Sign in to use this feature.

Years

Between: -

Subjects

remove_circle_outline
remove_circle_outline
remove_circle_outline
remove_circle_outline
remove_circle_outline
remove_circle_outline
remove_circle_outline
remove_circle_outline
remove_circle_outline

Journals

remove_circle_outline
remove_circle_outline
remove_circle_outline
remove_circle_outline
remove_circle_outline
remove_circle_outline
remove_circle_outline
remove_circle_outline
remove_circle_outline
remove_circle_outline
remove_circle_outline
remove_circle_outline
remove_circle_outline

Article Types

Countries / Regions

remove_circle_outline
remove_circle_outline
remove_circle_outline
remove_circle_outline
remove_circle_outline

Search Results (1,622)

Search Parameters:
Keywords = temperature rising rate

Order results
Result details
Results per page
Select all
Export citation of selected articles as:
18 pages, 4244 KB  
Article
Experimental Study on Flame Behavior and Temperature Rise Under Ceiling in Single-Lane Tunnel Fire Scenarios
by Yaning Xue, Yanfeng Li, Longyue Li, Mengzhen Liu and Xin Zhao
Fire 2026, 9(2), 53; https://doi.org/10.3390/fire9020053 (registering DOI) - 24 Jan 2026
Abstract
Single-lane tunnels, characterized by narrow and high cross-sections with limited ventilation, present significantly higher fire hazards than conventional multi-lane tunnels. To investigate flame morphology and ceiling temperature evolution in such confined spaces, a comprehensive set of reduced-scale fire tests was conducted using a [...] Read more.
Single-lane tunnels, characterized by narrow and high cross-sections with limited ventilation, present significantly higher fire hazards than conventional multi-lane tunnels. To investigate flame morphology and ceiling temperature evolution in such confined spaces, a comprehensive set of reduced-scale fire tests was conducted using a 1:10 scale tunnel model based on Froude similarity. The effects of the heat release rate (HRR), transverse fire location, and fire source height were systematically analyzed. The results indicate that the transverse fire location critically influences flame behavior: a centerline fire produces a stable, vertically symmetric flame, whereas a wall-attached fire exhibits a periodic oscillation of attachment, elongation, and detachment. The maximum ceiling temperature rise increases with both HRR and fire source height. Notably, compared to a centerline fire, a wall-attached fire can increase the maximum ceiling temperature rise by up to 39% due to sidewall confinement. Based on the experimental data, a predictive correlation for the maximum ceiling temperature rise under centerline fire conditions was established. Furthermore, a global prediction model incorporating a transverse position coefficient was proposed, which shows good agreement with the experimental results. Comparative analysis reveals that the temperature rise coefficient for the single-lane tunnel is approximately 13% higher than that of multi-lane tunnels. These findings provide a theoretical basis for fire risk assessment and safety design in single-lane tunnel infrastructure. Full article
(This article belongs to the Special Issue Modeling, Experiment and Simulation of Tunnel Fire)
Show Figures

Figure 1

28 pages, 8104 KB  
Article
Spatial and Temporal Dynamics and Climate Contribution of Forest Ecosystem Carbon Sinks in Guangxi During 2000–2023
by Jianfei Mo, Hao Yan, Bei Hu, Cheng Chen, Xiyuan Zhou and Yanli Chen
Forests 2026, 17(2), 151; https://doi.org/10.3390/f17020151 - 23 Jan 2026
Abstract
To clarify the spatial–temporal evolution patterns and climate-driven mechanisms of carbon sinks of forest ecosystems under climate change, we calculated the net ecosystem productivity (NEP) of forests in the Guangxi region using remote sensing and meteorological data from 2000 to 2023. By employing [...] Read more.
To clarify the spatial–temporal evolution patterns and climate-driven mechanisms of carbon sinks of forest ecosystems under climate change, we calculated the net ecosystem productivity (NEP) of forests in the Guangxi region using remote sensing and meteorological data from 2000 to 2023. By employing trend analysis, spatial clustering, the Hurst index, and climate contribution evaluation, we analyzed the spatial and temporal changes, sustainability, and the relative contribution of climate impacts on forest carbon sinks. The results are as follows: The carbon sink capacity of forests in Guangxi increased continuously from 2000 to 2023, at a rate of 3.57 g C·m−2·a−1, reaching 39.19% higher in 2023 than in 2000. The carbon sink capacity was higher in the southwest and lower in the northeast, with hotspots mainly located in evergreen/deciduous broad-leaved forest areas. The Hurst index indicates that 84.44% of regions are likely to maintain this increasing trend, suggesting stability in forest carbon sink function. The climate contribution rate to forest carbon sinks was moderate, with significant temporal fluctuations. Temperature governed annual variation in forest carbon sinks, influencing up to 36.37% of the area. The annual average contribution rate of climate change to forest carbon sinks was 30.28%, but there were temporal fluctuations and spatial heterogeneity. Over time, climate contributions had a positive driving impact; however, extreme climate events tended to produce a negative effect. The pattern of forest carbon sinks in Guangxi showed a “heat sink-coupling” phenomenon, with 16.23% of the hotspots of forest carbon sinks coinciding with temperature control zones, highlighting the enhancing effect of temperature rise on carbon sinks against a background of water and heat synergy. This study provides a scientific basis for the assessment of forest carbon sink potential and climate suitability management in Guangxi. Full article
(This article belongs to the Section Forest Inventory, Modeling and Remote Sensing)
24 pages, 17778 KB  
Article
Safety Assessment of Road Tunnel Subjected to Fires Caused by Battery Electric Vehicles Using Numerical Simulation
by Zhuodong Yang, Ye Jin, Xingliang Sun, Mengjie Liao, Shuli Fan, Jianfeng Chen and Jianda Xu
Appl. Sci. 2026, 16(2), 1129; https://doi.org/10.3390/app16021129 - 22 Jan 2026
Abstract
Fire hazard events for road tunnel has correspondingly increased with battery electric vehicle (BEV) penetration rate rising. Compared with conventional internal combustion engine vehicles (ICEV), the research on damage degree of road tunnels caused by BEV fires is not mature. To this end, [...] Read more.
Fire hazard events for road tunnel has correspondingly increased with battery electric vehicle (BEV) penetration rate rising. Compared with conventional internal combustion engine vehicles (ICEV), the research on damage degree of road tunnels caused by BEV fires is not mature. To this end, the temperature distribution and residual load-bearing capacity of road tunnel were studied considering the difference temperature rise curve of BEV fire and ICEV fire. By using the indirect thermal–mechanical coupling approach, the temperature field obtained from fire simulations was applied to the structural model. The assessment of mechanical properties after high-temperature exposure was conducted using the deflection limit method and concrete plastic damage theory. The results show that different heating curve conditions have significant differences in the temperature field and damage distribution of the tunnel. Although different fire effects cause different degrees of structural damage to the tunnel lining, the overall bearing capacity of the structure still has a certain surplus. The results provide a basis for the formulation of repair schemes and reinforcement measures for tunnel structures to assess the safety and normal operation of tunnel structures. Full article
Show Figures

Figure 1

20 pages, 1148 KB  
Article
Research and Application of Pre-Emergence Flame Control of Direct-Seeding Rice
by Zhengbo Zhu, Xinghao Song, Fan Bu and Xiaobo Xi
Agronomy 2026, 16(2), 259; https://doi.org/10.3390/agronomy16020259 - 21 Jan 2026
Viewed by 36
Abstract
Pre-emergence control is one of the critical steps in the agricultural production of direct-seeding rice. To investigate the mechanism of pre-emergence flame control, a flame control test bench and a flame control and sowing integrated operation machine were designed and made. The experimental [...] Read more.
Pre-emergence control is one of the critical steps in the agricultural production of direct-seeding rice. To investigate the mechanism of pre-emergence flame control, a flame control test bench and a flame control and sowing integrated operation machine were designed and made. The experimental results demonstrate that tall fescue seeds achieved complete inactivation (100% rate) when exposed to a target temperature of 140 °C for 1 min. A temperature distribution analysis revealed that the 1 mm soil layer exhibited a lower temperature rise compared with the surface layer, while the 2 mm layer recorded the minimum temperature elevation. Among the tested nozzle–soil distances, 150 mm significantly improved the soil-heating efficacy over 200 mm, with 100 mm yielding the optimal performance. Statistical analysis confirmed that the nozzle–soil distance, seed burial depth, and operating speed exerted highly significant (p < 0.01) effects on the tall fescue seed inactivation rate. The seed burial depth emerged as the most influential factor, followed by the operating speed and nozzle–soil distance. Data from the field experiment further revealed a speed-dependent decline in the inactivation rates: 80.27% at 3 km·h−1, 66.30% at 4 km·h−1, and 46.10% at 5 km·h−1, and SPSS analysis indicated that there were extremely significant differences between every pair of groups of data (p < 0.01). This study verified that pre-emergence flame control technology can effectively eliminate grass seeds on the soil surface and has a certain inhibitory effect on shallow-buried seeds, which contributes to the advancement of pre-emergence control technology. Full article
26 pages, 6104 KB  
Article
Electromagnetic Exposure from RF Antennas on Subway Station Attendant: A Thermal Analysis
by Jin Li, Qianqian Zhang and Mai Lu
Sensors 2026, 26(2), 709; https://doi.org/10.3390/s26020709 - 21 Jan 2026
Viewed by 123
Abstract
With the rapid development of wireless communication systems, the electromagnetic environment in subway stations has become increasingly complex, raising concerns about the long-term safety of station attendants who are chronically exposed to radiofrequency (RF) fields. At present, multiphysics analyses specifically addressing RF antenna [...] Read more.
With the rapid development of wireless communication systems, the electromagnetic environment in subway stations has become increasingly complex, raising concerns about the long-term safety of station attendants who are chronically exposed to radiofrequency (RF) fields. At present, multiphysics analyses specifically addressing RF antenna exposure scenarios for subway attendants remain limited. To assess occupational electromagnetic exposure risks, this paper establishes a comprehensive electromagnetic–thermal coupling simulation model incorporating RF antennas, station-platform structures, and a realistic human model with organs including the brain, heart, and liver. Using the finite-element software COMSOL Multiphysics (v.6.3), numerical simulations are performed to calculate the specific absorption rate (SAR) in the trunk and major organs of the subway station attendant at RF antennas frequencies of 900 MHz, 2600 MHz, and 3500 MHz, as well as the temperature rise distribution of the human trunk and important tissues and organs under different initial temperatures of the environment. The results show that among the three frequencies, the maximum SAR of 5.55 × 104 W/kg occurs in the trunk at 3500 MHz. Tissue temperatures reach thermal steady state after 30 min of exposure, with the maximum temperature rises occurring in the brain at an ambient temperature of 18 °C and an operating frequency of 900 MHz, reaching 0.2123 °C. Across all simulated scenarios, both SAR values and temperature rises remain significantly below the occupational exposure limits established by the International Commission on Non-Ionizing Radiation Protection (ICNIRP). These findings indicate that RF radiation generated by antennas in the subway station environment poses low health risks to female station attendants of similar physical characteristics to the Ella model. This study provides a scientific reference for the occupational RF protection of subway personnel and contributes data for the development of electromagnetic exposure standards in rail transit systems. Full article
(This article belongs to the Section Physical Sensors)
Show Figures

Figure 1

20 pages, 2303 KB  
Article
Numerical Investigation of Sustainable Diesel Engine Performance and Emissions Using Directly Integrated Steam Methane Reforming Syngas
by Tolga Bayramoğlu, Kubilay Bayramoğlu, Semih Yılmaz and Kerim Deniz Kaya
Sustainability 2026, 18(2), 1012; https://doi.org/10.3390/su18021012 - 19 Jan 2026
Viewed by 102
Abstract
The transition toward sustainable energy systems necessitates innovative solutions that reduce greenhouse gas emissions while improving fuel efficiency in existing combustion technologies. Hydrogen has emerged as a promising clean energy carrier; however, its widespread deployment is limited by challenges associated with large-scale transportation [...] Read more.
The transition toward sustainable energy systems necessitates innovative solutions that reduce greenhouse gas emissions while improving fuel efficiency in existing combustion technologies. Hydrogen has emerged as a promising clean energy carrier; however, its widespread deployment is limited by challenges associated with large-scale transportation and storage. This study investigates a practical alternative in which hydrogen-rich syngas produced via steam methane reforming (SMR) is directly integrated into the diesel engine intake, thereby eliminating the need for fuel transport, storage, and separation while supporting a more sustainable fuel pathway. A validated computational fluid dynamics (CFD) model was developed to examine the effects of varying SMR gas mixture ratios (0–20%) on engine combustion, performance, and emissions. The findings reveal that increasing the SMR fraction enhances in-cylinder pressure by up to 15.7%, heat release rate by 100%, and engine power output by 102.5% compared to conventional diesel operation. Additionally, under SMR20 conditions, CO2 emissions are reduced by approximately 12%, demonstrating the potential contribution of this approach to decarbonization and climate mitigation efforts. However, the rise in in-cylinder temperatures was found to increase NOx formation, indicating the necessity for complementary emission control strategies. Overall, the results suggest that direct SMR syngas integration offers a promising pathway to improve the environmental and performance characteristics of conventional diesel engines while supporting cleaner energy transitions. Full article
Show Figures

Figure 1

21 pages, 12162 KB  
Article
Thermal Displacement with CO2 for E-CBM Recovery: Mechanisms and Efficacy of Temperature–Pressure Synergy in Permeability Enhancement
by Xiaohu Xu, Tengze Ge, Ersi Gao, Shuguang Li, Kai Wei, Yulong Liu and Ao Wang
Energies 2026, 19(2), 496; https://doi.org/10.3390/en19020496 - 19 Jan 2026
Viewed by 113
Abstract
The efficient development of coalbed methane (CBM) faces persistent challenges due to low recovery rates. While CO2 thermal displacement offers a promising approach, the pore–fracture structure (PFC) evolution and gas displacement mechanisms under temperature–pressure coupling remain insufficiently clear. To address this knowledge [...] Read more.
The efficient development of coalbed methane (CBM) faces persistent challenges due to low recovery rates. While CO2 thermal displacement offers a promising approach, the pore–fracture structure (PFC) evolution and gas displacement mechanisms under temperature–pressure coupling remain insufficiently clear. To address this knowledge gap, the in situ, dynamic quantification of pore–fracture evolution during CO2 displacement was achieved by an integrated system with NMR and CT scanning, revealing the expansion, connection, and reconfiguration of coal PFC under temperature–pressure synergy and establishing the intrinsic relationship between supercritical CO2 (ScCO2)-induced permeability enhancement and methane displacement efficiency. Experimental results identify an observed transition in permeability near 80 °C under the tested conditions as a critical permeability transition point: below this value, permeability declines from 0.61 mD to 0.49 mD, reflecting pore structure adjustment; above it, permeability rises markedly to 1.18 mD, indicating a structural shift toward fracture-dominated flow. A “pressure-dominated, temperature-assisted” mechanism is elucidated, wherein pressure acts as the primary driver in creating macro-fractures and forming percolation pathways, while temperature—mainly via thermal stress—promotes micro-fracture development and assists gas desorption, offering only limited direct contribution to permeability. Although elevated injection pressure enhances permeability and establishes fracture networks, displacement efficiency eventually reaches a physical limit. To transcend this constraint, a synergistic production mechanism is proposed in which pressure builds flow channels while temperature activates microporous desorption. This study provides an integrated, in situ quantification of the pore–fraction evolution under high-temperature ScCO2 conditions. The elucidated synergy between pressure and temperature offers insights and an experimental basis for the design of deep CBM recovery and CO2 storage strategies. Full article
(This article belongs to the Special Issue Advances in Unconventional Reservoirs and Enhanced Oil Recovery)
Show Figures

Figure 1

20 pages, 846 KB  
Article
Comparative Effectiveness of Kaolinite, Basalt Powder, and Zeolite in Mitigating Heat Stress and Increasing Yield of Almond Trees (Prunus dulcis) Under Mediterranean Climate
by Antonio Dattola, Gregorio Gullo and Rocco Zappia
Agriculture 2026, 16(2), 220; https://doi.org/10.3390/agriculture16020220 - 14 Jan 2026
Viewed by 243
Abstract
Heat and high-irradiance stress increasingly threaten almond production in Mediterranean environments, where rising temperatures and prolonged summer droughts impair photosynthetic performance and yield. This study evaluated the effectiveness of three mineral-based shielding materials: kaolin, basalt powder, and zeolite. We hypothesized that the foliar [...] Read more.
Heat and high-irradiance stress increasingly threaten almond production in Mediterranean environments, where rising temperatures and prolonged summer droughts impair photosynthetic performance and yield. This study evaluated the effectiveness of three mineral-based shielding materials: kaolin, basalt powder, and zeolite. We hypothesized that the foliar application of reflective mineral materials would reduce leaf temperature, enhance photosynthetic efficiency, and improve yield without altering nut nutraceutical quality. A two-year field experiment (2024–2025) was conducted using a randomized block design with four materials (untreated control, kaolin, basalt powder, and zeolite). Physiological traits (gas exchange, chlorophyll fluorescence, leaf temperature, and SPAD index), morpho-biometric and biochemical parameters, and yield components were assessed. Kaolin and basalt powder significantly lowered leaf temperature (−1.6 to −1.8 °C), increased stomatal conductance and net photosynthesis, and improved photochemical efficiency (Fv′/Fm′) and electron transport rates. These treatments also enhanced drupe weight, kernel dry matter, and productive yield (up to +32% compared with the control). Zeolite produced positive but less prominent effects. No significant differences were detected in fatty acid profile, total polyphenols, or antioxidant capacity, indicating that the materials did not affect almond nutraceutical quality. Principal component analysis confirmed the strong association between kaolin and basalt powder and improved eco-physiological performance. Overall, mineral shielding materials, particularly kaolin and basalt powder, represent a promising, sustainable strategy for enhancing almond orchard resilience under Mediterranean climate change scenarios. Full article
(This article belongs to the Section Crop Production)
Show Figures

Figure 1

17 pages, 4299 KB  
Article
Experimental Study on Variable Operating Characteristics of Two-Stage Absorption Lithium Bromide Refrigeration Chiller
by Bingbing Chen, Chaohe Fang, Bo Xiong, Zhenneng Lu and Yuan Yao
Energies 2026, 19(2), 401; https://doi.org/10.3390/en19020401 - 14 Jan 2026
Viewed by 125
Abstract
Two-stage absorption lithium bromide (Li-Br) refrigeration technology can utilize low-temperature heat sources to achieve refrigeration, thus it holds promising application prospects in the utilization of low-temperature waste heat. However, the performance of two-stage lithium bromide absorption chillers during variable operating conditions is difficult [...] Read more.
Two-stage absorption lithium bromide (Li-Br) refrigeration technology can utilize low-temperature heat sources to achieve refrigeration, thus it holds promising application prospects in the utilization of low-temperature waste heat. However, the performance of two-stage lithium bromide absorption chillers during variable operating conditions is difficult to accurately predict, necessitating further research. Unlike existing simulation-based studies, this paper employs an experimental approach for the first time to investigate the variable-condition performance of a two-stage lithium bromide absorption chiller. A 10 kW two-stage absorption Li-Br chiller was tested under variable operating conditions, including variations in chilled water outlet temperature, cooling water inlet temperature, hot water inlet temperature, and hot water flow rate. The experimental results indicate that each 1 °C increase in the chilled water outlet temperature leads to an additional 0.282 kW in cooling capacity and a 0.0071 increase in coefficient of performance (COP). Similarly, a 1 °C decrease in the cooling water inlet temperature results in a 0.366 kW increase in cooling capacity and a 0.0055 improvement in COP. When the hot water inlet temperature rises by 1 °C, the cooling capacity increases by 0.324 kW, while the COP remains nearly unchanged. Furthermore, a 10% increase in the hot water mass flow rate enhances the cooling capacity by approximately 5% and improves the COP by about 1%. Full article
(This article belongs to the Special Issue Advanced Heating and Cooling Technologies for Sustainable Buildings)
Show Figures

Figure 1

22 pages, 1848 KB  
Article
Thermophysiological and Subjective Thermal Responses to Soft and Rigid Spinal Exoskeletons in Young Male Workers: An Experimental Study
by Yang Liu, Zhuoya Zhang, Yanmin Xue, Mengcheng Wang, Hao Fan, Rui Li, Zhi Qiao and Xingbo Yao
Appl. Sci. 2026, 16(2), 820; https://doi.org/10.3390/app16020820 - 13 Jan 2026
Viewed by 138
Abstract
In industrial and logistics settings, the use of soft and rigid spinal exoskeletons has been increasing. However, under a unified assistance level and comparable work scenarios, systematic comparisons of their effects on users’ thermophysiological responses and subjective thermal perceptions remain limited. Twenty male [...] Read more.
In industrial and logistics settings, the use of soft and rigid spinal exoskeletons has been increasing. However, under a unified assistance level and comparable work scenarios, systematic comparisons of their effects on users’ thermophysiological responses and subjective thermal perceptions remain limited. Twenty male participants performed manual handling tasks under three load conditions (5, 10, and 15 kg) in three experimental conditions: without the exoskeleton (WEXO), a rigid exoskeleton (REXO), and a soft exoskeleton (SEXO). Metabolic rate, mean skin temperature (MST), thermal comfort vote (TCV), and thermal sensation vote (TSV) were measured. The key findings are as follows: Compared with WEXO, both exoskeletons significantly reduced metabolic rate. Across all loads, SEXO yielded a lower metabolic rate than REXO and showed a more gradual linear increase as the load increased, whereas REXO exhibited a larger rise at 15 kg. Overall, MST was higher in REXO than in SEXO. Wearing an exoskeleton was often associated with increased skin temperature at 5–10 kg, yet MST decreased for both exoskeletons at 15 kg. Subjective ratings further indicated better TCV and TSV with SEXO than with REXO, with the difference more pronounced under higher loads. Taken together, under the conditions of this study, the soft exoskeleton appears to better balance assistive benefits and thermal comfort. Nevertheless, its heat transfer and heat dissipation performance should be further optimized in future designs. Full article
(This article belongs to the Special Issue Human-Centered Design in Wearable Technology)
Show Figures

Figure 1

24 pages, 1882 KB  
Systematic Review
Global Shifts in Fire Regimes Under Climate Change: Patterns, Drivers, and Ecological Implications Across Biomes
by Ana Paula Oliveira and Paulo Gil Martins
Forests 2026, 17(1), 104; https://doi.org/10.3390/f17010104 - 13 Jan 2026
Viewed by 353
Abstract
Wildfire regimes are undergoing rapid transformation under anthropogenic climate change, with major implications for biodiversity, carbon cycling, and ecosystem resilience. This systematic review synthesizes findings from 42 studies across global, continental, and regional scales to assess emerging patterns in fire frequency, intensity, and [...] Read more.
Wildfire regimes are undergoing rapid transformation under anthropogenic climate change, with major implications for biodiversity, carbon cycling, and ecosystem resilience. This systematic review synthesizes findings from 42 studies across global, continental, and regional scales to assess emerging patterns in fire frequency, intensity, and seasonality, and to identify climatic, ecological, and anthropogenic drivers shaping these changes. Across biomes, evidence shows increasingly fire-conducive conditions driven by rising temperatures, vapor-pressure deficit, and intensifying drought, with climate model projections indicating amplification of extreme fire weather this century. Boreal ecosystems show heightened fire danger and carbon-cycle vulnerability; Mediterranean and Iberian regions face extended fire seasons and faster spread rates; tropical forests, particularly the Amazon, are shifting toward more flammable states due to drought–fragmentation interactions; and savannas display divergent moisture- and fuel-limited dynamics influenced by climate and land use. These results highlight the emergence of biome-specific fire–climate–fuel feedback that may push certain ecosystems toward alternative stable states. The review underscores the need for improved attribution frameworks, integration of fire–vegetation–carbon feedback into Earth system models, and development of adaptive, regionally tailored fire-management strategies. Full article
(This article belongs to the Special Issue Forest Fire: Landscape Patterns, Risk Prediction and Fuels Management)
Show Figures

Graphical abstract

16 pages, 3493 KB  
Article
Experimental Study on the Influence of Fire Source Location on the Ceiling Temperature Distribution in Enclosed Tunnels
by Zhenwei Wang, Ke An, Xueyong Zhou, Jianjun Xiao, Yuanfu Zhou and Linjie Li
Fire 2026, 9(1), 35; https://doi.org/10.3390/fire9010035 - 12 Jan 2026
Viewed by 247
Abstract
Sealing tunnel portals is widely recognized as a pivotal strategy for mitigating fire hazards in tunnel safety management. Nevertheless, the interplay between fire source locations—both longitudinally and transversely—and its impact on flame behavior and ceiling temperature profiles within enclosed structures has not been [...] Read more.
Sealing tunnel portals is widely recognized as a pivotal strategy for mitigating fire hazards in tunnel safety management. Nevertheless, the interplay between fire source locations—both longitudinally and transversely—and its impact on flame behavior and ceiling temperature profiles within enclosed structures has not been fully elucidated. Utilizing a 1:15 reduced-scale rectangular tunnel model, this research investigates how varying the fire source position affects the maximum ceiling temperature under enclosed scenarios. Dimensionless parameters, including the longitudinal dimensionless distance D and transverse dimensionless distance Z′, were derived through dimensional analysis. Observations indicate that as the fire approaches the enclosed end, the flame initially leans toward the boundary, peaking in inclination at D = 0.73, and subsequently exhibits a “wall-attached combustion” pattern due to wall confinement. While lateral displacement of the fire source pushes the high-temperature zone toward the corresponding side wall, the longitudinal temperature rise follows a non-monotonic pattern: declining continuously in in Region I (0 ≤ D ≤ 0.73) and rebounding in Region II (0.73 < D < 1). Based on these findings, a dimensionless prediction model incorporating heat release rate (HRR), transverse offset, and longitudinal fire location was developed. Furthermore, a thermal accumulation factor was introduced to refine the predictive model in Region II. The results offer theoretical insights to support fire protection design and risk assessment in enclosed tunnels. Full article
(This article belongs to the Special Issue Modeling, Experiment and Simulation of Tunnel Fire)
Show Figures

Figure 1

23 pages, 27235 KB  
Article
Salinity Effect in Seawater Thermoelastohydrodynamic Lubrication of Double Spiral Groove Face Seals
by Shaoxian Bai, Demin Yang and Jing Yang
Materials 2026, 19(2), 285; https://doi.org/10.3390/ma19020285 - 9 Jan 2026
Viewed by 245
Abstract
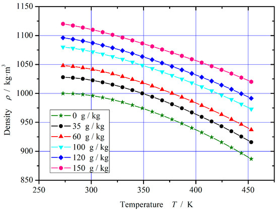
A rise in seawater salinity results in an increase in its viscosity, which presents a coupled influence on the distribution of fluid pressure, temperature and deformation at the sealing face, leading to fluctuations in sealing performance and forming the salinity effect in seawater [...] Read more.
A rise in seawater salinity results in an increase in its viscosity, which presents a coupled influence on the distribution of fluid pressure, temperature and deformation at the sealing face, leading to fluctuations in sealing performance and forming the salinity effect in seawater thermoelastohydrodynamic lubrication (TEHL). Here, for a double spiral groove face seal, a TEHL model is established and numerical analysis is carried out, taking account of the salinity effect and cavitation effect, with the aim to ensure that the seal maintains stable performance under varying conditions of sea depth and speed. It is found that the effect of salinity on the opening force and leakage rate exhibits obvious nonlinear variations. As salinity rises from 0 to the standard 35 g/kg, the opening force changes by about 5%, and there is a transition between forward and reverse leakage, with variations of approximately ±100%. More importantly, the double spiral grooves offer the potential for a zero-leakage design in seawater face seals, even under pressures exceeding 4 MPa, through precise design. Additionally, the double spiral groove face seal shows excellent adaptability under multipoint conditions and can facilitate a zero-leakage design in varying pressure, speed and temperature conditions. This provides theoretical support for deep-sea equipment and applications in other extreme environments. Full article
(This article belongs to the Section Materials Simulation and Design)
Show Figures

Figure 1

18 pages, 5526 KB  
Article
Dry-Sliding Behavior and Surface Evolution of SLS-Manufactured Glass Bead-Filled Polyamide 12 Bearings
by Ivan Simonović, Dragan Milković, Žarko Mišković and Aleksandar Marinković
Lubricants 2026, 14(1), 31; https://doi.org/10.3390/lubricants14010031 - 9 Jan 2026
Viewed by 257
Abstract
This study investigates the tribological behavior of selective laser-sintered (SLS) sliding bearings under dry-sliding operating conditions. These polyamide-12 bearings reinforced with glass beads (PA 3200 GF) were tested against a stainless-steel sleeve in three different pressure–velocity (PV) regimes that represent real operating conditions. [...] Read more.
This study investigates the tribological behavior of selective laser-sintered (SLS) sliding bearings under dry-sliding operating conditions. These polyamide-12 bearings reinforced with glass beads (PA 3200 GF) were tested against a stainless-steel sleeve in three different pressure–velocity (PV) regimes that represent real operating conditions. The coefficient of friction (COF) and contact temperatures were monitored throughout the experiment, while the specific wear rate was quantified based on mass loss measurements. The evolution of surface topography was analyzed using roughness parameters of the Abbott-Firestone family. Scanning electron microscopy (SEM) analysis was performed to identify the dominant wear mechanism. The results show a pronounced running-in phase, after which a stable thermomechanical equilibrium occurs in all regimes. Heavy-loaded regimes increase temperature but accelerate surface adaptation and lower stable coefficients of friction. Lower load regimes have the lowest thermal load but higher friction due to lower real contact. The medium PV regime has a low COF and moderate temperature rise, while peak and core roughness metrics increase more significantly. These results provide an experimentally based insight into the influence of the load regime on the tribological behavior and topography of the SLS-made polymer sliding bearings, thus contributing to a deeper understanding of their operation in real dry-sliding conditions. Full article
(This article belongs to the Special Issue Machine Design and Tribology)
Show Figures

Figure 1

26 pages, 12429 KB  
Article
Unified Parametric Optimization Framework for Microchannel Fin Geometries in High-Power Processor Cooling
by Abtin Ataei
Micromachines 2026, 17(1), 86; https://doi.org/10.3390/mi17010086 - 8 Jan 2026
Viewed by 256
Abstract
This study presents a unified parametric optimization framework for the thermal design of microchannel spreaders used in high-power processor cooling. The fin geometry is expressed in a shape-agnostic parametric form defined by fin thickness, top and bottom gap widths, and channel height, without [...] Read more.
This study presents a unified parametric optimization framework for the thermal design of microchannel spreaders used in high-power processor cooling. The fin geometry is expressed in a shape-agnostic parametric form defined by fin thickness, top and bottom gap widths, and channel height, without prescribing a fixed cross-section. This approach accommodates practical fin profiles ranging from rectangular to tapered and V-shaped, allowing continuous geometric optimization within manufacturability and hydraulic limits. A coupled analytical–numerical model integrates conduction through the spreader base, interfacial resistance across the thermal interface material (TIM), and convection within the coolant channels while enforcing a pressure-drop constraint. The optimization uses a deterministic continuation method with smooth sigmoid mappings and penalty functions to maintain constraint satisfaction and stable convergence across the design space. The total thermal resistance (Rtot) is minimized over spreader conductivities ks=4002200 W m−1 K−1 (copper to CVD diamond), inlet fluid velocities Uin=0.55.5 m s−1, maximum pressure drops of 10–50 kPa, and fluid pass counts Np{1,2,3}. The resulting maps of optimized fin dimensions as functions of ks provide continuous design charts that clarify how material conductivity, flow rate, and pass configuration collectively determine the geometry, minimizing total thermal resistance, thereby reducing chip temperature rise for a given heat load. Full article
(This article belongs to the Special Issue Thermal Transport and Management of Electronic Devices)
Show Figures

Figure 1

Back to TopTop