Sign in to use this feature.

Years

Between: -

Subjects

remove_circle_outline
remove_circle_outline
remove_circle_outline
remove_circle_outline
remove_circle_outline
remove_circle_outline
remove_circle_outline
remove_circle_outline
remove_circle_outline

Journals

remove_circle_outline
remove_circle_outline
remove_circle_outline
remove_circle_outline

Article Types

Countries / Regions

remove_circle_outline
remove_circle_outline
remove_circle_outline
remove_circle_outline
remove_circle_outline
remove_circle_outline

Search Results (360)

Search Parameters:
Keywords = termites

Order results
Result details
Results per page
Select all
Export citation of selected articles as:
32 pages, 4040 KB  
Article
Restoring Functional Soil Depth in Plinthosols: Effects of Subsoiling and Termite Mound Amendments on Maize Yield
by John Banza Mukalay, Jeroen Meersmans, Joost Wellens, Yannick Useni Sikuzani, Emery Kasongo Lenge Mukonzo and Gilles Colinet
Environments 2026, 13(1), 52; https://doi.org/10.3390/environments13010052 (registering DOI) - 17 Jan 2026
Abstract
Soil degradation and limited root-exploitable depth restrict maize productivity in Plinthosols of tropical regions. However, the combined effects of subsoiling and amendments derived from termite mound materials on soil functionality and yield remain insufficiently quantified. This study examines how variations in a functionally [...] Read more.
Soil degradation and limited root-exploitable depth restrict maize productivity in Plinthosols of tropical regions. However, the combined effects of subsoiling and amendments derived from termite mound materials on soil functionality and yield remain insufficiently quantified. This study examines how variations in a functionally exploitable rooting depth, within a management system combining subsoiling and termite mound amendments, are associated with soil physicochemical properties and spatial variability of maize (Zea mays L.) grain yield in the Lubumbashi region of the Democratic Republic of the Congo. Spatial soil sampling and correlation analyses were used to identify the dominant pedological factors controlling yield variability. The results indicate a reduced vertical stratification of most nutrients within the explored depth, reflecting a more homogeneous distribution of soil properties within the managed profile, although direct causal attribution to specific practices cannot be established in the absence of untreated control plots. Improved rooting conditions were reflected by high and spatially variable productivity (2.3 to 11.1 t ha−1 across blocks), accompanied by a moderate average gain between seasons (<1 t ha−1), while extractable manganese emerged as a consistent negative predictor of yield. These patterns are consistent with a larger functionally exploitable rooting depth and an improved soil environment, although causal contributions of subsoiling and termite mound amendments cannot be isolated in the absence of control plots. Overall, the results highlight the importance of jointly considering structural and chemical soil properties when interpreting productivity gradients in Plinthosols and designing sustainable management strategies for degraded tropical soils. Full article
(This article belongs to the Topic Soil Quality: Monitoring Attributes and Productivity)
12 pages, 2095 KB  
Article
Caste-Dependent Interspecific Tolerance Permits Alien Reproductives to Reproduce Within Host Colonies in Reticulitermes Termites Under Laboratory Conditions
by Zhuang-Dong Bai, Ya-Nan Dong, David Sillam-Dussès and Rui-Wu Wang
Insects 2026, 17(1), 76; https://doi.org/10.3390/insects17010076 - 9 Jan 2026
Viewed by 226
Abstract
Nestmate recognition is the primary defense mechanism maintaining the integrity of eusocial insect colonies. While social parasitism is widespread in Hymenoptera, it is rarely documented in termites, and the behavioral boundaries preventing interspecific infiltration remain poorly understood. Here, we investigated the potential for [...] Read more.
Nestmate recognition is the primary defense mechanism maintaining the integrity of eusocial insect colonies. While social parasitism is widespread in Hymenoptera, it is rarely documented in termites, and the behavioral boundaries preventing interspecific infiltration remain poorly understood. Here, we investigated the potential for interspecific integration between two closely related termite species under laboratory conditions. We introduced Reticulitermes labralis workers and reproductives (queens and kings) into orphaned groups of R. aculabialis. We found that host workers exhibited caste-dependent aggression: introduced workers were immediately attacked and eliminated, whereas alien reproductives were partially tolerated. Surviving alien reproductives successfully integrated into host group, receiving allogrooming and trophallactic care from host workers. Crucially, these integrated pairs produced viable eggs and larvae. Molecular analysis confirmed that the brood reared by the host workers were the genetic offspring of the introduced R. labralis pair, demonstrating successful “cuckoo-like” reproduction. These findings reveal that termite colony recognition is sufficiently flexible to permit the acceptance of heterospecific reproductives when native royals are absent. While field evidence remains to be discovered, our results demonstrate that the behavioral and physiological prerequisites for social parasitism exist in termites, supporting the hypothesis that close phylogenetic relatedness (Emery’s rule) facilitates the breach of social barriers. Full article
(This article belongs to the Section Social Insects and Apiculture)
Show Figures

Figure 1

22 pages, 4392 KB  
Article
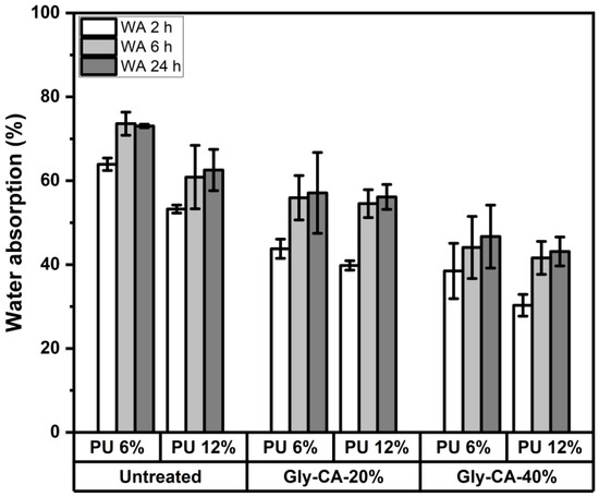
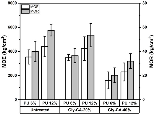
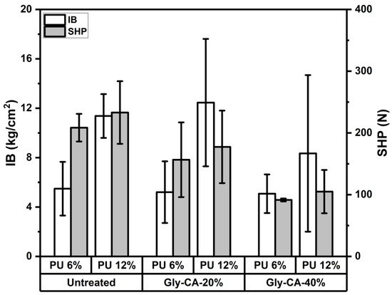
Characteristics of Particleboards Made from Esterified Rattan Skin Particles with Glycerol–Citric Acid: Physical, Mechanical, Chemical, and Durability Properties
by Mahdi Mubarok, Budi Arifin, Trisna Priadi, Yusuf Sudo Hadi, Deazy Rachmi Trisatya, Eko Setio Wibowo, Imam Busyra Abdillah, Resa Martha, Abdus Syukur, Obie Farobie, Lukmanul Hakim Zaini, Sukma Surya Kusumah, Philippe Gérardin, Holger Militz, Xiaojian Zhou, Ioanna A. Papadopoulou and Antonios N. Papadopoulos
Polymers 2026, 18(1), 107; https://doi.org/10.3390/polym18010107 - 30 Dec 2025
Viewed by 349
Abstract
This study evaluated the effects of glycerol–citric acid (Gly-CA) modification and polyurethane (PU) adhesive concentration on the properties and termite resistance of rattan skin-based particleboards. Rattan skin particles were modified with 0%, 20%, and 40% Gly-CA and bonded using 6% or 12% PU [...] Read more.
This study evaluated the effects of glycerol–citric acid (Gly-CA) modification and polyurethane (PU) adhesive concentration on the properties and termite resistance of rattan skin-based particleboards. Rattan skin particles were modified with 0%, 20%, and 40% Gly-CA and bonded using 6% or 12% PU adhesive. Gly-CA modification significantly improved dimensional stability, reducing water absorption and thickness swelling to about 35–40% and 4–6%, respectively, at 40% Gly-CA with 12% PU. However, excessive modification decreased mechanical strength due to over-crosslinking, while 20% Gly-CA provided the best balance between strength and stability. FTIR analysis confirmed ester and urethane bond formation, while thermogravimetric results showed enhanced thermal stability with increasing Gly-CA content (Tmax up to 356.8 °C). Field tests conducted over 98 days revealed a substantial improvement in durability, with termite-induced mass loss decreasing from about 28% in untreated boards to below 8% in Gly-CA–modified samples. From this study, the combination of 40% Gly-CA modification and 12% PU adhesive produced particleboards with improved dimensional and thermal stability, as well as durability against termites. These findings highlight glycerol–citric acid bio-modification as a sustainable and effective strategy for developing durable eco-friendly rattan skin-based composites. Full article
(This article belongs to the Section Polymer Composites and Nanocomposites)
Show Figures

Figure 1

18 pages, 4858 KB  
Article
Whole-Genome Analysis and Lignin Degradation Characterization of Termite-Derived Bacillus cereus BC-8
by Xingbo Zhang, Jingtao Li, Yue Hu, Zhanbo Cai, Nan Li, Runsen Xue, Zexuan Mo, Chenghao Yang and Yuhui Yang
Microorganisms 2026, 14(1), 54; https://doi.org/10.3390/microorganisms14010054 - 26 Dec 2025
Viewed by 323
Abstract
Lignin is one of the primary biomass resources in nature; however, its highly stable structure makes it difficult to degrade and utilise. As efficient decomposers of lignocellulosic biomass, termites rely on their gut microbiota for digestion. Consequently, termite guts harbour abundant and specialized [...] Read more.
Lignin is one of the primary biomass resources in nature; however, its highly stable structure makes it difficult to degrade and utilise. As efficient decomposers of lignocellulosic biomass, termites rely on their gut microbiota for digestion. Consequently, termite guts harbour abundant and specialized lignin-degrading microorganisms. In this study, we isolated a bacterium from the termite gut and identified it as Bacillus cereus BC-8. The laccase activity of B. cereus BC-8 reached the maximum of 87.8 U/L at 72 h, and the lignin degradation rate reached 33.66% within 7 days. Furthermore, we analyzed the structural changes in lignin after treatment with this bacterial strain. Field emission scanning electron microscopy observations revealed that the surface structural integrity of lignin was significantly disrupted after treatment. Fourier transform infrared spectroscopy analysis indicated that B. cereus BC-8 affected the side chains and aromatic skeleton structures of lignin. Thermogravimetric analysis further revealed that B. cereus BC-8 disrupted the primary inter-unit β-O-4 ether bonds of lignin. Whole-genome sequencing of B. cereus BC-8 revealed a genome length of 5,374,773 bp and a GC content of 35.34%. Functional gene annotation revealed that the B. cereus BC-8 genome contains genes encoding various lignin-degrading enzymes (laccase, cytochrome P450, and vanillin oxidase) and their auxiliary factors, along with the phenylalanine and benzoic acid metabolic pathways, which are associated with lignin degradation. In conclusion, B. cereus BC-8 can break down the side chains, aromatic skeletons, and β-O-4 ether bonds of lignin molecules, demonstrating excellent lignin degradation ability. At the molecular level, this study elucidates the key genes and metabolic pathways related to lignin degradation in the genome of B. cereus BC-8. Full article
(This article belongs to the Section Microbial Biotechnology)
Show Figures

Figure 1

15 pages, 6733 KB  
Article
Underground Nests and Foraging Activity of Invasive Conehead Termites (Nasutitermes corniger; Blattodea: Termitidae)
by Barbara L. Thorne, Katherine E. Tenn, Sue Alspach, Monica N. Roden and Marah S. Clark
Insects 2025, 16(12), 1262; https://doi.org/10.3390/insects16121262 - 12 Dec 2025
Viewed by 432
Abstract
Across their wide geographic range (Neotropics, and as invasives in New Guinea and Florida), Nasutitermes corniger (conehead termites) live primarily above the ground surface. They build arboreal nests and foraging tunnels, or epigeal nests and tunnels on the ground surface. There are brief [...] Read more.
Across their wide geographic range (Neotropics, and as invasives in New Guinea and Florida), Nasutitermes corniger (conehead termites) live primarily above the ground surface. They build arboreal nests and foraging tunnels, or epigeal nests and tunnels on the ground surface. There are brief reports of below-ground portions of N. corniger nests and foraging tunnels as rare occurrences of structures extending underground. The entirely and partially underground nests and foraging tunnels described in this paper are distinct and novel from previous observations. They are based on multiple discoveries in areas of Broward County, Florida, where invasive conehead termite activity below ground is common. This paper expands understanding of habitat options for this ecologically agile, adaptable, economically important species. It also serves to alert inspectors in invasive termite eradication programs or pest management situations to explore cryptic locations where nests of all sizes may hide. Effective approaches for treating underground N. corniger activities are described. Full article
(This article belongs to the Section Social Insects and Apiculture)
Show Figures

Figure 1

14 pages, 582 KB  
Article
In Vitro Termiticidal Activity of Medicinal Plant Essential Oils Against Microcerotermes crassus
by Chaiamon Chantarapitak, Jarongsak Pumnuan, Chaiwat Chanpitak and Somsak Kramchote
Insects 2025, 16(12), 1261; https://doi.org/10.3390/insects16121261 - 11 Dec 2025
Viewed by 562
Abstract
Termites are destructive structural pests causing significant economic losses worldwide. Although synthetic termiticides are effective, their extensive use raises environmental and health concerns, highlighting the need for safer, sustainable alternatives. This study evaluated the contact toxicity and repellency in a closed system of [...] Read more.
Termites are destructive structural pests causing significant economic losses worldwide. Although synthetic termiticides are effective, their extensive use raises environmental and health concerns, highlighting the need for safer, sustainable alternatives. This study evaluated the contact toxicity and repellency in a closed system of essential oils (EOs) from clove (Syzygium aromaticum), cinnamon (Cinnamomum zeylanicum), and star anise (Illicium verum) against Microcerotermes crassus workers. Chemical constituents (eugenol and anethole) were characterized by GC–MS/MS, and their activities were compared with those commercial termiticides (fipronil and cypermethrin). Clove and cinnamon oils exhibited strong toxicity, with LC50 values decreasing from 208.6 to 70.6 µL/L and from 362.6 to 130.5 µL/L, respectively, over 24 h. Both achieved LT50 values below 10 h at 250 µL/L and over 80% repellency at 100–500 µL/L within 3–12 h. Eugenol, the major constituent, showed comparable activity. In contrast, star anise oil, dominated by anethole, displayed weaker repellency but measurable termiticidal effects with a slower onset. These findings indicate that eugenol-rich oils may provide rapid-contact activity. In contrast, anethole-rich oils may offer slower but measurable termiticidal effects, suggesting distinct potential roles in future formulation development. The findings provide a foundation for developing nanoemulsion-based botanical termiticides with improved stability and field performance. Full article
(This article belongs to the Section Insect Pest and Vector Management)
Show Figures

Graphical abstract

13 pages, 4200 KB  
Article
Intelligent Identification of Embankment Termite Nest Hidden Danger by Electrical Resistivity Tomography
by Fuyu Jiang, Yao Lei, Peixuan Qiao, Likun Gao, Jiong Ni, Xiaoyu Xu and Sheng Zhang
Appl. Sci. 2025, 15(23), 12763; https://doi.org/10.3390/app152312763 - 2 Dec 2025
Viewed by 366
Abstract
Traditional electrical resistivity tomography (ERT) technology confronts bottlenecks such as the volume effect in the detection of termite nests in levees, while the ERT based on deep learning has insufficient interpretation accuracy due to small sample data. This study proposes an intelligent ERT [...] Read more.
Traditional electrical resistivity tomography (ERT) technology confronts bottlenecks such as the volume effect in the detection of termite nests in levees, while the ERT based on deep learning has insufficient interpretation accuracy due to small sample data. This study proposes an intelligent ERT diagnosis framework that integrates generative adversarial networks (GANs) with semantic segmentation models. The GAN-enhanced networks (GFU-Net and GFL-Net) are developed, incorporating a Squeeze-and-Excitation (SE) attention mechanism to suppress false anomalies. Additionally, a comprehensive loss function combining binary cross-entropy (BCE) and the Focal loss function is used to address the issue of sample imbalance. Using forward modeling based on the finite difference method (FDM), a termite nest hidden danger ERT dataset, which includes seven types of high-resistance anomaly configurations, is generated. Numerical simulations demonstrate that GFL-Net achieves a mean intersection-over-union (mIoU) of 97.68% and a spatial positioning error of less than 0.04 m. In field validation on a red clay embankment in Jiangxi Province, this method significantly improves the positioning accuracy of hidden termite nests compared to traditional least squares (LS) inversion. Excavation verification results show that the maximum error in the horizontal center and top burial depth of the termite nest identified by GFL-Net is less than 7% and 16%, respectively. The research findings provide reliable technical support for the accurate identification of termite nest hidden dangers in embankments. Full article
Show Figures

Figure 1

24 pages, 5396 KB  
Article
Unveiling the Hidden Diversity of Termitomyces (Lyophyllaceae, Agaricales) in Northern Thailand: Identification of Five New Species and the First Report of Termitomyces acriumbonatus
by Soumitra Paloi, Jaturong Kumla, Wiphawanee Phonrob, Barsha Pratiher Paloi and Nakarin Suwannarach
J. Fungi 2025, 11(12), 830; https://doi.org/10.3390/jof11120830 - 24 Nov 2025
Viewed by 815
Abstract
Members of the genus Termitomyces frequently grow in association with termites. During the monsoon season of 2022 and 2023, a total number of 13 Termitomyces samples were collected from the Chiang Mai University campus, Thailand. The objective of this study was to identify [...] Read more.
Members of the genus Termitomyces frequently grow in association with termites. During the monsoon season of 2022 and 2023, a total number of 13 Termitomyces samples were collected from the Chiang Mai University campus, Thailand. The objective of this study was to identify the collected samples. Based on morphological and molecular investigations, six distinct species were identified from the collected specimens. Five species (T. griseobulbus, T. griseobrunneus, T. planiperforatorius, T. pseudoheimii, and T. salmonicolor) are described herein as new to science, while one species (T. acriumbonatus) represents a new record for Thailand. The multi-gene phylogenetic analysis of the large subunit (nrLSU) of nuclear ribosomal DNA, the small subunit of mitochondrial DNA (mtSSU), and the nuclear internal transcribed spacer (nrITS) sequences confirmed that all six species belong to the genus Termitomyces. Full morphological descriptions, colour photographs, illustrations, and comparisons with phylogenetically and morphologically related species are provided. Full article
Show Figures

Figure 1

22 pages, 4332 KB  
Article
β-Glucosidases: In Silico Analysis of Physicochemical Properties and Domain Architecture Diversity Revealed by Metagenomic Technology
by Thi Quy Nguyen, Thi Huyen Do, Ngoc Giang Le, Hong Duong Nguyen, Trong Khoa Dao, Nho Thai Dinh and Nam Hai Truong
Diversity 2025, 17(11), 804; https://doi.org/10.3390/d17110804 - 20 Nov 2025
Viewed by 557
Abstract
β-Glucosidases, ubiquitous enzymes with significant contribution to several industries were previously identified as diverse in bacterial metagenomes from Vietnamese native goat rumens, wood humus from Cuc Phuong national forest, and termite gut. In this study, we systematically analyzed their sequence diversity, domain architectures, [...] Read more.
β-Glucosidases, ubiquitous enzymes with significant contribution to several industries were previously identified as diverse in bacterial metagenomes from Vietnamese native goat rumens, wood humus from Cuc Phuong national forest, and termite gut. In this study, we systematically analyzed their sequence diversity, domain architectures, domain arrangements, physicochemical properties, and producers associated with their structures, conserving catalytic domains. A total of 833 β-glucosidase sequences were categorized into three families: GH1, GH16, and GH3, forming 30 distinct domain architectures with variable isoelectric points, alkaline scores, and melting temperatures across ecological niches. GH1 enzymes exhibited the lowest architectural diversity, whereas GH16 enzymes were frequently associated with carbohydrate-binding module 4 (CBM4) and CBM12 domains. Over 90% of GH3 enzymes contained fibronectin type III (FN3) and accessory domains such as PA14, CBM6, Big_2, or ExoP, with some harboring secondary catalytic domains. Most goat rumen β-glucosidases originated from cellulosome-producing bacteria. A recombinant β-glucosidase GH3-31 expressed in E. coli exhibited optimal activity at 40 °C (lower than the predicted Tm of 49.8 °C), pH5.5 (near the predicted pI of 5.61), Km of 1.37 mM ± 0.08 mM, and Vmax of 43.17 ± 0.6 U/mg. Its activity was enhanced by Tween 20, Tween 80, Triton X-100, and CTAB. These findings provide a comprehensive resource for β-glucosidase engineering and application-oriented screening. Full article
(This article belongs to the Section Microbial Diversity and Culture Collections)
Show Figures

Figure 1

55 pages, 31519 KB  
Review
Learning from Nature: Bio-Inspired Designs and Strategies for Efficient On-Earth and Off-Earth Ventilation Systems
by Ulfa Riani, Noune Melkoumian, David Harvey and Rini Akmeliawati
Biomimetics 2025, 10(11), 754; https://doi.org/10.3390/biomimetics10110754 - 7 Nov 2025
Viewed by 1545
Abstract
Efficient ventilation systems are of paramount importance for maintaining optimal air quality in indoor and enclosed environments, both on Earth and in space. Such environments include buildings, space habitats, international space station crew quarters, tunnels, underground mines and other structures. However, conventional ventilation [...] Read more.
Efficient ventilation systems are of paramount importance for maintaining optimal air quality in indoor and enclosed environments, both on Earth and in space. Such environments include buildings, space habitats, international space station crew quarters, tunnels, underground mines and other structures. However, conventional ventilation systems encounter various challenges, including uneven air distribution, energy inefficiency, noise, and limited adaptability to fluctuating environmental conditions. Concurrently, a multitude of organisms in nature have demonstrated the capacity to construct structures that can facilitate efficient air exchange and heat regulation. Illustrative examples of such structures include ant nests, termite mounds and prairie dog burrows. The present study explores, analyses and summarizes the mechanisms, structures and strategies found in nature that can inspire the design of efficient and effective ventilation systems. The purpose of this paper is to highlight the practical implications of the aforementioned designs. To this end, it reviews the progress of research into bio-inspired ventilation, focusing on the following three areas: air regulation, component optimization and environmentally adaptive strategies. A bibliometric analysis and research trend is presented to illustrate the key developments in this field over the past 25 years. The potential of integrating the bio-inspired strategies into ventilation systems, with a particular emphasis on off-Earth habitats and underground mines, is discussed. This study provides a comprehensive overview of the development of bio-inspired ventilation systems, thereby establishing the foundation for the creation of innovative and efficient design solutions. Full article
(This article belongs to the Special Issue Biomimetic Approaches and Materials in Engineering)
Show Figures

Graphical abstract

19 pages, 2925 KB  
Article
Research on Target Detection and Counting Algorithms for Swarming Termites in Agricultural and Forestry Disaster Early Warning
by Hechuang Wang, Yifan Wang and Tong Chen
Appl. Sci. 2025, 15(21), 11838; https://doi.org/10.3390/app152111838 - 6 Nov 2025
Viewed by 510
Abstract
The accurate monitoring of termite swarming—a key indicator of dispersal and population growth—is essential for early warning systems that mitigate infestation risks in agricultural and forestry environments. Automated detection and counting systems have become a viable alternative to labor-intensive and time-consuming manual inspection [...] Read more.
The accurate monitoring of termite swarming—a key indicator of dispersal and population growth—is essential for early warning systems that mitigate infestation risks in agricultural and forestry environments. Automated detection and counting systems have become a viable alternative to labor-intensive and time-consuming manual inspection methods. However, detecting and counting such small and fast-moving targets as swarming termites poses a significant challenge. This study proposes the YOLOv11-ST algorithm and a novel counting algorithm to address this challenge. By incorporating the Fourier-domain parameter decomposition and dynamic modulation mechanism of the FDConv module, along with the LRSA attention mechanism that enhances local feature interaction, the feature extraction capability for swarming termites is improved, enabling more accurate detection. The SPPF-DW module was designed to replace the original network’s SPPF module, enhancing the feature capture capability for small targets. In comparative evaluations with other baseline models, YOLOv11-ST demonstrated superior performance, achieving a Recall of 87.32% and a mAP50 of 93.21%. This represents an improvement of 2.1% and 2.02%, respectively, over the original YOLOv11. The proposed counting algorithm achieved an average counting accuracy of 91.2%. These research findings offer both theoretical and technical support for the development of a detection and counting system for swarming termites. Full article
Show Figures

Figure 1

18 pages, 1957 KB  
Article
Disentangling Gut Bacterial Community Patterns in Cryptocercus punctulatus and Comparing Their Metagenomes with Other Xylophagous Dyctioptera Insects
by Mercedes Berlanga, David Miñana-Galbis and Ricardo Guerrero
Insects 2025, 16(11), 1128; https://doi.org/10.3390/insects16111128 - 4 Nov 2025
Viewed by 700
Abstract
Gut microbiota enable wood-feeding insects to digest recalcitrant diets. Two DNA-based analyses were performed. Amplicon sequencing of gut microbiota samples from Cryptocercus punctulatus showed inter-individual heterogeneity with visually distinct ordination patterns; however, no statistically significant differences were detected. Shotgun metagenomics was used to [...] Read more.
Gut microbiota enable wood-feeding insects to digest recalcitrant diets. Two DNA-based analyses were performed. Amplicon sequencing of gut microbiota samples from Cryptocercus punctulatus showed inter-individual heterogeneity with visually distinct ordination patterns; however, no statistically significant differences were detected. Shotgun metagenomics was used to compare the taxonomic and functional profiles of C. punctulatus gut microbiota with those of other xylophagous Dictyoptera. Despite taxonomic differences, C. punctulatus microbiota revealed functional convergence with termites (Mastotermes darwiniensis and Nasutitermes sp.). Carbohydrate metabolism was performed by different bacterial phyla across all insects. All insect species possessed metabolic potential for cellulose, hemicellulose, pectin, and starch digestion, but lignin degradation capabilities were not detected. Termites showed higher abundance of chitin and xylan degradation pathways and nitrogen fixation genes, though nitrogen fixation was also present in Cryptocercus cockroaches. Genes for oxidative stress tolerance were present across all species but were most abundant in cockroaches, particularly, Cryptocercus. All insects harbored antibiotic resistance genes, with highest levels found in cockroaches. These findings indicate that metabolic requirements for wood digestion shape gut microbial community assembly across xylophagous insects, with distinct microbial taxa contributing to cellulose and hemicellulose breakdown. Moreover, the widespread presence of antibiotic resistance genes raises concerns about the potential transmission of antibiotic resistance within insect-associated microbiomes. Full article
(This article belongs to the Section Insect Physiology, Reproduction and Development)
Show Figures

Graphical abstract

17 pages, 6569 KB  
Article
Attraction-Mediated Synergy: Insecticide Toxicity Against Coptotermes formosanus Enhanced by Trichoderma Metabolites
by Aysha Siddika, Siqi Chen, Keer Zhu, Xiangfei Wang, Xinquan Du, Linjuan Wan, Min Liu and Lang Zhang
Insects 2025, 16(11), 1116; https://doi.org/10.3390/insects16111116 - 31 Oct 2025
Viewed by 655
Abstract
Previous studies have demonstrated that Trichoderma metabolites triggered aggregation behavior in Coptotermes formosanus (Blattodea: Rhinotermitidae). Building on this, the present work systematically evaluated the behavioral effects of three specific Trichoderma metabolites—phenol, ethyl 2,4-dioxovalerate, and diglycolic acid—and their synergistic interactions with insecticides. We hypothesized [...] Read more.
Previous studies have demonstrated that Trichoderma metabolites triggered aggregation behavior in Coptotermes formosanus (Blattodea: Rhinotermitidae). Building on this, the present work systematically evaluated the behavioral effects of three specific Trichoderma metabolites—phenol, ethyl 2,4-dioxovalerate, and diglycolic acid—and their synergistic interactions with insecticides. We hypothesized that these metabolites attract C. formosanus through multiple behavioral mechanisms and enhance the toxicity of insecticides. Bioactivity showed that ethyl 2,4-dioxovalerate and diglycolic acid exhibited no significant toxicity. Phenol (5 × 10−2 to 5 µg/cm) and ethyl 2,4-dioxovalerate (5 × 10−1 µg/cm) elicited trail-following behavior. In the no-choice insecticide synergy test, phenol or diglycolic acid combined with imidacloprid (50 µg/g) resulted in substantially higher mortality compared to insecticides alone. The combination of metabolites with fipronil resulted in 100% mortality in termites. In two-choice aggregation tests, termite presence on metabolite-treated filter papers was significantly elevated compared to the controls. Fipronil (10 μg/g) alone significantly reduced termite aggregation. But when fipronil was combined with the metabolites, termite presence on the treated papers increased significantly, resulting in a substantial rise in mortality and demonstrating a clear attract–kill synergy. These findings identify Trichoderma metabolites as safe and effective behavioral regulators for C. formosanus. By enhancing insecticidal efficacy through attractant–toxicity synergy, they represent promising candidates for developing novel termite control strategies. Full article
Show Figures

Graphical abstract

24 pages, 7432 KB  
Article
Simulation of the Growth and Yield of Maize (Zea mays L.) on a Loosened Plinthosol Amended with Termite Mound Material in the Lubumbashi Region
by John Banza Mukalay, Joost Wellens, Jeroen Meersmans, Yannick Useni Sikuzani, Emery Kasongo Lenge Mukonzo and Gilles Colinet
Agriculture 2025, 15(21), 2272; https://doi.org/10.3390/agriculture15212272 - 31 Oct 2025
Viewed by 850
Abstract
The low fertility of plinthosols is a major constraint on agricultural production, largely due to the presence of plinthite, which restricts the availability of water and nutrients. This study aimed to simulate the growth and yield of grain maize on a loosened plinthosol [...] Read more.
The low fertility of plinthosols is a major constraint on agricultural production, largely due to the presence of plinthite, which restricts the availability of water and nutrients. This study aimed to simulate the growth and yield of grain maize on a loosened plinthosol amended with termite mound (from Macrotermes falciger) material in the Lubumbashi region. A 660-hectare perimeter was established, subdivided into ten maize blocks (B1–B10) and a control block (B0), which received the same management practices as the other blocks except for subsoiling and termite mound amendment. The APSIM model was used for simulations. The leaf area index (LAI) was estimated from Sentinel-2 imagery via Google Earth Engine, using the Simple Ratio (SR) spectral index, and integrated into APSIM alongside agro-environmental variables. Model performance was assessed using cross-validation (2/3 calibration, 1/3 validation) based on the coefficient of determination (R2), Nash–Sutcliffe efficiency (NSE), and root mean square error (RMSE). Results revealed a temporal LAI dynamic consistent with maize phenology. Simulated LAI matched observations closely (R2 = 0.85 − 0.93; NSE = 0.50 − 0.77; RMSE = 0.29 − 0.40 m2 m−2). Maize grain yield was also well predicted (R2 = 0.91; NSE > 0.80; RMSE < 0.50 t ha−1). Simulated yields reproduced the observed contrast between treated and control blocks: 10.4 t ha−1 (B4, 2023–2024) versus 4.1 t ha−1 (B0). These findings highlight the usefulness of combining remote sensing and biophysical modeling to optimize soil management and improve crop productivity under limiting conditions. Full article
(This article belongs to the Section Agricultural Soils)
Show Figures

Figure 1

13 pages, 2800 KB  
Article
T7-Synthesized Double-Stranded RNA Mimicking miR-71 Induces Termite RNAi and Increases Fungal Efficacy
by Chenchen Zhao, Hang Lu, Ruotian Cheng, Pengfei Zhao, Gaoling Zhang, Hongsong Chen, Qingbo Tang and Long Liu
Biomolecules 2025, 15(11), 1517; https://doi.org/10.3390/biom15111517 - 27 Oct 2025
Viewed by 696
Abstract
miR-71 has been determined to enhance the efficacy of biological control agents against termites. However, it is not clear how miR-71 functions in enhancing the termite control. In this study, we tested the effects of termite miR-71 on the transcriptional and translational profiles [...] Read more.
miR-71 has been determined to enhance the efficacy of biological control agents against termites. However, it is not clear how miR-71 functions in enhancing the termite control. In this study, we tested the effects of termite miR-71 on the transcriptional and translational profiles of termites via the commercial product miR-71 agomir, and meanwhile developed a cost-effective method using T7 RNA polymerase to synthesize a miR-71 mimic, comparing the effects of the T7-synthesized miR-71 mimic versus the commercial miR-71 agomir on the gene expressions and infection mortality of termites. Comparative bioassays demonstrated that both miR-71 mimic and agomir significantly increased fungus-induced termite mortality with equivalent bioactivity. Mechanistically, transcriptomic and proteomic analyses revealed that commercial miR-71 agomir modulated the expression of defense-related genes, such as hexamerin-1, neuroligin-4, and probable chitinase-10. Meanwhile, RT-qPCR confirmed that T7-synthesized miR-71 mimic induced similar expression changes in the same target genes. Additionally, the dsRNA-mediated silencing of hexamerin-1, neuroligin-4, and probable chitinase-10 made termites more vulnerable to the fungus, respectively. Our study establishes in vitro-transcribed miRNA mimics as potent and cost-effective tools for studying ‘miRNA–mRNA’ interaction, and meanwhile lays the foundation for the microbe-mediated expression of small-RNA mimics in enhancing termite biocontrol. Full article
(This article belongs to the Section Molecular Biology)
Show Figures

Figure 1

Back to TopTop