Sign in to use this feature.

Years

Between: -

Subjects

remove_circle_outline
remove_circle_outline
remove_circle_outline
remove_circle_outline
remove_circle_outline
remove_circle_outline
remove_circle_outline
remove_circle_outline
remove_circle_outline

Journals

remove_circle_outline
remove_circle_outline
remove_circle_outline
remove_circle_outline
remove_circle_outline
remove_circle_outline

Article Types

Countries / Regions

remove_circle_outline
remove_circle_outline
remove_circle_outline
remove_circle_outline

Search Results (470)

Search Parameters:
Keywords = surface (111)

Order results
Result details
Results per page
Select all
Export citation of selected articles as:
15 pages, 8479 KB  
Article
New Mechanism for the Enhancement of the Oxygen Reduction Reaction on Stepped Platinum and Platinum–Iron Surfaces
by Donald A. Tryk
Catalysts 2026, 16(4), 311; https://doi.org/10.3390/catal16040311 - 1 Apr 2026
Viewed by 354
Abstract
It has long been recognized that the oxygen reduction reaction occurs more readily on Pt(111) surfaces that include steps, both (111) and (100), than on near-perfect Pt(111). Theoretical models were developed involving the water structure in the electric double layer and its interactions [...] Read more.
It has long been recognized that the oxygen reduction reaction occurs more readily on Pt(111) surfaces that include steps, both (111) and (100), than on near-perfect Pt(111). Theoretical models were developed involving the water structure in the electric double layer and its interactions with adsorbed OH, with the actual O2 reduction occurring on the (111) terraces adjacent to the steps. However, the present density functional theory (DFT) calculations confirms that O2 adsorbs strongly at the steps and can undergo dissociation aided by adjacent water molecules to produce adsorbed OH. OH produced at the steps can move to the (111) terraces, where it can be more readily reduced to H2O and desorbed. This model avoids the scaling relation, which predicts that all oxygen-containing reactants and intermediates are proportional to each other on any given surface, i.e., strong O2 adsorption at steps compared with water ensures that the reaction can proceed. Efforts to develop new O2 reduction catalysts have been hampered by the assumption that the reaction rate can be increased by decreasing OH adsorption strength, even though decreased OH adsorption strength is accompanied by decreased O2 adsorption strength on any given crystallographic facet. This proposed model can explain the experimental results on stepped surfaces as well as nanoparticle catalysts, particularly the higher ORR activity on alloys such as PtFe, but with the obligatory presence of steps. The results may also be important for the development of Pt nanoparticle catalysts. Full article
(This article belongs to the Special Issue 15th Anniversary of Catalysts: Feature Papers in Electrocatalysis)
Show Figures

Figure 1

19 pages, 4170 KB  
Article
Biostimulant Applications Improve Crop Root Morphology in Agricultural Systems: A Global Meta-Analysis
by Yuheng Wang, Huaye Xiong, Lingxiang Zhou, Yucui Sun, Jiawei Yang, Xiaojun Shi, Yueqiang Zhang, Fusuo Zhang and Heinz Rennenberg
Agronomy 2026, 16(7), 743; https://doi.org/10.3390/agronomy16070743 - 31 Mar 2026
Viewed by 499
Abstract
Biostimulant applications may alleviate various stresses and improve the yield of crops, thus contributing to the promotion of crop growth and development in agricultural systems. Despite these potential benefits, the effects of biostimulants on root morphological traits remain poorly understood. In the present [...] Read more.
Biostimulant applications may alleviate various stresses and improve the yield of crops, thus contributing to the promotion of crop growth and development in agricultural systems. Despite these potential benefits, the effects of biostimulants on root morphological traits remain poorly understood. In the present study, a global meta-analysis of 111 peer-reviewed publications was conducted to quantify the effects of biostimulant applications on various root morphological traits and identify the determining factors. Compared to untreated controls, biostimulant applications significantly increased the primary root length by 14.7%, total root length by 17.7%, root biomass by 24.5%, root activity by 21.7%, root diameter by 4.0%, root-to-shoot ratio by 2.4%, root volume by 25.7%, root surface area by 15.6%, root tips by 15.4%, and root forks by 15.6%. The biostimulant type and crop species were identified as the main moderators of root morphological responses. Among various biostimulants, humic acid showed the most consistent and pronounced positive effects. Additionally, orchard and vegetable crops exhibited greater responsiveness than grain crops. These findings provide quantitative evidence that biostimulants promote root system development across diverse crop species. They also underscore the potential of biostimulants to enhance nutrient acquisition and support more sustainable agricultural production. Full article
(This article belongs to the Section Farming Sustainability)
Show Figures

Figure 1

18 pages, 3867 KB  
Article
Effect of Pulse Electrodeposition Parameters on the Catalytic Performance of PtNi Oxygen Reduction
by Fan Bu, Qingli Shu and Qi Zhang
Catalysts 2026, 16(4), 293; https://doi.org/10.3390/catal16040293 - 27 Mar 2026
Viewed by 608
Abstract
To overcome active site blockage and poor interfacial contact in traditional syntheses, PtNi bimetallic nanoparticles were grown in situ on a microporous carbon paper via pulse electrodeposition. Firstly, the impact of deposition potential was investigated. The results indicate that the deposition potential significantly [...] Read more.
To overcome active site blockage and poor interfacial contact in traditional syntheses, PtNi bimetallic nanoparticles were grown in situ on a microporous carbon paper via pulse electrodeposition. Firstly, the impact of deposition potential was investigated. The results indicate that the deposition potential significantly modulates the surface Pt0/Pt2+ ratio; concurrently, a shift toward more negative potentials intensified nanoparticle agglomeration. The effects of the duty cycle were investigated at an optimal deposition potential of −0.95 to −0.4 V. A duty cycle of 30% yielded the optimal Pt0/Pt2+ ratio. Furthermore, TEM revealed a coexisting strain profile of bulk PtNi lattice contraction and localized expansion at peripheral Pt (111) facets. This synergistic tuning of surface valence and strain optimizes the thermodynamic balance between oxygen adsorption and intermediate desorption on Pt sites. In summary, the optimal catalyst, prepared at a deposition potential of −0.95 V and a duty cycle of 30%, showed the best reaction behavior in the oxygen reduction reaction with an initial onset potential of 0.92 V (vs. RHE). After 5000 cycles of testing, the catalyst showed a constant durability, with the onset potential degrading only marginally to 0.87 V. This work successfully demonstrates that the surface morphology and valence states of the catalyst can be effectively tailored by regulating the pulse voltage and duty cycle. Full article
(This article belongs to the Section Electrocatalysis)
Show Figures

Figure 1

12 pages, 4236 KB  
Article
In Situ Lorentz TEM Observation of Dynamic Domain Evolution in FeCoNi Thin Films for GHz Applications
by Xiufang Zhong, Yuze Ge, Zelei Feng, Ke Chen, Guohui Jin and Lianze Ji
Coatings 2026, 16(4), 400; https://doi.org/10.3390/coatings16040400 - 25 Mar 2026
Viewed by 406
Abstract
This study explores the effects of sputtering pressure and power on FeCoNi high-entropy alloy films prepared by DC magnetron sputtering, focusing on microstructure, surface morphology, and static/high-frequency magnetic properties. In situ Lorentz TEM (LZ-TEM) was used to directly observe magnetic domain evolution. Results [...] Read more.
This study explores the effects of sputtering pressure and power on FeCoNi high-entropy alloy films prepared by DC magnetron sputtering, focusing on microstructure, surface morphology, and static/high-frequency magnetic properties. In situ Lorentz TEM (LZ-TEM) was used to directly observe magnetic domain evolution. Results show that low sputtering pressure (1 mTorr) promotes strong FCC (111) crystallization, and smooth and dense surfaces. Increasing pressure leads to amorphization, higher roughness, and degraded magnetic performance. Under optimized pressure, 100 W sputtering power yields the best crystallinity, the smoothest surface, and optimal soft magnetic properties, including high remanence ratio, low coercivity, and clear ferromagnetic resonance in the 2–7.5 GHz range. The optimal parameters are confirmed as 1 mTorr and 100 W, producing uniform nanocrystalline FeCoNi films. In situ LZ-TEM reveals river-like domain walls, vortex–antivortex structures, and uniform magnetic moment precession, indicating weak domain pinning and excellent high-frequency magnetization consistency. This study provides experimental and theoretical support for the controllable fabrication of high-performance FeCoNi soft magnetic films for high-frequency devices. Full article
(This article belongs to the Special Issue Recent Progress in Magnetron Sputtering of Coatings and Thin Films)
Show Figures

Figure 1

24 pages, 7190 KB  
Article
Effects of Loading Direction on Mechanical Behavior of Core–Shell Cu-Al Nanoparticles Under Uniform Compressive Loading-Molecular Dynamics Study
by Phillip Tomich, Michael Zawadzki and Iman Salehinia
Crystals 2026, 16(3), 186; https://doi.org/10.3390/cryst16030186 - 10 Mar 2026
Viewed by 488
Abstract
The mechanical behavior of metallic core–shell nanoparticles is critical for their use as reinforcement particles and additive manufacturing feedstocks, yet their deformation mechanisms remain incompletely understood. This study employs molecular dynamics simulations to investigate the compressive response of a Cu-core/Al-shell nanoparticle and compares [...] Read more.
The mechanical behavior of metallic core–shell nanoparticles is critical for their use as reinforcement particles and additive manufacturing feedstocks, yet their deformation mechanisms remain incompletely understood. This study employs molecular dynamics simulations to investigate the compressive response of a Cu-core/Al-shell nanoparticle and compares it with solid Cu, solid Al, and a hollow Al shell of the same size under uniaxial loading along ⟨100⟩, ⟨110⟩, ⟨111⟩, and ⟨112⟩ directions. The single-material nanoparticles show strong anisotropy: solid Cu exhibits orientation-dependent transitions from dislocation slip to deformation twinning, while introducing a void to form a hollow Al shell reduces stiffness and strength, confines plasticity to the shell wall, and suppresses extended load-bearing twins. The Cu–Al core–shell nanoparticle combines these behaviors in an orientation-dependent manner. Under ⟨110⟩ and ⟨112⟩ loading, deformation is largely shell-dominated, whereas ⟨100⟩ and ⟨111⟩ loading more strongly activates the Cu core. Mechanistically, ⟨100⟩ is characterized by Shockley partial activity and junction/lock formation in the Al shell coupled with twinning in the Cu core; ⟨110⟩ shows primarily shell partials with limited core involvement; ⟨111⟩ promotes partial-dislocation activity in both shell and core; and ⟨112⟩ produces localized, twin-dominated bands in the Al shell with shell-thickness-dependent twin extension into the Cu core. These trends are rationalized using Schmid factor considerations for 111110 slip and 111112 partial/twinning shear, together with the effects of faceted free surfaces and the Cu–Al interface. The core–shell geometry enables two concurrent interface-mediated pathways, i.e., (i) stress transfer and reduced cross-interface transmission and (ii) circumferential bypass within the shell, which together yield only slight flow-stress increases over solid Al while markedly reducing stress serrations compared with both solid Cu and solid Al. Across all orientations, the core–shell structures also exhibit delayed yielding (higher yield strain) relative to solid Cu, indicating enhanced ductility. The results provide an atomistic basis for designing Cu–Al core–shell nanoparticles for robust particle-based processing and additive manufacturing feedstock, and for informing multiscale models with mechanism-resolved, orientation-dependent inputs. Full article
Show Figures

Figure 1

22 pages, 4649 KB  
Article
Current Density-Dependent Microstructural Evolution and Properties of NiCo-CeO2 Composite Coatings
by Shuxin You, Xinquan Zhang, Qinyao Sun, Chuanhai Jiang and Honghao Zhang
Coatings 2026, 16(3), 296; https://doi.org/10.3390/coatings16030296 - 28 Feb 2026
Viewed by 521
Abstract
This study investigates the effects of current density on the microstructure and properties of electrodeposited NiCo-CeO2 composite coatings. Results demonstrate that current density significantly influences coating composition, with higher CeO2 and lower Co content increasing surface roughness (minimum at 30 mA/cm [...] Read more.
This study investigates the effects of current density on the microstructure and properties of electrodeposited NiCo-CeO2 composite coatings. Results demonstrate that current density significantly influences coating composition, with higher CeO2 and lower Co content increasing surface roughness (minimum at 30 mA/cm2, maximum at 100 mA/cm2). Microstructural homogeneity improves with optimized Co/CeO2 content, where the A30 coating (30 mA/cm2) exhibits the weakest texture among all coatings due to peak Co incorporation. Texture intensifies at higher current densities (30–100 mA/cm2) as Co and CeO2 contents diminish. Internal stress depends on electrodeposition kinetics and particle dispersion, ranging from −2.22 MPa (A20) to 651 MPa (A50). Hardness correlates with (111) plane dominance and Co/CeO2 content, reaching 449.8 HV for A30 but dropping to 288.8 HV for A100. Optimal current density tuning refines grains, enhances (111) texture, and improves compositional uniformity, endowing the A30 coating with balanced hardness and corrosion performance (corrosion potential: −224 mV; current density: 0.225 μA/cm2). These findings provide guidelines for tailoring high-performance NiCo-CeO2 coatings through current density regulation. Full article
(This article belongs to the Section Corrosion, Wear and Erosion)
Show Figures

Figure 1

27 pages, 5326 KB  
Review
Synergistic Control of Crystal Planes and Defects in CVD Single-Crystal Diamond: A Review of Growth Mechanisms and Frontier Applications
by Xiaohua Li, Jiaying Wei, Jie Gao, Yan Wang, Yongqiang Ma, Pengtao An, Shengwang Yu and Ke Zheng
Coatings 2026, 16(2), 218; https://doi.org/10.3390/coatings16020218 - 8 Feb 2026
Viewed by 966
Abstract
Single-crystal diamond (SCD) demonstrates immense potential in high-power electronics, quantum information, and precision sensing due to its exceptional hardness, high thermal conductivity, wide bandgap, and superior chemical stability. Focusing on the crystallographic dependence of chemical vapor deposition (CVD) synthesis, this review systematically examines [...] Read more.
Single-crystal diamond (SCD) demonstrates immense potential in high-power electronics, quantum information, and precision sensing due to its exceptional hardness, high thermal conductivity, wide bandgap, and superior chemical stability. Focusing on the crystallographic dependence of chemical vapor deposition (CVD) synthesis, this review systematically examines the growth mechanisms, defect characteristics, and application progress of typical low-index planes, specifically (100), (111), and (110). The (100) plane, leveraging stable step-flow growth modes and a mature process window, has established itself as the primary orientation for large-size, high-quality homoepitaxy. Conversely, while the (111) plane faces challenges regarding growth rate and the suppression of twins and stacking faults, it offers unique advantages for high-efficiency doping and the preferential alignment of quantum color centers, such as NV and SiV centers. The (110) plane, characterized by its anisotropic surface structure and high effective growth rate, shows significant potential for textured film preparation, N-type doping epitaxy, and quantum sensing based on surface termination control. Furthermore, this article outlines progress in high-index planes (e.g., (113)) and hexagonal diamonds (HDs), highlighting their possibilities for rapid thick-film deposition, directional color center regulation, and novel superhard/quantum material design. Finally, from an integrated “Material-Defect-Device” perspective, we identify current critical scientific and engineering challenges, providing a roadmap for the synergistic optimization of crystal plane selection, defect engineering, and device structure. Full article
(This article belongs to the Section Surface Characterization, Deposition and Modification)
Show Figures

Figure 1

17 pages, 335 KB  
Article
A Macrocognitive Design Taxonomy for Simulation-Based Training Systems: Bridging Cognitive Theory and Human–Computer Interaction
by Jessica M. Johnson
Computers 2026, 15(2), 110; https://doi.org/10.3390/computers15020110 - 6 Feb 2026
Cited by 1 | Viewed by 516
Abstract
Simulation-based training systems are increasingly deployed to prepare learners for complex, safety-critical, and dynamic work environments. While advances in computing have enabled immersive and data-rich simulations, many systems remain optimized for procedural accuracy and surface-level task performance rather than the macrocognitive processes that [...] Read more.
Simulation-based training systems are increasingly deployed to prepare learners for complex, safety-critical, and dynamic work environments. While advances in computing have enabled immersive and data-rich simulations, many systems remain optimized for procedural accuracy and surface-level task performance rather than the macrocognitive processes that underpin adaptive expertise. Macrocognition encompasses higher-order cognitive processes that are essential for performance transfer beyond controlled training conditions. When these processes are insufficiently supported, training systems risk fostering brittle strategies and negative training effects. This paper introduces a macrocognitive design taxonomy for simulation-based training systems derived from a large-scale meta-analysis examining the transfer of macrocognitive skills from immersive simulations to real-world training environments. Drawing on evidence synthesized from 111 studies spanning healthcare, industrial safety, skilled trades, and defense contexts, the taxonomy links macrocognitive theory to human–computer interaction (HCI) design affordances, computational data traces, and feedback and adaptation mechanisms shown to support transfer. Grounded in joint cognitive systems theory and learning engineering practice, the taxonomy treats macrocognition as a designable and computable system concern informed by empirical transfer effects rather than as an abstract explanatory construct. Full article
(This article belongs to the Special Issue Innovative Research in Human–Computer Interactions)
Show Figures

Figure 1

18 pages, 6355 KB  
Article
Exploration of Natural Protein–Polysaccharide–Polyphenol Ternary Complexes from Grape Pomace for Clean-Label Pickering Emulsions Through pH Adjustment
by Zixuan Du, Zhengyang Jia, Jianyu Yang, Yue Zhao, Jiachen Zang and Guanghua Zhao
Foods 2026, 15(3), 564; https://doi.org/10.3390/foods15030564 - 5 Feb 2026
Viewed by 823
Abstract
Grape pomace represents a major organic solid waste generated by the wine industry, but its application has been largely unexplored. On the other hand, so far, stable and sustainable raw materials for producing stable, edible Pickering emulsifiers suitable for the food industry have [...] Read more.
Grape pomace represents a major organic solid waste generated by the wine industry, but its application has been largely unexplored. On the other hand, so far, stable and sustainable raw materials for producing stable, edible Pickering emulsifiers suitable for the food industry have been lacking. To solve these problems, this study established a mild but effective co-extraction method to obtain protein–polysaccharide–polyphenol ternary complexes (GPTCs) from grape pomace. Subsequently, these complexes were directly developed into an edible Pickering emulsifier by a pH-controlled method. Results showed that a series of properties related to the Pickering emulsifier, such as particle size, surface charge, wettability, and interfacial adsorption behavior, could be easily controlled by adjusting the solution’s pH. Consequently, the GPTC prepared at pH 7.0 exhibited optimal emulsifying performance. The resulting particles had an average particle size of approximately 111 nm, and stabilized Pickering emulsions with a volume-weighted mean oil droplet diameter (D [4,3]) of 9.49 μm, indicating high emulsion stability. Collectively, this study provided an actionable approach for the green, high-value utilization of wine byproducts by establishing a pH-responsive design framework for edible Pickering emulsifiers. Full article
(This article belongs to the Section Drinks and Liquid Nutrition)
Show Figures

Graphical abstract

23 pages, 19417 KB  
Article
The Role of the Magnetic Field Orientation and Strength on the Electrodeposition of Ni-Fe Bifunctional Electrocatalyst for Hydrogen Evolution Reaction and Oxygen Evolution Reaction
by Safya Elsharkawy, Mateusz M. Marzec and Piotr Żabiński
Metals 2026, 16(2), 180; https://doi.org/10.3390/met16020180 - 3 Feb 2026
Viewed by 530
Abstract
Ni–Fe alloys were prepared via electrodeposition from a citrate electrolyte under different magnetic field (MF) strengths (0.1 T, 0.3 T, and 0.5 T) and configurations parallel (B) and perpendicular (B) to the electrode surface. The magnetohydrodynamics (MHD) induced by [...] Read more.
Ni–Fe alloys were prepared via electrodeposition from a citrate electrolyte under different magnetic field (MF) strengths (0.1 T, 0.3 T, and 0.5 T) and configurations parallel (B) and perpendicular (B) to the electrode surface. The magnetohydrodynamics (MHD) induced by the magnetic field influences their structural, compositional, and electrocatalytic properties. The application of an external homogeneous magnetic field significantly altered the alloy morphology, composition, and crystallinity, which we investigated. Scanning electron microscopy (SEM) and X-ray fluorescence (XRF) studies reflected that moderate MF intensity (0.3 T) led to modest variation in Fe incorporation and produced smoother, denser, and more homogeneous Ni–Fe films, particularly under (B), while high field strength (0.5 T) resulted in surface roughening and compositional nonuniformity. X-ray diffraction (XRD) confirmed that the perpendicular MF enhanced crystallinity and favored (111) and (200) texture growth, while parallel orientation led to weaker and broader diffraction peaks, providing less-ordered growth. Furthermore, slight variations in Fe content were observed with changes in magnetic field strength and direction. Electrochemical measurements demonstrated that the deposited Ni-Fe under various magnetic field conditions modulated both the hydrogen evolution reaction (HER) and the oxygen evolution reaction (OER) in 1 M NaOH. For HER, the lowest overpotential (η10 = −227 mV at 10 mA cm−2) and Tafel slope (120 mV·dec−1) were obtained for the deposited Ni-Fe under (B) at 0.1 T, while for OER, the best catalytic performance occurred for fabricated Ni-Fe alloy under (B) at 0.3 T with an overpotential value of (η10 = 320 mV, Tafel = 202 mV·dec−1). The deposited Ni-Fe alloys under both orientations exhibited reasonable stability and durability during a prolonged operation process. Overall, the findings demonstrate that controlling magnetic field orientation and intensity during electrodeposition provides a versatile route to tailor the microstructure and optimize the bifunctional electrocatalytic performance of Ni–Fe alloys for the water-splitting reaction in an alkaline medium. Full article
Show Figures

Graphical abstract

12 pages, 2467 KB  
Article
First-Principles Insights into Lubrication Behaviors of Gallium-Matrix Liquid Metal for Bearing Steel and Albronze Frictional Pairs
by Xing Li, Ruizhi Wang, Yunqing Tang, Yukui Cai, Xiaoliang Liang, Jiaqian Li, Guijiang Diao and Dongyang Li
Lubricants 2026, 14(1), 24; https://doi.org/10.3390/lubricants14010024 - 5 Jan 2026
Viewed by 742
Abstract
The lubrication properties of gallium-matrix liquid metal (GLM) are intimately connected to the tribofilms formed through frictional processes. Physico-chemical properties of the tribofilms depend on the interfacial interactions between GLM and the surfaces of frictional pairs. Therefore, it is significant to reveal the [...] Read more.
The lubrication properties of gallium-matrix liquid metal (GLM) are intimately connected to the tribofilms formed through frictional processes. Physico-chemical properties of the tribofilms depend on the interfacial interactions between GLM and the surfaces of frictional pairs. Therefore, it is significant to reveal the process of interfacial interactions. In this study, considering that Ga and In atoms are the main components of GLM lubricant, the adsorption processes of Ga and In atoms on Fe (111) and Cu (111) surfaces are, respectively, investigated at the atomic level by the density functional theory (DFT) method to have an insight into the lubrication behaviors of GLM for bearing steel and albronze metals. It is found that the adsorptions of Ga atom on both Fe (111) and Cu (111) surfaces are stronger than that of In atom, and thus forming Fe-Ga bond and Cu-Ga bond. Furthermore, interfacial interactional experiments and tribological experiments are conducted to verify the results of first-principles calculations. Tribological experiments demonstrate that with FeGa3 film on the bearing steel surface, the friction coefficient and wear rate can be reduced by 30% and 82%, while with CuGa2 film on the albronze surface, the friction coefficient and wear rate can be reduced by 27% and 94%. Full article
(This article belongs to the Special Issue Tribology of Metals and Alloys)
Show Figures

Figure 1

17 pages, 9590 KB  
Article
Bio-Based Self-Assembly and Hydrophobic Modification for Simultaneously Enhancing Flame Retardancy and Water Resistance of Wood
by Yiran Li, Huidi Zhou and Kaili Zhang
Sustainability 2026, 18(1), 520; https://doi.org/10.3390/su18010520 - 4 Jan 2026
Viewed by 682
Abstract
As an important renewable building material, wood’s flammability significantly limits its application range. This study addresses the environmental pollution issues associated with traditional flame retardants by developing an eco-friendly flame retardant system based on natural biomaterials. Utilizing layer-by-layer self-assembly techniques, sodium phytate, chitosan, [...] Read more.
As an important renewable building material, wood’s flammability significantly limits its application range. This study addresses the environmental pollution issues associated with traditional flame retardants by developing an eco-friendly flame retardant system based on natural biomaterials. Utilizing layer-by-layer self-assembly techniques, sodium phytate, chitosan, sodium alginate, and sodium methyl silicate were sequentially deposited onto the wood surface to construct a multifunctional composite coating. A multifunctional composite coating was constructed on wood surfaces through layer-by-layer self-assembly technology, involving successive deposition of phytic acid sodium, chitosan, sodium alginate, and methyl silicate sodium. Characterization results indicated that the optimized sample WPCSMH achieved a limiting oxygen index of 34.0%, representing a 12% increase compared to untreated wood. Cone calorimetry tests revealed that its peak heat release rate and total heat release were reduced by 57.1% and 25.3%, respectively. Additionally, contact angle measurements confirmed its excellent hydrophobic properties, with an initial contact angle of 111°. Mechanistic analysis reveals that this system significantly enhances flame retardant performance through a synergistic interaction of three mechanisms: gas phase flame retardancy, condensed phase flame retardancy, and free radical scavenging. This research provides a sustainable and innovative pathway for developing environmentally friendly, multifunctional wood-based composites. Full article
Show Figures

Figure 1

26 pages, 7261 KB  
Article
Discovery and Evaluation of Novel Calenduloside E Derivatives Targeting HSP90β in Ox-LDL-Induced HUVECs Injury
by Fang Han, Huiqi Fang, Guangyu Li, Di Deng, Guibo Sun and Yu Tian
Pharmaceuticals 2026, 19(1), 90; https://doi.org/10.3390/ph19010090 - 2 Jan 2026
Viewed by 708
Abstract
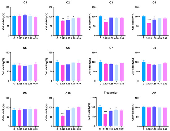
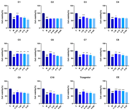
Background: Atherosclerosis (AS) serves as the primary pathological basis for cardiovascular disease-related deaths worldwide, posing a severe threat to public health security. Heat shock protein 90 (HSP90) plays a crucial regulatory role in the pathological progression of AS, emerging as a potential [...] Read more.
Background: Atherosclerosis (AS) serves as the primary pathological basis for cardiovascular disease-related deaths worldwide, posing a severe threat to public health security. Heat shock protein 90 (HSP90) plays a crucial regulatory role in the pathological progression of AS, emerging as a potential target for anti-atherosclerosis drug development in recent years. Calenduloside E (CE) is a pentacyclic triterpenoid saponin isolated from Aralia elata (Miq.) Seem. Previous studies have confirmed its anti-atherosclerotic activity, but its weak efficacy and narrow therapeutic index limit its clinical application. In this study, the CE scaffold was hybridized with a ticagrelor-derived fragment to enhance anti-atherosclerotic activity. In this study, the CE scaffold was hybridized with a ticagrelor fragment to achieve improved activity. Methods: Based on the principle of molecular hybridization, CE was linked to the active fragment of ticagrelor via a PEG chain. Ten CE derivatives were synthesized by modifying the sugar substituents. In vitro experiments were conducted to detect cytotoxicity and protective activity against ox-LDL-induced HUVECs injury. Molecular docking and Surface Plasmon Resonance (SPR) assays were used to evaluate the interaction between CE derivatives and the known target HSP90β. Combined with Microscale Thermophoresis (MST), SwissTargetPrediction, and molecular docking, other potential targets of CE derivatives were identified. Results: In the ox-LDL-induced HUVECs injury model, all compounds except C2 and C9 exhibited protective activity. Among these compounds, compound C5 exhibited the optimal protective effect, with an EC50 value of 1.44 μM. Molecular docking results revealed that both C5 and CE could bind to HSP90β by forming hydrogen bonds with the key amino acid Asp93. Additionally, SPR results indicated that C5 and CE had similar binding affinities to HSP90β, with dissociation constants (KD) of 1.73 μM and 1.72 μM, respectively. MST demonstrated that C5 binds to HSP90β with an affinity 111 times higher than that of ticagrelor. SwissTargetPrediction and molecular docking identified P2Y12 as another potential target of derivative C5. Conclusions: Compound C5 exerts protective effect against ox-LDL-induced HUVECs injury by targeting HSP90β. Its effective concentration is significantly improved compared with that of the parent CE, which provides a possibility for reducing clinical dosage and toxic side effects in subsequent studies. Furthermore, C5 may exert its effects by targeting another potential target, P2Y12, offering references for the rational design of novel anti-atherosclerotic drugs. Full article
(This article belongs to the Section Natural Products)
Show Figures

Graphical abstract

20 pages, 15826 KB  
Article
Effect of Sodium Hypophosphite on Copper Deposition and Coating Properties of Carbon Fibers in a Citrate Bath
by Houzhen Liu, Wenzheng Jiang, Shaokai Hu, Guodong Zhang, Weizhuang Yang, Shengzong Ci, Tianrun Yang and Kun Qiao
Fibers 2026, 14(1), 5; https://doi.org/10.3390/fib14010005 - 29 Dec 2025
Viewed by 788
Abstract
The extensive application of carbon fibers (CFs) and their composites in aerospace and electronics has established the optimization of their electrical conductivity as a critical research priority. Conventional electrodeposition techniques are limited by CF inherent chemical inertness and low surface energy, which increase [...] Read more.
The extensive application of carbon fibers (CFs) and their composites in aerospace and electronics has established the optimization of their electrical conductivity as a critical research priority. Conventional electrodeposition techniques are limited by CF inherent chemical inertness and low surface energy, which increase the energy barrier for copper deposition, leading to defective coatings and weakened interfacial bonding. This study demonstrated that sodium hypophosphite (NaH2PO2) enhances CF copper deposition efficiency through concentration gradient experiments (0–30 g/L), revealing its modulation of deposition kinetics, crystallographic evolution, and interfacial adhesion strength. Electrochemical analysis showed that NaH2PO2 accelerates initial copper nucleation by reducing activation energy without forming complexes. Increasing its concentration expanded monofilament diameter from 8.55 to 9.26 μm post-deposition, with copper loading rising 28.89%. XRD analysis identified 20 g/L as the optimum for crystallinity, producing maximal grain size (8.27 nm) and predominant (111) orientation. This structure achieved a conductivity of 1.63 × 103 S·cm−1 (55.24% enhancement) and improved breaking force from 13.54 to 14.57 cN. Adhesion tests showed that the 20 g/L group maintained stability comparable to the control. These results suggest that 20 g/L is the preferred concentration balancing conductivity enhancement with mechanical stability. This approach offers a novel strategy for fabricating highly conductive CF composites. Full article
(This article belongs to the Collection Feature Papers in Fibers)
Show Figures

Graphical abstract

20 pages, 3311 KB  
Article
DFT Calculation of the Electronic Properties of Cubic Ti3Sb Crystals with Adsorbed and/or Partially Substituted Nitrogen
by Mirsalim M. Asadov, Solmaz N. Mustafaeva and Saida O. Mammadova
Alloys 2026, 5(1), 1; https://doi.org/10.3390/alloys5010001 - 24 Dec 2025
Viewed by 589
Abstract
Intermetallic alloys based on A15-type compounds, including cubic Ti3Sb, attract increasing interest due to their tunable electronic properties and potential for surface-related functional applications. Here, the interaction of nitrogen with Ti3Sb is systematically investigated using spin-polarized density functional theory [...] Read more.
Intermetallic alloys based on A15-type compounds, including cubic Ti3Sb, attract increasing interest due to their tunable electronic properties and potential for surface-related functional applications. Here, the interaction of nitrogen with Ti3Sb is systematically investigated using spin-polarized density functional theory within the GGA-PBE approximation. Nitrogen adsorption was analyzed on the Ti3Sb (111), (100), and (110) surfaces by considering top, bridge, and hollow sites at different surface coverages. Low nitrogen coverage was found to minimize lateral adsorbate interactions, allowing reliable evaluation of single-atom adsorption energies. Among the studied configurations, nitrogen adsorption at the hollow site of the Ti3Sb (111) surface is energetically most favorable. In addition, partial substitution of Ti or Sb atoms by nitrogen in Ti3Sb supercells was examined to assess its effect on bulk electronic properties. Nitrogen incorporation leads to pronounced modifications of the electronic band structure, density of states, and local magnetic moments, with a strong dependence on crystallographic direction. The calculated results reveal distinct electronic anisotropies originating from direction-dependent band dispersion and associated effective carrier masses. These findings clarify the role of nitrogen in tailoring both surface and bulk electronic characteristics of Ti3Sb and provide a theoretical basis for the targeted design of A15-type intermetallic materials for sensing, catalytic, and energy-related applications. Full article
Show Figures

Figure 1

Back to TopTop