Sign in to use this feature.

Years

Between: -

Subjects

remove_circle_outline
remove_circle_outline
remove_circle_outline
remove_circle_outline
remove_circle_outline
remove_circle_outline
remove_circle_outline
remove_circle_outline

Journals

Article Types

Countries / Regions

Search Results (280)

Search Parameters:
Keywords = super twisting controller

Order results
Result details
Results per page
Select all
Export citation of selected articles as:
28 pages, 8290 KB  
Article
Phenology-Aware Collaborative Decision-Making and AG-PSTC Algorithm for Precision Irrigation in Smart Tea Gardens
by Luofa Wu, Helai Liu, Shifu Shu and Chun Ye
Electronics 2026, 15(7), 1429; https://doi.org/10.3390/electronics15071429 - 30 Mar 2026
Viewed by 219
Abstract
Tea garden irrigation suffers from time delays, nonlinear interference, and phenological biomass fluctuations caused by plucking, leading to the failure of traditional Proportional–Integral–Derivative (PID) and fixed-threshold models in precise water supply. This study proposes a precision irrigation system for smart tea gardens integrating [...] Read more.
Tea garden irrigation suffers from time delays, nonlinear interference, and phenological biomass fluctuations caused by plucking, leading to the failure of traditional Proportional–Integral–Derivative (PID) and fixed-threshold models in precise water supply. This study proposes a precision irrigation system for smart tea gardens integrating Phenology-Aware Collaborative Decision-Making and an Adaptive Gain Predictive Super-Twisting Sliding Mode Control (AG-PSTC) algorithm. A “temperature–time–water” phenological reference model was constructed, and Crop Water Stress Index (CWSI) was introduced to decouple shoot density changes into phenology-driven and water stress components, realizing dynamic target soil moisture (Wtarget) setting. The AG-PSTC algorithm combined an improved Smith predictor for phase compensation and a barrier function-based adaptive super-twisting term for chattering elimination and finite-time convergence. Simulations showed AG-PSTC reduced rise time by 78% and steady-state error by four orders of magnitude compared with PID, with robust performance under ±40% time-delay perturbation. Field tests confirmed the system suppressed false irrigation during plucking, with soil moisture standard deviation within 1.51%. This study provides a vertical integration framework from crop physiological models to precision control, promoting the transition of tea garden irrigation from experience-based to demand-based. Full article
Show Figures

Figure 1

30 pages, 3693 KB  
Article
Position and Force Synchronization Control of Master–Slave Bilateral Teleoperation Manipulators Based on Adaptive Super-Twisting Sliding Mode
by Xu Du, Zhendong Wang, Shufeng Li and Pengfei Ren
Actuators 2026, 15(4), 186; https://doi.org/10.3390/act15040186 - 27 Mar 2026
Viewed by 240
Abstract
Master–slave bilateral teleoperation systems face several practical challenges, including model uncertainties, time-varying communication delays, and environment-induced force disturbances. To address these issues, this paper proposes an adaptive super-twisting sliding-mode control scheme to achieve high-precision position tracking and real-time force-feedback synchronization. First, joint-space dynamic [...] Read more.
Master–slave bilateral teleoperation systems face several practical challenges, including model uncertainties, time-varying communication delays, and environment-induced force disturbances. To address these issues, this paper proposes an adaptive super-twisting sliding-mode control scheme to achieve high-precision position tracking and real-time force-feedback synchronization. First, joint-space dynamic models are established for both the master and the slave manipulators, and a passive impedance model is adopted to characterize the interaction dynamics at the operator–master and environment–slave interfaces. Second, to attenuate measurement noise in the environment interaction force, a first-order low-pass filter is used to preprocess the raw force measurements, and a radial basis function neural network (RBFNN) is employed to approximate the environment torque online. Furthermore, a super-twisting sliding-mode controller is developed and combined with an adaptive law to compensate online for system uncertainties, including dynamic parameter variations and environment-induced force disturbances. The stability of the resulting closed-loop system is rigorously analyzed using Lyapunov stability theory. Finally, the effectiveness of the proposed method is validated through numerical simulations, virtual experiments conducted in the MuJoCo physics engine, and real-world hardware experiments. The results show that the proposed strategy achieves accurate position synchronization and force tracking while maintaining stable haptic interaction in the presence of bounded time-varying delays, parameter uncertainties, and external disturbances. Full article
(This article belongs to the Section Control Systems)
Show Figures

Figure 1

24 pages, 3498 KB  
Article
Comparative Analysis of Sliding-Mode Control Techniques in Five-Level Active Neutral Point Clamped Flying Capacitor Inverter
by Ugur Fesli
Electronics 2026, 15(7), 1383; https://doi.org/10.3390/electronics15071383 - 26 Mar 2026
Viewed by 353
Abstract
This paper presents a systematic experimental comparison of three sliding-mode-based current control strategies—traditional sliding mode control (SMC), fast terminal sliding mode control (FTSMC), and super-twisting sliding mode control (STSMC)—applied to a grid-connected five-level active neutral point clamped flying capacitor (5L-ANPC-FC) inverter. Unlike existing [...] Read more.
This paper presents a systematic experimental comparison of three sliding-mode-based current control strategies—traditional sliding mode control (SMC), fast terminal sliding mode control (FTSMC), and super-twisting sliding mode control (STSMC)—applied to a grid-connected five-level active neutral point clamped flying capacitor (5L-ANPC-FC) inverter. Unlike existing studies that typically investigate a single controller or topology, this work provides a fair, hardware-validated benchmark under identical operating conditions, enabling a clear assessment of convergence speed, harmonic performance, robustness, and implementation complexity. All controllers are designed within a unified framework and their stability is rigorously analyzed using Lyapunov theory. Experimental evaluations are conducted under steady-state operation, step changes in reference current, grid-voltage sag/swell, and DC-link voltage variations. The results demonstrate that while all three controllers ensure robust current tracking and inherent DC-side capacitor voltage balancing without additional control loops, FTSMC achieves the lowest grid-current total harmonic distortion (THD) and fastest convergence. STSMC effectively suppresses chattering, and traditional SMC offers a simple yet reliable baseline solution. The presented findings provide practical design guidelines for selecting appropriate sliding-mode controllers in high-performance multilevel inverter applications. Among the assessed control techniques, FTSMC has the most rapid dynamic response, characterized by a rise time of 0.1 ms and a minimal grid-current THD of 1.95%, indicating exceptional steady-state and transient performance. STSMC markedly diminishes chattering and ripple, attaining a THD of 2.04% with enhanced waveform smoothness relative to traditional SMC. Conversely, traditional SMC offers a more straightforward implementation but demonstrates elevated ripple and THD levels of around 2.29%, along with a peak current inaccuracy of 6–8%. The results underscore the trade-offs between implementation simplicity, dynamic responsiveness, and harmonic performance of the evaluated control techniques. Full article
Show Figures

Figure 1

30 pages, 2519 KB  
Article
Super-Twisting-Based Online Learning in High-Order Neural Networks for Robust Backstepping Control of DC Motors Under Uncertainty
by Ivan R. Urbina Leos, Jesus A. Medrano Hermosillo, Abraham E. Rodriguez Mata, Francisco R. Lopez-Estrada, Oscar J. Suarez and Alma Alejandra Luna-Gómez
Processes 2026, 14(6), 1019; https://doi.org/10.3390/pr14061019 - 22 Mar 2026
Viewed by 372
Abstract
This paper addresses the speed control problem of a DC motor in the presence of nonlinearities, disturbances, and unmodeled dynamics by proposing a neural backstepping control scheme based on a Recurrent High-Order Neural Network (RHONN). The proposed RHONN serves as an online approximator [...] Read more.
This paper addresses the speed control problem of a DC motor in the presence of nonlinearities, disturbances, and unmodeled dynamics by proposing a neural backstepping control scheme based on a Recurrent High-Order Neural Network (RHONN). The proposed RHONN serves as an online approximator to compensate for uncertain nonlinear dynamics in a PD-based backstepping controller, enabling the system to handle disturbances, modeling errors, and unmodeled dynamics. Instead of relying on the traditional Extended Kalman Filter (EKF) for RHONN weight adaptation, the neural parameters are updated online using a Super-Twisting Algorithm (STA). As a result, the proposed STA-based learning law provides a simpler and robust covariance-free adaptation mechanism with practical finite-time convergence properties, making it suitable for real-time embedded implementations. The proposed method was evaluated through numerical simulations and implemented on an embedded microcontroller to assess its real-time performance. Simulation results show reductions between 0.04% and 2.04% in steady-state and integral error metrics compared with a tuned PD controller, and improvements up to 25.66% and 23.82% over LQR and MPC in the IMSE index. Experimental results demonstrate good tracking performance, robustness under varying load conditions, and low computational requirements, confirming the practical feasibility. Full article
(This article belongs to the Special Issue Advances in Electrical Drive Control Methodologies)
Show Figures

Figure 1

22 pages, 4091 KB  
Article
3D Trajectory Tracking Based on Super-Twisting Observer and Non-Singular Terminal Sliding Mode Control for Underactuated Autonomous Underwater Vehicle
by Zehui Yuan, Long He, Ya Zhang, Shizhong Li, Chenrui Bai and Zhuoyan Qi
Machines 2026, 14(3), 354; https://doi.org/10.3390/machines14030354 - 21 Mar 2026
Viewed by 274
Abstract
This paper addresses the three-dimensional trajectory tracking problem for underactuated autonomous underwater vehicles subject to external disturbances and model uncertainties in complex ocean environments. A robust control method integrating backstepping dynamic surface control and non-singular terminal sliding mode is proposed. Firstly, based on [...] Read more.
This paper addresses the three-dimensional trajectory tracking problem for underactuated autonomous underwater vehicles subject to external disturbances and model uncertainties in complex ocean environments. A robust control method integrating backstepping dynamic surface control and non-singular terminal sliding mode is proposed. Firstly, based on the kinematic and dynamic models of autonomous underwater vehicle, virtual velocity commands are constructed via backstepping approach to stabilize the position and attitude errors. To circumvent the “differential explosion” problem inherent in conventional backstepping control caused by repeated differentiations of virtual control variables, first-order low-pass filters are introduced to construct dynamic surface control, yielding smooth derivatives of virtual velocity commands. Secondly, to enhance convergence rate and robustness, a non-singular terminal sliding surface is designed at the dynamic level, and a terminal reaching law is formulated to achieve finite-time convergence of velocity tracking errors. Furthermore, to compensate for external disturbances and unmodeled dynamics, a disturbance observer based on the super-twisting algorithm is developed, enabling finite-time high-precision estimation of lumped disturbances, with the estimation results incorporated into the control law for feedforward compensation. Finally, comparative simulations are conducted under two typical disturbance scenarios. The results demonstrate that the proposed method achieves instantaneous disturbance estimation (reducing convergence time from 3 s to near zero), significantly smoother control inputs, and superior tracking accuracy with RMSE as low as 0.6788 m and MAE as low as 0.1468 m, reducing errors by up to 30.6% compared to baseline methods. Full article
Show Figures

Figure 1

26 pages, 18979 KB  
Article
Hierarchical Coupling/Disturbance-Utilization Control for Tiltable Quadrotors
by Tiancai Wu, Jie Bai and Min Xiong
Aerospace 2026, 13(3), 269; https://doi.org/10.3390/aerospace13030269 - 12 Mar 2026
Viewed by 262
Abstract
Tiltable quadrotors have the ability of independent control of position and attitude, which can be more flexible in complex task scenarios. However, the inherent unmodeled dynamics, model uncertainties, and external disturbances pose significant challenges to the control system design. Aiming at the the [...] Read more.
Tiltable quadrotors have the ability of independent control of position and attitude, which can be more flexible in complex task scenarios. However, the inherent unmodeled dynamics, model uncertainties, and external disturbances pose significant challenges to the control system design. Aiming at the the control problem of tiltable quadrotors, this paper proposes a hierarchical adaptive coupling/disturbance utilization control strategy. First, an error-dynamics model is developed, explicitly incorporating coupling effects and lumped disturbances. Then, hierarchical adaptive coupling/disturbance utilization mechanisms are designed to adaptively exploit coupling and disturbances to improve system performance. Subsequently, super-twisting higher-order sliding-mode observers and robust tracking control laws are synthesized to estimate lumped disturbances and guarantee system robustness. Finally, through theoretical analysis, the stability of the closed-loop system and the role of hierarchical adaptive coupling/disturbance utilization mechanisms are elucidated. The effectiveness of the proposed control strategy is validated through simulations and flight experiments. Full article
(This article belongs to the Section Aeronautics)
Show Figures

Figure 1

22 pages, 9366 KB  
Article
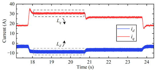
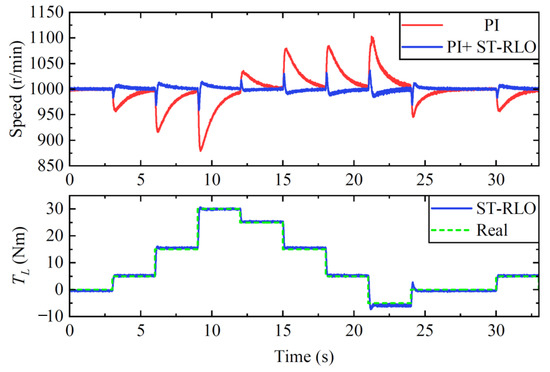
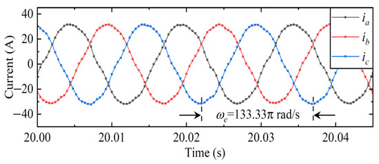
A Super-Twisting Sliding Mode Robust Load Observer of PMSM for Electric Cylinder Considering Magnetic Saturation Effect
by Shengjie Fu, Qing Ai, Fengjun Shi, Tianliang Lin and Zhongshen Li
Machines 2026, 14(3), 323; https://doi.org/10.3390/machines14030323 - 12 Mar 2026
Viewed by 296
Abstract
The electric cylinder has become a research hotspot in the future because of its high energy efficiency and excellent dynamic performance. The electric cylinder is driven by a permanent magnet synchronous motor (PMSM). However, the existing high-performance control strategies of permanent magnet synchronous [...] Read more.
The electric cylinder has become a research hotspot in the future because of its high energy efficiency and excellent dynamic performance. The electric cylinder is driven by a permanent magnet synchronous motor (PMSM). However, the existing high-performance control strategies of permanent magnet synchronous motor, such as sliding mode variable structure control (SMC), model predictive control (MPC), and load torque feedforward, often face the challenge of unknown load torque when improving dynamic performance. The traditional load observation methods of PMSM involve the dq-axis inductance, which neglects the impact of inductance variation in interior PMSM (IPMSM) caused by the cross-coupling effect, flux weakening, or magnetic saturation effect. In this paper, a super-twisting sliding mode robust load observer (ST-RLO) is proposed, which performs load torque observation without reliance on inductance parameters. The feasibility and stability of the observer are analyzed theoretically. Experiments are carried out. The results show that compared with the conventional Luenberger load observer (CLLO) involving inductance, a better observation of the load torque is achieved by the ST-RLO, which has a better robustness for inductance variations and mismatching of inductance and inertia parameters. Full article
(This article belongs to the Section Electrical Machines and Drives)
Show Figures

Figure 1

39 pages, 17333 KB  
Article
A Novel HOT-STA-SMC Strategy Integrated with MRAS for High-Performance Sensorless PMSM Drives
by Djaloul Karboua, Said Benkaihoul, Abdelkader Azzeddine Bengharbi and Francisco Javier Ruiz-Rodríguez
Electronics 2026, 15(5), 1105; https://doi.org/10.3390/electronics15051105 - 6 Mar 2026
Viewed by 355
Abstract
This paper proposes an advanced sensorless control strategy for Permanent Magnet Synchronous Motors (PMSMs) aimed at enhancing dynamic performance, robustness, and reliability while eliminating the need for mechanical sensors. The core contribution lies in a novel hybrid speed regulation framework that combines a [...] Read more.
This paper proposes an advanced sensorless control strategy for Permanent Magnet Synchronous Motors (PMSMs) aimed at enhancing dynamic performance, robustness, and reliability while eliminating the need for mechanical sensors. The core contribution lies in a novel hybrid speed regulation framework that combines a terminal sliding mode control scheme with a high-order super-twisting algorithm (HOT-STA-SMC), ensuring finite-time convergence, effective chattering suppression, and strong disturbance rejection under varying operating conditions. For the inner current loop, an Exponential Reaching Law Sliding Mode Controller (ERL-SMC) is implemented to guarantee fast current response and precise current tracking, even in the presence of parameter uncertainties. Furthermore, the conventional Model Reference Adaptive System (MRAS) observer is embedded within the proposed control architecture, resulting in more accurate speed estimation and enhanced stability during load fluctuations. The complete control system is rigorously modeled and tested in MATLAB R2024b/Simulink, capturing the full interaction between machine dynamics, control loops, and observer mechanisms. The simulation results verify that the proposed design achieves superior torque smoothness, minimal current ripples, and fast transient response compared to conventional sensorless methods. By integrating high-order sliding modes with advanced adaptive observation, this work offers a robust and cost-effective solution for high-performance PMSM drives, suitable for demanding applications such as electric vehicles, renewable energy conversion, and industrial motion control. Full article
Show Figures

Figure 1

21 pages, 1631 KB  
Article
Predefined-Time Super-Twisting Sliding Mode Control for Construction Robot with Arbitrary Initial Values
by Hong-Bo Ai, Xin-Rong He and Chun-Wu Yin
Sensors 2026, 26(5), 1654; https://doi.org/10.3390/s26051654 - 5 Mar 2026
Viewed by 298
Abstract
To tackle the practical engineering challenge that construction robots are required to track the reference trajectory completely and precisely, this study puts forward a control scheme based on the extended reference trajectory and develops a novel super-twisting sliding mode controller with predefined-time convergence [...] Read more.
To tackle the practical engineering challenge that construction robots are required to track the reference trajectory completely and precisely, this study puts forward a control scheme based on the extended reference trajectory and develops a novel super-twisting sliding mode controller with predefined-time convergence capability. First, the influence mechanism of fluid materials on construction robots and their trajectory tracking control features are explored, and the design approach for the extended reference trajectory is elaborated. Subsequently, a nonsingular sliding surface with predefined-time convergence is constructed, and a RBF neural network with convergent weight vectors is established to approximate the composite disturbances existing in the robot system. On the basis of the proposed predefined-time convergent super-twisting control theory, a super-twisting sliding mode controller tailored for construction robots is devised, and the predefined-time convergence performance of the closed-loop system is theoretically validated. Numerical simulation results indicate that the proposed algorithm can guarantee that the construction robot’s angles move accurately along the actual reference trajectory, with the angular tracking error achieving a precision of 3 × 10−6 rad, thereby confirming the feasibility and effectiveness of the proposed method. Full article
(This article belongs to the Special Issue Dynamics and Control System Design for Robotics)
Show Figures

Figure 1

22 pages, 4371 KB  
Article
Super-Twisting Sliding Mode Trajectory Tracking Control of an Underwater Manipulator Subject to Input Saturation Constraints
by Hui Yang, Siyu Niu, Xuyu Shen and Zhenzhong Chu
Sensors 2026, 26(5), 1607; https://doi.org/10.3390/s26051607 - 4 Mar 2026
Viewed by 248
Abstract
To address the trajectory tracking problem of underwater manipulators operating in complex marine environments with strong multi-degree-of-freedom coupling, pronounced nonlinearities, and actuator saturation constraints, this paper proposes a super-twisting sliding mode control scheme integrated with an extended state observer and an anti-saturation auxiliary [...] Read more.
To address the trajectory tracking problem of underwater manipulators operating in complex marine environments with strong multi-degree-of-freedom coupling, pronounced nonlinearities, and actuator saturation constraints, this paper proposes a super-twisting sliding mode control scheme integrated with an extended state observer and an anti-saturation auxiliary system. A dynamic model of the underwater manipulator incorporating major hydrodynamic effects (added mass and drag) is first established. Based on this model, a super-twisting sliding mode controller is designed to achieve fast convergence of the tracking errors while effectively alleviating the chattering phenomenon associated with conventional sliding mode control. An improved extended state observer is then introduced to estimate unmodeled dynamics and external time-varying disturbances in real time, providing feedforward compensation to enhance system robustness. To explicitly handle actuator output limitations, an anti-saturation auxiliary system is further developed to dynamically regulate the control input and mitigate the adverse effects of saturation. Comparative simulation studies conducted on the Oberon7 underwater manipulator demonstrate that the proposed control strategy achieves higher trajectory tracking accuracy, improved disturbance rejection capability, and faster recovery after saturation release compared with conventional control methods. These results indicate that the proposed approach offers an effective and reliable solution for high-precision trajectory tracking control of underwater manipulators under input saturation constraints. Full article
(This article belongs to the Section Physical Sensors)
Show Figures

Figure 1

18 pages, 4743 KB  
Article
Reinforcement Learning-Based Super-Twisting Sliding Mode Control for Maglev Guidance System
by Junqi Xu, Wenshuo Wang, Chen Chen, Lijun Rong, Wen Ji and Zijian Guo
Actuators 2026, 15(3), 147; https://doi.org/10.3390/act15030147 - 3 Mar 2026
Viewed by 334
Abstract
The high-speed Electromagnetic Suspension (EMS) maglev guidance system exhibits inherent characteristics of strong nonlinearity, parameter time-variation, and complex external disturbances. To further optimize and improve the control performance of the guidance system for high-speed maglev trains, a novel intelligent control strategy that integrates [...] Read more.
The high-speed Electromagnetic Suspension (EMS) maglev guidance system exhibits inherent characteristics of strong nonlinearity, parameter time-variation, and complex external disturbances. To further optimize and improve the control performance of the guidance system for high-speed maglev trains, a novel intelligent control strategy that integrates the Deep Deterministic Policy Gradient (DDPG) algorithm with Super-Twisting Sliding Mode Control (STSMC) is proposed. Focusing on a single-ended guidance unit with differential control of dual electromagnets, an STSMC controller is first designed based on a cascaded control framework. To overcome the limitation of offline parameter tuning in dynamic operational conditions, a reinforcement learning optimization framework employing DDPG is introduced. A multi-objective hybrid reward function is formulated, incorporating error convergence, sliding mode stability, and chattering suppression, thereby realizing the online self-tuning of core STSMC parameters via real-time interaction between the agent and the environment. Numerical simulations under typical disturbance conditions verify that the proposed DDPG-STSMC controller significantly reduces the amplitude of guidance gap variation and accelerates dynamic recovery compared to conventional PID control. Its superior performance in disturbance rejection, control accuracy, and operational adaptability is validated. This study, conducted through high-fidelity numerical simulations based on actual system parameters, provides a robust theoretical foundation for subsequent hardware-in-the-loop (HIL) experimentation. Full article
(This article belongs to the Special Issue Advanced Theory and Application of Magnetic Actuators—3rd Edition)
Show Figures

Figure 1

19 pages, 4813 KB  
Article
Adaptive FST-SMC Speed Control of PMSMs Based on Robust Model Current Prediction
by Yu Mo, Weihong Zhou, Baozhi Ma, Houzhen Wei and Zhe Song
Electronics 2026, 15(5), 1008; https://doi.org/10.3390/electronics15051008 - 28 Feb 2026
Viewed by 249
Abstract
Traditional Model Predictive Current Control (MPCC) strategies rely on accurate motor parameters, and in typical MPCC control systems, the use of a PI speed controller results in poor dynamic response performance. In the present study, a robust MPCC strategy that leverages adaptive Fast [...] Read more.
Traditional Model Predictive Current Control (MPCC) strategies rely on accurate motor parameters, and in typical MPCC control systems, the use of a PI speed controller results in poor dynamic response performance. In the present study, a robust MPCC strategy that leverages adaptive Fast Super-Twisting Sliding Mode Control (FST-SMC) is proposed for regulating the speed of permanent magnet synchronous motors. First, we examine how errors in motor parameters impact current prediction accuracy and, subsequently, we propose a sliding mode disturbance observer aimed at rectifying these parameter discrepancies within the predictive model. An FST-SMC speed controller is proposed and a Luenberger observer is designed for providing feedforward of this load torque. An adaptive compensation mechanism is introduced to improve the system’s dynamic features and disturbance rejection ability. Experimental results demonstrate that this control system not only boosts MPCC robustness but also enhances the system’s speed response and disturbance rejection capability. Full article
Show Figures

Figure 1

33 pages, 6279 KB  
Article
Maximum Power Extraction from a PMSG-Based Standalone WECS via Neuro-Adaptive Fuzzy Fractional Order Super-Twisting Sliding Mode Control Approach with High Gain Differentiator
by Ameen Ullah, Safeer Ullah, Umair Hussan, Dapeng Zheng, Danyang Bao and Xuewei Pan
Fractal Fract. 2026, 10(3), 158; https://doi.org/10.3390/fractalfract10030158 - 28 Feb 2026
Viewed by 335
Abstract
Maximum Power Point Tracking (MPPT) in permanent-magnet synchronous generator (PMSG)-based wind energy conversion systems (WECS) remains challenging owing to strong nonlinearities, parametric uncertainties, and external disturbances. Conventional sliding mode control (SMC) strategies, while robust, suffer from chattering, dependence on full-state measurements, and degraded [...] Read more.
Maximum Power Point Tracking (MPPT) in permanent-magnet synchronous generator (PMSG)-based wind energy conversion systems (WECS) remains challenging owing to strong nonlinearities, parametric uncertainties, and external disturbances. Conventional sliding mode control (SMC) strategies, while robust, suffer from chattering, dependence on full-state measurements, and degraded performance under model mismatch, limiting their practical deployment. To address these issues, this study proposes a neuroadaptive fuzzy fractional-order super-twisting sliding mode control (Fuzzy-FOSTSMC) integrated with a high-gain observer (HGO) and a radial basis function neural network (RBFNN). The HGO estimates unmeasurable higher-order states (e.g., angular acceleration), enabling output-feedback implementation. In contrast, the RBFNN online approximates unknown nonlinear system dynamics Lf2h(x) and LgLfh(x), rendering the controller model-free. Chattering is eliminated by replacing the discontinuous signum function with an adaptive fuzzy boundary layer that dynamically modulates the slope near the sliding surface. Stability is theoretically confirmed by Lyapunov analysis. Extensive MATLAB/Simulink simulations verify that the proposed approach yields a tracking precision of 99.96%, a steady-state speed error of 0.018 rad/s, and a 58.2% reduction in the integral absolute error (IAE) compared to the traditional FOSTSMC. It achieves the optimal power coefficient (Cp=0.4762) via TSR control at 7.000±0.002, under ±30% parametric uncertainties, demonstrating excellent robustness and MPPT effectiveness. Full article
Show Figures

Figure 1

26 pages, 3551 KB  
Article
Generalized Extended-State Observer-Based Switched Sliding Mode for Path-Tracking Control of Unmanned Agricultural Tractors with Prescribed Performance
by Shenghui Li, Benjian Dai, Zhenzhen Huang, Jinlin Sun and Li Ma
Agriculture 2026, 16(4), 490; https://doi.org/10.3390/agriculture16040490 - 22 Feb 2026
Viewed by 322
Abstract
Time-varying disturbances arising from complex terrain and the lack of rigorous constraint-handling mechanisms significantly degrade the path-tracking performance of unmanned agricultural tractors (UATs). To address these issues, this paper proposes a generalized extended-state-observer-based prescribed-performance sliding-mode (GESO-PPSM) control method. First, a homeomorphic mapping-based prescribed [...] Read more.
Time-varying disturbances arising from complex terrain and the lack of rigorous constraint-handling mechanisms significantly degrade the path-tracking performance of unmanned agricultural tractors (UATs). To address these issues, this paper proposes a generalized extended-state-observer-based prescribed-performance sliding-mode (GESO-PPSM) control method. First, a homeomorphic mapping-based prescribed performance function is employed to impose hard performance constraints, guaranteeing that the preview error remains within predefined bounds throughout the entire process. Second, a generalized super-twisting extended-state observer (GESO) is developed to compensate for lumped uncertainties, enabling finite-time and high-accuracy disturbance estimation compared with that of conventional observers. Furthermore, a switching sliding mode surface is designed to achieve fast convergence far from equilibrium while effectively suppressing overshoot near the origin. Unlike traditional sliding mode control, a continuous path-tracking control law based on a power function is formulated to ensure robustness while avoiding discontinuities. Comparative co-simulations based on a high-fidelity UAT model demonstrate that the proposed control method achieves superior steady-state accuracy, with significant reductions in preview error standard deviations of up to 92.52%, 84.33%, and 80.44% compared to PID, model predictive control (MPC), and GESO-based conventional sliding mode (GESO-SM) control, respectively. These results validate the superiority of the GESO-PPSM method in terms of accuracy, robustness, and strict constraint satisfaction in complex agricultural environments. Full article
Show Figures

Figure 1

28 pages, 2635 KB  
Article
Robust Backstepping-Sliding Control of a Quadrotor UAV with Disturbance Compensation
by Vicente Borja-Jaimes, Jorge Salvador Valdez-Martínez, Miguel Beltrán-Escobar, Guillermo Ramírez-Zúñiga, Adriana Reyes-Mayer and Manuela Calixto-Rodríguez
Computation 2026, 14(2), 51; https://doi.org/10.3390/computation14020051 - 14 Feb 2026
Viewed by 510
Abstract
Quadrotor unmanned aerial vehicles (QUAVs) are widely used in civil and defense applications, yet reliable trajectory tracking remains challenging under external disturbances and limited sensing. Conventional backstepping–sliding mode controllers ensure robustness only by selecting discontinuous gains larger than the disturbance bound, which increases [...] Read more.
Quadrotor unmanned aerial vehicles (QUAVs) are widely used in civil and defense applications, yet reliable trajectory tracking remains challenging under external disturbances and limited sensing. Conventional backstepping–sliding mode controllers ensure robustness only by selecting discontinuous gains larger than the disturbance bound, which increases chattering and limits the use of smooth switching functions. This paper addresses these limitations by integrating explicit disturbance compensation into a backstepping–sliding framework through a super-twisting observer (STO). The STO reconstructs matched disturbances acting on the translational and rotational dynamics in real time, and the estimated signals are directly injected into the control law. This approach enables effective disturbance rejection beyond the nominal sliding gain while preserving robustness under smooth control actions. Simulation results under single- and multi-frequency perturbations demonstrate accurate disturbance reconstruction (FIT indices above 95%), improved tracking performance, and a significant reduction in chattering. The proposed strategy provides a robust control solution for QUAVs operating in uncertain environments. Full article
(This article belongs to the Section Computational Engineering)
Show Figures

Figure 1

Back to TopTop