Discovery and Evaluation of Novel Calenduloside E Derivatives Targeting HSP90β in Ox-LDL-Induced HUVECs Injury
Abstract
1. Introduction
2. Results and Discussion
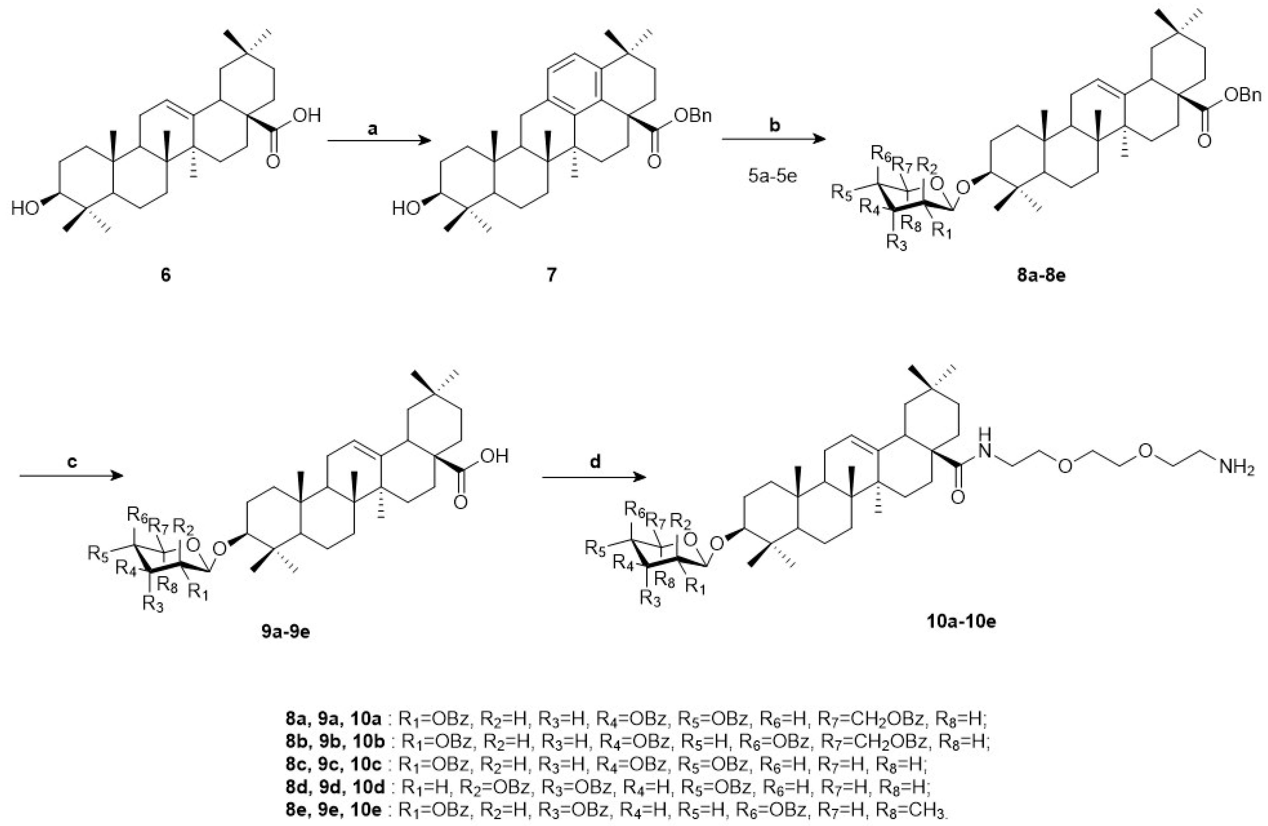
2.1. Design and Synthesis of Derivatives
2.2. Evaluation of the Biological Activity of CE and Its Derivatives
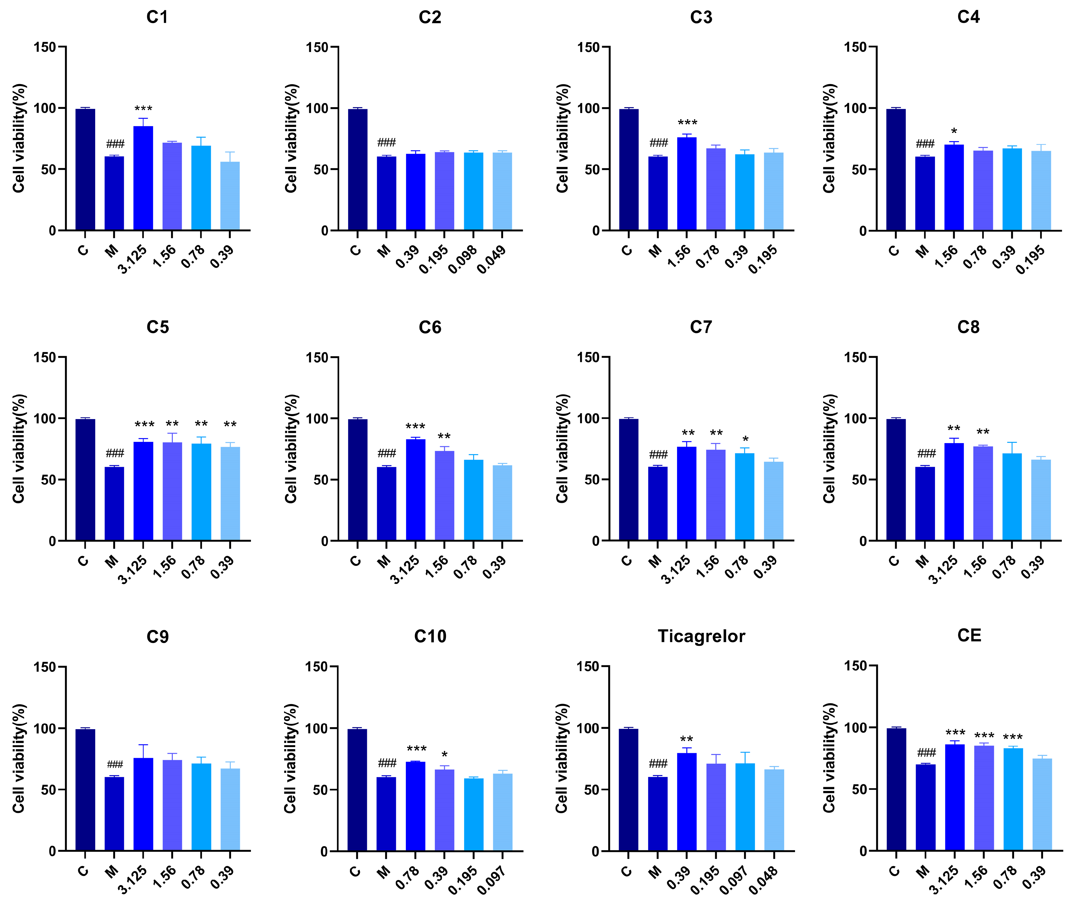
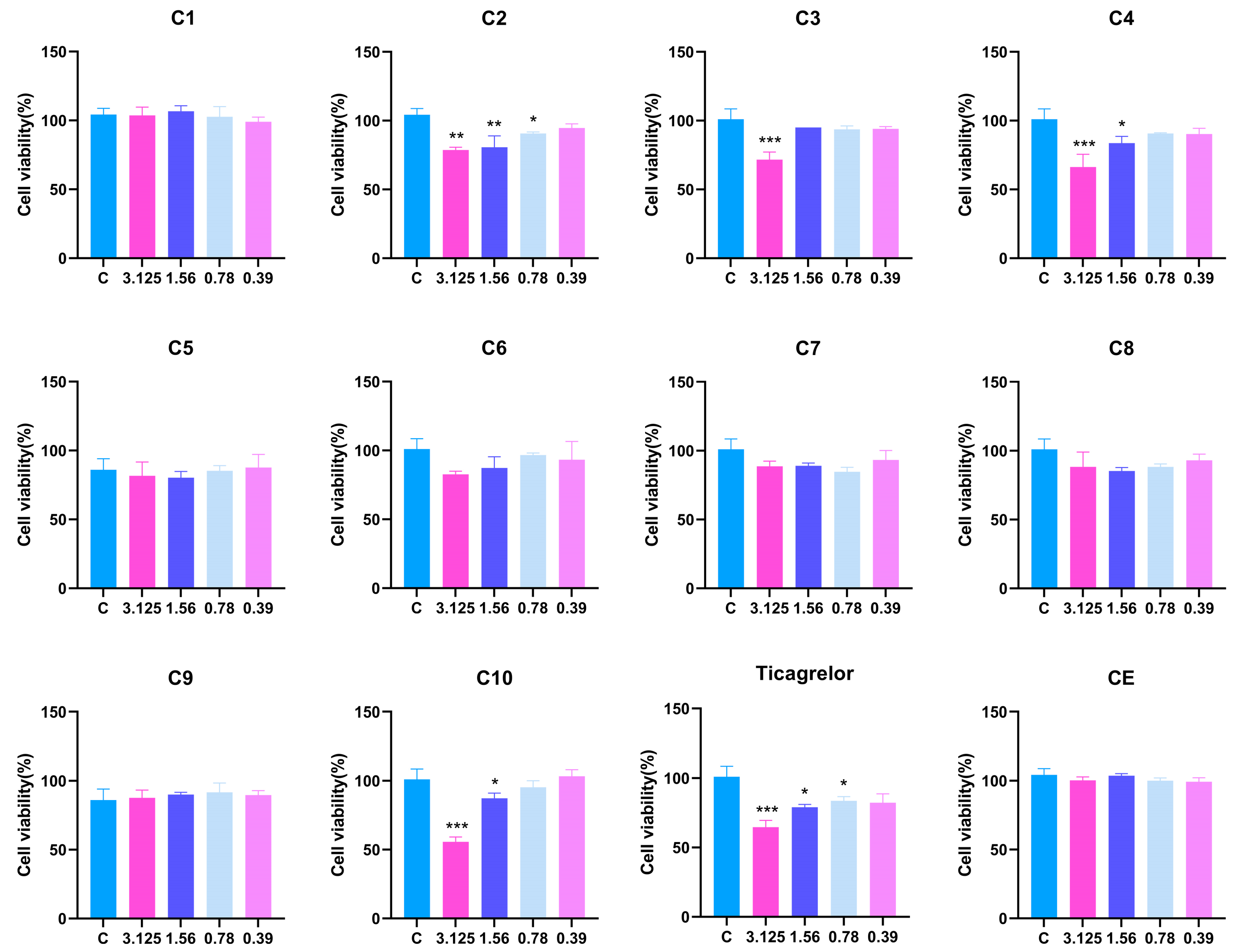
2.2.1. Cytotoxicity Screening of Derivatives
2.2.2. Protective Effects of CE Derivatives Against Ox-LDL-Induced Damage in HUVECs
2.2.3. Protective Effects of Compound C5 Against Ox-LDL-Induced Damage in HUVECs
2.3. Molecular Docking Analysis of Compound C5 with HSP90β
2.4. Surface Plasmon Resonance Analysis of CE and C5 Binding to HSP90β
2.5. Microscale Thermophoresis Analysis of C5 and Ticagrelor Binding to HSP90β
2.6. Identification of P2Y12 as Another Potential Target of Derivative C5
3. Materials and Methods
3.1. Chemistry
3.1.1. General Experiment and Information
3.1.2. General Procedure for the Synthesis of 5a–5e
3.1.3. Synthesis of Compound 7
3.1.4. General Procedure for the Synthesis of 8a–8e
3.1.5. General Procedure for the Synthesis of 9a–9e
3.1.6. General Procedure for the Synthesis of 10a–10e
3.1.7. Synthesis of Compound 13
3.1.8. Synthesis of Compound 14
3.1.9. General Procedure for the Synthesis of 15a–15e
3.1.10. General Procedure for the Synthesis of C1–C5
3.1.11. Characterization of C1–C5
3.1.12. General Procedure for the Synthesis of C6–C10
3.1.13. Characterization of C6–C10
3.2. Biological Assay
3.2.1. Cell Culture and Treatment
3.2.2. Cell Viability Assays
3.2.3. Surface Plasmon Resonance (SPR)
3.2.4. Molecular Docking (MD)
3.2.5. Microscale Thermophoresis (MST)
3.2.6. Statistical Analysis
4. Conclusions
Supplementary Materials
Author Contributions
Funding
Institutional Review Board Statement
Informed Consent Statement
Data Availability Statement
Conflicts of Interest
Abbreviations
| ACS | Acute coronary syndrome |
| ApoE−/− | ApoE knockout |
| AS | Atherosclerosis |
| cAMP | Cyclic adenosine monophosphate |
| CCK-8 | Cell counting kit-8 |
| CE | Calenduloside E |
| CPTP | Cyclopentyl–triazolopyrimidine |
| DCM | Dichloromethane |
| DMSO | Dimethyl sulfoxide |
| EA | Ethyl acetate |
| EDCI | 1-Ethyl-3-(3-dimethyllaminopropyl) carbodiimide hydrochloride |
| eNOS | Endothelial nitric oxide synthase |
| HOBT | 1-Hydroxybenzotriazole |
| HSP90 | Heat shock protein 90 |
| HUVECs | Human umbilical vein endothelial cells |
| IL–6 | Interleukin-6 |
| ka | Association rate constant |
| KD | Equilibrium dissociation constant |
| kd | Dissociation rate constant |
| KLF2 | Kruppel-like factor 2 |
| LTCC | L-type calcium channels |
| CH3OH | Methanol |
| MOE | Molecular operating environment |
| MST | Microscale thermophoresis |
| NF-κB | Nuclear factor-κB |
| NO | Nitric oxide |
| ox-LDL | Oxidized low-density lipoprotein |
| Pd/C | 10% palladium on carbon |
| PE | Petroleum ether |
| SPR | Surface plasmon resonance |
| TBAB | Tetrabutylammonium bromide |
| TLC | Thin-layer chromatography |
| TMSOTf | Trimethylsilyl trifluoromethanesulfonate |
| TNF-α | Tumor necrosis factor-α |
| VSMCs | Vascular smooth muscle cells |
References
- Virani, S.S.; Alonso, A.; Aparicio, H.J.; Benjamin, E.J.; Bittencourt, M.S.; Callaway, C.W.; Carson, A.P.; Chamberlain, A.M.; Cheng, S.; Delling, F.N.; et al. Heart Disease and Stroke Statistics-2021 Update: A Report From the American Heart Association. Circulation 2021, 143, e254–e743. [Google Scholar] [CrossRef]
- Libby, P.; Ridker, P.M.; Hansson, G.K. Leducq Transatlantic Network on Atherothrombosis. Inflammation in atherosclerosis: From pathophysiology to practice. J. Am. Coll. Cardiol. 2009, 54, 2129–2138. [Google Scholar] [CrossRef] [PubMed]
- Zhu, L.; Liu, Y.; Wang, K.; Wang, N. Regulated cell death in acute myocardial infarction: Molecular mechanisms and therapeutic implications. Ageing Res. Rev. 2025, 104, 102629. [Google Scholar] [CrossRef]
- Lau, K.K.; Chua, B.J.; Ng, A.; Leung, I.Y.; Wong, Y.; Chan, A.H.; Chiu, Y.; Chu, A.X.; Leung, W.C.Y.; Tsang, A.C.; et al. Low-Density Lipoprotein Cholesterol and Risk of Recurrent Vascular Events in Chinese Patients With Ischemic Stroke With and Without Significant Atherosclerosis. J. Am. Heart Assoc. 2021, 10, e021855. [Google Scholar] [CrossRef]
- You, N.; Liu, G.; Yu, M.; Chen, W.; Fei, X.; Sun, T.; Han, M.; Qin, Z.; Wei, Z.; Wang, D. Reconceptualizing Endothelial-to-mesenchymal transition in atherosclerosis: Signaling pathways and prospective targeting strategies. J. Adv. Res. 2025, 77, 419–441. [Google Scholar] [CrossRef]
- Gimbrone, M.A., Jr.; García-Cardeña, G. Endothelial Cell Dysfunction and the Pathobiology of Atherosclerosis. Circ. Res. 2016, 118, 620–636. [Google Scholar] [CrossRef]
- Chen, R.; McVey, D.G.; Shen, D.; Huang, X.; Ye, S. Phenotypic Switching of Vascular Smooth Muscle Cells in Atherosclerosis. J. Am. Heart Assoc. 2023, 12, e031121. [Google Scholar] [CrossRef]
- Liu, X.; Zhang, P.; Lian, Z.; Yu, H.; Li, Y.; Guo, J.; Zhang, N.; Dai, S.; Qi, Z.; Ge, J. CCL21 Enhances Platelet Activation and Atherothrombosis via CCR7 Activation. Circ. Res. 2025, 137, 1299–1315. [Google Scholar] [CrossRef]
- Wolf, D.; Ley, K. Immunity and Inflammation in Atherosclerosis. Circ. Res. 2019, 124, 315–327. [Google Scholar] [CrossRef] [PubMed]
- NCD Countdown 2030 Collaborators. NCD Countdown 2030: Worldwide trends in non-communicable disease mortality and progress towards Sustainable Development Goal target 3.4. Lancet 2018, 392, 1072–1088. [Google Scholar] [CrossRef] [PubMed]
- Islam, T. Impact of statins on vascular smooth muscle cells and relevance to atherosclerosis. J. Physiol. 2020, 598, 2295–2296. [Google Scholar] [CrossRef]
- Lordan, R.; Tsoupras, A.; Zabetakis, I. Platelet activation and prothrombotic mediators at the nexus of inflammation and atherosclerosis: Potential role of antiplatelet agents. Blood Rev. 2021, 45, 100694. [Google Scholar] [CrossRef]
- Kypreos, K.E.; Bitzur, R.; Karavia, E.A.; Xepapadaki, E.; Panayiotakopoulos, G.; Constantinou, C. Pharmacological Management of Dyslipidemia in Atherosclerosis: Limitations, Challenges, and New Therapeutic Opportunities. Angiology 2019, 70, 197–209. [Google Scholar] [CrossRef]
- Mora, S.; Manson, J.E. Aspirin for Primary Prevention of Atherosclerotic Cardiovascular Disease: Advances in Diagnosis and Treatment. JAMA Intern. Med. 2016, 176, 1195–1204. [Google Scholar] [CrossRef]
- Arora, S.; Shemisa, K.; Vaduganathan, M.; Qamar, A.; Gupta, A.; Garg, S.K.; Kumbhani, D.J.; Mayo, H.; Khalili, H.; Pandey, A.; et al. Premature Ticagrelor Discontinuation in Secondary Prevention of Atherosclerotic CVD: JACC Review Topic of the Week. J. Am. Coll. Cardiol. 2019, 73, 2454–2464. [Google Scholar] [CrossRef]
- Brouet, A.; Sonveaux, P.; Dessy, C.; Moniotte, S.; Balligand, J.L.; Feron, O. Hsp90 and caveolin are key targets for the proangiogenic nitric oxide-mediated effects of statins. Circ. Res. 2001, 89, 866–873. [Google Scholar] [CrossRef] [PubMed]
- Luo, J.Y.; Cheng, C.K.; Gou, L.; He, L.; Zhao, L.; Zhang, Y.; Wang, L.; Lau, C.W.; Xu, A.; Chen, A.F.; et al. Induction of KLF2 by Exercise Activates eNOS to Improve Vasodilatation in Diabetic Mice. Diabetes 2023, 72, 1330–1342. [Google Scholar] [CrossRef]
- Lazaro, I.; Oguiza, A.; Recio, C.; Mallavia, B.; Madrigal-Matute, J.; Blanco, J.; Egido, J.; Martin-Ventura, J.-L.; Gomez-Guerrero, C. Targeting HSP90 Ameliorates Nephropathy and Atherosclerosis Through Suppression of NF-κB and STAT Signaling Pathways in Diabetic Mice. Diabetes 2015, 64, 3600–3613. [Google Scholar] [CrossRef]
- Kim, J.; Jang, S.W.; Park, E.; Oh, M.; Park, S.; Ko, J. The role of heat shock protein 90 in migration and proliferation of vascular smooth muscle cells in the development of atherosclerosis. J. Mol. Cell. Cardiol. 2014, 72, 157–167. [Google Scholar] [CrossRef] [PubMed]
- Qi, S.; Yi, G.; Yu, K.; Feng, C.; Deng, S. The Role of HSP90 Inhibitors in the Treatment of Cardiovascular Diseases. Cells 2022, 11, 3444. [Google Scholar] [CrossRef] [PubMed]
- Wang, R.; Wang, M.; Zhou, J.; Dai, Z.; Sun, G.; Sun, X. Calenduloside E suppresses calcium overload by promoting the interaction between L-type calcium channels and Bcl2-associated athanogene 3 to alleviate myocardial ischemia/reperfusion injury. J. Adv. Res. 2020, 34, 173–186. [Google Scholar] [CrossRef] [PubMed]
- Wang, R.; Wang, M.; Liu, B.; Xu, H.; Ye, J.; Sun, X.; Sun, G. Calenduloside E protects against myocardial ischemia-reperfusion injury induced calcium overload by enhancing autophagy and inhibiting L-type Ca channels through BAG3. Biomed. Pharmacother. 2022, 145, 112432. [Google Scholar] [CrossRef]
- Yuan, A.; Liu, J.; Guo, J.; Chen, F.; Xu, J.; Chen, H.; Wang, C.; Le, Y.; Lu, D. Calenduloside E Ameliorates Inflammatory Responses in Adipose Tissue via Sirtuin 2-NLRP3 Inflammasome Axis. J. Agric. Food Chem. 2024, 72, 20959–20973. [Google Scholar] [CrossRef]
- Li, L.; Mou, J.; Han, Y.; Wang, M.; Lu, S.; Ma, Q.; Wang, J.; Ye, J.; Sun, G. Calenduloside e modulates macrophage polarization via KLF2-regulated glycolysis, contributing to attenuates atherosclerosis. Int. Immunopharmacol. 2023, 117, 109730. [Google Scholar] [CrossRef]
- Tian, Y.; Wang, S.; Shang, H.; Wang, W.-Q.; Wang, B.-Q.; Zhang, X.; Xu, X.-D.; Sun, G.-B.; Sun, X.-B. The clickable activity-based probe of anti-apoptotic calenduloside E. Pharm. Biol. 2019, 57, 133–139. [Google Scholar] [CrossRef]
- Wang, S.; Tian, Y.; Zhang, J.Y.; Xu, H.-B.; Zhou, P.; Wang, M.; Lu, S.-B.; Luo, Y.; Sun, G.-B.; Xu, X.-D.; et al. Targets Fishing and Identification of Calenduloside E as Hsp90AB1: Design, Synthesis, and Evaluation of Clickable Activity-Based Probe. Front. Pharmacol. 2018, 9, 532. [Google Scholar] [CrossRef] [PubMed]
- Kamran, H.; Jneid, H.; Kayani, W.T.; Virani, S.S.; Levine, G.N.; Nambi, V.; Khalid, U. Oral Antiplatelet Therapy After Acute Coronary Syndrome: A Review. JAMA 2021, 325, 1545–1555. [Google Scholar] [CrossRef]
- Teng, R. Ticagrelor: Pharmacokinetic, Pharmacodynamic and Pharmacogenetic Profile: An Update. Clin. Pharmacokinet. 2015, 54, 1125–1138. [Google Scholar] [CrossRef]
- Hoffmann, K.; Lutz, D.A.; Straßburger, J.; Baqi, Y.; Müller, C.E.; von Kügelgen, I. Competitive mode and site of interaction of ticagrelor at the human platelet P2Y12 -receptor. J. Thromb. Haemost. 2014, 12, 1898–1905. [Google Scholar] [CrossRef]
- Ganbaatar, B.; Fukuda, D.; Salim, H.M.; Nishimoto, S.; Tanaka, K.; Higashikuni, Y.; Hirata, Y.; Yagi, S.; Soeki, T.; Sata, M. Ticagrelor, a P2Y12 antagonist, attenuates vascular dysfunction and inhibits atherogenesis in apolipoprotein-E-deficient mice. Atherosclerosis 2018, 275, 124–132. [Google Scholar] [CrossRef] [PubMed]
- Wallentin, L.; Becker, R.C.; Budaj, A.; Cannon, C.P.; Emanuelsson, H.; Held, C.; Horrow, J.; Husted, S.; James, S.; Katus, H.; et al. Ticagrelor versus clopidogrel in patients with acute coronary syndromes. N. Engl. J. Med. 2009, 361, 1045–1057. [Google Scholar] [CrossRef]
- Schmidt, R.R.; Michel, J. Facile synthesis of α- and β-O-Glycosyl Imidates; Preparation of Glycosides and Disaccharides. Angew. Chem. Int. Ed. Engl. 1980, 19, 731–732. [Google Scholar] [CrossRef]
- Tu, W.; Fan, J.; Zhang, H.; Xu, G.; Liu, Z.; Qu, J.; Yang, F.; Zhang, L.; Luan, T.; Yuan, J.; et al. Synthesis and biological evaluation of cyclopentyl-triazolol-pyrimidine (CPTP) based P2Y12 antagonists. Bioorg. Med. Chem. Lett. 2014, 24, 141–146. [Google Scholar] [CrossRef]
- Van Giezen, J.J.; Humphries, R.G. Preclinical and clinical studies with selective reversible direct P2Y12 antagonists. Semin. Thromb. Hemost. 2005, 31, 195–204. [Google Scholar] [CrossRef]
- Zhang, K.; Zhang, J.; Gao, Z.G.; Zhang, D.; Zhu, L.; Han, G.W.; Moss, S.M.; Paoletta, S.; Kiselev, E.; Lu, W.; et al. Structure of the human P2Y12 receptor in complex with an antithrombotic drug. Nature 2014, 509, 115–118. [Google Scholar] [CrossRef]
- Stein, J.A.C.; Ianeselli, A.; Braun, D. Kinetic Microscale Thermophoresis for Simultaneous Measurement of Binding Affinity and Kinetics. Angew. Chem. Int. Ed. Engl. 2021, 60, 13988–13995. [Google Scholar] [CrossRef]
- Pi, S.; Mao, L.; Chen, J.; Shi, H.; Liu, Y.; Guo, X.; Li, Y.; Zhou, L.; He, H.; Yu, C.; et al. The P2RY12 receptor promotes VSMC-derived foam cell formation by inhibiting autophagy in advanced atherosclerosis. Autophagy 2021, 17, 980–1000. [Google Scholar] [CrossRef]
- Yang, J.; Liu, S.; Hu, S.; Dai, H.; Cai, K. Moxibustion’s protective role against atherosclerosis: Inhibition of Ca overload-triggered oxidative stress and inflammatory response via P2Y12/PI3K/AKT pathway. Environ. Toxicol. 2024, 39, 228–237. [Google Scholar] [CrossRef] [PubMed]
- Bao, Y.; Zhu, L.; Wang, Y.; Liu, J.; Liu, Z.; Li, Z.; Zhou, A.; Wu, H. Gualou-Xiebai herb pair and its active ingredients act against atherosclerosis by suppressing VSMC-derived foam cell formation via regulating P2RY12-mediated lipophagy. Phytomedicine 2024, 128, 155341. [Google Scholar] [CrossRef] [PubMed]
- Niu, X.; Pi, S.L.; Baral, S.; Xia, Y.-P.; He, Q.-W.; Li, Y.-N.; Jin, H.-J.; Li, M.; Wang, M.-D.; Mao, L.; et al. P2Y Promotes Migration of Vascular Smooth Muscle Cells Through Cofilin Dephosphorylation During Atherogenesis. Arterioscler. Thromb. Vasc. Biol. 2017, 37, 515–524. [Google Scholar] [CrossRef]
- Gao, Y.; Yu, C.; Pi, S.; Mao, L.; Hu, B. The role of P2Y receptor in ischemic stroke of atherosclerotic origin. Cell. Mol. Life Sci. 2019, 76, 341–354. [Google Scholar] [CrossRef] [PubMed]
- Hu, Y.X.; You, H.M.; Bai, M.R.; Yue, W.H.; Li, F.F.; Hu, B.W.; Chen, Y.S.; Shen, X.Y.; Wu, Y.; Wang, J.M. Macrophage P2Y12 regulates iron transport and its inhibition protects against atherosclerosis. J. Adv. Res. 2025, 76, 585–603. [Google Scholar] [CrossRef] [PubMed]











| Target | Common Name | Uniprot ID | ChEMBL ID | Target Class |
|---|---|---|---|---|
| Purinergic receptor P2Y12 | P2RY12 | Q9H244 | CHEMBL2001 | Family A G protein-coupled receptor |
| Phosphodiesterase 8B | PDE8B | O95263 | CHEMBL4408 | Phosphodiesterase |
| Butyrylcholinesterase | BCHE | P06276 | CHEMBL1914 | Hydrolase |
| Acetylcholinesterase | ACHE | P22303 | CHEMBL220 | Hydrolase |
| Serine/threonine protein kinase mTOR | MTOR | P42345 | CHEMBL2842 | Kinase |
| PI3-kinase p110-gamma subunit | PIK3CG | P48736 | CHEMBL3267 | Enzyme |
| PI3-kinase p110-alpha subunit | PIK3CA | P42336 | CHEMBL4005 | Enzyme |
| DNA (cytosine-5)-methyltransferase 1 | DNMT1 | P26358 | CHEMBL1993 | Writer |
| DNA (cytosine-5)-methyltransferase 3B | DNMT3B | Q9UBC3 | CHEMBL6095 | Reader |
| Adenosine deaminase | ADA | P00813 | CHEMBL1910 | Hydrolase |
| 6-O-methylguanine-DNA methyltransferase | MGMT | P16455 | CHEMBL2864 | Enzyme |
| PI3-kinase p110-delta subunit | PIK3CD | O00329 | CHEMBL3130 | Enzyme |
| PI3-kinase p110-beta subunit | PIK3CB | P42338 | CHEMBL3145 | Enzyme |
Disclaimer/Publisher’s Note: The statements, opinions and data contained in all publications are solely those of the individual author(s) and contributor(s) and not of MDPI and/or the editor(s). MDPI and/or the editor(s) disclaim responsibility for any injury to people or property resulting from any ideas, methods, instructions or products referred to in the content. |
© 2026 by the authors. Licensee MDPI, Basel, Switzerland. This article is an open access article distributed under the terms and conditions of the Creative Commons Attribution (CC BY) license.
Share and Cite
Han, F.; Fang, H.; Li, G.; Deng, D.; Sun, G.; Tian, Y. Discovery and Evaluation of Novel Calenduloside E Derivatives Targeting HSP90β in Ox-LDL-Induced HUVECs Injury. Pharmaceuticals 2026, 19, 90. https://doi.org/10.3390/ph19010090
Han F, Fang H, Li G, Deng D, Sun G, Tian Y. Discovery and Evaluation of Novel Calenduloside E Derivatives Targeting HSP90β in Ox-LDL-Induced HUVECs Injury. Pharmaceuticals. 2026; 19(1):90. https://doi.org/10.3390/ph19010090
Chicago/Turabian StyleHan, Fang, Huiqi Fang, Guangyu Li, Di Deng, Guibo Sun, and Yu Tian. 2026. "Discovery and Evaluation of Novel Calenduloside E Derivatives Targeting HSP90β in Ox-LDL-Induced HUVECs Injury" Pharmaceuticals 19, no. 1: 90. https://doi.org/10.3390/ph19010090
APA StyleHan, F., Fang, H., Li, G., Deng, D., Sun, G., & Tian, Y. (2026). Discovery and Evaluation of Novel Calenduloside E Derivatives Targeting HSP90β in Ox-LDL-Induced HUVECs Injury. Pharmaceuticals, 19(1), 90. https://doi.org/10.3390/ph19010090

