Legume-Based Rotations Reduce Cereal Yield Loss and Water Use to Enhance System Yield Resilience in Response to Climate Change
Abstract
1. Introduction
2. Materials and Methods
2.1. Study Area
2.2. Diversified Crop Rotations
2.3. Swap-WOFOST Model Description
2.4. Crop and Soil Database for Model Calibration and Validation
2.5. Data Collection
- (1)
- Cereal grain yield of winter wheat and summer maize
- (2)
- Future meteorological data and climate scenarios
2.6. Calculations
2.6.1. Crop Equivalent Yield and Water Productivity
2.6.2. Yield Resilience of Subsequent Cereal Crops
2.7. Statistical Analysis
3. Results
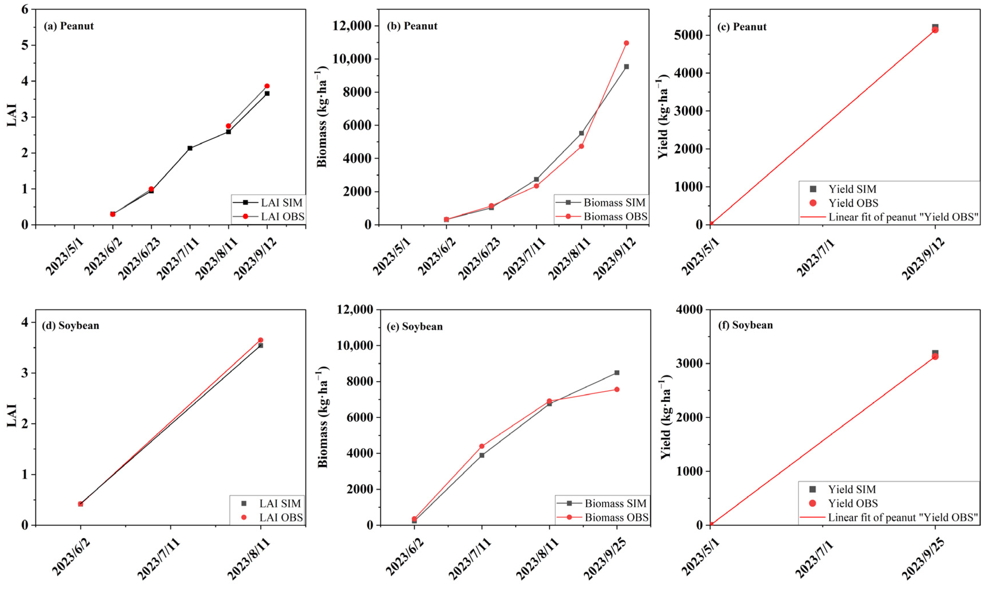
3.1. Swap-WOFOST Model Calibration and Validation
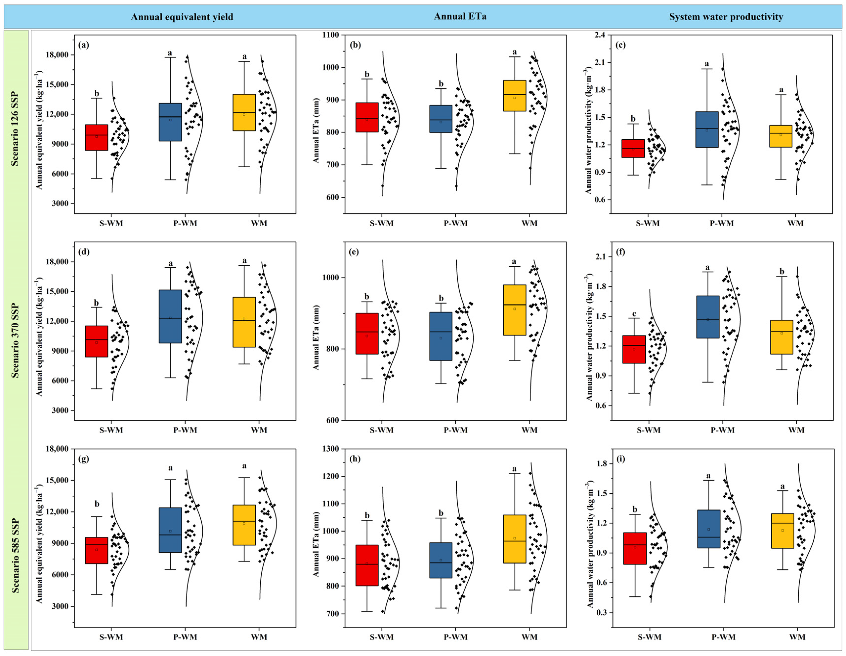
3.2. System Yield, Water Consumption, and Water Productivity of Different Crop Rotations
3.3. Cereal Grain Yield Loss and Compensation in Diversified Crop Rotations Under Future Climate Scenarios
3.4. Stability Assessment of Cereal Grain Yield in Diversified Crop Rotations Under Three Future Climate Scenarios
3.5. Effects of Climate Factors on Crop Yield Across Different Cropping Systems Under Three Climate Scenarios
4. Discussion
4.1. Impact of Diversified Crop Rotations on System Yield and Water Consumption Under Future Climate Scenarios
4.2. Legume-Based Crop Rotations Enhance Subsequent Cereal Yields Under Future Climate Scenarios
4.3. Diversified Crop Rotations Offset Yield Losses Due to Climate Change by Increasing the Subsequent Cereal Yields
4.4. Diversified Crop Rotations Enhance System Yield Resilience Under Climate Change
4.5. Effect of Climate Factors on Crop Yield Under Future Climate Scenarios
4.6. Implications
5. Conclusions
Supplementary Materials
Author Contributions
Funding
Data Availability Statement
Conflicts of Interest
References
- Davis, K.F.; Rulli, M.C.; Seveso, A.; D’Odorico, P. Increased food production and reduced water use through optimized crop distribution. Nat. Geosci. 2017, 10, 919–924. [Google Scholar] [CrossRef]
- Molotoks, A.; Smith, P.; Dawson, T.P. Impacts of land use, population, and climate change on global food security. Food Energy Secur. 2021, 10, e261. [Google Scholar] [CrossRef]
- Diffenbaugh, N.S.; Singh, D.; Mankin, J.S.; Horton, E.D.; Swain, D.L.; Touma, D.; Charland, A.; Liu, Y.; Haugen, M.; Tsiang, M.; et al. Quantifying the influence of global warming on unprecedented extreme climate events. Proc. Natl. Acad. Sci. USA 2017, 114, 4881–4886. [Google Scholar] [CrossRef] [PubMed]
- Zhu, P.; Burney, J.; Chang, J.; Jin, Z.; Mueller, N.D.; Xin, Q.; Xu, J.; Yu, L.; Makowski, D.; Ciais, P. Warming reduces global agricultural production by decreasing cropping frequency and yields. Nat. Clim. Change 2022, 12, 1016–1023. [Google Scholar] [CrossRef]
- Bowles, T.; Mooshammer, M.; Socolar, Y.; Calderón, F.; Cavigelli, M.; Culman, S.; Deen, W.; Drury, C.; Gaudin, A.C.M.; Harkcom, W.; et al. Long-term evidence shows that crop-rotation diversification increases agricultural resilience to adverse growing conditions in North America. One Earth 2020, 2, 284–293. [Google Scholar] [CrossRef]
- Huang, J.; Jiang, J.; Wang, J.; Hou, L. Crop diversification in coping with extreme weather events in China. J. Integr. Agric. 2014, 13, 677–686. [Google Scholar] [CrossRef]
- Challinor, A.J.; Watson, J.; Lobell, D.B.; Howden, S.M.; Smith, D.R.; Chhetri, N. A meta-analysis of crop yield under climate change and adaptation. Nat. Clim. Change 2014, 4, 287–291. [Google Scholar] [CrossRef]
- Zhao, C.; Liu, B.; Piao, S.; Lobel, D.B.; Huang, Y.; Huang, M.; Yao, Y.; Bassu, S.; Ciais, P.; Durand, J.L.; et al. Temperature increase reduces global yields of major crops in four independent estimates. Proc. Natl. Acad. Sci. USA 2017, 114, 9326–9331. [Google Scholar] [CrossRef]
- Agnolucci, P.; Rapti, C.; Alexander, P.; Lipsis, V.D.; Holland, R.A.; Eigenbrod, F.; Ekins, P. Impacts of rising temperatures and farm management practices on global yields of 18 crops. Nat. Food. 2020, 1, 562–571. [Google Scholar] [CrossRef]
- Wang, X.; Zhao, C.; Müller, C.; Wang, C.; Ciais, P.; Janssens, I.; Peñuelas, J.; Asseng, S.; Li, T.; Elliott, J.; et al. Emergent constraint on crop yield response to warmer temperature from field experiments. Nat. Sustain. 2020, 3, 908–916. [Google Scholar] [CrossRef]
- Mueller, N.D.; Gerber, J.S.; Johnston, M.; Ray, D.K.; Ramankutty, N.; Foley, J.A. Closing yield gaps through nutrient and water management. Nature 2012, 490, 254–257. [Google Scholar] [CrossRef]
- Cassman, K.G.; Grassini, P. A global perspective on sustainable intensification research. Nat. Sustain. 2020, 3, 262–268. [Google Scholar] [CrossRef]
- Yang, X.; Xiong, J.; Du, T.; Ju, X.; Gan, Y.; Li, S.; Xia, L.; Shen, Y.; Pacenka, S.; Steenhuis, T.S.; et al. Diversifying crop rotation increases food production, reduces net greenhouse gas emissions and improves soil health. Nat. Commun. 2024, 15, 198. [Google Scholar] [CrossRef] [PubMed]
- Sun, Y.; Yang, X.; Elsgaard, L.; Du, T.; Siddique, K.H.M.; Kang, S.; Butterbach-Bahl, K. Diversified crop rotations improve soil microbial communities and functions in a six-year field experiment. J. Environ. Manag. 2024, 370, 122604. [Google Scholar] [CrossRef] [PubMed]
- Alhameid, A.; Singh, J.; Sekaran, U.; Ozlu, E.; Kumar, S.; Singh, S. Crop rotational diversity impacts soil physical and hydrological properties under long-term no-and conventional-till soils. Soil Res. 2019, 58, 84–94. [Google Scholar] [CrossRef]
- Barbieri, P.; Starck, T.; Voisin, A.-S.; Nesme, T. Biological nitrogen fixation of legumes crops under organic farming as driven by cropping management: A review. Agric. Syst. 2023, 205, 103579. [Google Scholar] [CrossRef]
- Wang, B.; Wang, G.; van Dam, J.; Yang, X.; Ritsema, C.; Siddique, K.H.; Du, T.; Kang, S. Diversified crop rotations improve crop water use and subsequent cereal crop yield through soil moisture compensation. Agric. Water Manag. 2024, 294, 108721. [Google Scholar] [CrossRef]
- Costa, M.P.; Chadwick, D.; Saget, S.; Rees, R.M.; Williams, M.; Styles, D. Representing crop rotations in life cycle assessment: A review of legume LCA studies. Int. J. Life Cycle Assess. 2020, 25, 1942–1956. [Google Scholar] [CrossRef]
- Geng, S.; Tan, J.; Li, L.; Miao, Y.; Wang, Y. Legumes can increase the yield of subsequent wheat with or without harvesting compared to Gramineae crops: A meta-analysis. Eur. J. Agron. 2023, 142, 126643. [Google Scholar] [CrossRef]
- Liu, W.-X.; Shi, Z.; He, H.-Y.; Lin, B.-J.; He, C.; Dang, Y.P.; Zhao, X.; Zhang, H.-L. Improving soil organic carbon sequestration through conservation tillage incorporating legume-based crop rotations. Soil Tillage Res. 2026, 255, 106792. [Google Scholar] [CrossRef]
- Lin, B.B. Resilience in agriculture through crop diversification: Adaptive management for environmental change. BioScience 2011, 61, 183–193. [Google Scholar] [CrossRef]
- Li, J.; Huang, L.; Zhang, J.; Coulter, J.A.; Li, L.; Gan, Y. Diversifying crop rotation improves system robustness. Agron. Sustain. Dev. 2019, 39, 38. [Google Scholar] [CrossRef]
- Liu, C.; Plaza-Bonilla, D.; Coulter, J.A.; Kutcher, H.R.; Beckie, H.J.; Wang, L.; Floc’H, J.-B.; Hamel, C.; Siddique, K.H.; Li, L.; et al. Diversifying crop rotations enhances agroecosystem services and resilience. Adv. Agron. 2022, 173, 299–335. [Google Scholar]
- Singh, R.P.; Das, S.K.; Bhaskara, R.U.M.; Narayana, R. Towards Sustainable Dryland Agricultural Practices; Hyderabad Central Research Institute for Dryland Agriculture: Hyderabad, India, 1990. [Google Scholar]
- Yadav, R.; Dwivedi, B.; Pandey, P. Rice-wheat cropping system: Assessment of sustainability under green manuring and chemical fertilizer inputs. Field Crop. Res. 2000, 65, 15–30. [Google Scholar] [CrossRef]
- Mi, W.; Sun, T.; Ma, Y.; Chen, C.; Ma, Q.; Wu, L.; Wu, Q.; Xu, Q. Higher yield sustainability and soil quality by manure amendment than straw returning under a single-rice cropping system. Field Crop. Res. 2023, 292, 108805. [Google Scholar] [CrossRef]
- Choudhary, M.; Panday, S.C.; Meena, V.S.; Singh, S.; Yadav, R.P.; Mahanta, D.; Mondal, T.; Mishra, P.K.; Bisht, J.K.; Pattanayak, A. Long-term effects of organic manure and inorganic fertilization on sustainability and chemical soil quality indicators of soybean-wheat cropping system in the Indian mid-Himalayas. Agric. Ecosyst. Environ. 2018, 257, 38–46. [Google Scholar] [CrossRef]
- Han, X.; Hu, C.; Chen, Y.; Qiao, Y.; Liu, D.; Fan, J.; Li, S.; Zhang, Z. Crop yield stability and sustainability in a rice-wheat cropping system based on 34-year field experiment. Eur. J. Agron. 2020, 113, 125965. [Google Scholar] [CrossRef]
- Holling, C.S. Resilience and stability of ecological systems. Annu. Rev. Ecol. Syst. 1973, 4, 1–23. [Google Scholar] [CrossRef]
- Peterson, C.A.; Eviner, V.T.; Gaudin, A.C. Ways forward for resilience research in agroecosystems. Agric. Syst. 2018, 162, 19–27. [Google Scholar] [CrossRef]
- Zampieri, M.; Weissteiner, C.J.; Grizzetti, B.; Toreti, A.; Berg, M.v.D.; Dentener, F. Estimating resilience of crop production systems: From theory to practice. Sci. Total. Environ. 2020, 735, 139378. [Google Scholar] [CrossRef]
- Yan, Z.; Zhang, X.; Rashid, M.A.; Li, H.; Jing, H.; Hochman, Z. Assessment of the sustainability of different cropping systems under three irrigation strategies in the North China Plain under climate change. Agric. Syst. 2020, 178, 102745. [Google Scholar] [CrossRef]
- Yang, X.; Steenhuis, T.S.; Davis, K.F.; van der Werf, W.; Ritsema, C.J.; Pacenka, S.; Zhang, F.; Siddique, K.H.M.; Du, T. Diversified crop rotations enhance groundwater and economic sustainability of food production. Food Energy Secur. 2021, 10, e311. [Google Scholar] [CrossRef]
- Kroes, J.G.; van Dam, J.C.; Groenendijk, P.; Hendriks, R.F.A.; Jacobs, C.M.J. SWAP Version 3; Alterra: Wageningen, The Netherlands, 2009. [Google Scholar]
- Van Ittersum, M.; Leffelaar, P.; van Keulen, H.; Kropff, M.; Bastiaans, L.; Goudriaan, J. On approaches and applications of the Wageningen crop models. Eur. J. Agron. 2003, 18, 201–234. [Google Scholar] [CrossRef]
- Van Dam, J.C.; Groenendijk, P.; Hendriks, R.F.; Kroes, J.G. Advances of modeling water flow in variably saturated soils with SWAP. Vadose Zone J. 2008, 7, 640–653. [Google Scholar] [CrossRef]
- Wang, B.; van Dam, J.; Yang, X.; Ritsema, C.; Du, T.; Kang, S. Reducing water productivity gap by optimizing irrigation regime for winter wheat-summer maize system in the North China Plain. Agric. Water Manag. 2023, 280, 108229. [Google Scholar] [CrossRef]
- Li, P.; Ren, L. Evaluating the effects of limited irrigation on crop water productivity and reducing deep groundwater exploitation in the North China Plain using an agro-hydrological model: I. Parameter sensitivity analysis, calibration and model validation. J. Hydrol. 2019, 574, 497–516. [Google Scholar] [CrossRef]
- Li, P.; Ren, L. Evaluating the saline water irrigation schemes using a distributed agro-hydrological model. J. Hydrol. 2021, 594, 125688. [Google Scholar] [CrossRef]
- Heinen, M.; Mulder, M.; van Dam, J.; Bartholomeus, R.; Lier, Q.d.J.v.; de Wit, J.; de Wit, A.; Broeke, M.H.-t. SWAP 50 years: Advances in modelling soil-water-atmosphere-plant interactions. Agric. Water Manag. 2024, 298, 108883. [Google Scholar] [CrossRef]
- Nielsen, D.C.; Miceli-Garcia, J.J.; Lyon, D.J. Canopy cover and leaf area index relationships for wheat, triticale, and corn. Agron. J. 2012, 104, 1569–1573. [Google Scholar] [CrossRef]
- Mondal, M.; Skalicky, M.; Garai, S.; Hossain, A.; Sarkar, S.; Banerjee, H.; Kundu, R.; Brestic, M.; Barutcular, C.; Erman, M.; et al. Supplementing nitrogen in combination with rhizobium inoculation and soil mulch in peanut (Arachis hypogaea L.) production system: Part II. Effect on phenology, growth, yield attributes, pod quality, profitability and nitrogen use efficiency. Agronomy 2020, 10, 1513. [Google Scholar] [CrossRef]
- Vitantonio-Mazzini, L.N.; Gómez, D.; Gambin, B.L.; Di Mauro, G.; Iglesias, R.; Costanzi, J.; Jobbágy, E.G.; Borrás, L. Sowing date, genotype choice, and water environment control soybean yields in central Argentina. Crop. Sci. 2021, 61, 715–728. [Google Scholar] [CrossRef]
- Zhang, X. Water use and water-saving irrigation in typical farmlands in the North China Plain. Chin. J. Eco-Agric. 2018, 26, 1454–1464. [Google Scholar]
- Li, L.; Li, H.; Liu, N.; Lu, Y.; Shao, L.; Chen, S.; Zhang, X. Water use characteristics and drought tolerant ability of different winter wheat cultivars assessed under whole growth circle and at seedling stage. Agric. Water Manag. 2024, 300, 108921. [Google Scholar] [CrossRef]
- Zhang, X.; Uwimpaye, F.; Yan, Z.; Shao, L.; Chen, S.; Sun, H.; Liu, X. Water productivity improvement in summer maize—A case study in the North China Plain from 1980 to 2019. Agric. Water Manag. 2021, 247, 106728. [Google Scholar] [CrossRef]
- Warszawski, L.; Frieler, K.; Huber, V.; Piontek, F.; Serdeczny, O.; Schewe, J. The inter-sectoral impact model intercomparison project (ISI–MIP): Project framework. Proc. Natl. Acad. Sci. USA 2014, 111, 3228–3232. [Google Scholar] [CrossRef]
- Cook, B.I.; Mankin, J.S.; Marvel, K.; Williams, A.P.; Smerdon, J.E.; Anchukaitis, K.J. Twenty-first century drought projections in the CMIP6 forcing scenarios. Earth’s Future 2020, 8, e2019EF001461. [Google Scholar] [CrossRef]
- Kriegler, E.; Edmonds, J.; Hallegatte, S.; Ebi, K.L.; Kram, T.; Riahi, K.; Winkler, H.; Van Vuuren, D.P. A new scenario framework for climate change research: The concept of shared climate policy assumptions. Clim. Change 2014, 122, 401–414. [Google Scholar] [CrossRef]
- Yun, X.; Tang, Q.; Li, J.; Lu, H.; Zhang, L.; Chen, D. Can reservoir regulation mitigate future climate change induced hydrological extremes in the Lancang-Mekong River Basin? Sci. Total. Environ. 2021, 785, 147322. [Google Scholar] [CrossRef]
- Wang, S.; Xiong, J.; Yang, B.; Yang, X.; Du, T.; Steenhuis, T.S.; Siddique, K.H.; Kang, S. Diversified crop rotations reduce groundwater use and enhance system resilience. Agric. Water Manag. 2023, 276, 108067. [Google Scholar] [CrossRef]
- National Bureau of Statistics of China. China Statistical Yearbook—2023; China Statistics Press: Beijing, China, 2023. [Google Scholar]
- Yang, X.; Drury, C.F.; Reynolds, W.D.; Reeb, M.-A.D. Legume cover crop as a primary nitrogen source in an organic crop rotation in Ontario, Canada: Impacts on corn, soybean and winter wheat yields. Org. Agric. 2024, 14, 19–31. [Google Scholar] [CrossRef]
- Zhao, J.; Yang, Y.; Zhang, K.; Jeong, J.; Zeng, Z.; Zang, H. Does crop rotation yield more in China? A meta-analysis. Field Crop. Res. 2020, 245, 107659. [Google Scholar] [CrossRef]
- Yang, X.; Chen, Y.; Pacenka, S.; Gao, W.; Ma, L.; Wang, G.; Yan, P.; Sui, P.; Steenhuis, T.S. Effect of diversified crop rotations on groundwater levels and crop water productivity in the North China Plain. J. Hydrol. 2015, 522, 428–438. [Google Scholar] [CrossRef]
- Garbelini, L.G.; Debiasi, H.; Junior, A.A.B.; Franchini, J.C.; Coelho, A.E.; Telles, T.S. Diversified crop rotations increase the yield and economic efficiency of grain production systems. Eur. J. Agron. 2022, 137, 126528. [Google Scholar] [CrossRef]
- Rodriguez, C.; Mårtensson, L.-M.D.; Jensen, E.S.; Carlsson, G. Combining crop diversification practices can benefit cereal production in temperate climates. Agron. Sustain. Dev. 2021, 41, 48. [Google Scholar] [CrossRef]
- Smith, M.E.; Vico, G.; Costa, A.; Bowles, T.; Gaudin, A.C.M.; Hallin, S.; Watson, C.A.; Alarcòn, R.; Berti, A.; Blecharczyk, A.; et al. Increasing crop rotational diversity can enhance cereal yields. Commun. Earth Environ. 2023, 4, 89. [Google Scholar] [CrossRef]
- Marini, L.; St-Martin, A.; Vico, G.; Baldoni, G.; Berti, A.; Blecharczyk, A.; Malecka-Jankowiak, I.; Morari, F.; Sawinska, Z.; Bommarco, R. Crop rotations sustain cereal yields under a changing climate. Environ. Res. Lett. 2020, 15, 124011. [Google Scholar] [CrossRef]
- Reckling, M.; Albertsson, J.; Vermue, A.; Carlsson, G.; Watson, C.A.; Justes, E.; Bergkvist, G.; Jensen, E.S.; Topp, C.F.E. Diversification improves the performance of cereals in European cropping systems. Agron. Sustain. Dev. 2022, 42, 118. [Google Scholar] [CrossRef]
- Jarecki, M.; Grant, B.; Smith, W.; Deen, B.; Drury, C.; VanderZaag, A.; Qian, B.; Yang, J.; Wagner-Riddle, C. Long-term trends in corn yields and soil carbon under diversified crop rotations. J. Environ. Qual. 2018, 47, 635–643. [Google Scholar] [CrossRef]
- Zhao, J.; Chen, J.; Beillouin, D.; Lambers, H.; Yang, Y.; Smith, P.; Zeng, Z.; Olesen, J.E.; Zang, H. Global systematic review with meta-analysis reveals yield advantage of legume-based rotations and its drivers. Nat. Commun. 2022, 13, 4926. [Google Scholar] [CrossRef]
- Ghosh, P.K.; Hazra, K.K.; Venkatesh, M.S.; Nath, C.P.; Singh, J.; Nadarajan, N. Increasing soil organic carbon through crop diversification in cereal–cereal rotations of indo-gangetic plain. Proc. Natl. Acad. Sci. USA 2019, 89, 429–440. [Google Scholar] [CrossRef]
- Renwick, L.L.R.; Deen, W.; Silva, L.; E Gilbert, M.; Maxwell, T.; Bowles, T.M.; Gaudin, A.C.M. Long-term crop rotation diversification enhances maize drought resistance through soil organic matter. Environ. Res. Lett. 2021, 16, 084067. [Google Scholar] [CrossRef]
- Kebede, E. Contribution, utilization, and improvement of legumes-driven biological nitrogen fixation in agricultural systems. Front. Sustain. Food Syst. 2021, 5, 767998. [Google Scholar] [CrossRef]
- De Notaris, C.; Enggrob, E.E.; Olesen, J.E.; Sørensen, P.; Rasmussen, J. Faba bean productivity, yield stability and N2-fixation in long-term organic and conventional crop rotations. Field Crop. Res. 2023, 295, 108894. [Google Scholar] [CrossRef]
- De Notaris, C.; Mortensen, E.Ø.; Sørensen, P.; Olesen, J.E.; Rasmussen, J. Cover crop mixtures including legumes can self-regulate to optimize N2 fixation while reducing nitrate leaching. Agric. Ecosyst. Environ. 2021, 309, 107287. [Google Scholar] [CrossRef]
- Preissel, S.; Reckling, M.; Schläfke, N.; Zander, P. Magnitude and farm-economic value of grain legume pre-crop benefits in Europe: A review. Field Crop. Res. 2015, 175, 64–79. [Google Scholar] [CrossRef]
- Schlegel, A.J.; Assefa, Y.; Haag, L.A.; Thompson, C.R.; Stone, L.R. Soil water and water use in long-term dryland crop rotations. Agron. J. 2019, 111, 2590–2599. [Google Scholar] [CrossRef]
- Sainju, U.M.; Lenssen, A.W.; Allen, B.L.; Jabro, J.D.; Stevens, W.B. Crop water and nitrogen productivity in response to long-term diversified crop rotations and management systems. Agric. Water Manag. 2021, 257, 107149. [Google Scholar] [CrossRef]
- Lenssen, A.W.; Sainju, U.M.; Jabro, J.D.; Iversen, W.M.; Allen, B.L.; Evans, R.G. Crop diversification, tillage, and management system influence spring wheat yield and water use. Agron. J. 2014, 106, 1445–1454. [Google Scholar] [CrossRef]
- Lenssen, A.W.; Sainju, U.M.; Allen, B.L.; Jabro, J.D.; Stevens, W.B. Dryland corn production and water use affected by tillage and crop management intensity. Agron. J. 2018, 110, 2439–2446. [Google Scholar] [CrossRef]
- Yang, X.-L.; Chen, Y.-Q.; Steenhuis, T.S.; Pacenka, S.; Gao, W.-S.; Ma, L.; Zhang, M.; Sui, P. Mitigating groundwater depletion in north China plain with cropping system that alternate deep and shallow rooted crops. Front. Plant Sci. 2017, 8, 980. [Google Scholar] [CrossRef]
- Thorup-Kristensen, K.; Halberg, N.; Nicolaisen, M.; Olesen, J.E.; Crews, T.E.; Hinsinger, P.; Kirkegaard, J.; Pierret, A.; Dresbøll, D.B. Digging deeper for agricultural resources, the value of deep rooting. Trends Plant Sci. 2020, 25, 406–417. [Google Scholar] [CrossRef]
- Cui, Z.; Yan, B.; Gao, Y.; Wu, B.; Wang, Y.; Xie, Y.; Xu, P.; Wang, H.; Wen, M.; Wang, Y.; et al. Crop yield and water use efficiency in response to long-term diversified crop rotations. Front. Plant Sci. 2022, 13, 1024898. [Google Scholar] [CrossRef]
- Tito, R.; Vasconcelos, H.L.; Feeley, K.J. Global climate change increases risk of crop yield losses and food insecurity in the tropical Andes. Glob. Chang. Biol. 2017, 24, E592–E602. [Google Scholar] [CrossRef]
- Lesk, C.; Anderson, W.; Rigden, A.; Coast, O.; Jägermeyr, J.; McDermid, S.; Davis, K.F.; Konar, M. Compound heat and moisture extreme impacts on global crop yields under climate change. Nat. Rev. Earth Environ. 2022, 3, 872–889. [Google Scholar] [CrossRef]
- Wakatsuki, H.; Ju, H.; Nelson, G.C.; Farrell, A.D.; Deryng, D.; Meza, F.; Hasegawa, T. Research trends and gaps in climate change impacts and adaptation potentials in major crops. Curr. Opin. Environ. Sustain. 2023, 60, 101249. [Google Scholar] [CrossRef]
- Abramoff, R.Z.; Ciais, P.; Zhu, P.; Hasegawa, T.; Wakatsuki, H.; Makowski, D. Adaptation strategies strongly reduce the future impacts of climate change on simulated crop yields. Earth’s Future 2023, 11, e2022EF003190. [Google Scholar] [CrossRef]
- Gaudin, A.C.M.; Tolhurst, T.N.; Ker, A.P.; Janovicek, K.; Tortora, C.; Martin, R.C.; Deen, W. Increasing crop diversity mitigates weather variations and improves yield stability. PLoS ONE 2015, 10, e0113261. [Google Scholar] [CrossRef]
- Wang, H.; Zhang, X.; Yu, X.; Hou, H.; Fang, Y.; Ma, Y.; Zhang, G. Maize-potato rotation maintains soil water balance and improves productivity. Agron. J. 2021, 113, 645–656. [Google Scholar] [CrossRef]
- Hatfield, J.L.; Dold, C. Water-use efficiency: Advances and challenges in a changing climate. Front. Plant Sci. 2019, 10, 103. [Google Scholar] [CrossRef]
- Daniel, M.; Grandy, A.; Tiemann, L.; Weintraub, M. Crop rotation complexity regulates the decomposition of high and low quality residues. Soil Biol. Biochem. 2014, 78, 243–254. [Google Scholar] [CrossRef]
- Degani, E.; Leigh, S.G.; Barber, H.M.; Jones, H.E.; Lukac, M.; Sutton, P.; Potts, S.G. Crop rotations in a climate change scenario: Short-term effects of crop diversity on resilience and ecosystem service provision under drought. Agric. Ecosyst. Environ. 2019, 285, 106625. [Google Scholar] [CrossRef]
- Liu, B.; Martre, P.; Ewert, F.; Porter, J.R.; Challinor, A.J.; Müller, C.; Ruane, A.C.; Waha, K.; Thorburn, P.J.; Aggarwal, P.K.; et al. Global wheat production with 1.5 and 2.0 °C above pre-industrial warming. Glob. Change Biol. 2019, 25, 1428–1444. [Google Scholar] [CrossRef]
- Luo, N.; Mueller, N.; Zhang, Y.; Feng, P.; Huang, S.; Liu, D.L.; Yu, Y.; Wang, X.; Wang, P.; Meng, Q. Short-term extreme heat at flowering amplifies the impacts of climate change on maize production. Environ. Res. Lett. 2023, 18, 084021. [Google Scholar] [CrossRef]
- Ma, R.; Cao, N.; Li, Y.; Hou, Y.; Wang, Y.; Zhang, Q.; Wang, T.; Cui, J.; Li, B.; Shi, W.; et al. Rational reduction of planting density and enhancement of NUE were effective methods to mitigate maize yield loss due to excessive rainfall. Eur. J. Agron. 2024, 160, 127326. [Google Scholar] [CrossRef]









Disclaimer/Publisher’s Note: The statements, opinions and data contained in all publications are solely those of the individual author(s) and contributor(s) and not of MDPI and/or the editor(s). MDPI and/or the editor(s) disclaim responsibility for any injury to people or property resulting from any ideas, methods, instructions or products referred to in the content. |
© 2026 by the authors. Licensee MDPI, Basel, Switzerland. This article is an open access article distributed under the terms and conditions of the Creative Commons Attribution (CC BY) license.
Share and Cite
Wang, B.; Yang, X.; van Dam, J.; Nan, T.; Du, T.; Kang, S.; Ritsema, C. Legume-Based Rotations Reduce Cereal Yield Loss and Water Use to Enhance System Yield Resilience in Response to Climate Change. Agriculture 2026, 16, 335. https://doi.org/10.3390/agriculture16030335
Wang B, Yang X, van Dam J, Nan T, Du T, Kang S, Ritsema C. Legume-Based Rotations Reduce Cereal Yield Loss and Water Use to Enhance System Yield Resilience in Response to Climate Change. Agriculture. 2026; 16(3):335. https://doi.org/10.3390/agriculture16030335
Chicago/Turabian StyleWang, Bo, Xiaolin Yang, Jos van Dam, Tiegui Nan, Taisheng Du, Shaozhong Kang, and Coen Ritsema. 2026. "Legume-Based Rotations Reduce Cereal Yield Loss and Water Use to Enhance System Yield Resilience in Response to Climate Change" Agriculture 16, no. 3: 335. https://doi.org/10.3390/agriculture16030335
APA StyleWang, B., Yang, X., van Dam, J., Nan, T., Du, T., Kang, S., & Ritsema, C. (2026). Legume-Based Rotations Reduce Cereal Yield Loss and Water Use to Enhance System Yield Resilience in Response to Climate Change. Agriculture, 16(3), 335. https://doi.org/10.3390/agriculture16030335

