Sign in to use this feature.

Years

Between: -

Subjects

remove_circle_outline
remove_circle_outline
remove_circle_outline
remove_circle_outline
remove_circle_outline
remove_circle_outline
remove_circle_outline
remove_circle_outline
remove_circle_outline

Journals

remove_circle_outline
remove_circle_outline
remove_circle_outline
remove_circle_outline
remove_circle_outline
remove_circle_outline
remove_circle_outline
remove_circle_outline
remove_circle_outline
remove_circle_outline
remove_circle_outline
remove_circle_outline
remove_circle_outline
remove_circle_outline
remove_circle_outline
remove_circle_outline
remove_circle_outline
remove_circle_outline
remove_circle_outline
remove_circle_outline
remove_circle_outline
remove_circle_outline

Article Types

Countries / Regions

remove_circle_outline
remove_circle_outline
remove_circle_outline
remove_circle_outline
remove_circle_outline
remove_circle_outline
remove_circle_outline
remove_circle_outline

Search Results (1,273)

Search Parameters:
Keywords = target safety level

Order results
Result details
Results per page
Select all
Export citation of selected articles as:
25 pages, 673 KB  
Article
Predicting Segment-Level Road Traffic Injury Counts Using Machine Learning Models: A Data-Driven Analysis of Geometric Design and Traffic Flow Factors
by Noura Hamdan and Tibor Sipos
Future Transp. 2025, 5(4), 197; https://doi.org/10.3390/futuretransp5040197 - 12 Dec 2025
Abstract
Accurate prediction of road traffic crash severity is essential for developing data-driven safety strategies and optimizing resource allocation. This study presents a predictive modeling framework that utilizes Random Forest (RF), Gradient Boosting (GB), and K-Nearest Neighbors (KNN) to estimate segment-level frequencies of fatalities, [...] Read more.
Accurate prediction of road traffic crash severity is essential for developing data-driven safety strategies and optimizing resource allocation. This study presents a predictive modeling framework that utilizes Random Forest (RF), Gradient Boosting (GB), and K-Nearest Neighbors (KNN) to estimate segment-level frequencies of fatalities, serious injuries, and slight injuries on Hungarian roadways. The model integrates an extensive array of predictor variables, including roadway geometric design features, traffic volumes, and traffic composition metrics. To address class imbalance, each severity class was modeled using resampled datasets generated via the Synthetic Minority Over-sampling Technique (SMOTE), and model performance was optimized through grid-search cross-validation for hyperparameter optimization. For the prediction of serious- and slight-injury crash counts, the Random Forest (RF) ensemble model demonstrated the most robust performance, consistently attaining test accuracies above 0.91 and coefficient of determination (R2) values exceeding 0.95. In contrast, for fatalities count prediction, the Gradient Boosting (GB) model achieved the highest accuracy (0.95), with an R2 value greater than 0.87. Feature importance analysis revealed that heavy vehicle flows consistently dominate crash severity prediction. Horizontal alignment features primarily influenced fatal crashes, while capacity utilization was more relevant for slight and serious injuries, reflecting the roles of geometric design and operational conditions in shaping crash occurrence and severity. The proposed framework demonstrates the effectiveness of machine learning approaches in capturing non-linear relationships within transportation safety data and offers a scalable, interpretable tool to support evidence-based decision-making for targeted safety interventions. Full article
10 pages, 209 KB  
Article
Public Knowledge, Attitudes, and Preventive Practices Toward G6PD Deficiency in Al-Kharj, Saudi Arabia: A Community-Based Cross-Sectional Study
by Noura Al-Dayan
Healthcare 2025, 13(24), 3261; https://doi.org/10.3390/healthcare13243261 - 12 Dec 2025
Abstract
Background: Glucose-6-phosphate dehydrogenase (G6PD) deficiency is the world’s most prevalent X-linked enzymopathy, yet public literacy regarding its inheritance, haemolytic triggers, and preventive actions remains inadequate in many high-risk populations. This study assessed public knowledge, attitudes, and preventive practices toward G6PD deficiency among adults [...] Read more.
Background: Glucose-6-phosphate dehydrogenase (G6PD) deficiency is the world’s most prevalent X-linked enzymopathy, yet public literacy regarding its inheritance, haemolytic triggers, and preventive actions remains inadequate in many high-risk populations. This study assessed public knowledge, attitudes, and preventive practices toward G6PD deficiency among adults in Al-Kharj, Saudi Arabia, a region reporting haemoglobinopathy burden and a recent expansion of national newborn screening. Materials and Methods: A community-based cross-sectional survey was administered between May and September 2025 using a bilingual, self-administered questionnaire. A total of 1104 adults (≥18 years) were recruited through convenience and snowball sampling. Knowledge was scored using 13 dichotomous factual items, and findings are reported as proportions with corresponding 95% confidence intervals. Results: Participants were predominantly female (57%) and university-educated (34.2%). Although 58.5% had heard of “fava bean anaemia”, only 38% recognised the X-linked mode of inheritance and 36.1% identified medication-induced haemolysis, despite 61.8% correctly linking fava beans to haemolytic risk. The mean knowledge score across items was 34.4%. Preventive practices were limited: 41.5% reported premarital medical consultation, and only 21.6% had undergone genetic assessment. Conclusions: Despite national advances in newborn screening, substantial public knowledge deficits and low engagement with preventive practices persist. Strengthened community-level education, particularly regarding inheritance, medication safety, and proactive screening, may reduce preventable haemolysis events. Integrating G6PD-targeted messaging within premarital, antenatal, and primary-care services may support long-term preventive health objectives. Full article
21 pages, 9518 KB  
Article
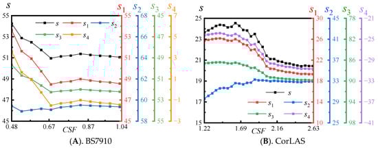
An Optimization Procedure for Improving the Prediction Performance of Failure Assessment Model
by Yan He, Lingyun Guo and Zhenzhong Shen
Buildings 2025, 15(24), 4488; https://doi.org/10.3390/buildings15244488 - 11 Dec 2025
Abstract
Improving the Prediction Performance (PP) of crack pipeline Failure Assessment Model (FAM) is of great significance for the safety of pipeline structure and engineering. However, conventional optimizations for PP always focus on either safety or accuracy, failing to balance the overall requirements of [...] Read more.
Improving the Prediction Performance (PP) of crack pipeline Failure Assessment Model (FAM) is of great significance for the safety of pipeline structure and engineering. However, conventional optimizations for PP always focus on either safety or accuracy, failing to balance the overall requirements of structural applications. Therefore, this paper proposes an optimization procedure for comprehensively improving FAM’s PP. The establishment of the procedure can be divided into three parts: 1. setting a rational and robust optimization target, where the Improved Guo-Ni Model (IGNM) is raised to provide an absolute score s for fully quantifying FAM’s PP in terms of the multi-dimensional performances, including stability and Distributional Location Characterizations (DLCs) of FAM’s prediction results; 2. determining the candidate solutions which are selected as the Critical Safety Factor (CSF) values related to FAM’s prediction confidence level (R1) in this paper; 3. constructing the optimization framework based on the Particle Swarm Optimization algorithm to search for the optimal CSF (OCSF) that can maximize s. Finally, empirical verification results show that the procedure enhances the overall s values of BS 7910:2019 and CorLAS models by 3.32% and 6.09%, respectively, through balancing DLCs, which increases the applicability of FAM across different projects and provides a new approach for the optimization control of FAM’s overall performance. Full article
(This article belongs to the Special Issue Reliability and Risk Assessment of Building Structures)
Show Figures

Figure 1

27 pages, 3064 KB  
Article
Testosterone and Long-Pulse-Width Stimulation (TLPS) on Denervated Muscles and Cardio-Metabolic Risk Factors After Spinal Cord Injury: A Pilot Randomized Trial
by Ashraf S. Gorgey, Refka E. Khalil, Ahmad Alazzam, Ranjodh Gill, Jeannie Rivers, Deborah Caruso, Ryan Garten, James T. Redden, Michael J. McClure, Teodoro Castillo, Lance Goetz, Qun Chen, Edward J. Lesnefsky and Robert A. Adler
Cells 2025, 14(24), 1974; https://doi.org/10.3390/cells14241974 - 11 Dec 2025
Abstract
Background: Long pulse width stimulation (LPWS; 120–150 ms) has the potential to stimulate denervated muscles in persons with spinal cord injury (SCI). We examined whether testosterone treatment (TT) + LPWS would increase skeletal muscle size, leg lean mass and improve overall metabolic health [...] Read more.
Background: Long pulse width stimulation (LPWS; 120–150 ms) has the potential to stimulate denervated muscles in persons with spinal cord injury (SCI). We examined whether testosterone treatment (TT) + LPWS would increase skeletal muscle size, leg lean mass and improve overall metabolic health in SCI persons with denervation. We hypothesized that one year of combined TT + LPWS would downregulate gene expression of muscle atrophy and upregulate gene expression of muscle hypertrophy and increase mitochondrial health in SCI persons with lower motor neuron (LMN) injury. Methods: Ten SCI participants with chronic LMN injury were randomized into either 12 months, twice weekly, of TT + LPWS (n = 5) or a TT+ standard neuromuscular electrical stimulation (NMES; n = 5). Measurements were conducted at baseline (week 0), 6 months following training (post-intervention 1), and one week following 12 months of training (post-intervention 2). Measurements included body composition assessment using magnetic resonance imaging (MRI) and dual x-ray absorptiometry (DXA). Metabolic profile assessment encompassed measurements of resting metabolic rate, carbohydrate and lipid profiles. Finally, muscle biopsy was captured to measure RNA signaling pathways and mitochondrial oxidative phosphorylation. Results: Compliance and adherence were greater in the TT + NMES compared to the TT + LPWS group. There was a 25% increase in the RF muscle CSA following P1 measurement in the TT + LPWS group. There was a recognizable non-significant decrease in intramuscular fat in both groups. There was a trend (p = 0.07) of decrease in trunk fat mass following TT + LPWS, with an interaction (p = 0.037) in android lean mass between groups. There was a trend (p = 0.08) in mean differences in DXA-visceral adipose tissue (VAT) between groups at P1 measurements. For genes targeting muscle atrophy, TT + LPWS showed a trending decline in MURF1 and FOXO3 genes returning to similar levels as TT + NMES before 12 months. Conclusions: These pilot data demonstrated the safety of applying LPWS in persons with SCI. Six months of TT + LPWS demonstrated increases in rectus femoris muscle CSA. The effects on muscle size were modest between groups. Signaling pathway analysis suggested downregulation of genes involved in muscle atrophy pathways. Future clinical trials may consider a home-based approach with more frequent applications of LPWS. Full article
9 pages, 1151 KB  
Communication
Comparison of Different Methods of Molecular Detection of Erwinia amylovora in Plant Material
by Alexandr Pozharskiy, Valeriya Kostyukova, Gulnaz Nizamdinova and Dilyara Gritsenko
Curr. Issues Mol. Biol. 2025, 47(12), 1034; https://doi.org/10.3390/cimb47121034 - 11 Dec 2025
Abstract
Fire blight, caused by Erwinia amylovora, is one of the most damaging bacterial diseases affecting apple production and the safety of wild Malus sieversii populations in Central Asia. Effective monitoring relies on accurate molecular diagnostics; however, comparative data on commonly used detection [...] Read more.
Fire blight, caused by Erwinia amylovora, is one of the most damaging bacterial diseases affecting apple production and the safety of wild Malus sieversii populations in Central Asia. Effective monitoring relies on accurate molecular diagnostics; however, comparative data on commonly used detection methods remain limited for the region. In this study, we evaluated the performance of three molecular assays—LAMP, real-time PCR, and targeted nanopore sequencing of a 16S rRNA gene fragment—using 124 plant samples exhibiting fire blight symptoms collected from 30 sites across Southern Kazakhstan and Kyrgyzstan. The results of LAMP, real-time PCR, and the amplification of 16S sequences were highly consistent with each other. Targeted 16S nanopore sequencing reliably identified E. amylovora in all PCR-positive samples, yielding high read counts and consistent species-level classification, although the analyzed 16S region provided limited resolution for intraspecies variation. Across sampling locations, abandoned orchards represented major reservoirs of infection compared to maintained orchards and wild populations. Our results confirm that all three approaches are robust tools for detecting E. amylovora. These findings support the importance of different molecular diagnostic methods to assist fire blight surveillance in the region. Full article
(This article belongs to the Section Molecular Plant Sciences)
Show Figures

Figure 1

28 pages, 2494 KB  
Article
Heavy Metal Contamination in Homestead Agricultural Soils of Bangladesh: Industrial Influence, Human Exposure and Ecological Risk Assessment
by Afia Sultana, Qingyue Wang, Miho Suzuki, Christian Ebere Enyoh, Md. Sohel Rana, Yugo Isobe and Weiqian Wang
Soil Syst. 2025, 9(4), 136; https://doi.org/10.3390/soilsystems9040136 - 11 Dec 2025
Abstract
Heavy metal contamination in agricultural soils poses serious threats to food safety, ecosystem integrity, and public health. This study investigates the concentrations, ecological risks, and human health impacts of nine heavy metals Cr, Mn, Co, Ni, Cu, Zn, Pb, As, and V in [...] Read more.
Heavy metal contamination in agricultural soils poses serious threats to food safety, ecosystem integrity, and public health. This study investigates the concentrations, ecological risks, and human health impacts of nine heavy metals Cr, Mn, Co, Ni, Cu, Zn, Pb, As, and V in homestead agricultural soils collected from two depths, surface (0–20 cm) and subsurface (21–50 cm), across industrial and non-industrial regions of Bangladesh, using inductively coupled plasma mass spectrometry (ICP-MS). Results revealed that surface soils from industrial areas exhibited the highest metal concentrations in order of Mn > Zn > Cr > Pb > V > Ni > Cu > As > Co. However, maximum As levels were detected in non-industrial areas, suggesting combined influences of local geology, intensive pesticide application, and prolonged irrigation with As-contaminated groundwater. Elevated concentrations in surface soils indicate recent contamination with limited downward migration. Multivariate statistical analyses indicated that industrial and urban activities are the major sources of contamination, whereas Mn remains primarily geogenic, controlled by natural soil forming processes. Contamination factor (CF) and pollution load index (PLI) analyses identified Pb and As as the principal pollutants, with hotspots in Nairadi, Majhipara (Savar), Gazipur sadar, and Chorkhai (Mymensingh). Ecological risk (ER) assessment highlighted As and Pb as the dominant environmental stressors, though overall risk remained low. Human health risk analysis showed that ingestion is the primary exposure pathway, with children being more susceptible than adults. Although the hazard index (HI) values were within the acceptable safety limits, the estimated carcinogenic risks for As and Cr exceeded the USEPA thresholds, indicating potential long term health concerns. Therefore, the cumulative carcinogenic risk (CCR) results demonstrate that As is the primary driver of lifetime carcinogenic risk in homestead soils, followed by Cr, while contributions from other metals are minimal. These findings emphasize the urgent need for continuous monitoring, improved industrial waste management, and targeted mitigation strategies to ensure safe food production, a cleaner environment, and better public health. Full article
(This article belongs to the Special Issue Challenges and Future Trends of Soil Ecotoxicology)
Show Figures

Figure 1

32 pages, 2860 KB  
Article
Spatiotemporal Patterns of Aquatic Product Risks in China Based on Entropy-Weighted TOPSIS
by Guangcan Tao, Guoyan Li, Dingfang Pu, Luolin Bao, Su Xu, Hongbo Yang and Kang Hu
Foods 2025, 14(24), 4263; https://doi.org/10.3390/foods14244263 - 11 Dec 2025
Abstract
This study investigates the risk classification and spatiotemporal evolution patterns of hazardous substances in Chinese aquatic products. The entropy-weighted TOPSIS method was employed to achieve the ranking of hazardous substances and classify their risk levels. A spatial autocorrelation analysis was conducted to explore [...] Read more.
This study investigates the risk classification and spatiotemporal evolution patterns of hazardous substances in Chinese aquatic products. The entropy-weighted TOPSIS method was employed to achieve the ranking of hazardous substances and classify their risk levels. A spatial autocorrelation analysis was conducted to explore the spatial distribution patterns of the highest-risk and higher-risk substances in Chinese aquatic products. Risk-adjustment factors were employed to allow us to perform dynamic analyses of the risks in aquatic products across different temporal and spatial contexts. The results indicate that the top three hazardous substances in aquatic products were cadmium, enrofloxacin, and total volatile basic nitrogen; their relative proximity values were 0.707, 0.689, and 0.429, respectively. Cadmium, enrofloxacin, furazolidone metabolites, and chloramphenicol exhibited significant global spatial autocorrelation. The spatiotemporal analysis found that risks in aquatic products were higher during summer and autumn, with the maximum risk value reaching 0.92. The integrated application of the entropy-weighted TOPSIS method, spatial autocorrelation analysis, and risk-adjusted factors provides a novel perspective for risk assessment. The findings support targeted regulation of high-risk substances in Chinese aquatic products and the optimization of seasonal–regional regulatory approaches. It is recommended that regulatory measures and schemes be adjusted in light of the findings, thus providing a scientific foundation for the safety supervision of aquatic products. Full article
(This article belongs to the Section Food Quality and Safety)
Show Figures

Figure 1

16 pages, 902 KB  
Article
A Canadian Advanced Physiotherapist Practitioner Shared-Care Model in Pediatric Rheumatology Offers Safe and Quality Care in the Management of Juvenile Idiopathic Arthritis—Comparing Key Performance Indicators with the PR-COIN Registry
by Julie Herrington, Patrick Clarkin, Jade Singleton, Karen Beattie, Sheetal S. Vora, Katelyn Banschbach, Catherine A. Bingham, Tania Cellucci, Danielle Fair, Mileka Gilbert, Beth Gottlieb, Julia G. Harris, Liane Heale, Tzielan Lee, Melissa L. Mannion, Edward J. Oberle, Nancy Pan, Jonathan Park, Mary Toth, Jennifer E. Weiss and Michelle Batthishadd Show full author list remove Hide full author list
Children 2025, 12(12), 1675; https://doi.org/10.3390/children12121675 - 10 Dec 2025
Viewed by 18
Abstract
Background/Objectives: Canadian Advanced Physiotherapist Practitioner (APP) roles have existed for over 25 years in pediatric rheumatology. The APP can manage many common pediatric rheumatic conditions most often in Shared-Care Models (SCMs) with pediatric rheumatologists (PRs). The quality of care children receive in [...] Read more.
Background/Objectives: Canadian Advanced Physiotherapist Practitioner (APP) roles have existed for over 25 years in pediatric rheumatology. The APP can manage many common pediatric rheumatic conditions most often in Shared-Care Models (SCMs) with pediatric rheumatologists (PRs). The quality of care children receive in an APP SCM compared to traditional care is unknown. The Pediatric Rheumatology Care and Outcomes Improvement Network (PR-COIN) tracks quality measures as Key Performance Indicators (KPIs) in juvenile idiopathic arthritis (JIA) care. This study aimed to analyze the frequency of KPIs documented in a pediatric rheumatology APP SCM from a single center and compare to PR-COIN’s performance targets to assess the quality and safety of care. Methods: A retrospective chart review of JIA cases managed in a pediatric rheumatology APP SCM over a 2-year period was conducted. KPIs for disease activity, safety monitoring and access to care were evaluated. Frequency of KPI documentation by the APP were compared to target performance goals (≥40, ≥70 or ≥80% documentation rate depending on KPI) and with PR-COIN data from the Same Center (SC) (three rheumatologists) and PR-COIN (15 centers). Results: Documented KPIs were compared between the APP SCM, SC and PR-COIN registry (138; 140; 11,431 eligible visits, respectively) between June 2022–May 2024. Demographics were similar between groups. Increased percentages of patients with polyarticular rheumatoid factor positive and psoriatic subtypes were seen by APP compared to SC and PR-COIN. Documentation frequency of all disease activity and safety monitoring KPI performance goals were either higher in the APP SCM or comparable to SC and PR-COIN. Conclusions: The pediatric rheumatology APP SCM exceeded PR-COIN performance goals for KPI documentation, establishing a high level of quality and safety of care for children with JIA when managed in this model of care. Next steps include replicating this study in other pediatric rheumatology centers with an APP SCM. Full article
Show Figures

Figure 1

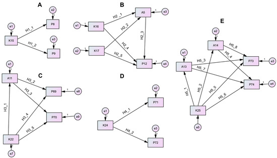
17 pages, 1852 KB  
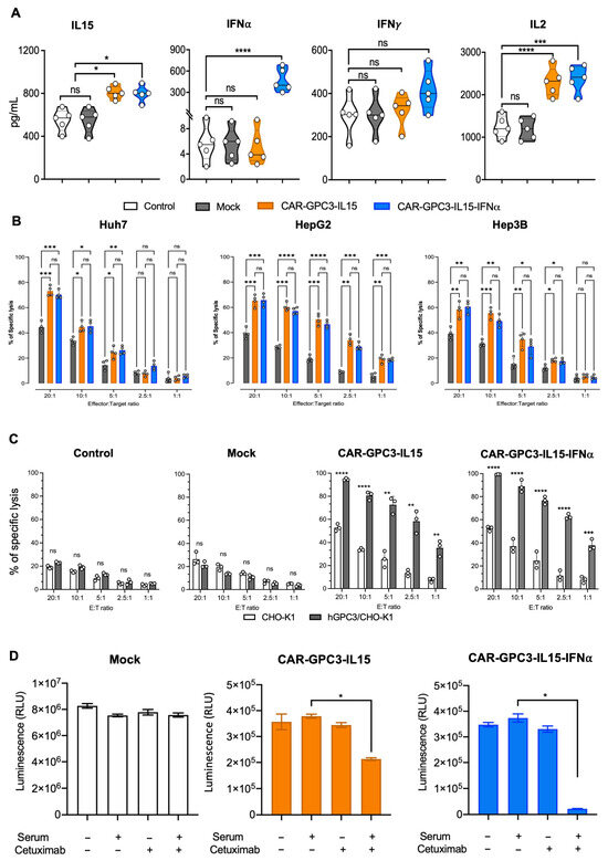
Article
Glypican-3-Specific CAR NK Cells Co-Secreting IL-15 and IFN-α Have Increased Anti-Tumor Function Versus Hepatocellular Carcinoma In Vitro
by Rosalia Busà, Gioacchin Iannolo, Bruno Douradinha, Duilio Pagano, Anna Gallina, Giancarlo Cappello, Antonio La Rocca, Salvatore Gruttadauria, Pier Giulio Conaldi and Ester Badami
Int. J. Mol. Sci. 2025, 26(24), 11892; https://doi.org/10.3390/ijms262411892 - 10 Dec 2025
Viewed by 52
Abstract
Chimeric antigen receptor (CAR)-modified natural killer (NK) cells represent a promising immunotherapeutic approach for the treatment of oncological malignancies such as hepatocellular carcinoma (HCC). In this work, we have engineered primary human NK cells, re-directing them so they can specifically recognize Glypican-3 (GPC3), [...] Read more.
Chimeric antigen receptor (CAR)-modified natural killer (NK) cells represent a promising immunotherapeutic approach for the treatment of oncological malignancies such as hepatocellular carcinoma (HCC). In this work, we have engineered primary human NK cells, re-directing them so they can specifically recognize Glypican-3 (GPC3), an immunotherapeutic target for HCC. In previous studies, we have demonstrated that IFN-α significantly enhances NK cells’ anti-tumor and anti-viral cytotoxicity. Fourth-generation self-inactivating lentiviral vectors were used to deliver a transgenic expression of IFN-α or its co-expression with IL-15 (which induces NK cells expansion, survival, and function), aiming to enhance CAR-GPC3 NK cells’ anti-tumor response against HCC. We optimized a protocol for efficient transduction of primary NK cells, demonstrating that CAR expression is maintained at high levels over time. Exposure of HCC ectopically expressing GPC3+ to CAR-GPC3-IL15 and CAR-GPC3-IL15-IFNα NK cells demonstrated significant in vitro cytotoxicity and cytokine production, dependent on GPC3 expression. To prevent undesired side effects of CAR-NK cell immunotherapy, co-delivery with a suicide gene is advised as a safety measure. Thus, a truncated epidermal growth factor receptor (tEGFR) was co-delivered with the anti-GPC3 CAR, which efficiently promoted the suicide of the CAR-NK used in this work. Our study demonstrates the efficacy of re-directed CAR-GPC3 primary NK cells, encouraging further preclinical and clinical translation studies and strengthening the potential of these cells as a novel treatment option for patients with HCC. Full article
(This article belongs to the Special Issue Chimeric Antigen Receptors Against Cancers and Autoimmune Diseases)
Show Figures

Figure 1

46 pages, 2441 KB  
Review
A State-of-the-Art Overview on (Epi)Genomics and Personalized Skin Rejuvenating Strategies
by Roxana-Georgiana Tauser, Ioana-Mirela Vasincu, Andreea-Teodora Iacob, Maria Apotrosoaei, Bianca-Ștefania Profire, Florentina-Geanina Lupascu, Oana-Maria Chirliu and Lenuta Profire
Pharmaceutics 2025, 17(12), 1585; https://doi.org/10.3390/pharmaceutics17121585 - 9 Dec 2025
Viewed by 103
Abstract
This article aims to point out new perspectives opened by genomics and epigenomics in skin rejuvenation strategies which target the main hallmarks of the ageing. In this respect, this article presents a concise overview on: the clinical relevance of the most important clocks [...] Read more.
This article aims to point out new perspectives opened by genomics and epigenomics in skin rejuvenation strategies which target the main hallmarks of the ageing. In this respect, this article presents a concise overview on: the clinical relevance of the most important clocks and biomarkers used in skin anti-ageing strategy evaluation, the fundamentals, the main illustrating examples preclinically and clinically tested, the critical insights on knowledge gaps and future research perspectives concerning the most relevant skin anti-ageing and rejuvenation strategies based on novel epigenomic and genomic acquisitions. Thus the review dedicates distinct sections to: senolytics and senomorphics targeting senescent skin cells and their senescent-associated phenotype; strategies targeting genomic instability and telomere attrition by stimulation of the deoxyribonucleic acid (DNA) repair enzymes and proteins essential for telomeres’ recovery and stability; regenerative medicine based on mesenchymal stem cells or cell-free products in order to restore skin-resided stem cells; genetically and chemically induced skin epigenetic partial reprogramming by using transcription factors or epigenetic small molecule agents, respectively; small molecule modulators of DNA methylases, histone deacetylases, telomerases, DNA repair enzymes or of sirtuins; modulators of micro ribonucleic acid (miRNA) and long-non-coding ribonucleic acid (HOTAIR’s modulators) assisted or not by CRISPR-gene editing technology (CRISPR: Clustered Regularly Interspaced Short Palindromic Repeats); modulators of the most relevant altered nutrient-sensing pathways in skin ageing; as well as antioxidants and nanozymes to address mitochondrial dysfunctions and oxidative stress. In addition, some approaches targeting skin inflammageing, altered skin proteostasis, (macro)autophagy and intercellular connections, or skin microbiome, are very briefly discussed. The review also offers a comparative analysis among the newer genomic/epigenomic-based skin anti-ageing strategies vs. classical skin rejuvenation treatments from various perspectives: efficacy, safety, mechanism of action, evidence level in preclinical and clinical data and regulatory status, price range, current limitations. In these regards, a concise overview on senolytic/senomorphic agents, topical nutrigenomic pathways’ modulators and DNA repair enzymes, epigenetic small molecules agents, microRNAs and HOTAIRS’s modulators, is illustrated in comparison to classical approaches such as tretinoin and peptide-based cosmeceuticals, topical serum with growth factors, intense pulsed light, laser and microneedling combinations, chemical peels, botulinum toxin injections, dermal fillers. Finally, the review emphasizes the future research directions in order to accelerate the clinical translation of the (epi)genomic-advanced knowledge towards personalization of the skin anti-ageing strategies by integration of individual genomic and epigenomic profiles to customize/tailor skin rejuvenation therapies. Full article
(This article belongs to the Topic Challenges and Opportunities in Drug Delivery Research)
Show Figures

Graphical abstract

32 pages, 1029 KB  
Article
Slovenian Consumer Food Safety Study: Knowledge, Attitudes, and Practices from Shopping to Preparation Based on Questionnaire Analysis
by Maja Bensa, Mojca Jevšnik Podlesnik, Lato Pezo and Irena Vovk
Foods 2025, 14(24), 4215; https://doi.org/10.3390/foods14244215 - 8 Dec 2025
Viewed by 91
Abstract
Foodborne diseases remain a persistent public health problem. Most foodborne outbreaks in Europe occur in consumers’ homes, highlighting that improvements in consumer food safety are needed and that consumers have an important role in maintaining food safety. A better understanding of consumer food [...] Read more.
Foodborne diseases remain a persistent public health problem. Most foodborne outbreaks in Europe occur in consumers’ homes, highlighting that improvements in consumer food safety are needed and that consumers have an important role in maintaining food safety. A better understanding of consumer food safety knowledge, attitudes, and food handling practices is required to prepare effective interventions. The aim of this study was to evaluate consumer food safety knowledge, attitudes, and food handling practices in Slovenia as well as the interrelationships between knowledge, attitudes, and practices. Adult consumers in Slovenia (n = 1621) participated in a validated online questionnaire. The questionnaire included demographic characteristics and explored the aspects of knowledge, attitudes, and practices on the following topics: food related habits, food shopping and transportation, food refrigeration, food labeling, and food preparation. Data were analyzed using descriptive statistics and structural equation modeling (SEM). Overall, participants demonstrated good levels of knowledge, attitudes, and practice. However, some of the areas that require improvement include use of cooling bags, measuring and knowing the correct refrigerator temperature and not washing raw meat and poultry. SEM analysis revealed that knowledge affects attitudes and, in most cases, both knowledge and attitudes affect practices. Enhanced communication strategies targeting consumers are needed to reduce the risk of foodborne illnesses. Educational campaigns need to focus on all three aspects: knowledge, attitudes, and practices. Building a culture of consumer food safety is essential because consumer food safety truly is everyone’s business. Full article
(This article belongs to the Section Food Quality and Safety)
Show Figures

Figure 1

19 pages, 453 KB  
Review
Can Glucose Alarm Fatigue Threaten the Absolute Clinical Benefit of Continuous Glucose Monitoring in Optimal Glucose Management in Children and Adolescents with Type 1 Diabetes? A Narrative Review
by Styliani Giza, Eleni P. Kotanidou, Vasiliki Rengina Tsinopoulou, Thekla Poukoulidou, Stergianna Ntouma and Assimina Galli-Tsinopoulou
Children 2025, 12(12), 1668; https://doi.org/10.3390/children12121668 - 8 Dec 2025
Viewed by 116
Abstract
Technology has brought about a revolution in the management of type 1 diabetes (T1D). The adoption of continuous glucose monitoring (CGM) and insulin pump therapy in the everyday life of children and adolescents with T1D is a real innovation and the most promising [...] Read more.
Technology has brought about a revolution in the management of type 1 diabetes (T1D). The adoption of continuous glucose monitoring (CGM) and insulin pump therapy in the everyday life of children and adolescents with T1D is a real innovation and the most promising choice for optimizing glycemic control in this population. The incorporation of an alarm system, including notifications, alerts and alarms and warning patients and their parents about glucose levels and upcoming events interfering with safety, is an invaluable additional tool for better targeting euglycemia. However, in parallel with the clinical benefits of alarm systems in ameliorating metabolic control parameters, alarm fatigue was recorded as a phenomenon, negatively affecting the everyday lives of patients and their caregivers, and as a cause for rejecting or abandoning CGM or pump therapy treatment. There are a few data concerning the frequency, consequences and methods of eliminating alarm fatigue among children. As a result, we have conducted a narrative review to briefly present the basic philosophy of the existing CGM alarm systems and their positive effect on glycemic management, and focus on alarm fatigue; definition, frequency, effect on quality of life and sleep, not only of T1D pediatric patients but also of their families, and methods of elimination. Efforts to achieve a more reliable and accurate alarm system and educate on adapting personalized limits and positively interpreting them may protect the T1D pediatric population from alarm fatigue and prevent rejection or incomplete use of CGM and insulin pump as the therapeutic choice, ensuring the best glycemic control. Full article
(This article belongs to the Section Pediatric Endocrinology & Diabetes)
Show Figures

Figure 1

18 pages, 4671 KB  
Article
A 2.4 GHz CMOS Pulse-Mode Transmitter for RF Body-Contouring Device Applications
by Geonwoo Jeong, Hwayoung Jung, Sijin Jang, Jaeeun Jang and Hyunchol Shin
Electronics 2025, 14(24), 4826; https://doi.org/10.3390/electronics14244826 - 8 Dec 2025
Viewed by 139
Abstract
Body-contouring devices deliver controlled thermal energy to treat cellulite, reduce localized fat, and improve skin elasticity. Since the thermal effect is closely related to the delivered RF output power, precise control of the output power is critical for both efficacy and safety. In [...] Read more.
Body-contouring devices deliver controlled thermal energy to treat cellulite, reduce localized fat, and improve skin elasticity. Since the thermal effect is closely related to the delivered RF output power, precise control of the output power is critical for both efficacy and safety. In this study, we propose a 2.4 GHz CMOS pulse-mode transmitter for body-contouring device applications, featuring precise control of the average power delivered to the body. The transmitter comprises a fully integrated phase-locked loop (PLL) synthesizer, pulse modulator (PM), and 10 mW power amplifier (PA). It is fabricated in a 65 nm CMOS with a compact die area of 3.75 mm2. The PA provides four-level continuous-mode output control from −0.3 dBm to 11.1 dBm, and the PM performs programmable PA switching for pulse-mode operation of the PA with a wide range of pulse rates and duty ratios. By combining the continuous-mode output power control and pulse-mode on–off time regulation, the average output power delivered to the skin is finely controlled, managing the delivered power within a safe skin temperature below 65 °C. The PLL loop filter is fully integrated with a wide programmability, improving the form factor and bill of materials for the target devices. Measurement results confirm that the designed transmitter can accurately control both the average output power and pulse profile across the 2.4 GHz ISM band, demonstrating its suitability for compact home-use RF body-contouring devices. Full article
(This article belongs to the Special Issue Modern Circuits and Systems Technologies (MOCAST 2024))
Show Figures

Figure 1

20 pages, 1105 KB  
Article
Efficacy of Large Language Models in Providing Evidence-Based Patient Education for Celiac Disease: A Comparative Analysis
by Luisa Bertin, Federica Branchi, Carolina Ciacci, Anne R. Lee, David S. Sanders, Nick Trott and Fabiana Zingone
Nutrients 2025, 17(24), 3828; https://doi.org/10.3390/nu17243828 - 6 Dec 2025
Viewed by 190
Abstract
Background/Objectives: Large language models (LLMs) show promise for patient education, yet their safety and efficacy for chronic diseases requiring lifelong management remain unclear. This study presents the first comprehensive comparative evaluation of three leading LLMs for celiac disease patient education. Methods: [...] Read more.
Background/Objectives: Large language models (LLMs) show promise for patient education, yet their safety and efficacy for chronic diseases requiring lifelong management remain unclear. This study presents the first comprehensive comparative evaluation of three leading LLMs for celiac disease patient education. Methods: We conducted a cross-sectional evaluation comparing ChatGPT-4, Claude 3.7, and Gemini 2.0 using six blinded clinical specialists (four gastroenterologists and two dietitians). Twenty questions spanning four domains (general understanding, symptoms/diagnosis, diet/nutrition, lifestyle management) were evaluated for scientific accuracy, clarity (5-point Likert scales), misinformation presence, and readability using validated computational metrics (Flesch Reading Ease, Flesch-Kincaid Grade Level, SMOG index). Results: Gemini 2.0 demonstrated superior performance across multiple dimensions. Gemini 2.0 achieved the highest scientific accuracy ratings (median 4.5 [IQR: 4.5–5.0] vs. 4.0 [IQR: 4.0–4.5] for both competitors, p = 0.015) and clarity scores (median 5.0 [IQR: 4.5–5.0] vs. 4.0 [IQR: 4.0–4.5], p = 0.011). While Gemini 2.0 showed numerically lower misinformation rates (13.3% vs. 23.3% for ChatGPT–4 and 24.2% for Claude 3.7), differences were not statistically significant (p = 0.778). Gemini 2.0 achieved significantly superior readability, requiring approximately 2–3 fewer years of education for comprehension (median Flesch-Kincaid Grade Level 9.8 [IQR: 8.8–10.3] vs. 12.5 for both competitors, p < 0.001). However, all models exceeded recommended 6th–8th grade health literacy targets. Conclusions: While Gemini 2.0 demonstrated statistically significant advantages in accuracy, clarity, and readability, misinformation rates of 13.3–24.2% across all models represent concerning risk levels for direct patient applications. AI offers valuable educational support but requires healthcare provider supervision until misinformation rates improve. Full article
(This article belongs to the Section Nutrition Methodology & Assessment)
Show Figures

Figure 1

23 pages, 2610 KB  
Article
Enhancing Subway Fire Safety with a Symmetric Framework: From Fault Tree Analysis to Dynamic Bayesian Network Inference
by Xiaoxi Li, Guangshuai Wang and Yaoyao Gui
Symmetry 2025, 17(12), 2090; https://doi.org/10.3390/sym17122090 - 5 Dec 2025
Viewed by 195
Abstract
Subway stations are enclosed spaces with high passenger density and complex evacuation conditions. Fires in such environments can escalate rapidly and cause severe consequences. This study proposes a dynamic risk assessment model grounded in dual symmetries. The first symmetry is a balanced “Human–Machine–Environment–Management” [...] Read more.
Subway stations are enclosed spaces with high passenger density and complex evacuation conditions. Fires in such environments can escalate rapidly and cause severe consequences. This study proposes a dynamic risk assessment model grounded in dual symmetries. The first symmetry is a balanced “Human–Machine–Environment–Management” analytical structure. The second is a coherent model transformation from a Fault Tree (FT) to a Bayesian Network (BN). Shuanggang Station on Nanchang Metro Line 1 serves as a case study. This work establishes a comprehensive evaluation system based on 4 first-level indicators of man–machine–environment–management, 9 secondary indicators, and 27 tertiary indicators. FT analysis identified 117 minimal cuts and 14 minimal paths, pinpointing core risk nodes such as flammable materials and oxidizers, electrical equipment overheating, and fire management deficiencies. The model was then symmetrically converted into a BN using GeNle Academic 4.1 software to support dynamic probability inference. The results show that prevention measures at Shuanggang Station reduce the fire occurrence probability from 0.000249 to 0.00007 (a 71.9% reduction). The probability importance of rescue escape routes is 0.00223. This indicates that the accessibility of rescue routes constitutes a highly sensitive hazard. The symmetric framework and modeling approach offer a scientific basis for targeted fire prevention, control, and evacuation management in the Nanchang Metro and similar stations. The findings support improvements in the safety and resilience of metro operations. Full article
(This article belongs to the Section Engineering and Materials)
Show Figures

Figure 1

Back to TopTop