Sign in to use this feature.

Years

Between: -

Subjects

remove_circle_outline
remove_circle_outline
remove_circle_outline
remove_circle_outline
remove_circle_outline
remove_circle_outline
remove_circle_outline
remove_circle_outline
remove_circle_outline

Journals

Article Types

Countries / Regions

Search Results (358)

Search Parameters:
Keywords = subway construction

Order results
Result details
Results per page
Select all
Export citation of selected articles as:
14 pages, 13840 KB  
Article
A New Method for Constructing Underground Passages—A Case Study of the Xinzhuang Overpass Underground Passages in Nanjing
by Jianming Xu, Jiang Yu, Xueqing Chen, Lu Yan, Shunqi Chen, Changhong Yan and Liang Wen
Buildings 2026, 16(9), 1685; https://doi.org/10.3390/buildings16091685 (registering DOI) - 25 Apr 2026
Abstract
Complex environments, such as underground pipe galleries, subway tunnels, and bridge piles, seriously affect the construction of underground passages. Reducing the disruption of the surrounding environment and road traffic during the construction of underground passages in urban transportation hubs is very important for [...] Read more.
Complex environments, such as underground pipe galleries, subway tunnels, and bridge piles, seriously affect the construction of underground passages. Reducing the disruption of the surrounding environment and road traffic during the construction of underground passages in urban transportation hubs is very important for underground passages. Overcoming these difficulties is a problem that we constantly strive to solve. In this paper, we innovatively propose an open-shield construction method (OSM) without a support structure. It simplifies the construction process, is very adaptable to low soil cover depth and complex construction environments, and has minimal impact on traffic disruption during construction. We first analyze the main problems in the construction of urban underground passages and then elaborate on the OSM in detail. Then, an example of an actual project is used to explain the requirements for prefabricated pipe segments and the waterproof structure. Finally, the effect of applying this method is evaluated by using numerical simulation technology and actual monitoring data. This method provides practical engineering application references for the construction of urban underground passages. Full article
(This article belongs to the Section Building Structures)
Show Figures

Figure 1

22 pages, 7955 KB  
Article
Speed Ratio in a Novel Multilayer Traffic Network for Urban Congestion Relief and Efficiency Gain
by Wenna Liu and Bo Yang
Entropy 2026, 28(4), 469; https://doi.org/10.3390/e28040469 - 20 Apr 2026
Viewed by 193
Abstract
Based on observations of real-world transport systems such as bus-subway systems, street-motorway networks, and rail-air transport frameworks, in which high-speed layers are typically constructed above pre-existing low-speed networks to alleviate congestion and improve efficiency, this study proposes a method for constructing multilayer transport [...] Read more.
Based on observations of real-world transport systems such as bus-subway systems, street-motorway networks, and rail-air transport frameworks, in which high-speed layers are typically constructed above pre-existing low-speed networks to alleviate congestion and improve efficiency, this study proposes a method for constructing multilayer transport networks by strategically deploying the high-speed layer according to node betweenness centrality in the underlying low-speed network. The concept of speed ratio is introduced to quantify the speed difference within the multilayer network. The multilayer network is integrated into the following model: the user equilibrium flow assignment strategy model based on the Bureau of Public Roads function. Utilizing network efficiency, high-speed layer utilization ratio, and proportion of congested edges as metrics, we analyze the impact of: (1) inter-tier speed ratio, (2) low-speed layer topology, and (3) interlayer transfer costs on system performance. Key findings indicate: Under a given traffic demand, increasing the inter-layer speed ratio elevates network efficiency while shifting congestion from lower to upper layers; incorporation of long-range connections improves efficiency, alleviating traffic congestion; introducing interlayer travel speed may enhance efficiency in specific parameter regimes. Full article
(This article belongs to the Special Issue Complexity in Urban Systems)
Show Figures

Figure 1

25 pages, 7466 KB  
Article
Influence of Existing Pile Group and Strata Induced by Excavation of the Adjacent Twin Tunnels with Small Clearance
by Caixia Guo, Lin Ji, Mingshe Sun, Houting Jiang and Wenzheng Wang
Buildings 2026, 16(8), 1618; https://doi.org/10.3390/buildings16081618 - 20 Apr 2026
Viewed by 216
Abstract
In urban subway construction, shield tunneling inevitably passes in close proximity to existing pile foundations, inducing adverse effects on their internal forces and deformations. Taking the twin shield tunnels with small clearance adjacent to the bridge piles as the engineering background, this study [...] Read more.
In urban subway construction, shield tunneling inevitably passes in close proximity to existing pile foundations, inducing adverse effects on their internal forces and deformations. Taking the twin shield tunnels with small clearance adjacent to the bridge piles as the engineering background, this study establishes a three-dimensional finite element numerical model to investigate the deformation and internal force responses of the adjacent pile foundations under different pile lengths, twin-tunnel construction sequences, and tunnel face pressure conditions. The findings indicate that the primary influence zone affected by twin-tunnel excavation extends approximately twice the tunnel diameter (2D) before and after the pile foundation location. Compared with short piles, longer piles exhibit smaller vertical displacements. Meanwhile, the lateral displacements, additional axial forces and bending moments of medium and long piles increase, with their maximum values occurring near the tunnel centerline. For the near pile, when the right tunnel is excavated first, compared with the condition of the left-tunnel-first excavation, the lateral and vertical displacements slightly increase. In addition, the maximum additional axial force increases by 38.8%, while the maximum additional bending moment decreases by approximately 21%. Tunnel face pressure exerts a moderate influence on the vertical displacement of both the surrounding soil and pile foundation, while its effect on lateral displacement and internal forces is relatively insignificant. The tunnel face pressure within the range of 200 kPa to 300 kPa provides optimal control over pile foundation deformation. Full article
(This article belongs to the Section Building Structures)
Show Figures

Figure 1

24 pages, 7665 KB  
Article
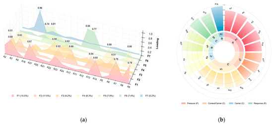
Spatial Differentiation of Thermal–Ecological Environmental Responses in High-Density Central Subway-Hub Blocks and Their Associations with Built-Environment Characteristics
by Guohua Wang, Xu Cui, Yao Xu and Wen Song
Land 2026, 15(4), 658; https://doi.org/10.3390/land15040658 - 16 Apr 2026
Viewed by 174
Abstract
Subway-hub blocks are critical areas where the pressures of metropolitan populations and environmental quality are closely interconnected. This study constructs a “pressure–context–carrier–response” (PCRC) framework (F1–F7) to systematically reveal the correlations between built-environment characteristics and environmental performance. The results demonstrate that resource allocation (F7) [...] Read more.
Subway-hub blocks are critical areas where the pressures of metropolitan populations and environmental quality are closely interconnected. This study constructs a “pressure–context–carrier–response” (PCRC) framework (F1–F7) to systematically reveal the correlations between built-environment characteristics and environmental performance. The results demonstrate that resource allocation (F7) and comprehensive response (F5) display notable “asymmetric differentiation”. The socio-economic environment (F2, F3) considerably influences the concentration of green-space resource allocations (F7) (p < 0.01), with affluent blocks demonstrating a clear advantage in resource distribution. The thermo-ecological composite response (F5), which includes NDVI and LST, demonstrates “statistical convergence” (p = 0.894) across various block types, indicating that resource inputs cannot be linearly transformed into environmental efficiency. This disconnection is ascribed to two physical limitations: firstly, the stochastic nature of spatial distribution (Global Moran’s I ≈ 0) restricts the scale effects of green spaces; secondly, the nonlinear limitations of the physical medium indicate that under conditions of high pressure load (F1) and elevated spatial capacity (F6), the regulatory effectiveness of greening demonstrates a significant diminishing marginal return effect. Therefore, intervention planning must shift from controlling macro-level indicators to optimising micro-level accuracy to address ecological performance constraints in densely populated metropolitan areas. Full article
Show Figures

Figure 1

18 pages, 8323 KB  
Article
Improvement of the Internal Force Calculation Method for Composite Underground Structure Walls Based on the Incremental Method
by Yu Li, Huanwei Wei and Wentao Shang
Buildings 2026, 16(8), 1564; https://doi.org/10.3390/buildings16081564 - 16 Apr 2026
Viewed by 236
Abstract
As a composite structure with both support and load-bearing functions, the composite underground structure wall has been widely applied in engineering. However, in terms of scientific research, a simplified calculation method that can reflect the internal force distribution law and the interaction mechanism [...] Read more.
As a composite structure with both support and load-bearing functions, the composite underground structure wall has been widely applied in engineering. However, in terms of scientific research, a simplified calculation method that can reflect the internal force distribution law and the interaction mechanism between the two walls has not been found. In terms of design applications, the internal force calculated by the traditional total method has a relatively large deviation from the actual situation. This study proposes an internal force calculation method for composite underground structure walls based on the incremental method. The difference between the at-rest earth–water pressure and the active earth–water pressure is taken as the load increment, which is applied step-by-step according to the construction conditions. Based on the Wangsheren Subway Station in Jinan, China, the actual bending moments of the diaphragm wall and inner lining wall are back-analysis using Plaxis 2D V20 with measured horizontal deformation as input. Models of the incremental method and total method are built in Midas GEN 2022. Bending moment distributions under various conditions are compared. The results show the following: (1) The absolute values of the bending moments of the two walls calculated by the incremental method are inversely proportional along the depth direction, which is consistent with the trend of back-analysis, while the absolute values of the bending moments of the two walls calculated by the total method are directly proportional. (2) The incremental method has a higher calculation accuracy for the characteristic points of the bending moment. In terms of calculated values, the bending moment of the diaphragm wall is 0.87–1.90 times that of the back-analysis, and that of the inner lining wall is 1.06–4.93 times, while the deviation of the total method is significantly larger (0.47–3.34 times for the diaphragm wall and 1.49–16.64 times for the inner lining wall). (3) Under complex working conditions, the calculation results of the incremental method are still better than those of the total method. This incremental method can better simulate the interaction mechanism and the internal force redistribution characteristics of the composite underground structure wall. The calculation results are more in line with the engineering reality, which can save materials while ensuring the structural safety and provides a more scientific theoretical method for relevant designs. Full article
Show Figures

Figure 1

36 pages, 1473 KB  
Review
Technical, Legal, and Health Aspects for Noise Disturbance Mitigation in Human-Centric Environments
by Pedro Pinto Ferreira Brasileiro, Maria Carolina Silva Leite Brasileiro, Rafaela Moura Eloy, Ketllyn Mayara Amorim dos Santos, Leonie Asfora Sarubbo and Leonardo Machado Cavalcanti
Sustainability 2026, 18(8), 3726; https://doi.org/10.3390/su18083726 - 9 Apr 2026
Viewed by 323
Abstract
Noise disturbances can cause conflicts in several areas, such as residences, civil constructions, highways, subways, and airports, measured by different scales of acoustic comfort for community well-being evaluation. These disturbances also have signatures such as frequency, amplitude, and temporal patterns to compare acoustic [...] Read more.
Noise disturbances can cause conflicts in several areas, such as residences, civil constructions, highways, subways, and airports, measured by different scales of acoustic comfort for community well-being evaluation. These disturbances also have signatures such as frequency, amplitude, and temporal patterns to compare acoustic comfort with real-time parameters. In addition, acoustic sensors should be chosen based on accuracy, price, and calibration method, and acoustic insulation should be applied with the aim of achieving reliable measurements in indoor and outdoor environments for sustainable urban living. In some situations, the lack of noise control can lead to several human disorders, from hearing loss to cardiovascular complications. Therefore, legislation and regulation should be carefully studied and applied to achieve an equilibrium between energy-efficient and healthy building designs in entertainment, work, and rest activities with measured parameters visualized through the design of interface tools that should enable the collection and organization of sound data, with proper presentation for the final user. Finally, intellectual property registrations bring recent industrial applications with aspects of noise mitigation. All these features constitute noise disturbance mitigation in a multi-dimensional integration framework of technology, health, and law to improve the quality of life in human-centric environments. Full article
Show Figures

Figure 1

28 pages, 6527 KB  
Article
Vibration Response Analysis Method for an Underground Pedestrian Passage Crossing a Subway Tunnel and Orthogonally Sharing a Slab with a Vehicle Tunnel
by Shuquan Peng, Yue Li, Ling Fan, Zangnan Yu, Feixiang Xie and Yan Zhou
Technologies 2026, 14(4), 213; https://doi.org/10.3390/technologies14040213 - 5 Apr 2026
Viewed by 429
Abstract
With the rapid urbanization in China, the spatial interaction between newly constructed underground structures and existing transportation tunnels has become increasingly frequent and complex. However, studies on the dynamic response characteristics of underground pedestrian passages subjected to the combined effects of metro- and [...] Read more.
With the rapid urbanization in China, the spatial interaction between newly constructed underground structures and existing transportation tunnels has become increasingly frequent and complex. However, studies on the dynamic response characteristics of underground pedestrian passages subjected to the combined effects of metro- and vehicle-induced vibrations remain relatively limited. This study takes the newly constructed underground pedestrian passage at Want Want Hospital in Hunan Province as the engineering background. The pedestrian passage features a unique structural configuration, in which it is jointly constructed with an overlying vehicular tunnel through a shared slab and simultaneously crosses above an existing metro tunnel. To explore the vibration research methods for this unique structure, a three-dimensional finite element model was developed using ABAQUS and validated through in situ vibration measurements. Based on the validated model, the dynamic response of the pedestrian passage was systematically investigated from two perspectives: traffic loading conditions and shared slab thickness. The results show that metro-induced loads dominate the vibration response of the pedestrian passage. Bidirectional (reversible) train operation produces significantly greater vibration levels than unidirectional operation, and the Z-direction vibration level increases with train speed, with local exceedances occurring at 80 km/h. Under vehicle loading, the vibration response of the passage exhibits a non-monotonic trend, first increasing and then decreasing within the speed range of 30–40 km/h. When metro and vehicle loads act simultaneously, the vibration level is further amplified and exceeds the allowable limit. In addition, a pronounced vibration energy concentration zone is identified on the pedestrian passage bottom slab directly beneath the tunnel sidewalls, highlighting the necessity for targeted vibration mitigation in this region. Parametric analysis demonstrates that appropriately increasing the thickness of the vehicular tunnel bottom slab does not effectively reduce the vibration response. The findings of this study provide a reliable numerical analysis framework and practical design guidance for vibration control of complex overlapping underground structures in urban environments. Full article
(This article belongs to the Section Construction Technologies)
Show Figures

Figure 1

27 pages, 5015 KB  
Article
Design for Cultural Identifiability in Subway Public Spaces Based on IPA Analysis
by Aijia Ma and Xinyi Liu
Buildings 2026, 16(7), 1286; https://doi.org/10.3390/buildings16071286 - 25 Mar 2026
Viewed by 367
Abstract
Subway public spaces have been identified as a vital medium for showcasing urban culture. The design quality of these spaces has been shown to have a profound influence on passengers’ spatial perception and cultural experience. However, amid rapid urbanization, subway stations commonly face [...] Read more.
Subway public spaces have been identified as a vital medium for showcasing urban culture. The design quality of these spaces has been shown to have a profound influence on passengers’ spatial perception and cultural experience. However, amid rapid urbanization, subway stations commonly face issues such as homogeneous spatial interfaces and unclear cultural themes, resulting in diminished station identifiability. This study integrates post-use evaluation with Importance–Performance Analysis (IPA) to establish an assessment and optimization pathway aimed at systematically identifying and prioritizing key design elements for enhancing cultural identifiability. Taking Tianjin Gulou Station as a case study, user feedback collected through questionnaires identified 12 indicators influencing identifiability satisfaction. The reliability and validity of the questionnaire were confirmed through validity analysis and paired-sample t-tests, while IPA was employed to clarify improvement priorities. The results indicate that the overall perceived importance of cultural identifiability at Gulou Station significantly exceeds satisfaction levels. Landmark installations, art walls, and vertical transportation fall within the “high importance-low satisfaction” quadrant, which is identified as a primary area of focus for enhancement. Basic interface elements such as flooring and ceilings require enhancement, while transfer entrances and station name walls constitute advantageous designs warranting preservation. Based on the findings of the present study, three targeted design strategies are proposed: enhancing spatial perception, constructing cultural continuity, and integrating multidimensional experiences. These approaches seek to address the “spatial-cultural” perception gap, providing actionable pathways for the distinctive renewal of subway spaces. Full article
(This article belongs to the Section Architectural Design, Urban Science, and Real Estate)
Show Figures

Figure 1

21 pages, 9826 KB  
Article
Assessment of Foundation Reinforcement Adequacy for Subway Box Structures Exhibiting Displacement
by Jung-Youl Choi, Dae-Hui Ahn and In-Soo Jang
Appl. Sci. 2026, 16(6), 2659; https://doi.org/10.3390/app16062659 - 11 Mar 2026
Viewed by 245
Abstract
Frequent large-scale construction projects have rendered subway box structures vulnerable to displacements. This study examined the adequacy of foundation reinforcement for a subway box structure exhibiting displacement behavior. A displacement function was derived from the optical leveling data, and a three-dimensional numerical analysis [...] Read more.
Frequent large-scale construction projects have rendered subway box structures vulnerable to displacements. This study examined the adequacy of foundation reinforcement for a subway box structure exhibiting displacement behavior. A displacement function was derived from the optical leveling data, and a three-dimensional numerical analysis was performed by applying the computed subgrade elastic modulus as a boundary condition. The analysis produced estimates of uplift and subsidence at the nodes along both the transverse and longitudinal directions of the structure. To determine the required amount of reinforcement (grouting volume), the nodal reinforcement depth obtained from the analysis was applied to a grid-based volumetric calculation method. The nodal intervals were subdivided to the maximum feasible extent, and rectangular grids with sufficient resolution were established to ensure accurate reinforcement-volume calculation. The reinforcement volumes estimated through the numerical analysis were compared with actual field values to assess the adequacy of the foundation reinforcement. Some differences were observed, which were attributed to field constraints that prevented reinforcements at certain required locations. Based on these findings, additional reinforcements can be applied at the analytically identified locations to ensure the structural safety of the subway box structure. Full article
(This article belongs to the Section Civil Engineering)
Show Figures

Figure 1

40 pages, 12177 KB  
Article
Dynamic Multi-Relation Learning with Multi-Scale Hypergraph Transformer for Multi-Modal Traffic Forecasting
by Juan Chen and Meiqing Shan
Future Transp. 2026, 6(1), 51; https://doi.org/10.3390/futuretransp6010051 - 22 Feb 2026
Viewed by 477
Abstract
Accurate multi-modal traffic demand forecasting is key to optimizing intelligent transportation systems (ITSs). To overcome the shortcomings of existing methods in capturing dynamic high-order correlations between heterogeneous spatial units and decoupling intra- and inter-mode dependencies at multiple time scales, this paper proposes a [...] Read more.
Accurate multi-modal traffic demand forecasting is key to optimizing intelligent transportation systems (ITSs). To overcome the shortcomings of existing methods in capturing dynamic high-order correlations between heterogeneous spatial units and decoupling intra- and inter-mode dependencies at multiple time scales, this paper proposes a Dynamic Multi-Relation Learning with Multi-Scale Hypergraph Transformer method (MST-Hype Trans). The model integrates three novel modules. Firstly, the Multi-Scale Temporal Hypergraph Convolutional Network (MSTHCN) achieves collaborative decoupling and captures periodic and cross-modal temporal interactions of transportation demand at multiple granularities, such as time, day, and week, by constructing a multi-scale temporal hypergraph. Secondly, the Dynamic Multi-Relationship Spatial Hypergraph Network (DMRSHN) innovatively integrates geographic proximity, passenger flow similarity, and transportation connectivity to construct structural hyperedges and combines KNN and K-means algorithms to generate dynamic hyperedges, thereby accurately modeling the high-order spatial correlations of dynamic evolution between heterogeneous nodes. Finally, the Conditional Meta Attention Gated Fusion Network (CMAGFN), as a lightweight meta network, introduces a gate control mechanism based on multi-head cross-attention. It can dynamically generate node features based on real-time traffic context and adaptively calibrate the fusion weights of multi-source information, achieving optimal prediction decisions for scene perception. Experiments on three real-world datasets (NYC-Taxi, -Bike, and -Subway) demonstrate that MST-Hyper Trans achieves an average reduction of 7.6% in RMSE and 9.2% in MAE across all modes compared to the strongest baseline, while maintaining interpretability of spatiotemporal interactions. This study not only provides good model interpretability but also offers a reliable solution for multi-modal traffic collaborative management. Full article
Show Figures

Figure 1

15 pages, 4525 KB  
Article
Analysis of Smoke Spreading Pattern and Fire Safety in T-Type Subway Interchange Station
by Lu Qu, Yuru Wang and Yue Zhai
Fire 2026, 9(2), 78; https://doi.org/10.3390/fire9020078 - 10 Feb 2026
Viewed by 759
Abstract
This study analyzes the flow and dispersion characteristics of fire smoke within the complex spatial structure of a T-type subway interchange station to clarify the impact of geometric parameter variations on the smoke spread timeline and evacuation environment. A three-dimensional numerical model of [...] Read more.
This study analyzes the flow and dispersion characteristics of fire smoke within the complex spatial structure of a T-type subway interchange station to clarify the impact of geometric parameter variations on the smoke spread timeline and evacuation environment. A three-dimensional numerical model of a typical T-type interchange station was constructed based on field survey data, with key variables defined as the height difference (H) between the platform and concourse layers and the horizontal distance (L) from the fire source to the track intersection. Through the simulation of multiple fire scenarios, the relationship between the smoke front arrival time (T) and the critical danger time (Ts) at key evacuation nodes was quantified in relation to the structural parameters. The results demonstrated significant linear correlations between vertical smoke spread and horizontal diffusion to adjacent tracks with H and L, respectively. Conversely, smoke intrusion at the transfer stairway exhibited nonlinear behavior driven by geometric constraints. The study notably highlights the dual effect of the height difference (H) on smoke spread. Significantly, the study highlights the dual effect of the height difference (H) on evacuation safety. While an increased height difference delays the initial vertical ascent and enlarges the smoke reservoir capacity, thereby extending the available safe egress time, it simultaneously elongates the physical evacuation path. Consequently, a trade-off emerges between the dispersion delay benefit and the increased evacuation distance. Strategies proposed based on the model analysis include the control of the vertical height difference to H 11 m, the installation of smoke barriers, and the optimization of the smoke control system in the transfer corridors. These findings provide a theoretical basis and quantitative evidence for the optimization of smoke control systems and emergency evacuation design in T-type subway interchange stations. Full article
Show Figures

Figure 1

32 pages, 6721 KB  
Article
Resilience-Oriented Study on Pedestrian Accessibility Between Subway Stations and Commercial Complexes in Cities
by Xinyu Wang, Changming Yu, Binzhuo Gou and Stephen Siu Yu Lau
Land 2026, 15(2), 266; https://doi.org/10.3390/land15020266 - 5 Feb 2026
Cited by 1 | Viewed by 726
Abstract
Against the backdrop of global climate change, the rising frequency and intensity of extreme weather events pose severe challenges to urban transport and commercial systems. As a core capacity for managing uncertainty and risk, urban resilience requires infrastructure to resist shocks, recover rapidly, [...] Read more.
Against the backdrop of global climate change, the rising frequency and intensity of extreme weather events pose severe challenges to urban transport and commercial systems. As a core capacity for managing uncertainty and risk, urban resilience requires infrastructure to resist shocks, recover rapidly, and adaptively evolve. From a resilience perspective, this study develops a comprehensive evaluation system for spatial accessibility between subway stations and commercial complexes, operationalized by 21 indicators across five dimensions: Connectivity, Redundancy, Robustness, Dynamic adaptability, and Comfort. Spatial accessibility is simulated and measured using sDNA spatial network analysis, while an in-depth questionnaire survey collects, feeds back, and validates users’ subjective perceptions. By constructing a dual evaluation model that integrates spatial configuration and behavioral psychology, we find that the integrated development of subway stations and commercial complexes can maintain stable functional performance and sustained vitality under complex urban conditions by optimizing connectivity, enhancing redundancy, and improving adaptability. This is manifested in the expansion of residents’ pedestrian networks and the spillover of social service functions. In parallel, underground spaces can be transformed into resilient infrastructure to enhance civil air defense performance and provide diversified evacuation routes. The findings offer theoretical support and practical guidance for the construction of resilient cities. Full article
(This article belongs to the Topic Advances in Urban Resilience for Sustainable Futures)
Show Figures

Figure 1

26 pages, 10129 KB  
Article
Numerical and Experimental Study on the Influence of Large-Section Rectangular Pipe Jacking Construction on Existing Subway Tunnels: A Case Study
by Chenze Huang, Jizhixian Liu, Junzhou Huang, Pei Fu, Shan Yang, Kai Liu and Cai Wu
Infrastructures 2026, 11(2), 53; https://doi.org/10.3390/infrastructures11020053 - 4 Feb 2026
Viewed by 428
Abstract
With the increasing density of urban underground space development, the soil disturbance induced by large-section rectangular pipe jacking poses a significant threat to the safety of underlying subway tunnels. Taking the Lihe Road utility tunnel project in Wuhan, which crosses over Metro Line [...] Read more.
With the increasing density of urban underground space development, the soil disturbance induced by large-section rectangular pipe jacking poses a significant threat to the safety of underlying subway tunnels. Taking the Lihe Road utility tunnel project in Wuhan, which crosses over Metro Line 4, as the engineering background, a three-dimensional finite element (FE) model was established using Midas GTS NX to simulate the entire pipe jacking process. Field monitoring data from caisson excavation, ground improvement, pipe jacking, and backfill grouting were introduced for validation, enabling a systematic investigation of the influence mechanism of pipe jacking on existing tunnels. In the numerical simulation, the modified Mohr–Coulomb constitutive model was adopted for the soil, and a “portal-type” reinforcement system was introduced. The pipe jacking process was simulated equivalently with a 1.2 m advance per cycle. The results indicate that the ground settlement induced by pipe jacking exhibits a stage-wise accumulation pattern and eventually develops into a stable settlement trough. The vertical settlement of the tunnel follows an evolutionary law of “early occurrence in the near field, delayed response in the far field, and final convergence,” with peak settlements of 2.44 mm and 2.53 mm for the left and right lines, respectively. Ground improvement significantly mitigates soil deformation, reducing the maximum surface settlement from 45.5 mm to 11.1 mm, decreasing the tunnel’s peak vertical settlement by 37%, and reducing horizontal displacement by 64%, thereby effectively suppressing lateral soil extrusion. The proposed closed-loop analysis method of “numerical simulation–monitoring validation–measure evaluation” reveals the spatiotemporal evolution law of soil–tunnel interaction during pipe jacking construction and provides valuable reference for risk control in similar engineering projects. Full article
Show Figures

Figure 1

27 pages, 3226 KB  
Article
Dynamic Interval Prediction of Subway Passenger Flow Using a Symmetry-Enhanced Hybrid FIG-ICPO-XGBoost Model
by Qingling He, Yifan Feng, Lin Ma, Xiaojuan Lu, Jiamei Zhang and Changxi Ma
Symmetry 2026, 18(2), 288; https://doi.org/10.3390/sym18020288 - 4 Feb 2026
Viewed by 318
Abstract
To address the challenges of characterizing subway passenger flow fluctuations and overcoming the slow convergence and significant errors of existing intelligent optimization algorithms in tuning deep learning parameters for flow prediction, this study proposes a novel subway passenger flow fluctuation interval prediction model [...] Read more.
To address the challenges of characterizing subway passenger flow fluctuations and overcoming the slow convergence and significant errors of existing intelligent optimization algorithms in tuning deep learning parameters for flow prediction, this study proposes a novel subway passenger flow fluctuation interval prediction model based on a Symmetry-Enhanced FIG-ICPO-XGBoost model. The core innovation is an Improved Cheetah Optimization Algorithm (ICPO), which incorporates enhancements including Circle mapping for population initialization, a hybrid strategy of dimension-by-dimension pinhole imaging opposition-based learning and Cauchy mutation to escape local optima, and adaptive variable spiral search with inertia weight to balance exploration and exploitation. The construction of this methodology embodies the concept of symmetry in algorithm design. For instance, Circle mapping achieves uniformity and ergodicity in the initial distribution of the population within the solution space, reflecting the symmetric principle of spatial coverage. Dimension-by-dimension pinhole imaging opposition-based learning generates opposite solutions through the principle of mirror symmetry, effectively expanding the search space. The adaptive variable spiral search strategy dynamically adjusts the spiral shape, simulating the symmetric relationship of dynamic balance between exploration and exploitation. Utilizing fuzzy-granulated passenger flow data (LOW, R, UP) from Harbin, the ICPO was employed to optimize XGBoost hyperparameters. Experimental results demonstrate the superior performance of the ICPO on 12 benchmark functions. The ICPO-XGBoost model achieves mean MAE, RMSE, and MAPE values of 10,291, 10,612, and 5.8%, respectively, for the predictions of the LOW, R, and UP datasets. Compared to existing models such as CPO-XGBoost, PSO-BiLSTM, GA-BP, and CNN-LSTM, these values represent improvements ranging from 4541 to 13,161 for MAE, 5258 to 14,613 for RMSE, and 2.6% to 7.2% for MAPE. The proposed model provides a reliable theoretical and data-driven foundation for optimizing subway train schedules and station passenger flow management. Full article
Show Figures

Figure 1

19 pages, 4741 KB  
Article
Research on Multi-Objective Path Planning for Emergency Evacuation in Subway Stations Using an Integrated and Improved Ant Colony-Genetic Algorithm
by Fuyu Wang, Jiajia Zhou, Ya Liu and Yan Li
Systems 2026, 14(2), 141; https://doi.org/10.3390/systems14020141 - 29 Jan 2026
Viewed by 452
Abstract
To address the safety and efficiency challenges in planning emergency evacuation routes for personnel in complex environments, this study proposes an integrated and improved ant colony optimization (ACO) with a genetic algorithm (GA). First, an emergency evacuation route planning model for subway incidents [...] Read more.
To address the safety and efficiency challenges in planning emergency evacuation routes for personnel in complex environments, this study proposes an integrated and improved ant colony optimization (ACO) with a genetic algorithm (GA). First, an emergency evacuation route planning model for subway incidents is constructed by optimizing evacuation time, route risk, and the passenger panic index. Then, the ant colony algorithm is enhanced by assigning pheromones to each objective and optimizing the state transition probabilities, which helps avoid premature convergence on local optima. Simultaneously, a GA is employed to conduct a global search and generate an initial population, which serves as the initial pheromone for the ACO. This approach achieves the integration of ACO and GA, enabling them to synergistically leverage the advantages of global and local search. Finally, an evacuation simulation was conducted using a specific subway station as an example, and the results were compared with those of traditional algorithms. The results indicate that the proposed algorithm can find the optimal solution for all evacuation routes and significantly improve convergence speed and global search capabilities. In simulations across different hazard development stages, the proposed integrated method outperforms basic ACO and SSA by accounting for evacuation time, safety, and crowd panic to yield optimal routes. Full article
(This article belongs to the Section Artificial Intelligence and Digital Systems Engineering)
Show Figures

Figure 1

Back to TopTop