137; https://doi.org/10.3390/galaxies13060137 - 17 Dec 2025
Viewed by 412
Abstract
The proliferation of terrestrial and space-based communication systems introduces significant radio frequency interference (RFI), which severely compromises data acquisition for radio telescopes, necessitating robust and dynamic scheduling solutions. This study addresses this challenge by implementing a Deep Recurrent Reinforcement Learning (DRL) framework for [...] Read more.
The proliferation of terrestrial and space-based communication systems introduces significant radio frequency interference (RFI), which severely compromises data acquisition for radio telescopes, necessitating robust and dynamic scheduling solutions. This study addresses this challenge by implementing a Deep Recurrent Reinforcement Learning (DRL) framework for the control and dynamic scheduling of the X-Y pedestal-mounted KMITL radio telescope, explicitly trained for RFI avoidance. The methodology involved developing a custom simulation environment with a domain-specific Convolutional Neural Network (CNN) feature extractor and a Long Short-Term Memory (LSTM) network to model temporal dynamics and long-horizon planning. Comparative evaluation demonstrated that the recurrent DRL agent achieved a mean effective survey coverage of 475 deg2/h, representing a 72.7% superiority over the non-recurrent baseline, and maintained exceptional stability with only 1.0% degradation in median coverage during real-world deployment. The DRL framework offers a highly reliable and adaptive solution for telescope scheduling that is capable of maintaining survey efficiency while proactively managing dynamic RFI sources. Full article
(This article belongs to the Special Issue Recent Advances in Radio Astronomy)
Show Figures

Figure 1

33 pages, 9178 KB  
Article
Automated Image-to-BIM Using Neural Radiance Fields and Vision-Language Semantic Modeling
by Mohammad H. Mehraban, Shayan Mirzabeigi, Mudan Wang, Rui Liu and Samad M. E. Sepasgozar
Buildings 2025, 15(24), 4549; https://doi.org/10.3390/buildings15244549 - 16 Dec 2025
Viewed by 557
Abstract
This study introduces a novel, automated image-to-BIM (Building Information Modeling) workflow designed to generate semantically rich and geometrically useful BIM models directly from RGB images. Conventional scan-to-BIM often relies on specialized, costly, and time-intensive equipment, specifically if LiDAR is used to generate point [...] Read more.
This study introduces a novel, automated image-to-BIM (Building Information Modeling) workflow designed to generate semantically rich and geometrically useful BIM models directly from RGB images. Conventional scan-to-BIM often relies on specialized, costly, and time-intensive equipment, specifically if LiDAR is used to generate point clouds (PCs). Typical workflows are followed by a separate post-processing step for semantic segmentation recently performed by deep learning models on the generated PCs. Instead, the proposed method integrates vision language object detection (YOLOv8x-World v2) and vision based segmentation (SAM 2.1) with Neural Radiance Fields (NeRF) 3D reconstruction to generate segmented, color-labeled PCs directly from images. The key novelty lies in bypassing post-processing on PCs by embedding semantic information at the pixel level in images, preserving it through reconstruction, and encoding it into the resulting color labeled PC, which allows building elements to be directly identified and geometrically extracted based on color labels. Extracted geometry is serialized into a JSON format and imported into Revit to automate BIM creation for walls, windows, and doors. Experimental validation on BIM models generated from Unmanned Aerial Vehicle (UAV)-based exterior datasets and standard camera-based interior datasets demonstrated high accuracy in detecting windows and doors. Spatial evaluations yielded up to 0.994 precision and 0.992 Intersection over Union (IoU). NeRF and Gaussian Splatting models, Nerfacto, Instant-NGP, and Splatfacto, were assessed. Nerfacto produced the most structured PCs suitable for geometry extraction and Splatfacto achieved the highest image reconstruction quality. The proposed method removes dependency on terrestrial surveying tools and separate segmentation processes on PCs. It provides a low-cost and scalable solution for generating BIM models in aging or undocumented buildings and supports practical applications such as renovation, digital twin, and facility management. Full article
(This article belongs to the Special Issue Artificial Intelligence in Architecture and Interior Design)
Show Figures

Graphical abstract

28 pages, 4896 KB  
Article
Development and Validation of an Openable Spherical Target System for High-Precision Registration and Georeferencing of Terrestrial Laser Scanning Point Clouds
by Maria Makuch and Pelagia Gawronek
Sensors 2025, 25(24), 7512; https://doi.org/10.3390/s25247512 - 10 Dec 2025
Viewed by 508
Abstract
Terrestrial laser scanning (TLS) point clouds require high-precision registration and georeferencing to be used effectively. Only then can data from multiple stations be integrated and transformed from the instrument’s local coordinate system into a common, stable reference frame that ensures temporal consistency for [...] Read more.
Terrestrial laser scanning (TLS) point clouds require high-precision registration and georeferencing to be used effectively. Only then can data from multiple stations be integrated and transformed from the instrument’s local coordinate system into a common, stable reference frame that ensures temporal consistency for further analyses of displacement and deformation. The article demonstrates the validation of an innovative referencing system devised to improve the reliability and accuracy of registering and georeferencing TLS point clouds. The primary component of the system is openable reference spheres, whose centroids can be directly and precisely determined using surveying methods. It also includes dedicated adapters: tripods and adjustable F-clamps with which the spheres can be securely mounted on various structural components, facilitating the optimal distribution of the reference markers. Laboratory tests with four modern laser scanners (Z+F Imager 5010C, Riegl VZ-400, Leica ScanStation P40, and Trimble TX8) revealed sub-millimetre accuracy of sphere fit and form errors, along with the sphere distance error within the acceptance threshold. This confirms that there are no significant systematic errors and that the system is fully compatible with various TLS technologies. The registration and georeferencing quality parameters demonstrate the system’s stability and repeatability. They were additionally verified with independent control points and geodetic levelling of the centres of the spheres. The system overcomes the critical limitations of traditional reference spheres because their centres can be measured directly using surveying methods. This facilitates registration and georeferencing accuracy on par with, or even better than, that of commercial targets. The proposed system serves as a stable and repeatable reference frame suitable for high-precision engineering applications, deformation monitoring, and longitudinal analyses. Full article
(This article belongs to the Section Remote Sensors)
Show Figures

Figure 1

18 pages, 4569 KB  
Article
Accuracy Assessment of Shoreline Extraction Using MLS Data from a USV and UAV Orthophoto on a Complex Inland Lake
by Mariusz Specht and Oktawia Specht
Remote Sens. 2025, 17(24), 3940; https://doi.org/10.3390/rs17243940 - 5 Dec 2025
Viewed by 402
Abstract
Accurate shoreline determination is essential for the study of coastal and inland water processes, hydrography, and the monitoring of aquatic and terrestrial environments. This study compares two modern remote sensing technologies: MLS conducted with a USV and photogrammetry using a UAV. The research [...] Read more.
Accurate shoreline determination is essential for the study of coastal and inland water processes, hydrography, and the monitoring of aquatic and terrestrial environments. This study compares two modern remote sensing technologies: MLS conducted with a USV and photogrammetry using a UAV. The research was carried out on Lake Kłodno, characterised by a complex shoreline with vegetation and hydrotechnical structures. Both approaches satisfied the accuracy requirements of the IHO Special Order for shoreline extraction (≤5 m at the 95% confidence level). For the UAV-derived orthophoto, the error within which 95% of shoreline points were located (corresponding to 2.45·σ) was 0.05 m for the natural shoreline and 0.06 m for the variant including piers, both well below the IHO threshold. MLS achieved a 95% error of 1.16 m, which also complies with the Special Order criteria. UAV data enable clear interpretation of the land–water boundary, whereas MLS provides complete three-dimensional spatial information, independent of lighting conditions, and allows surveys of vegetated or inaccessible areas. The results demonstrate the complementarity of the two approaches: UAV is well suited to highly accurate shoreline mapping and the identification of hydrotechnical structures, while MLS is valuable for analysing the nearshore zone and for surveying vegetated or inaccessible areas. The findings confirm the value of integrating these approaches and highlight the need to extend research to other types of waterbodies, to consider seasonal variability, and to develop methods for the automatic extraction of shorelines. Full article
Show Figures

Figure 1

16 pages, 3173 KB  
Article
GNSS Vector Networks in a Local Conventional Reference Frame
by Tadeusz Gargula
Appl. Sci. 2025, 15(24), 12867; https://doi.org/10.3390/app152412867 - 5 Dec 2025
Viewed by 290
Abstract
The paper presents a proposal for a simple method of transforming initial GNSS vectors into a spatial local conventional reference frame. This transformation can serve as an alternative to the complex traditional procedure, which involves projecting coordinates onto a reference ellipsoid, mapping them [...] Read more.
The paper presents a proposal for a simple method of transforming initial GNSS vectors into a spatial local conventional reference frame. This transformation can serve as an alternative to the complex traditional procedure, which involves projecting coordinates onto a reference ellipsoid, mapping them onto a plane of an official local reference frame, and converting ellipsoidal heights into a system of orthometric heights. Local vectors (increments in horizontal coordinates and height differences) are often used in land surveying to analyse relative ground displacement, for example. The article offers a detailed definition of a local conventional reference frame and discusses its potential value for surveying practice. The proposed computation procedure was verified using a control network established to monitor displacement in a mining area. The calculated values of vector components in the local conventional reference frame were compared with the results of the traditional method for transforming GNSS vectors into official local reference frames (the PL-2000 coordinate system and the PL-EVRF2007-NH vertical reference frame). The results of both methods were verified against reference values from typical terrestrial surveys (electronic distance measurement and high-precision geometric levelling). The analysis demonstrates that the proposed numerical procedure is appropriate for control networks with certain areal limitations (up to about 300 m). Full article
Show Figures

Figure 1

25 pages, 7441 KB  
Review
Operational Challenges and Potential Environmental Impacts of High-Speed Vessels in the Brazilian Amazon
by Jassiel V. H. Fontes, Irving D. Hernández, Rodolfo Silva, Edgar Mendoza, João Carlos Fontes de Araújo, Paulo T. T. Esperança and Lucas Duarte da Silva
Sustainability 2025, 17(23), 10673; https://doi.org/10.3390/su172310673 - 28 Nov 2025
Viewed by 529
Abstract
In the Amazon basin, there are few terrestrial communication routes between cities, so river transport is often the only viable alternative for people and cargo. Although high-speed vessels are common in the region, they face operational challenges that endanger crews and passengers. Moreover, [...] Read more.
In the Amazon basin, there are few terrestrial communication routes between cities, so river transport is often the only viable alternative for people and cargo. Although high-speed vessels are common in the region, they face operational challenges that endanger crews and passengers. Moreover, their use can impact the environment in various ways. This paper discusses operational difficulties related to the use of high-speed vessels in the Brazilian Amazon, and details possible environmental impacts, based on literature reviews and photographic information from field surveys in the state of Amazonas. The main operational challenges include interacting with complex flows, the possibility of colliding with fixed and moving objects, and the limitation of navigation routes. The main environmental impacts were classified as related to vessel motion, the propulsion system, and waste disposal. There is a need for increased innovation and research into marine applications and sustainability topics. Technical information must be disseminated more widely, including to remote regions. If the region’s sustainability is to be improved, riverine infrastructure must be enhanced and new technologies adopted. Full article
(This article belongs to the Special Issue Sustainable Transport Using Inland Waterways)
Show Figures

Figure 1

22 pages, 114644 KB  
Article
Bringing Light into the Darkness: Integrating Light Painting and 3D Recording for the Documentation of the Hypogean Tomba dell’Orco, Tarquinia
by Matteo Lombardi, Maria Felicia Rega, Vincenzo Bellelli, Riccardo Frontoni, Maria Cristina Tomassetti and Daniele Ferdani
Appl. Sci. 2025, 15(23), 12463; https://doi.org/10.3390/app152312463 - 24 Nov 2025
Viewed by 874
Abstract
The three-dimensional documentation of hypogean structures poses significant methodological challenges due to the absence of natural light, confined spaces, and the presence of fragile painted surfaces. This study presents an integrated workflow for the survey of the Tomba dell’Orco (Tarquinia), combining terrestrial laser [...] Read more.
The three-dimensional documentation of hypogean structures poses significant methodological challenges due to the absence of natural light, confined spaces, and the presence of fragile painted surfaces. This study presents an integrated workflow for the survey of the Tomba dell’Orco (Tarquinia), combining terrestrial laser scanning, photogrammetry, and the light painting technique. Borrowed from photographic practice, light painting was employed as a dynamic lighting strategy during photogrammetric acquisition to overcome issues of uneven illumination and harsh shadows typical of underground environments. By moving handheld LED sources throughout long-exposure shots, operators produced evenly illuminated images suitable for feature extraction and high-resolution texture generation. These image datasets were subsequently integrated with laser scanning point clouds through a structured pipeline encompassing registration, optimization, and texture reprojection, culminating in web dissemination via the ATON framework. The methodological focus demonstrates that light painting provides a scalable and replicable solution for documenting complex hypogean contexts, improving the photometric quality and surface readability of 3D models while reducing acquisition time compared to static lighting setups. The results highlight the potential of dynamic illumination as an operational enhancement for 3D recording workflows in low-light cultural heritage environments. Full article
Show Figures

Figure 1

21 pages, 9182 KB  
Article
Optimizing 3D Laser Scanning Parameters for Early-Stage Defect Detectability in Subgrade Condition Monitoring
by Mengmeng Liu, Gang Liu, Mingzhi Zhao, Xin Zhang, Kai Yang and Yang Chen
Sensors 2025, 25(23), 7174; https://doi.org/10.3390/s25237174 - 24 Nov 2025
Viewed by 509
Abstract
Terrestrial three-dimensional laser scanning, which plays a crucial role in engineering surveying for assessing the surface smoothness of highway embankments by providing a level of precision and continuous three-dimensional information that conventional measurement methods cannot achieve, is examined in this study through a [...] Read more.
Terrestrial three-dimensional laser scanning, which plays a crucial role in engineering surveying for assessing the surface smoothness of highway embankments by providing a level of precision and continuous three-dimensional information that conventional measurement methods cannot achieve, is examined in this study through a series of field experiments designed to determine how station location, including sampling interval, station distance, and scanning angle, influences point cloud density, spatial distribution, laser reflectivity, and surface reconstruction accuracy, and the results demonstrate that point cloud quantity decreases as sampling interval, station distance, and scanning angle increase, that the resolution of reconstructed surface undulations diminishes accordingly, that scanning angle has only a limited effect on reconstruction fidelity, that locating the instrument as close as feasible to the target area and adopting a sampling interval of 0.03 m achieves an effective balance between measurement accuracy and operational efficiency, and that optimizing parameter selection by analyzing elevation deviations at key points enhances both data quality and model precision, thereby confirming the suitability of the proposed approach for reliable highway embankment condition monitoring. Full article
Show Figures

Figure 1

4 pages, 893 KB  
Interesting Images
Shell Color Diversity and Sexual Dimorphism in Land Snail Cyclophorus ateribalteiformis (Caenogastropoda: Cyclophoroidea): A Preliminary Observation
by Guang-Long Xie, Qin Wang, Ying Cao, Jia-Yi Zhu and Feng-Yue Shu
Diversity 2025, 17(12), 811; https://doi.org/10.3390/d17120811 - 24 Nov 2025
Viewed by 337
Abstract
Cyclophorus ateribalteiformis is a dioecious land snail species endemic to China. In a recent field survey in Xishuangbanna, Yunnan Province, we observed shell color dimorphism in this species, with a pale-yellow shell morph found only in males. Measurements of 11 specimens showed that [...] Read more.
Cyclophorus ateribalteiformis is a dioecious land snail species endemic to China. In a recent field survey in Xishuangbanna, Yunnan Province, we observed shell color dimorphism in this species, with a pale-yellow shell morph found only in males. Measurements of 11 specimens showed that females have significantly greater shell height than males, indicating sexual dimorphism in shell size. DNA sequences of the cox1 and 16S rRNA genes confirmed that all individuals belong to the same species. Although sexual dimorphism in shell size and color has been reported in a few terrestrial caenogastropods, it is rare in Cyclophoroidea. Our study provides preliminary evidence of male-specific shell coloration and size dimorphism in C. ateribalteiformis. Further sampling and research are needed to confirm and better understand this phenomenon. Full article
(This article belongs to the Section Animal Diversity)
Show Figures

Figure 1

26 pages, 12950 KB  
Article
Qualitative Assessment of Point Cloud from SLAM-Based MLS for Quarry Digital Twin Creation
by Ľudovít Kovanič, Patrik Peťovský, Branislav Topitzer, Peter Blišťan and Ondrej Tokarčík
Appl. Sci. 2025, 15(22), 12326; https://doi.org/10.3390/app152212326 - 20 Nov 2025
Viewed by 669
Abstract
Quarries represent critical sites for raw material extraction, for which regular monitoring and mine surveying documentation, along with its updating, is essential to ensuring safety, environmental protection, and effective management of the mining process. This article aims to evaluate the modern approach to [...] Read more.
Quarries represent critical sites for raw material extraction, for which regular monitoring and mine surveying documentation, along with its updating, is essential to ensuring safety, environmental protection, and effective management of the mining process. This article aims to evaluate the modern approach to quarry surveying and the creation of a base mining map using advanced laser scanning methods, such as terrestrial laser scanning (TLS) and simultaneous localization and mapping (SLAM)-based mobile laser scanning (MLS). Particular attention is given to the analysis of noise generated using TLS and SLAM-based MLS methods. An analysis of mutual differences between point clouds is presented to compare the spatial accuracy of the point clouds obtained using MLS technology against those from the reference TLS method on both horizontally and vertically oriented test areas. To assess the quality and usability of data obtained using the TLS and MLS methods, a selected section of the mining wall was analyzed based on the distance between points (Cloud-to-Cloud analysis), cross-section analysis, and volume calculations based on 3D mesh models generated from stage edges and point clouds. The findings offer valuable insights into the effective use of each method in quarry surveying, contributing to the development of innovative approaches to spatial data collection as a base for creating Digital Twins of quarries. The article also evaluates the efficiency of both measurement approaches in terms of accuracy, measurement speed, and practical applicability in mining practices. The results show that the point cloud obtained by the TLS Leica RTC360 device, compared to that by the MLS method using the FARO Orbis device (FARO Technologies, Inc., Lakemary, FL, USA), achieves better values in terms of average noise level, standard deviation, interval of highest point density, and RMSD (Root Mean Square Deviation) in test areas. Our conclusions highlight the high potential of laser scanning for the modernization of mining documentation and the improvement of surveying processes in the smart mining industry, particularly for updating Digital Elevation Models (DEMs), Digital Terrain Models (DTMs), Digital Surface Models (DSMs), and other 3D models of quarries for the creation of their Digital Twins. Full article
(This article belongs to the Special Issue Surface and Underground Mining Technology and Sustainability)
Show Figures

Figure 1

24 pages, 1537 KB  
Article
Creative Tourist Segmentation for Nature-Based Tourism: A Social Media Framework for Sustainable Recreation Planning and Development in Thailand’s National Parks
by Kinggarn Sinsup and Sangsan Phumsathan
Sustainability 2025, 17(22), 10005; https://doi.org/10.3390/su172210005 - 9 Nov 2025
Viewed by 1042
Abstract
This study investigates the potential of creative tourism in Thailand’s national parks and the role of social media in promoting creative tourism experiences. The objectives were to examine creative tourism activities, identify visitor segments based on activity preferences and media use, and propose [...] Read more.
This study investigates the potential of creative tourism in Thailand’s national parks and the role of social media in promoting creative tourism experiences. The objectives were to examine creative tourism activities, identify visitor segments based on activity preferences and media use, and propose targeted communication strategies to enhance engagement and support sustainable tourism. A mixed-methods design combined document reviews of 133 national parks, field surveys in 10 parks, and a structured visitor survey with 1133 respondents across terrestrial and marine parks. The study identified 25 tourism activities, of which 20 were classified as creative tourism. Exploratory Factor Analysis revealed four key dimensions: nature-based learning, scenic immersion, community participation, and culinary experiences. Cluster analysis segmented visitors into five groups: Local Advocates, Nature Explorers, Food Enthusiasts, Nature Learners, and Diverse Enthusiasts. Media preferences varied across groups. Nature Explorers and Food Enthusiasts engaged strongly with short-form videos and scenic visuals, while Local Advocates and Nature Learners preferred educational and text-based formats. Diverse Enthusiasts, the largest segment, interacted with multiple content types. Scenic imagery emerged as the most influential theme overall. These results provide practical implications for designing creative tourism strategies and creating social media campaigns to diverse groups of tourists in Thailand’s national parks. Full article
Show Figures

Figure 1

Back to TopTop