Sign in to use this feature.

Years

Between: -

Subjects

remove_circle_outline
remove_circle_outline
remove_circle_outline
remove_circle_outline
remove_circle_outline
remove_circle_outline
remove_circle_outline
remove_circle_outline
remove_circle_outline

Journals

remove_circle_outline
remove_circle_outline
remove_circle_outline
remove_circle_outline
remove_circle_outline
remove_circle_outline
remove_circle_outline
remove_circle_outline
remove_circle_outline
remove_circle_outline
remove_circle_outline

Article Types

Countries / Regions

remove_circle_outline
remove_circle_outline
remove_circle_outline
remove_circle_outline
remove_circle_outline

Search Results (758)

Search Parameters:
Keywords = summer loss

Order results
Result details
Results per page
Select all
Export citation of selected articles as:
20 pages, 8812 KB  
Article
Spatiotemporal Analysis of Thermal Environment and Land Use Change in Sonipat, Panipat, and Jhajjar Districts Under the Central Circle Forest Area of Haryana, India (1993–2023)
by Himanshi Sharma, Doyeli Sanyal, Rishikesh Singh and Santosh Pal Singh
Urban Sci. 2026, 10(2), 95; https://doi.org/10.3390/urbansci10020095 - 3 Feb 2026
Abstract
Changes in land use patterns due to urbanisation impact local weather patterns by influencing Land Surface Temperatures (LSTs). Despite rapid urbanisation in the Delhi-NCR (National Capital Region), the peri-urban fringes of Haryana, such as the Central Circle Forest (CCF) region, in the past [...] Read more.
Changes in land use patterns due to urbanisation impact local weather patterns by influencing Land Surface Temperatures (LSTs). Despite rapid urbanisation in the Delhi-NCR (National Capital Region), the peri-urban fringes of Haryana, such as the Central Circle Forest (CCF) region, in the past three decades, a comprehensive 30-year analysis that integrates LST, the Normalised Difference Vegetation Index (NDVI), the Normalised Difference Built-up Index (NDBI), and Land Use/Land Cover (LULC) is lacking. The current study on the decadal analysis covering the 1993 to 2023 time period shows an increase in built-up areas (14.6–38.4%), a decline in NDVI (−0.01 to −0.08), a 6 °C rise in summer LST, and weak correlations between LST and NDVI. A significant increase in summer mean LSTs was observed, with some regions reaching temperatures beyond 35 °C in the selected districts. The LST and LULC zonal statistics revealed that the open fields/agricultural land and floodplains of the Yamuna River have adversely affected the weather pattern with rising LST. The average NDVI declined from −0.01 in 1993 to −0.08 in 2023, indicating a loss of vegetative buffers. Meanwhile, NDBI trends from 2003 to 2023 showed that built-up areas have steadily grown, and LULC data highlighted 38.43% of the built-up area in 2023. Correlation analysis showed a weak negative relationship between LST and NDVI (r = −0.47), suggesting diminishing cooling effects of vegetation, while a weak positive correlation between LST and NDBI indicates that urban expansion is significantly contributing to the urban heat island effect. This study emphasises the need for green infrastructure, afforestation, and water conservation in urban planning frameworks to enhance climate resilience and ecological sustainability. Full article
Show Figures

Figure 1

21 pages, 3914 KB  
Article
Legume-Based Rotations Reduce Cereal Yield Loss and Water Use to Enhance System Yield Resilience in Response to Climate Change
by Bo Wang, Xiaolin Yang, Jos van Dam, Tiegui Nan, Taisheng Du, Shaozhong Kang and Coen Ritsema
Agriculture 2026, 16(3), 335; https://doi.org/10.3390/agriculture16030335 - 29 Jan 2026
Viewed by 158
Abstract
Climate change significantly challenges efforts to maintain and improve crop production worldwide. Diversified crop rotations have emerged as a promising way to adapt cropping systems and bolster food security under changing climate conditions; however, robust empirical evidence remains limited. This study evaluates the [...] Read more.
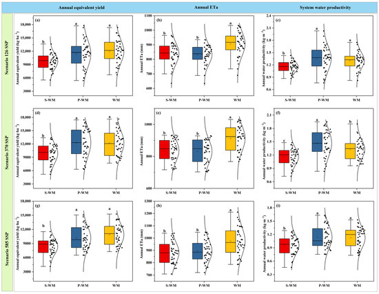
Climate change significantly challenges efforts to maintain and improve crop production worldwide. Diversified crop rotations have emerged as a promising way to adapt cropping systems and bolster food security under changing climate conditions; however, robust empirical evidence remains limited. This study evaluates the long-term performance of diversified crop rotations under future climate scenarios in the North China Plain via an 80-year scenario analysis (2020–2100) spanning three shared socioeconomic pathways (SSPs:126, 370, 585). The calibrated and validated SWAP (Soil–Water–Atmosphere–Plant)–WOFOST (WOrld FOod STudies) model simulated water consumption and yield. Sustainability indices were employed to assess the cereal yield stability and compensation effect to yield loss caused by climate change. The study compares the conventional winter wheat–summer maize rotation (WM) with two legume-based rotations: soybean–WM (S–WM) and peanut–WM (P–WM). The results indicate that, under all three climate scenarios, the two legume-based rotations reduced annual water consumption by 7–9%, maintained system economic equivalent yields with one crop less, and improved water productivity by up to 10%. Future climate change decreased cereal yields by 9–26% across all rotations compared to historical baselines. However, the two legume-based rotations showed a significant residual effect, increasing subsequent cereal yields by 9–14% over the conventional WM under all scenarios. Consequently, the legume-based rotations provided a 25–51% yield compensation. Additionally, these rotations improved the sustainable yield index and system resilience and reduced cereal yield variance under future climate scenarios compared to the more vulnerable WM. This study demonstrates that diversified crop rotations are a viable strategy to mitigate negative climate impacts. The study provides critical insights for policy-makers, supporting crop-rotation diversification as a core component of risk-reduction strategies to mitigate future climate change impacts. Full article
(This article belongs to the Section Agricultural Systems and Management)
Show Figures

Figure 1

24 pages, 5779 KB  
Article
Characteristics, Sources of Atmospheric VOCs and Their Impacts on O3 and Secondary Organic Aerosol Formation in Ganzhou, Southern China
by Xinjie Liu, Yong Luo, Zongzhong Ren, Lichen Deng, Rui Chen, Xiaozhen Fang, Wei Guo and Cheng Liu
Toxics 2026, 14(2), 125; https://doi.org/10.3390/toxics14020125 - 28 Jan 2026
Viewed by 169
Abstract
Driven by factors such as meteorology, topography, and industrial structure, the concentrations of volatile organic compounds (VOCs) exhibit significant spatial heterogeneity. Investigating the characteristics and sources of VOCs in different regions is therefore crucial for formulating targeted strategies to mitigate their contributions to [...] Read more.
Driven by factors such as meteorology, topography, and industrial structure, the concentrations of volatile organic compounds (VOCs) exhibit significant spatial heterogeneity. Investigating the characteristics and sources of VOCs in different regions is therefore crucial for formulating targeted strategies to mitigate their contributions to fine particulate matter (PM2.5) and ozone (O3) pollution. This study comprehensively investigated—for the first time—the concentration characteristics, sources, and contributions to secondary organic aerosol (SOA) and O3 formation of VOCs at an urban background site in Ganzhou, a southern Chinese city, based on hourly observations of VOCs during 2023. Analyses included ozone formation potential (OFP), secondary organic aerosol formation potential (SOAFP), and positive matrix factorization (PMF) source apportionment. The influence of photochemical loss was assessed using a photochemical age parameterization method. The results showed an annual average total VOC concentration of 22.6 ± 13.17 ppbv, with higher levels in winter and lower in summer. Alkanes were the dominant species (45.76%). After correcting for photochemical loss, the initial concentration of VOCs (IC-VOCs) was approximately 60% higher than the observed concentration of VOCs (OC-VOCs), with alkenes becoming the dominant group in IC-VOCs (≈72%). OFP analysis indicated that the OFP calculated using initial VOC concentrations (IC-OFP) was substantially higher (by 320 μg/m3) than the values calculated using observed VOC concentrations (OC-OFP), primarily due to the increased contribution of alkenes. SOAFP was higher in spring and winter, and lower in summer and autumn, with aromatic hydrocarbons being the dominant contributors (>85%). PMF results based on month-case studies identified combustion and industrial process sources as the major contributors (>20%) in August, while combustion and vehicle exhaust dominated in January. Photochemical loss significantly influenced source apportionment, particularly leading to an underestimation of biogenic emissions during a warm month (August). These findings underscore the necessity of accounting for photochemical aging and offer a scientific basis for refining targeted VOC control measures in Ganzhou and similar regions. Full article
(This article belongs to the Section Air Pollution and Health)
Show Figures

Figure 1

23 pages, 16063 KB  
Article
Response Strategies of Giant Panda, Red Panda, and Forest Musk Deer to Human Disturbance in Sichuan Liziping National Nature Reserve
by Mengyi Duan, Qinlong Dai, Wei Luo, Ying Fu, Bin Feng and Hong Zhou
Biology 2026, 15(2), 194; https://doi.org/10.3390/biology15020194 - 21 Jan 2026
Viewed by 162
Abstract
The persistent expansion in the intensity and scope of human disturbance has become a key driver of global biodiversity loss, affecting wildlife behavior and population stability across multiple dimensions. As a characteristic symbiotic assemblage in the subalpine forest ecosystems of Sichuan, the giant [...] Read more.
The persistent expansion in the intensity and scope of human disturbance has become a key driver of global biodiversity loss, affecting wildlife behavior and population stability across multiple dimensions. As a characteristic symbiotic assemblage in the subalpine forest ecosystems of Sichuan, the giant panda (Ailuropoda melanoleuca), red panda (Ailurus fulgens), and forest musk deer (Moschus berezovskii) exhibit significant research value in their responses to human disturbance. However, existing studies lack systematic analysis of multiple disturbances within the same protected area. This study was conducted in the Sichuan Liziping National Nature Reserve, where infrared camera traps were deployed using a kilometer-grid layout. By integrating spatiotemporal pattern analysis and Generalized Additive Models (GAM), we investigated the characteristics of human disturbance and the response strategies of the three species within their habitats. The results show that: (1) A total of seven types of human disturbance were identified in the reserve, with the top three by frequency being cattle disturbance, goat disturbance, and walking disturbance; (2) Temporally, summer and winter were high-occurrence seasons for disturbance, with peaks around 12:00–14:00, while the giant panda exhibited a bimodal diurnal activity pattern (10:00–12:00, 14:00–16:00), the red panda peaked mainly at 8:00–10:00, and the forest musk deer preferred crepuscular and nocturnal activity—all three species displayed activity rhythms that temporally avoided peak disturbance periods; (3) Spatially, giant pandas were sparsely distributed, red pandas showed aggregated distribution, and forest musk deer exhibited a multi-core distribution, with the core distribution areas of each species spatially segregated from high-disturbance zones; (4) GAM analysis revealed that the red panda responded most significantly to disturbance, the giant panda showed marginal significance, and the forest musk deer showed no significant response. This study systematically elucidates the spatiotemporal differences in responses to multiple human disturbances among three sympatric species within the same landscape, providing a scientific basis for the management of human activities, habitat optimization, and synergistic biodiversity conservation in protected areas. It holds practical significance for promoting harmonious coexistence between human and wildlife. Full article
(This article belongs to the Section Conservation Biology and Biodiversity)
Show Figures

Figure 1

21 pages, 8455 KB  
Article
Comparative Experimental Performance Assessment of Tilted and Vertical Bifacial Photovoltaic Configurations for Agrivoltaic Applications
by Osama Ayadi, Reem Shadid, Mohammad A. Hamdan, Qasim Aburumman, Abdullah Bani Abdullah, Mohammed E. B. Abdalla, Haneen Sa’deh and Ahmad Sakhrieh
Sustainability 2026, 18(2), 931; https://doi.org/10.3390/su18020931 - 16 Jan 2026
Viewed by 222
Abstract
Agrivoltaics—the co-location of photovoltaic energy production with agriculture—offers a promising pathway to address growing pressures on land, food, and clean energy resources. This study evaluates the first agrivoltaic pilot installation in Jordan, located in Amman (935 m above sea level; hot-summer Mediterranean climate), [...] Read more.
Agrivoltaics—the co-location of photovoltaic energy production with agriculture—offers a promising pathway to address growing pressures on land, food, and clean energy resources. This study evaluates the first agrivoltaic pilot installation in Jordan, located in Amman (935 m above sea level; hot-summer Mediterranean climate), during its first operational year. Two 11.1 kWp bifacial photovoltaic (PV) systems were compared: (i) a south-facing array tilted at 10°, and (ii) a vertical east–west “fence” configuration. The tilted system achieved an annual specific yield of 1962 kWh/kWp, approximately 35% higher than the 1288 kWh/kWp obtained from the vertical array. Seasonal variation was observed, with the performance gap widening to ~45% during winter and narrowing to ~22% in June. As expected, the vertical system exhibited more uniform diurnal output, enhanced early-morning and late-afternoon generation, and lower soiling losses. The light profiles measured for the year indicate that vertical systems barely impede the light requirements of crops, while the tilted system splits into distinct profiles for the intra-row area (akin to the vertical system) and sub-panel area, which is likely to support only low-light requirement crops. This configuration increases the levelized cost of electricity (LCOE) by roughly 88% compared to a conventional ground-mounted system due to elevated structural costs. In contrast, the vertical east–west system provides an energy yield equivalent to about 33% of the land area at the tested configuration but achieves this without increasing the LCOE. These results highlight a fundamental trade-off: elevated tilted systems offer greater land-use efficiency but at higher cost, whereas vertical systems preserve cost parity at the expense of lower energy density. Full article
(This article belongs to the Special Issue Energy Economics and Sustainable Environment)
Show Figures

Figure 1

21 pages, 4447 KB  
Article
Numerical Investigation of a Multi-Year Sand-Based Thermal Energy Storage System for Building Space Heating Application
by Sandeep Bandarwadkar and Tadas Zdankus
Buildings 2026, 16(2), 321; https://doi.org/10.3390/buildings16020321 - 12 Jan 2026
Viewed by 216
Abstract
Residential space heating in Northern Europe requires long-duration thermal storage to align summer solar gains with winter heating demand. This study investigates a compact sand-based seasonal thermal energy storage integrated with flat-plate solar collectors for an A+ class single-family house in Kaunas, Lithuania. [...] Read more.
Residential space heating in Northern Europe requires long-duration thermal storage to align summer solar gains with winter heating demand. This study investigates a compact sand-based seasonal thermal energy storage integrated with flat-plate solar collectors for an A+ class single-family house in Kaunas, Lithuania. An iterative co-design couples collector sizing with the seasonal charging target and a 3D COMSOL Multiphysics model of a 300 m3 sand-filled, phenolic foam-insulated system, with a 1D conjugate model of a copper pipe heat-exchanger network. The system was charged from March to September and discharged from October to February under measured-weather boundary conditions across three consecutive annual cycles. During the first year, the storage supplied the entire winter heating demand, though 35.2% of the input energy was lost through conduction, resulting in an end-of-cycle average sand temperature slightly below the initial state. In subsequent years, both the peak sand temperature and the residual end-of-cycle temperature increased by 3.7 °C and 3.2 °C, respectively, by the third year, indicating cumulative thermal recovery and improved retention. Meanwhile, the peak conductive losses rate decreased by 98 W, and cumulative annual losses decreased by 781.4 kWh in the third year, with an average annual reduction of 4.15%. These results highlight the progressive self-conditioning of the surrounding soil and demonstrate that a low-cost, sand-based storage system can sustain a complete seasonal heating supply with declining losses, offering a robust and scalable approach for residential building heating applications. Full article
(This article belongs to the Section Building Energy, Physics, Environment, and Systems)
Show Figures

Figure 1

17 pages, 2568 KB  
Article
Plesiomonas shigelloides as an Emerging Pathogen in Catfish Aquaculture: A Case from a South Texas Commercial Farm
by Haitham H. Mohammed, Noha I. ElBanna, Ozgur Erdogan, Suja Aarattuthodi, Hasan C. Tekedar, Hossam Abdelhamed and Josué Díaz-Delgado
Microorganisms 2026, 14(1), 144; https://doi.org/10.3390/microorganisms14010144 - 8 Jan 2026
Viewed by 359
Abstract
During the summer of 2023, a spontaneous disease outbreak occurred in intensively stocked hybrid catfish (♀ channel catfish, Ictalurus punctatus × ♂ blue catfish, I. furcatus) in earthen ponds on a commercial aquaculture farm in South Texas. The farmer reported 50 to [...] Read more.
During the summer of 2023, a spontaneous disease outbreak occurred in intensively stocked hybrid catfish (♀ channel catfish, Ictalurus punctatus × ♂ blue catfish, I. furcatus) in earthen ponds on a commercial aquaculture farm in South Texas. The farmer reported 50 to 80 dead fish per pond daily for a month. The fish were market size (1.0 ± 0.3 kg on average), resulting in substantial economic losses. Fifteen moribund fish were submitted for laboratory examination. Grossly, the fish showed distended abdomens, erythematous fins, and inflamed vents. Autopsy demonstrated visceral congestion, distended gastrointestinal tracts, and serosanguineous peritoneal effusion. Bacterial cultures from the internal organs revealed homogeneous bacterial growth after incubation. Presumptive biochemical characterization of the isolated bacteria identified Plesiomonas shigelloides. Further molecular confirmation was achieved by species-specific PCR amplification and 16S-rRNA sequencing. Juvenile catfish were experimentally challenged with the recovered isolates to fulfill Koch’s postulates. Moreover, an antibiogram was performed to evaluate the susceptibility of the isolates to a panel of FDA-approved antimicrobials. P. shigelloides isolates were pathogenic to channel catfish and alarmingly multidrug-resistant. We report here, for the first time, P. shigelloides infection in Texas commercial catfish aquaculture, emphasizing its significance as an emerging enteric pathogen that is difficult to treat with FDA-approved antimicrobials. Full article
Show Figures

Figure 1

19 pages, 3367 KB  
Article
Low-Emissivity Cavity Treatment for Enhancing Thermal Performance of Existing Window Frames
by Maohua Xiong, Jihoon Kweon and Soobong Kim
Sustainability 2026, 18(1), 525; https://doi.org/10.3390/su18010525 - 5 Jan 2026
Viewed by 298
Abstract
Windows contribute 40–50% of envelope heat loss despite occupying only 1/8–1/6 of the surface area. Conventional frame retrofits rely on geometry optimization or cavity insulation yet remain limited by cost and invasiveness. This study introduces electrochemical polishing to reduce cavity surface emissivity of [...] Read more.
Windows contribute 40–50% of envelope heat loss despite occupying only 1/8–1/6 of the surface area. Conventional frame retrofits rely on geometry optimization or cavity insulation yet remain limited by cost and invasiveness. This study introduces electrochemical polishing to reduce cavity surface emissivity of multi-cavity broken-bridge aluminum window frames to suppress radiative heat transfer, offering a non-invasive, low-cost retrofit strategy for existing building windows. Using a typical 75-series casement window, finite element analysis (MQMC) reveals that reducing cavity surface emissivity from 0.9 to 0.05 lowers frame U-values by 12.39–30.38% and whole-window U-values by 2.72–9.69%, with full-cavity treatment outperforming insulating-cavity-only by an average of 0.29 W/(m2·K). EnergyPlus simulations across multiple climate zones show 0.74–2.26% annual heating and cooling energy savings (with max reduction of 8.99 MJ/m2·yr) in severe cold and cold regions (e.g., Harbin, Beijing), but 1.25–3.04% penalties in mild and hot-summer zones due to impeded nighttime heat rejection. At an incremental cost of 62.5 CNY/window (6.6–7.4% increase), the static payback period is 4.1 years in Harbin. The approach mitigates thermal bridging more effectively than foam-filled frames in whole-window performance. This scalable, minimal-intervention technology aligns with low-carbon retrofit imperatives for existing aging windows, particularly in heating-dominated climates. Full article
Show Figures

Figure 1

31 pages, 5957 KB  
Article
A Study on the Preparation and Performance Optimization of Alkali-Activated Fly Ash-Based Aerogel-Modified Foam Concrete
by Peng Liu, Wei Wu and Yanfeng Gong
Buildings 2026, 16(1), 206; https://doi.org/10.3390/buildings16010206 - 2 Jan 2026
Viewed by 240
Abstract
To address the energy and environmental challenges, this study targets the need for ultra-low energy buildings in China’s hot summer-cold winter region (HSCW) by developing high-performance alkali-activated foam concrete (AAFC) insulation material. Initially, a target performance indicator system was established. Subsequently, a mix [...] Read more.
To address the energy and environmental challenges, this study targets the need for ultra-low energy buildings in China’s hot summer-cold winter region (HSCW) by developing high-performance alkali-activated foam concrete (AAFC) insulation material. Initially, a target performance indicator system was established. Subsequently, a mix proportion design method based on the volume method was proposed, and preliminary mix proportions were designed and tested to achieve the target performance. Accordingly, eight factors, including alkali equivalent and SiO2 aerogel content, were selected for further optimization. A systematic optimization of performance was then conducted using an L32(48) orthogonal experimental design. Range analysis and analysis of variance indicated that foam content significantly affected all target properties. The water-to-binder ratio notably influenced mechanical performance and dry density. Alkali equivalent and activator modulus directly regulated the reaction process. Notably, the incorporation of 2.5 wt% SiO2 aerogel reduced the thermal conductivity to 0.1107 W/(m·K), highlighting its significant role in improving thermal insulation and effectively resolving the common trade-off between insulation and mechanical properties in FC. Furthermore, the waterproofing agent played a critical role in reducing water absorption and enhancing frost resistance. Finally, the optimal mix proportion was determined through matrix analysis, with all material properties meeting the expected targets. Test results confirmed that the optimized FC achieved a dry density of 576.34 kg/m3, compressive and flexural strengths of 5.83 MPa and 1.41 MPa, respectively, a drying shrinkage rate of only 0.614 mm/m, a mass water absorption of 3.87%, and strength and mass loss rates below 10.5% and 1.8% after freeze–thaw cycles. Therefore, this material presents a novel solution for the envelope structures of low-energy buildings. Full article
(This article belongs to the Section Building Materials, and Repair & Renovation)
Show Figures

Figure 1

16 pages, 5863 KB  
Article
Transcriptomic Analysis of the Cold Resistance Mechanisms During Overwintering in Apis mellifera
by Xiaoyin Deng, Yali Du, Jiaxu Wu, Jinming He, Haibin Jiang, Yuling Liu, Qingsheng Niu and Kai Xu
Insects 2026, 17(1), 59; https://doi.org/10.3390/insects17010059 - 1 Jan 2026
Viewed by 637
Abstract
Safe overwintering is a challenging issue in rearing management that is inevitably faced by beekeepers in high-latitude regions. Under the combined influence of multiple factors, the overwintering loss rate of Western honey bees has risen continuously, and investigating the molecular mechanisms related to [...] Read more.
Safe overwintering is a challenging issue in rearing management that is inevitably faced by beekeepers in high-latitude regions. Under the combined influence of multiple factors, the overwintering loss rate of Western honey bees has risen continuously, and investigating the molecular mechanisms related to safe overwintering has become key. The Hunchun bee, an Apis mellifera ecotype in Jilin Province, China, exhibits strong overwintering ability during an overwintering period of more than five months. To investigate the molecular mechanisms of its cold resistance, we conducted a comparative transcriptomic analysis between the summer breeding period (July) and different overwintering intervals (November, December, January, and February), and then systematically identified key genes and signaling pathways related to cold resistance. The results showed that the highest number of differentially expressed genes (DEGs) was found between December and July. Compared with July, the upregulated genes in Hunchun bee in December were significantly enriched in several pathways, such as ion transport and neuroactive ligand–receptor interactions, and the downregulated genes were significantly enriched in pathways related to fatty acid metabolism, glutathione metabolism, and the peroxisome. Notably, a total of 378 shared DEGs were obtained from the four comparison groups, and several candidate cold-resistant gene families, such as AFPs, HSPs, C2H2-ZFPs, STKs, and LRRCs, were identified among the shared DEGs of the winter season. Additionally, 749 shared DEGs related to protein modification and metabolic process regulation were identified between the four successive overwintering intervals. Four shared genes, including sensory neuron membrane protein 1 (SNMP1), were revealed by pairwise comparison of the four intervals. The above results collectively indicate that the Hunchun bee attenuates winter-induced stress responses during the overwintering process by maintaining osmotic pressure balance, reducing fatty acid metabolism, increasing antioxidant capacity, and synthesizing cold-resistant macromolecular proteins. It was also found that chemical signal perception may serve a role in maintaining the stability of the overwintering bee colony. The key genes and pathways related to cold resistance identified in this study not only provide a basis for explaining the overwintering molecular mechanism for Apis mellifera of Hunchun bee but also offer key data to improve overwintering management strategies for Western honey bees. Full article
(This article belongs to the Special Issue Insect Transcriptomics)
Show Figures

Figure 1

12 pages, 772 KB  
Article
Unseasonal GI Norovirus Trends in the Eastern Upper Peninsula of Michigan: Insights from Wastewater Surveillance
by Michelle M. Jarvie, Emily Perilloux, Thu N. T. Nguyen, Benjamin Southwell, Derek Wright and Deidre Furlich
Trends Public Health 2026, 1(1), 2; https://doi.org/10.3390/tph1010002 - 31 Dec 2025
Viewed by 252
Abstract
Norovirus is the leading cause of acute gastroenteritis worldwide, responsible for up to 90% of viral gastroenteritis outbreaks and an estimated 10.6 billion USD in annual economic losses in the U.S. Despite its well-documented seasonality, wastewater surveillance in the Eastern Upper Peninsula of [...] Read more.
Norovirus is the leading cause of acute gastroenteritis worldwide, responsible for up to 90% of viral gastroenteritis outbreaks and an estimated 10.6 billion USD in annual economic losses in the U.S. Despite its well-documented seasonality, wastewater surveillance in the Eastern Upper Peninsula of Michigan reveals persistent GI norovirus detection year-round, diverging from national clinical trends that consistently show far greater GII prevalence. To characterize norovirus dynamics in this region, 250 mL wastewater influent grab samples were collected once per week across 14 sites, concentrated using a PEG-based method, and analyzed via digital droplet PCR (ddPCR) for GI and GII concentrations. Across the study period, the rate of positive sites per month ranged from 57 to 100% for GI and 74 to 97% for GII, with mean positivity rates of 85.4% (GI) and 88.7% (GII), indicating that both genogroups were detected frequently at comparable levels. GI was more prevalent in winter and spring (December–May), whereas GII was more prevalent during spring and summer (March–August). Mean GI gene copies per 100 mL ranged from 12,898 (October) to 532,792 (February), while mean GII concentrations ranged from 29,806 (December) to 1,100,215 (May). These patterns contrast with national clinical data, where GI contributes to a small minority of reported norovirus cases. This study explores potential environmental and behavioral factors contributing to this regional pattern. GI norovirus demonstrates greater resistance to wastewater treatment and environmental stability, which may facilitate its persistence in the region. Additionally, congregate living settings, such as college campuses and correctional facilities, may contribute to sustained GI prevalence through foodborne transmission and asymptomatic viral shedding. Overall, these findings suggest that environmental and social factors influence norovirus seasonality and genogroup distribution in this region, underscoring the need for improved monitoring and expanded multi-site wastewater and epidemiological research to better understand norovirus persistence in similar communities. Full article
Show Figures

Figure 1

21 pages, 2619 KB  
Article
Energy Consumption Analysis and Energy-Saving Renovation Research on the Building Envelope Structure of Existing Thermal Power Plants in China’s Hot Summer and Cold Winter Regions
by Li Qin, Ji Qi, Yunpeng Qi and Wei Shi
Buildings 2026, 16(1), 169; https://doi.org/10.3390/buildings16010169 - 30 Dec 2025
Viewed by 365
Abstract
This study focuses on the operational energy consumption of existing thermal power plant buildings in China’s hot-summer, cold-winter regions. Unlike conventional civil buildings, thermal power plant structures feature intense internal heat sources, large spatial dimensions, specialized ventilation requirements, and year-round industrial waste heat. [...] Read more.
This study focuses on the operational energy consumption of existing thermal power plant buildings in China’s hot-summer, cold-winter regions. Unlike conventional civil buildings, thermal power plant structures feature intense internal heat sources, large spatial dimensions, specialized ventilation requirements, and year-round industrial waste heat. Consequently, the energy consumption characteristics and energy-saving logic of their building envelopes remain understudied. This paper innovatively employs a combined experimental approach of field monitoring and energy consumption simulation to quantify the actual thermal performance of building envelopes (particularly exterior walls, doors, and windows) under current operating conditions, identifying key components for energy-saving retrofits of the main plant building envelope. Due to the fact that most thermal power plants were designed relatively early, their envelope structures generally have problems such as poor insulation performance and insufficient air tightness, resulting in severe energy loss under extreme weather conditions. An energy consumption simulation model was established using GBSEARE software. By focusing on heat transfer coefficients of exterior walls and windows as key parameters, a design scheme for energy-saving retrofits of building envelopes in thermal power plants located in hot-summer, cold-winter regions was proposed. The results show that there is a temperature gradient along the height direction inside the main plant, and the personnel activity area in the middle activity level of the steam engine room is the most unfavorable area of the thermal environment of the steam engine room. The heat transfer coefficient of the envelope structure does not meet the current code requirements. The over-standard rate of the exterior walls is 414.55%, and that of the exterior windows is 177.06%. An energy-saving renovation plan is proposed by adopting a composite color compression panel for the external wall, selecting 50 mm flame-retardant polystyrene EPS foam board for the heat preservation layer, adopting 6 high-transmittance Low-E + 12 air + 6 plastic double-cavity for the external windows, and adding movable shutter sunshade. The energy-saving rate of the building reached 55.32% after the renovation. This study provides guidance for energy-efficient retrofitting of existing thermal power plants and for establishing energy-efficient design standards and specifications for future new power plant construction. Full article
(This article belongs to the Special Issue Building Energy-Saving Technology—3rd Edition)
Show Figures

Figure 1

25 pages, 9554 KB  
Article
Spatiotemporal Evolution Characteristics of Summer Dry-Heat Compound Events in Liaoning Province
by Xiaotian Bai, Rui Wang, Fengjun Shan and Longpeng Cong
Atmosphere 2026, 17(1), 22; https://doi.org/10.3390/atmos17010022 - 24 Dec 2025
Viewed by 312
Abstract
In the context of global warming, the continued increase in the frequency of compound events—where drought and high-temperature extremes coincide—has led to severe natural disasters and substantial socio-economic losses. To systematically reveal the evolution of summer dry-heat compound events in Liaoning Province, this [...] Read more.
In the context of global warming, the continued increase in the frequency of compound events—where drought and high-temperature extremes coincide—has led to severe natural disasters and substantial socio-economic losses. To systematically reveal the evolution of summer dry-heat compound events in Liaoning Province, this study constructs a whole-chain analysis framework of “identification–feature extraction–multivariate probability assessment”. Based on the Standardised Precipitation Index (SPI) and the Standardised Temperature Index (STI), we develop the Standardised Dry-Heat Index (SDHI) to identify dry-heat compound events. Run theory is applied simultaneously to extract key attributes for three types of events—drought, high temperature, and dry-heat compound events—and the Mann–Kendall test is used to detect their temporal mutation characteristics. By combining Copula functions with spatial analysis techniques, we further establish a whole-chain analysis method from “identification–feature extraction–hazard quantification”. The results show that during 1961–2020, summer drought, high-temperature, and dry-heat compound events occurred 4, 14, and 10 times, respectively, in Liaoning Province, with all three types showing a significant increase in frequency after the late 1990s. Spatially, zones of high drought intensity are mainly located in western Liaoning; the duration and severity of high temperatures are most pronounced in inland basin areas; and regions with high compound hazard intensity of dry-heat events largely coincide with urbanised areas. Climate propensity analyses further reveal that the province is experiencing an increasingly dry-heat-prone climate, with high temperatures being the dominant factor driving the enhanced hazard associated with dry-heat compound events. This study overcomes the limitations of traditional single-event analyses and provides a more accurate scientific basis for hazard assessment and zonal prevention and control of dry-heat disasters in Liaoning Province. Full article
(This article belongs to the Special Issue Compound Events and Climate Change Impacts in Agriculture)
Show Figures

Figure 1

33 pages, 8336 KB  
Article
Urban Form and Thermal Comfort: A Comparative Study of Scattered and Grid Settlement in Cold Climate
by Sevgi Yilmaz, Yaşar Menteş, Adeb Qaid, Elmira Jamei and Sena Nur Angin
Land 2026, 15(1), 34; https://doi.org/10.3390/land15010034 - 23 Dec 2025
Cited by 1 | Viewed by 442
Abstract
This study investigates the influence of scattered (irregular) and grid (regular) settlement layouts on local climate and thermal comfort versus rural open areas. Research in Erzurum, Türkiye, utilized 2022 year-round on-site measurements, satellite imagery, and statistical analysis of climatic parameters and the Physiologically [...] Read more.
This study investigates the influence of scattered (irregular) and grid (regular) settlement layouts on local climate and thermal comfort versus rural open areas. Research in Erzurum, Türkiye, utilized 2022 year-round on-site measurements, satellite imagery, and statistical analysis of climatic parameters and the Physiologically Equivalent Temperature (PET) thermal comfort index. Findings reveal distinct climatic responses: scattered urban forms consistently created cooler conditions year-round, exhibiting a winter cold island effect (−1.8 °C in December) and lower summer air temperatures (−3.4 °C in July). According to land surface temperature (LST) results, the grid urban form (−12.1 °C) is 0.9 °C colder than the scattered urban form (−11.2 °C) in winter. The scattered urban form (27.9 °C) is 1.5 °C warmer than the grid urban form (26.4 °C) in summer. The grid urban form exhibits a wind velocity range from 0.2 m/s to 1.2 m/s, and the scattered urban form’s wind velocity ranges from 0.0 m/s to 0.5 m/s. On the other hand, PET analysis indicated scattered forms offered more favorable thermal comfort. Average PET for scattered forms was 16.6 °C in summer and −3.3 °C in winter, compared to grid forms’ 15.1 °C and −4.7 °C, respectively. Wind velocity was a primary determinant, with lower speeds reducing heat loss and improving comfort in cold regions. This highlights urban planning’s critical role in optimizing thermal comfort across climates. Full article
(This article belongs to the Section Land Planning and Landscape Architecture)
Show Figures

Figure 1

18 pages, 2500 KB  
Proceeding Paper
Interface Engineering in Hybrid Energy Systems: A Case Study of Enhance the Efficiency of PEM Fuel Cell and Gas Turbine Integration
by Abdullatif Musa, Gadri Al-Glale and Magdi Hassn Mussa
Eng. Proc. 2025, 117(1), 15; https://doi.org/10.3390/engproc2025117015 - 18 Dec 2025
Viewed by 1100
Abstract
Integrating electrochemical fuel cells and internal combustion engines can enhance the total efficiency and sustainability of power systems. This study presents a promising solution by integrating a Proton Exchange Membrane Fuel Cell (PEMFC) with a mini gas turbine, forming a hybrid system called [...] Read more.
Integrating electrochemical fuel cells and internal combustion engines can enhance the total efficiency and sustainability of power systems. This study presents a promising solution by integrating a Proton Exchange Membrane Fuel Cell (PEMFC) with a mini gas turbine, forming a hybrid system called the “Oya System.” This approach aims to mitigate the efficiency losses of gas turbines during high ambient temperatures. The hybrid model was designed using Aspen Plus for modelling and the EES simulation program for solving mathematical equations. The primary objective of this research is to enhance the efficiency of gas turbine systems, particularly under elevated ambient temperatures. The results demonstrate a notable increase in efficiency, rising from 37.97% to 43.06% at 10 °C (winter) and from 31.98% to 40.33% at 40 °C (summer). This improvement, ranging from 5.09% in winter to 8.35% in summer, represents a significant achievement aligned with the goals of the Oya System. Furthermore, integrating PEMFC contributes to environmental sustainability by utilising hydrogen, a clean energy source, and reducing greenhouse gas emissions. The system also enhances efficiency through waste heat recovery, further optimising performance and reducing energy losses. This research highlights the critical role of interface engineering in the hybrid system, particularly the interaction between the PEMFC and the gas turbine. Integrating these two systems involves complex interfaces that facilitate the transfer of electrochemistry, energy, and materials, optimising the overall performance. This aligns with the conference session’s focus on green technologies and resource efficiency. The Oya System exemplifies how innovative hybrid systems can enhance performance while promoting environmentally friendly processes. Full article
Show Figures

Figure 1

Back to TopTop