Abstract
This paper addresses the three-dimensional trajectory tracking problem for underactuated autonomous underwater vehicles subject to external disturbances and model uncertainties in complex ocean environments. A robust control method integrating backstepping dynamic surface control and non-singular terminal sliding mode is proposed. Firstly, based on the kinematic and dynamic models of autonomous underwater vehicle, virtual velocity commands are constructed via backstepping approach to stabilize the position and attitude errors. To circumvent the “differential explosion” problem inherent in conventional backstepping control caused by repeated differentiations of virtual control variables, first-order low-pass filters are introduced to construct dynamic surface control, yielding smooth derivatives of virtual velocity commands. Secondly, to enhance convergence rate and robustness, a non-singular terminal sliding surface is designed at the dynamic level, and a terminal reaching law is formulated to achieve finite-time convergence of velocity tracking errors. Furthermore, to compensate for external disturbances and unmodeled dynamics, a disturbance observer based on the super-twisting algorithm is developed, enabling finite-time high-precision estimation of lumped disturbances, with the estimation results incorporated into the control law for feedforward compensation. Finally, comparative simulations are conducted under two typical disturbance scenarios. The results demonstrate that the proposed method achieves instantaneous disturbance estimation (reducing convergence time from 3 s to near zero), significantly smoother control inputs, and superior tracking accuracy with RMSE as low as 0.6788 m and MAE as low as 0.1468 m, reducing errors by up to 30.6% compared to baseline methods.
1. Introduction
As critical equipment for ocean exploration and development, Autonomous Underwater Vehicles (AUVs) play a pivotal role in deep-sea mapping, resource exploration, environmental monitoring, and military reconnaissance [1,2,3]. With the increasing complexity of mission requirements, AUVs must achieve high-precision and stable tracking of predetermined trajectories in complex marine environments characterized by strong nonlinear ocean currents, parameter perturbations, unmodeled dynamics, and sensor noise. Underactuated AUVs typically possess independent actuation capabilities only in the surge and attitude directions, while their sway and heave directions are subject to nonholonomic constraints, exhibiting strong coupling, pronounced nonlinearity, and underactuated characteristics [4,5,6]. Consequently, the three-dimensional trajectory tracking problem essentially reduces to a position-attitude error stabilization problem, rendering controller design particularly challenging.
Backstepping control has been widely adopted for AUV trajectory tracking due to its recursive design architecture and rigorous Lyapunov stability guarantees [7,8,9,10]. However, conventional backstepping methods necessitate successive differentiations of virtual control variables in high-order systems, leading to expression expansion and exponentially increasing computational complexity—a phenomenon known as “explosion of complexity” [11,12]. To mitigate this issue, Dynamic Surface Control (DSC) introduces first-order low-pass filters to replace analytical differentiation, effectively reducing design complexity and enhancing noise immunity [13,14,15,16]. Nevertheless, DSC relying solely on linear feedback exhibits limited convergence rates under severe disturbances, with room for further robustness improvement. Sliding mode control has emerged as an effective approach for enhancing robustness owing to its invariance to matched disturbances [17,18,19]. However, conventional sliding mode control requires prior knowledge of disturbance bounds for switching gain design: conservative bound estimates induce severe chattering and increased actuator burden, while underestimation may compromise stability. Qiao et al. [20] proposed an adaptive integral terminal sliding mode control strategy that estimates system uncertainty bounds in real time through adaptive mechanisms, effectively improving tracking accuracy. To alleviate chattering and enhance convergence rates, researchers have developed various terminal sliding mode control [21,22,23] and higher-order sliding mode control [24,25] methodologies. Luo et al. [17] proposed a non-singular terminal sliding mode control method that improves convergence speed and disturbance rejection performance. Xiong et al. [24] designed a second-order sliding mode controller with adaptive gains, achieving finite-time stability while further suppressing chattering.
The introduction of disturbance observation techniques provides an effective approach for handling unknown disturbances. By performing online estimation and feedforward compensation of lumped disturbances, the demand for switching gains can be reduced while maintaining robustness. He et al. integrated sliding mode control with nonlinear disturbance observers for real-time disturbance estimation and compensation [4,19]. Zhang et al. [26] proposed an adaptive fixed-time disturbance observer that achieves effective disturbance estimation without requiring prior knowledge of the upper bound. To address ocean current disturbances, an adaptive terminal sliding mode control strategy based on disturbance observers was developed in [27]. However, nonlinear disturbance observers often suffer from estimation lag when dealing with abrupt disturbances. To overcome this limitation, an adaptive mechanism was incorporated into sliding mode observers in [28], enabling dynamic adjustment of control gains and thereby improving estimation accuracy for rapidly varying uncertainties. Extended State Observers (ESOs) have been widely adopted due to their strong capability in modeling uncertainties [29,30,31]. Nevertheless, conventional linear ESO exhibits phase lag and amplitude attenuation when estimating high-frequency time-varying disturbances, limiting its estimation accuracy. As a significant achievement in higher-order sliding mode theory, the Super-Twisting Algorithm (STA), an important branch of second-order sliding mode control, achieves finite-time exact convergence while maintaining continuous control. Observers constructed based on STA offer the advantages of fast response and chattering-free operation [9,32,33,34]. Guerrero et al. [34] combined STA with ESO and introduced a dynamic gain adjustment mechanism to mitigate the problem of disturbance overestimation.
Based on the above analysis, the three-dimensional trajectory tracking control for underactuated AUVs still faces the following critical challenges: how to maintain a concise controller structure and enhance robustness while avoiding explosion of complexity, and how to achieve finite-time convergence of tracking errors while ensuring control input smoothness. To address these issues, this paper proposes a composite robust control method that integrates backstepping dynamic surface control, non-singular terminal sliding mode, and super-twisting disturbance observer. The main contributions are as follows:
- A three-dimensional trajectory tracking control framework for underactuated AUVs based on backstepping dynamic surface control is designed. Unlike conventional backstepping approaches that suffer from the “explosion of complexity” due to repeated differentiations of virtual control laws [7,8,9], the proposed method introduces first-order low-pass filters to obtain the derivatives of virtual velocity commands. This not only avoids the complexity issue but also maintains a concise controller implementation structure, improving practical applicability.
- A disturbance observer based on the super-twisting algorithm is developed. Compared with conventional disturbance observers that only provide asymptotic estimation [4,29,31], the proposed super-twisting observer achieves finite-time exact estimation of lumped disturbances. Built upon rigorous stability analysis, it provides theoretical guarantees for feedforward compensation, enhancing the system’s disturbance rejection capability.
- A non-singular terminal sliding surface and a terminal reaching law are introduced at the dynamic level. While traditional sliding mode control ensures robustness, it typically achieves only asymptotic convergence of tracking errors [13,17,19]. In contrast, the proposed method enables finite-time convergence of velocity tracking errors through the non-singular terminal sliding mode design, simultaneously improving the system’s convergence rate and robustness without introducing singularity issues.
The structure of this paper is organized as follows: Section 2 presents the kinematic and dynamic models of the underactuated AUV; Section 3 details the controller design and stability analysis, including dynamic surface control, non-singular terminal sliding mode control law, and super-twisting disturbance estimator; Section 4 validates the effectiveness of the proposed method through comparative simulations; Section 5 concludes the paper and outlines future research directions.
2. AUV Mathematical Model
As illustrated in Figure 1, the AUV system adopts the notation system recommended by the International Towing Tank Conference (ITTC), establishing both the body-fixed coordinate frame and the earth-fixed coordinate frame . The earth-fixed frame is employed to describe the position and orientation of the AUV in inertial space, while the body-fixed frame is rigidly attached to the AUV hull to describe its linear and angular velocities, with its origin located at the center of buoyancy. Based on the rigid-body dynamics principles of marine vehicles, the kinematic and dynamic equations of the AUV can be uniformly modeled as follows [35]:
Figure 1.
Schematic diagram of 3D trajectory tracking [23].
Expanding into component form:
where , , and represent the position of the AUV in the earth-fixed frame, and denote pitch and yaw angles, respectively. is the velocity vector expressed in the body-fixed frame. denotes the transformation matrix from the body-fixed frame to the earth-fixed frame. is the inertia matrix, is the Coriolis and centripetal matrix, is the damping matrix, and represents the restoring forces and moments. is the control input vector, reflecting the underactuated configuration where only surge, pitch, and yaw are directly actuated. represents the lumped disturbance vector composed of unknown environmental disturbances and unmodeled dynamics.
Assumption 1.
The investigated AUV prototype has uniform mass distribution with balanced gravity and buoyancy. Nonlinear damping and roll motion are neglected, as they are either small at operating speeds or passively stabilized; any resulting unmodeled dynamics are treated as lumped disturbances and compensated by the observer.
Given the reference trajectory position vector , which is derived from the reference trajectory equation presented later in Section 4, and reference angles and , the position tracking error of the AUV in the body-fixed frame is defined as , where is the rotation matrix from the earth-fixed frame to the body-fixed frame. The angle error is defined as . Differentiating the tracking errors yields:
where , .
To achieve precise trajectory tracking control, the original problem is transformed into an error stabilization problem: based on Equations (2) and (3) and considering unavoidable external disturbances and model uncertainties, design a control law that ensures the tracking errors converge to zero, thereby realizing accurate tracking of the desired three-dimensional trajectory. To ensure the feasibility of the control objective, the following necessary assumptions are made:
Assumption 2.
The reference position and orientation of the desired trajectory are known and twice continuously differentiable.
Assumption 3.
The external disturbance and its derivative are bounded.
Based on the above modeling and assumptions, subsequent sections will sequentially present the controller design and stability analysis.
3. Trajectory Tracking Controller Design
The controller design consists of three key steps. First, based on the backstepping approach, a Lyapunov function is constructed to design virtual velocity commands (including surge velocity, pitch angular velocity, and yaw angular velocity) for position and attitude errors, with control parameters adjusted to ensure asymptotic convergence of kinematic errors. Second, to address the complex nonlinear terms in the virtual control laws, dynamic surface control technique is introduced by designing first-order low-pass filters to obtain smooth virtual velocity commands and their derivatives, thereby avoiding the “explosion of complexity” problem inherent in traditional backstepping methods. Finally, at the dynamic level, a super-twisting disturbance observer is designed to achieve finite-time exact estimation of the lumped disturbances, and a terminal reaching law based on non-singular terminal sliding mode surface is constructed to realize finite-time convergence of velocity tracking errors, thereby enhancing the system’s robustness and dynamic response performance under disturbances. The overall structure of the control system is shown in Figure 2.
Figure 2.
Block diagram of the trajectory tracking control system.
3.1. Kinematic Controller Design
Due to the absence of direct actuation forces in the sway and heave directions for underactuated AUVs, the three-dimensional trajectory tracking problem can be equivalently transformed into a position-attitude error stabilization problem. To this end, a Lyapunov function is constructed as shown in Equation (5) for the design of virtual velocities:
Differentiating Equation (5) and substituting Equation (4) yields, after rearrangement, the following:
Based on Equation (6), the desired velocities are designed as:
where , , , and are controller parameters to be designed, and is an extremely small positive constant ensuring the denominator remains non-zero.
Substituting Equation (7) into Equation (6) yields:
Based on the properties of hyperbolic functions, it follows that , thus . Since is an extremely small constant, when and , we have and . Therefore, the function satisfies the following inequality:
For underactuated AUV without direct actuation in sway and heave directions, the velocities and are bounded. By appropriately selecting controller parameter and , it can be ensured that remain within reasonable bounds. Consequently, the desired velocity commands constructed according to Equation (7) can effectively stabilize the position and attitude errors.
Based on the kinematic error system, a Lyapunov function is constructed to design the velocity commands , ensuring asymptotic convergence of position-attitude errors to zero or to a bounded small neighborhood. Since these virtual control quantities contain complex nonlinear terms, dynamic surface control will be employed in the subsequent dynamic-level design to avoid explosion of complexity.
3.2. First-Order Filter and Dynamic Surface Design
In Section 3.1, the desired velocity commands were designed based on the Lyapunov method. In traditional backstepping control design, the dynamic-level control law typically requires the derivatives of these desired velocity commands. However, the virtual control quantities given by Equation (7) contain complex nonlinear functions. Direct differentiation would not only be tedious but also lead to the “explosion of complexity” problem and amplify sensor noise. To address this issue, this paper introduces the Dynamic Surface Control (DSC) approach by applying first-order low-pass filtering to the desired velocity commands, thereby obtaining smooth and directly computable velocity derivatives.
The following first-order filters are introduced for the desired velocity commands:
where , and are filter time constants, , and are the filtered virtual velocity commands.
Define the filtered velocity vector as . From Equations (10)–(12), we obtain:
Theorem 1.
For the first-order filters defined by Equations (10)–(12), if the derivatives of the desired velocity commands are bounded, i.e., there exists a constant such that , then the filtering error is uniformly bounded and satisfies:
where .
Proof of Theorem 1.
From Equations (10)–(13), the filtering error dynamics can be obtained as:
choose the Lyapunov function:
Differentiating Equation (16) yields:
applying Young’s inequality:
From Equation (18), it follows that when , we have . This implies that the filtering error is uniformly ultimately bounded and satisfies the bound given in Equation (14). Moreover, by selecting sufficiently small filter time constants , and , the norm can be made arbitrarily small, thereby reducing the steady-state filtering error and ensuring the desired control performance. □
3.3. Super-Twisting Disturbance Observer Design
From the dynamic Equation (1), the disturbance reconstruction form can be obtained:
Therefore, once a continuous estimate of is obtained, real-time disturbance estimation can be achieved. Rewrite Equation (19) as:
where , .
According to Assumption 3, and its derivative are bounded, i.e., , .
Design the super-twisting observer:
where and are observer gains.
Define the estimation errors as:
Differentiating Equation (22) and substituting Equations (20) and (21) yields:
Theorem 2.
For the super-twisting observer designed by Equation (21), if the gain matrices , satisfy the Levant sufficient condition [36,37]:
then the observer errors converge to zero in finite time.
Proof of Theorem 2.
Choose the Lyapunov function:
where .
Differentiating Equation (25) and substituting Equation (23) yields:
where and are a positive definite matrix.
Apply the inequality:
Choosing sufficiently small such that , we obtain:
where .
According to finite-time stability theory, there exists a convergence time such that:
When the gain satisfies Equation (24), converges to the origin in finite time, i.e., , , thus achieving . □
3.4. Dynamic Controller Design
To make the actual velocity track the filtered virtual velocity, define the velocity tracking error:
To improve convergence speed and avoid the singularity problem inherent in traditional terminal sliding mode, a non-singular terminal sliding mode surface is constructed:
where is a positive definite gain matrix, is the terminal exponent.
To ensure finite-time convergence of the sliding variable s, design the terminal reaching law:
where and are positive definite gain matrices, is the terminal exponent.
From Equations (31) and (32), the control input is designed as:
Theorem 3.
For the underactuated AUV system described by Equations (1) and (2), under Assumptions 1–3, with sufficiently small filter time constants and observer gains satisfying condition (24), the closed-loop system composed of the dynamic control law (33) and observer (21) guarantees that all signals are uniformly bounded, the velocity tracking error converges to zero in finite time, and the disturbance estimation error converges to zero in finite time.
Proof of Theorem 3.
Consider the composite Lyapunov function:
differentiating Equation (34) yields:
Substituting the sliding mode dynamics from Equations (31) and (33) gives:
Substituting Equations (18), (28) and (36) into Equation (35) yields:
where the positive definite term is evident, and its norm is bounded when errors are bounded. Furthermore, according to the STA observer properties, the disturbance estimation error is bounded. Therefore, there exists a constant such that:
Applying the Cauchy–Schwarz inequality yields:
therefore:
where , , and are bounded constants. By selecting the gains to satisfy:
and choosing sufficiently small filter time constants to minimize , the following inequality holds:
It follows that there exist constants and such that:
This ensures that the sliding variable s converges to a neighborhood of the origin in finite time. Combined with the kinematic layer design, the system tracking errors converge, achieving the three-dimensional trajectory tracking control objective. □
Remark.
Due to the residual errors from the first-order filters and disturbance estimation, the system can be strictly proven to achieve “finite-time convergence to a small neighborhood.” By selecting sufficiently small filter time constants and sufficiently large STA gains, this neighborhood can be made arbitrarily small, thereby achieving high-precision trajectory tracking.
4. Numerical Simulation and Result Analysis
To validate the effectiveness of the proposed control method, numerical simulations are conducted in the MWORKS2024a environment. The mass, inertia, added mass, and damping parameters of the AUV are adopted from references [4,19,38]. Two sets of simulation scenarios are designed to comprehensively evaluate the control performance.
Case 1 is designed to verify the stability and tracking capability of the control system under small disturbance conditions, while Case 2 examines the robustness and disturbance rejection performance under complex disturbance conditions. To ensure comprehensive comparison, four control methods are introduced in the simulations:
Method 1 (BSMC): Traditional backstepping sliding mode control (baseline method).
Method 2 (BDSC-ESO): Backstepping dynamic surface control with ESO.
Method 3 (NTSMC): Non-singular terminal sliding mode control.
Method 4 (Proposed): The proposed method integrating dynamic surface control, non-singular terminal sliding mode, and super-twisting disturbance estimation.
4.1. Case 1: 3D Variable-Pitch Spiral Tracking Under Small Disturbances
A three-dimensional variable-pitch spiral is selected as the desired trajectory, with the parametric Equation given by:
Simulation settings: The initial position and attitude of the AUV are , and the initial velocity are . Disturbances are applied during 50 s to 100 s as follows:
The controller parameters are as follows: , , , , , , , , , , , , . The detailed controller structures and parameters of the three methods used for comparison are provided in Appendix A.
Figure 3 compares the estimation results of the two disturbance estimation methods. As shown, Method 2 using the traditional ESO exhibits significant estimation fluctuations and phase lag at the disturbance switching points (t = 50 s, t = 100 s), with a convergence time of approximately 3 s. This is attributed to the ESO’s sensitivity to high-frequency disturbances and its fixed gain structure, which struggles to adapt to rapid changes. In contrast, the proposed method employing the super-twisting observer precisely tracks the actual disturbance value immediately after disturbance jumps, with no overshoot or oscillations during estimation. This result demonstrates that the super-twisting observer, leveraging its second-order sliding mode structure and finite-time convergence property, achieves fast, jitter-free, and accurate estimation of lumped disturbances. Figure 4 illustrates the filtering effect of the desired velocity command, revealing excellent tracking performance with smooth and continuous filter outputs and consistently near-zero filtering errors.
Figure 3.
Disturbance estimation results for Case 1.
Figure 4.
Filtering performance for Case 1.
Figure 5 displays the three-dimensional trajectory tracking performance of the AUV under the four methods. Overall, all four methods achieve tracking functionality, but differences exist in tracking accuracy and dynamic response. Figure 6 presents the position tracking error curves. Regarding convergence speed, Method 3 and the proposed method (Method 4) exhibit faster error decay in the initial stage, while Methods 1 and 2 (without terminal sliding mode) converge more slowly. Regarding disturbance response, after applying a disturbance at t = 50 s, Method 1 exhibited the largest sudden error increase due to its lack of disturbance compensation mechanism. Method 2, despite incorporating ESO, still produced error fluctuations due to estimation lag. The proposed method demonstrated the smallest error variation during disturbances due to real-time compensation by the superhelix observer. The error quantification analysis in Figure 7 further corroborates these conclusions. The proposed method demonstrates comprehensive superiority in both Mean Absolute Error (MAE) and Root Mean Square Error (RMSE) metrics, exhibiting smaller tracking errors and higher tracking stability. This fully reflects the comprehensive advantages of the proposed method in tracking accuracy and stability.
Figure 5.
Trajectory tracking performance for Case 1.
Figure 6.
Position error curves for Case 1.
Figure 7.
Quantitative performance comparison for Case 1.
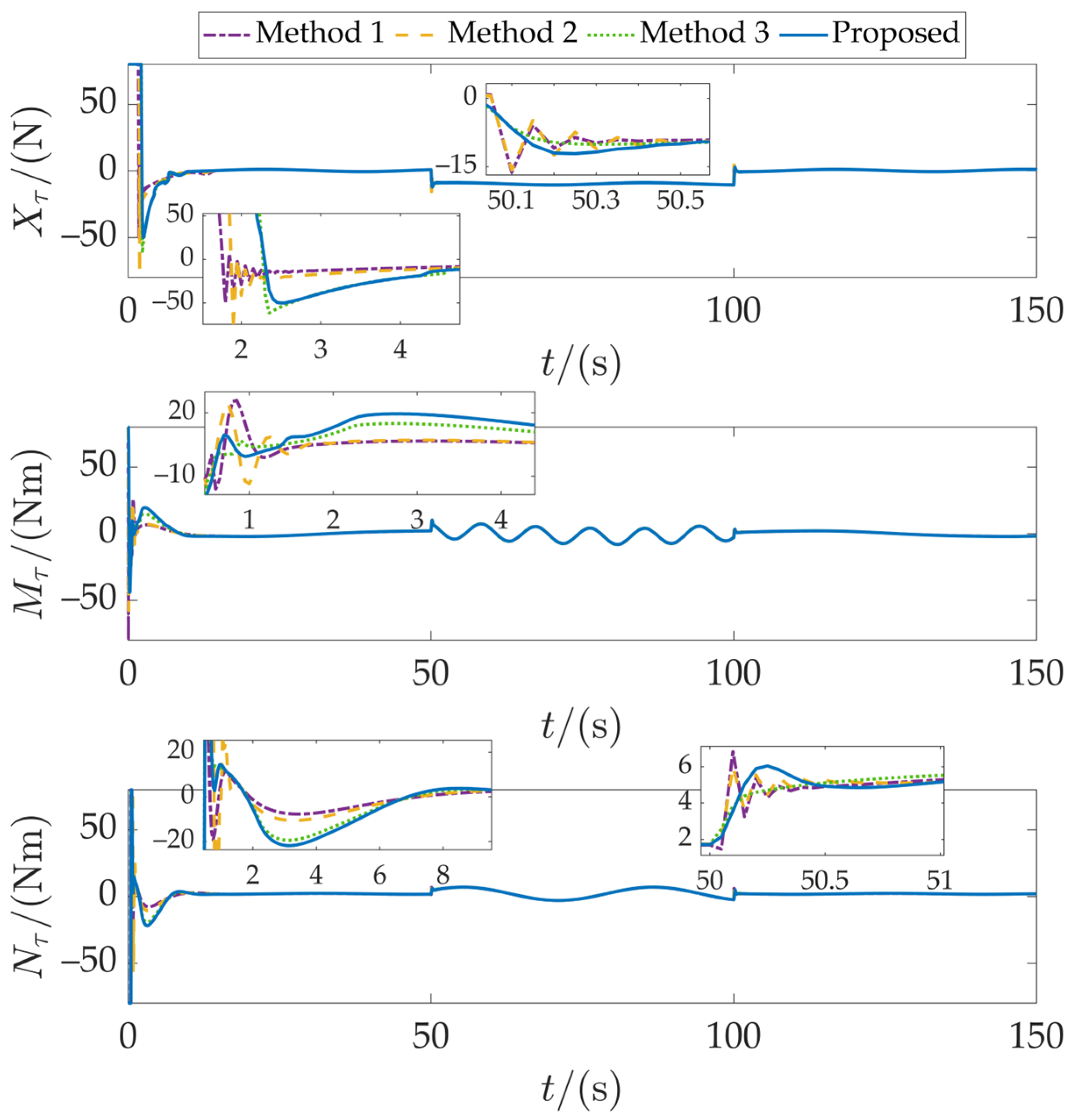
Figure 8 displays the control force variation curves for the four methods. Methods 1 and 2 employ traditional sliding mode control, exhibiting noticeable fluctuations in the control input during the initial phase. Methods 3 and 4 utilize non-singular terminal sliding mode control with a designed smooth approach law, resulting in smoother control inputs and significantly reduced fluctuations.
Figure 8.
Control input curves for Case 1.
4.2. Case 2: Spiral Trajectory Tracking Under Complex Disturbances
In this case, the AUV is required to track a three-dimensional spiral trajectory while maintaining precise tracking performance under persistent multi-frequency composite disturbances. The parametric Equation of the selected three-dimensional spiral trajectory is given by:
Simulation settings: The initial position and attitude of the AUV are , and the initial velocity are . The persistent disturbance applied throughout the simulation is:
Figure 9 compares the disturbance estimation results of the two methods under complex disturbance conditions. Method 2, which employs the traditional ESO approach, exhibits noticeable phase lag and amplitude fluctuations when estimating multi-frequency composite disturbances, with estimation errors significantly increasing at high-frequency disturbance components. This occurs because the linear gain structure of ESO struggles to simultaneously maintain estimation accuracy across different frequency components. In contrast, the proposed method employs a super-helix observer. Leveraging its nonlinear sliding-mode structure and finite-time convergence property, it achieves precise estimation of complex disturbances. The observer output remains smooth and continuous, maintaining excellent tracking capability even for high-frequency disturbance components, validating the superiority of the super-helix algorithm in complex disturbance environments.
Figure 9.
Disturbance estimation results for Case 2.
Figure 10 illustrates the filtering effect on the desired velocity command. Despite persistent disturbances introducing more high-frequency components into the desired velocity command, the first-order filter effectively smooths command fluctuations. After initial adjustment, the filtering error remains close to zero without diverging due to continuous disturbances, indicating that dynamic surface control maintains good filtering performance in complex environments.
Figure 10.
Filtering performance for Case 2.
Figure 11 demonstrates the three-dimensional spiral tracking performance of the four methods under complex disturbance conditions. Overall, all four methods successfully track the spiral trajectory, though tracking accuracy varies. Figure 12 further presents the position tracking error curves for the four methods. Method 1, lacking disturbance compensation, exhibits the most severe position error fluctuations. Method 3, leveraging the robustness of non-singular terminal sliding mode, partially suppresses disturbance effects with smaller error oscillations. The proposed method combines the precise estimation of the superhelix observer with the fast convergence of nonsingular terminal sliding mode control. It exhibits the smallest position error and significantly lower fluctuation amplitude than other methods, demonstrating the strongest disturbance suppression capability. In terms of convergence, Methods 3 and the proposed method show faster initial error decay due to their use of terminal sliding mode control. The error quantification analysis in Figure 13 corroborates these findings, fully demonstrating the comprehensive advantages of the proposed method in tracking accuracy and stability.
Figure 11.
Trajectory tracking performance for Case 2.
Figure 12.
Position error curves for Case 2.
Figure 13.
Quantitative performance comparison for Case 2.
To further demonstrate the advantages of the proposed method, a comparison with the three methods is presented below in terms of methodology, tracking accuracy, and disturbance rejection.
Disturbance rejection: The proposed method, equipped with a super-twisting observer, achieves the highest disturbance estimation accuracy and strongest disturbance rejection. Method 2 (ESO) exhibits estimation lag and only moderate rejection. Methods 1 and 3, lacking observers, show weaker disturbance rejection.
Convergence speed: Methods 3 and 4, incorporating non-singular terminal sliding mode, achieve finite-time convergence, resulting in faster response than Methods 1 and 2, which only provide asymptotic convergence.
Tracking accuracy: The proposed method achieves the best MAE and RMSE metrics, followed by Method 3, then Method 2, with Method 1 performing the worst.
The proposed method achieves the highest disturbance estimation accuracy and optimal disturbance rejection due to the super-twisting observer. Method 2 exhibits ESO estimation lag. Methods 1 and 3, lacking observers, show weaker disturbance rejection. Method 3 converges fastest alongside the proposed method, while Methods 1 and 2 converge more slowly. The proposed method achieves the best MAE and RMSE, followed by Method 3, then Method 2, with Method 1 worst. The proposed method provides the smoothest control input. Under uncertainties, the proposed method maintains the best overall performance, validating the effectiveness of the “dynamic surface filtering + non-singular terminal sliding mode + super-twisting observer” strategy.
5. Conclusions
This paper addresses the three-dimensional trajectory tracking problem for underactuated autonomous underwater vehicles in complex marine environments by proposing a composite robust control method integrating backstepping, dynamic surface control, non-singular terminal sliding mode, and super-twisting observer. By introducing first-order low-pass filters to construct a dynamic surface control structure, the “explosion of complexity” problem inherent in traditional backstepping methods is resolved. To address unknown disturbances, a disturbance observer based on the super-twisting algorithm is designed, achieving finite-time high-precision estimation of lumped disturbances. To enhance system convergence speed and steady-state accuracy, a non-singular terminal sliding mode surface is constructed. Theoretically, by constructing composite Lyapunov functions, the boundedness of filtering errors, finite-time convergence of the observer, and stability of the closed-loop system are rigorously proven. Through comparative simulations under two typical scenarios—simple disturbances and complex time-varying disturbances—the proposed method outperforms traditional backstepping sliding mode control and dynamic surface control in key performance indicators including disturbance estimation accuracy, trajectory tracking error, convergence speed, and control input smoothness, fully validating the comprehensive superiority of the proposed control strategy.
Throughout this study, several challenges were encountered and addressed. The underactuation of the AUV required reformulating the tracking problem into a position-attitude error stabilization framework. The strong coupling between kinematic and dynamic subsystems, along with system nonlinearities, complicated the controller design and stability analysis. Achieving finite-time convergence without introducing control chattering demanded careful construction of the non-singular terminal sliding surface. Additionally, the unknown nature of external disturbances necessitated a robust observer capable of fast and accurate estimation. Parameter tuning also involved balancing convergence speed, accuracy, and control effort, which was resolved through bound-based gain selection.
Currently, controller parameters require offline tuning. Future work will focus on introducing intelligent algorithms such as reinforcement learning and particle swarm optimization to achieve online parameter adaptation, further enhancing the control system’s adaptability to varying environments.
Author Contributions
Conceptualization, Z.Y.; methodology, Z.Y. and Y.Z.; software, L.H.; validation, Z.Y. and L.H.; resources, S.L.; writing—original draft preparation, Z.Q. and C.B. All authors have read and agreed to the published version of the manuscript.
Funding
This research was funded by the Fundamental Research Program of Shanxi Province, grant number 202303021212190.
Data Availability Statement
Data are contained within the article.
Acknowledgments
The authors gratefully acknowledge the anonymous reviewers for their time, expertise, and invaluable feedback. Their insightful critiques and constructive suggestions were indispensable to achieving significant enhancements in the quality and rigor of this manuscript, and they are deeply appreciated.
Conflicts of Interest
The authors declare no conflicts of interest.
Appendix A
This appendix details the mathematical formulations and parameter settings for the three benchmark methods used in Simulation Case 1 of Section 4. All parameters were tuned consistently in the same simulation environment to ensure fair comparison.
Appendix A.1. Method 1 (BSMC): Traditional Backstepping Sliding Mode Control
Conventional sliding mode control law is designed as:
where and denote the positive definite gain matrices to be designed. The sliding surface is designed as .
Parameter set: , .
Appendix A.2. Method 2 (BDSC-ESO): Backstepping Dynamic Surface Control with ESO
The first-order filter is designed as:
where , and are filter time constants, , and are the filtered virtual velocity commands.
ESO is designed as:
where and denote the positive definite gain matrices to be designed. and are the observed values of and , respectively.
Conventional sliding mode control law is designed as:
where and denote the positive definite gain matrices to be designed. The sliding surface is designed as .
Parameter set: ,, , , .
Appendix A.3. Method 3 (NTSMC): Non-Singular Terminal Sliding Mode Control
Terminal sliding mode control law is designed as:
where , and denote the positive definite gain matrices to be designed. and are the terminal exponent The sliding surface is designed as:
Parameter set: , , , , .
References
- He, L.; Xie, M.; Zhang, Y. A Review of Path Following, Trajectory Tracking, and Formation Control for Autonomous Underwater Vehicles. Drones 2025, 9, 286. [Google Scholar] [CrossRef]
- Cheng, C.; Sha, Q.; He, B.; Li, G. Path Planning and Obstacle Avoidance for AUV: A Review. Ocean Eng. 2021, 235, 109355. [Google Scholar] [CrossRef]
- Yan, J.; Guan, X.; Yang, X.; Chen, C.; Luo, X. A Survey on Integration Design of Localization, Communication, and Control for Underwater Acoustic Sensor Networks. IEEE Internet Things J. 2025, 12, 6300–6324. [Google Scholar] [CrossRef]
- He, L.; Zhang, Y.; Fan, G.; Liu, Y.; Wang, X.; Yuan, Z. Three-Dimensional Path Following Control of Underactuated AUV Based on Nonlinear Disturbance Observer and Adaptive Line-of-Sight Guidance. IEEE Access 2024, 12, 83911–83924. [Google Scholar] [CrossRef]
- Er, M.J.; Gong, H.; Liu, Y.; Liu, T. Intelligent Trajectory Tracking and Formation Control of Underactuated Autonomous Underwater Vehicles: A Critical Review. IEEE Trans. Syst. Man Cybern. Syst. 2024, 54, 543–555. [Google Scholar] [CrossRef]
- Liu, Y.; An, S.; Wang, L.; Fan, Z. Predefined Time Backstepping Control with an Adaptive Predefined Time Disturbance Observer for Underactuated AUV under Unknown External Disturbance. Ocean Eng. 2025, 340, 122382. [Google Scholar] [CrossRef]
- Zhang, X.; Jiang, K. Backstepping-Based Adaptive Control of Underactuated AUV Subject to Unknown Dynamics and Zero Tracking Errors. Ocean Eng. 2024, 302, 117640. [Google Scholar] [CrossRef]
- Chen, H.; Tang, G.; Wang, S.; Guo, W.; Huang, H. Adaptive Fixed-Time Backstepping Control for Three-Dimensional Trajectory Tracking of Underactuated Autonomous Underwater Vehicles. Ocean Eng. 2023, 275, 114109. [Google Scholar] [CrossRef]
- He, L.; Zhang, Y.; Xie, M.; Yuan, Z.; Bai, C. Three-Dimensional Trajectory Tracking Control of Underactuated AUV Based on Fractional-Order PID and Super-Twisting Extended State Observer. Fractal Fract. 2025, 9, 580. [Google Scholar] [CrossRef]
- Badamasi Aremu, M.; Saif, A.-W.A. Backstepping–Sliding Mode With Anti-Windup for Autonomous Underwater Vehicle Heave and Yaw Control Under Thruster Limits. IEEE Access 2026, 14, 14675–14688. [Google Scholar] [CrossRef]
- An, S.; Wang, L.; He, Y. Robust Fixed-Time Tracking Control for Underactuated AUVs Based on Fixed-Time Disturbance Observer. Ocean Eng. 2022, 266, 112567. [Google Scholar] [CrossRef]
- Liu, H.; Zhuo, J.; Tian, X.; Mai, Q. Finite-Time Self-Structuring Neural Network Trajectory Tracking Control of Underactuated Autonomous Underwater Vehicles. Ocean Eng. 2023, 268, 113450. [Google Scholar] [CrossRef]
- Thanh, P.N.N.; Anh, H.P.H. Advanced Neural Control Technique for Autonomous Underwater Vehicles Using Modified Integral Barrier Lyapunov Function. Ocean Eng. 2022, 266, 112842. [Google Scholar] [CrossRef]
- Liang, X.; Qu, X.; Wang, N.; Zhang, R.; Li, Y. Three-Dimensional Trajectory Tracking of an Underactuated AUV Based on Fuzzy Dynamic Surface Control. IET Intell. Transp. Syst. 2020, 14, 364–370. [Google Scholar] [CrossRef]
- Yang, X.; Yan, J.; Chen, C.; Hua, C.; Guan, X. Adaptive Asymptotic Tracking Control for Underactuated Autonomous Underwater Vehicles With State Constraints. IEEE Trans. Intell. Transp. Syst. 2024, 25, 18485–18500. [Google Scholar] [CrossRef]
- Wang, W.; Wang, T.; Zhang, D.; Zhang, G.; Wang, N.; Hao, Z. Adaptive Course Keeping Control for Rudder Angle Constraint Nonlinear Ship Systems with Dead-Zone Input and Uncertain Control Coefficients. Ocean Eng. 2025, 342, 122994. [Google Scholar] [CrossRef]
- Luo, W.; Liu, S. Disturbance Observer Based Nonsingular Fast Terminal Sliding Mode Control of Underactuated AUV. Ocean Eng. 2023, 279, 114553. [Google Scholar] [CrossRef]
- Zhang, J.; Xiang, X.; Li, W.; Zhang, Q. Adaptive Saturated Path Following Control of Underactuated AUV With Unmodeled Dynamics and Unknown Actuator Hysteresis. IEEE Trans. Syst. Man Cybern. Syst. 2023, 53, 6018–6030. [Google Scholar] [CrossRef]
- He, L.; Zhang, Y.; Li, S.; Li, B.; Yuan, Z. Three-Dimensional Path Following Control for Underactuated AUV Based on Ocean Current Observer. Drones 2024, 8, 672. [Google Scholar] [CrossRef]
- Qiao, L.; Zhang, W. Double-Loop Integral Terminal Sliding Mode Tracking Control for UUVs With Adaptive Dynamic Compensation of Uncertainties and Disturbances. IEEE J. Ocean. Eng. 2019, 44, 29–53. [Google Scholar] [CrossRef]
- Wu, J.; Liu, H.; Li, B.; Li, J.; Li, M. Precision Trajectory Control in Underwater Vehicle-Manipulator Systems Using Advanced Sliding Mode Techniques and State Estimation. Ocean Eng. 2025, 318, 120129. [Google Scholar] [CrossRef]
- Long, H.; Zhang, P.; Guo, T.; Zhao, J. Saturated Adaptive Fuzzy Fixed-Time Nonsingular Integral Terminal Sliding-Mode Control of AUVs. IEEE Trans. Cybern. 2025, 55, 1634–1647. [Google Scholar] [CrossRef] [PubMed]
- He, L.; Xie, M.; Zhang, Y.; Li, S.; Li, B.; Yuan, Z.; Bai, C. Formation Control of Underactuated AUVs Using a Fractional-Order Sliding Mode Observer. Fractal Fract. 2025, 9, 465. [Google Scholar] [CrossRef]
- Xiong, X.; Xiang, X.; Duan, Y.; Yang, S. Adaptive SNDO-STSM Hierarchical Robust Control of Autonomous Underwater Vehicle: Theory and Experimental Validation. IEEE Trans. Ind. Electron. 2024, 71, 14351–14361. [Google Scholar] [CrossRef]
- Fei, J.; Feng, Z. Fractional-Order Finite-Time Super-Twisting Sliding Mode Control of Micro Gyroscope Based on Double-Loop Fuzzy Neural Network. IEEE Trans. Syst. Man Cybern. Syst. 2021, 51, 7692–7706. [Google Scholar] [CrossRef]
- Zhang, K.; Zhang, W.; Wu, Q.; Du, X. Adaptive Fixed-Time Disturbance Observer-Based Anti-Saturation Distributed Sliding Mode Formation Tracking Control for Multi-Underactuated AUVs under Lumped Disturbances. Ocean Eng. 2025, 339, 122026. [Google Scholar] [CrossRef]
- Xia, Y.; Xu, K.; Li, Y.; Xu, G.; Xiang, X. Improved Line-of-Sight Trajectory Tracking Control of under-Actuated AUV Subjects to Ocean Currents and Input Saturation. Ocean Eng. 2019, 174, 14–30. [Google Scholar] [CrossRef]
- Rong, S.; Wang, H.; Li, H.; Sun, W.; Gu, Q.; Lei, J. Performance-Guaranteed Fractional-Order Sliding Mode Control for Underactuated Autonomous Underwater Vehicle Trajectory Tracking with a Disturbance Observer. Ocean Eng. 2022, 263, 112330. [Google Scholar] [CrossRef]
- Lunyang, L.; Yuxiang, C.; Chunliang, Y.; Hong, Z.; Hong, X.; Yiyang, X.; Guodong, Z. Motion Control of Negative-Lift AUV Based on Disturbance Compensation Nonlinear Model Predictive Control with Extended State Observation. Ocean Eng. 2025, 329, 121145. [Google Scholar] [CrossRef]
- Yan, Z.; Yu, Y.; Xing, W.; Shi, Y. Dynamic Observer-Based Multi-AUV Enclosing Control for Target Without Velocity Measurement. IEEE Trans. Instrum. Meas. 2025, 74, 1–14. [Google Scholar] [CrossRef]
- Yang, G.; Li, L.; Zhang, K.; Liu, W. Lyapunov-Based Model Predictive Control for Path-Following of an Autonomous Underwater Vehicle Using Line-of-Sight Guidance. Mechatronics 2026, 115, 103464. [Google Scholar] [CrossRef]
- Sun, Z.; Wang, B.; Li, Z.; Zhao, Y.; Huang, T.; Li, X.; Zhao, Y.; Qian, P.; Zhang, D. Enhanced Trajectory Tracking for AUVs: Adaptive Super-Twisting Sliding Mode Control with Disturbance Observer. Control Eng. Pract. 2025, 164, 106426. [Google Scholar] [CrossRef]
- Nerkar, S.S.; Londhe, P.S.; Patre, B.M. Design of Super Twisting Disturbance Observer Based Control for Autonomous Underwater Vehicle. Int. J. Dyn. Control 2022, 10, 306–322. [Google Scholar] [CrossRef]
- Guerrero, J.; Torres, J.; Creuze, V.; Chemori, A. Adaptive Disturbance Observer for Trajectory Tracking Control of Underwater Vehicles. Ocean Eng. 2020, 200, 107080. [Google Scholar] [CrossRef]
- Fossen, T.I. Handbook of Marine Craft Hydrodynamics and Motion Control; Wiley: Hoboken, NJ, USA, 2021. [Google Scholar]
- Levant, A. Robust Exact Differentiation via Sliding Mode Technique*. Automatica 1998, 34, 379–384. [Google Scholar] [CrossRef]
- Moreno, J.A.; Osorio, M. Strict Lyapunov Functions for the Super-Twisting Algorithm. IEEE Trans. Autom. Control 2012, 57, 1035–1040. [Google Scholar] [CrossRef]
- He, L.; Zhang, Y.; Li, S.; Li, B.; Xie, M.; Yuan, Z.; Bai, C. Formation Control of Underactuated AUVs Based on Event-Triggered Communication and Fractional-Order Sliding Mode Control. Fractal Fract. 2025, 9, 755. [Google Scholar] [CrossRef]
Disclaimer/Publisher’s Note: The statements, opinions and data contained in all publications are solely those of the individual author(s) and contributor(s) and not of MDPI and/or the editor(s). MDPI and/or the editor(s) disclaim responsibility for any injury to people or property resulting from any ideas, methods, instructions or products referred to in the content. |
© 2026 by the authors. Licensee MDPI, Basel, Switzerland. This article is an open access article distributed under the terms and conditions of the Creative Commons Attribution (CC BY) license.












