Numerical and Experimental Study on the Influence of Large-Section Rectangular Pipe Jacking Construction on Existing Subway Tunnels: A Case Study
Abstract
1. Introduction
2. Project Overview
2.1. Background
2.2. Geological and Hydrogeological Conditions
2.3. Construction Scheme of the Pipe Jacking Process
- (1)
- Construction preparation stage: Preparatory works included detailed site investigation, review of design drawings, installation of the monitoring system, and coordination with the metro operation authority. Control standards for tunnel deformation and an emergency response mechanism were also established.
- (2)
- Caisson shaft construction stage: Caisson shafts were constructed at both the northern and southern ends of the pipe jacking section. Considering the complex conditions of high soil permeability, abundant groundwater, and close proximity to the metro tunnel, a combined method of “five-side enclosure + curtain dewatering wells” was adopted to ensure excavation safety and effective groundwater control. The “five-side enclosure” refers to the installation of a diaphragm water-sealing curtain formed by Deep Cement Mixing (DCM) around the four sides of the shaft, combined with bottom grouting reinforcement, thereby establishing a three-dimensional water-sealing system to effectively block groundwater seepage. The “curtain dewatering wells” were installed within the curtain area to actively control the groundwater table and reduce disturbances to the shaft and surrounding strata. Since the caisson was located within a confined aquifer, dewatering could potentially cause adverse effects on the metro structure. To mitigate these risks, particular attention was paid to the safety design of the dewatering system: (i) standby dewatering wells were uniformly installed inside the water-sealing curtain to prevent external hydraulic head expansion; (ii) during construction, the sinking attitude and rate of the caisson were strictly controlled to avoid differential settlement or sudden water inrush that could compromise the metro tunnel’s structural safety. This construction method is especially suitable for caisson sinking in complex geological conditions such as proximity to metro lines, densely distributed pipelines, and water-rich sandy strata. The structural layout and reinforcement measures are shown in Figure 2.
- (3)
- Ground reinforcement stage: To control potential disturbances to the metro tunnel during pipe jacking and ensure the stability of the overcrossing foundation, a composite reinforcement scheme was adopted. This scheme combined the Deep Cement Mixing (DCM) and Multi-axis Jet Grouting System (MJS) methods, arranged in different zones to form a continuous and integrated “portal-type” reinforcement system. Specifically, in the area directly above and at both ends of the pipe-jacking section, DCM columns with a diameter of 850 mm and a spacing of 600 mm (D850@600) were installed. The reinforcement depth was approximately 15.03 m, consisting of a strong reinforcement zone of 7.4 m and a weak reinforcement zone of 7.63 m, which provided rigid support for the existing tunnel and significantly improved the shear strength and deformation resistance of the foundation. In the region above the pipe-jacking section, where multiple underground utilities intersected and construction space was limited, the MJS technique was applied to form inclined grouting piles with a reinforcement thickness ranging from 6.6 m to 7.4 m. The specific layout of the reinforced zones is shown in Figure 2. After completion, the reinforced body was required to be cured for 28 days, ensuring that the unconfined compressive strength exceeded 1.0 MPa and the permeability coefficient was less than 1.0 × 10−7 cm/s. In addition, horizontal exploration boreholes were arranged within the reinforcement area to examine the integrity, uniformity, and water-sealing performance of the strengthened stratum.
- (4)
- Pipe-jacking stage: During this stage, a total of 53 pipe segments with a length of 1.2 m each were installed, resulting in a total jacking distance of approximately 63.6 m (see Figure 2b). A laser-guided navigation system was employed throughout the process to precisely control the jacking alignment and orientation. In combination with synchronous grouting, short-step advancement, and special deformation-control measures for the metro section, these techniques effectively minimized disturbances to the existing tunnel structure during jacking.
- (5)
- Post-construction and monitoring stage: After the completion of the jacking operation, subsequent works—including pipe cleaning, structural installation, and backfilling and reinforcement of the working shafts—were carried out promptly. The monitoring program continued until the structural deformations stabilized, ensuring that the metro tunnel remained in safe and normal operation without any abnormal responses.
3. Three-Dimensional Numerical Model
3.1. Model Development
3.2. Material Parameter Configuration
3.2.1. Constitutive Model and Parameters of Soil
3.2.2. Modeling Parameters of Concrete Structures
3.3. Numerical Simulation of the Full Process of Pipe Jacking Construction
4. Results
4.1. Analysis of Soil Deformation Characteristics
4.2. Tunnel Deformation Characteristics
4.2.1. Vertical Deformation of Tunnels
4.2.2. Analysis of Tunnel Horizontal Deformation
5. Discussion
5.1. Comparison Between Numerical Simulation and Field Monitoring During Pipe Jacking
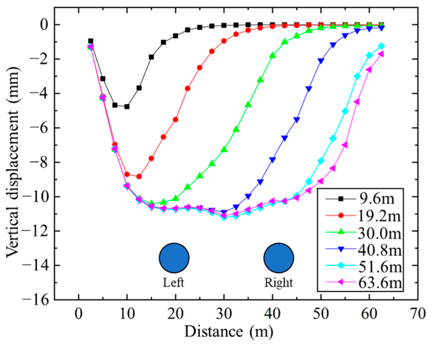
5.1.1. Comparison of Ground Surface Deformation Results During Pipe Jacking
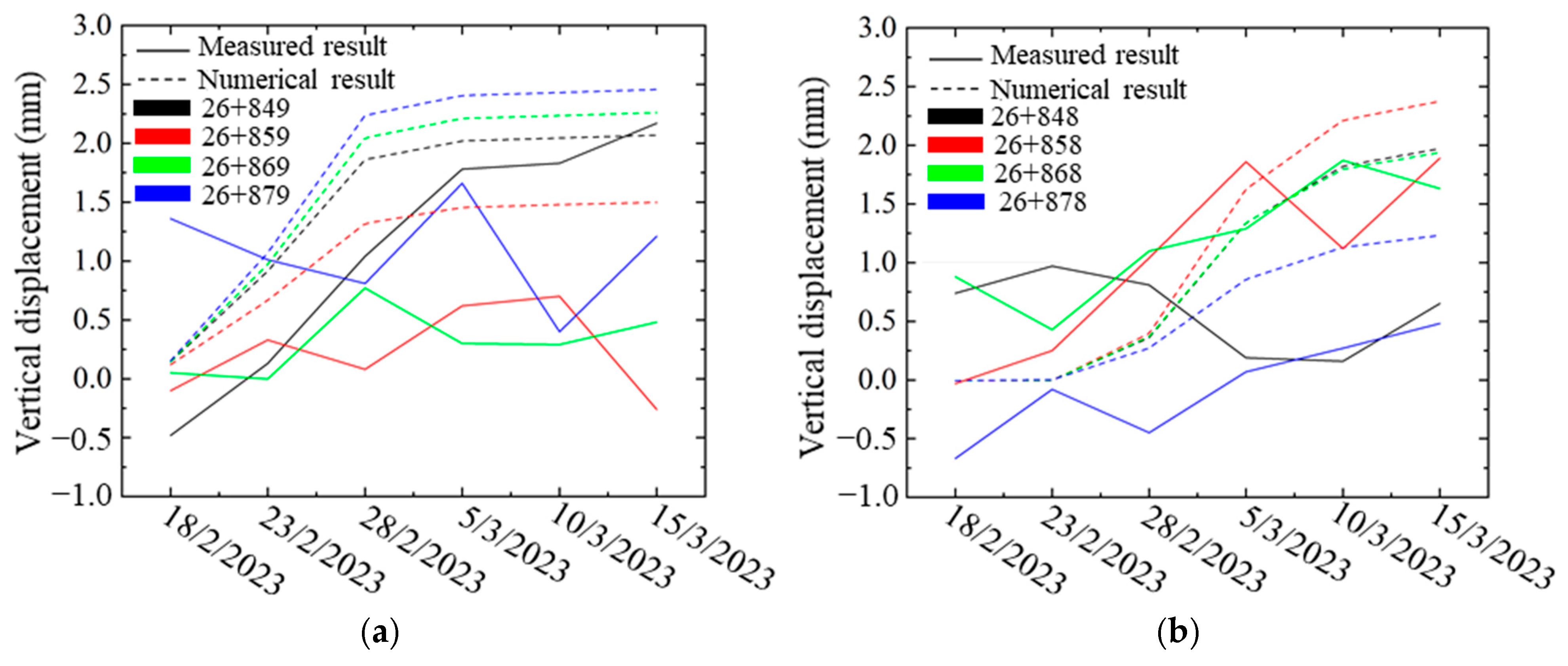
5.1.2. Comparison of Tunnel Deformation Results
5.2. Analysis of Ground Reinforcement Effect
5.3. Parameters Sensitive Analysis
5.4. Methodological Limitations
6. Conclusions
- (1)
- Surface settlement characteristics. The surface settlement induced by pipe jacking exhibits a typical settlement trough pattern, with settlement magnitude increasing and gradually stabilizing as jacking progresses. Both numerical simulation and field monitoring show that the maximum settlement occurs above the jacking axis, reaching approximately 10–11 mm at the end of construction, with a lateral influence range of about 60 m. The simulated and measured values differ by less than 0.5 mm, indicating good accuracy of the numerical model in predicting surface deformation.
- (2)
- Tunnel deformation response. The metro tunnels exhibit clear spatiotemporal deformation characteristics during pipe jacking. The left tunnel responds earlier due to its proximity to the launching shaft, while the settlements of the two tunnels gradually converge as jacking advances, with a maximum vertical displacement of approximately 2.5 mm. Horizontal displacement evolves differently at various stages, but both tunnels eventually stabilize with values of 0.4–0.6 mm. The numerical simulation effectively captures the evolution trend and magnitude of tunnel deformation, showing good agreement with the field monitoring results.
- (3)
- Effect of ground reinforcement. Ground reinforcement significantly reduces construction-induced deformation. Without reinforcement, the maximum surface settlement and tunnel vertical and horizontal displacements reach 45.5 mm, 3.93 mm, and 1.97 mm, respectively. After applying the DCM + MJS composite reinforcement scheme, these values decrease to 11.14 mm, 2.46 mm, and 0.71 mm, respectively, demonstrating that the reinforcement system effectively enhances ground stability and controls tunnel deformation.
- (4)
- Sensitivity of soil parameters. The parameter sensitivity analysis indicates that tunnel displacements decrease with increasing soil stiffness and strength (E, c, φ), with E having the strongest influence. Despite moderate variations in soil parameters, the overall deformation patterns and spatial distribution remain essentially unchanged, confirming the robustness of the numerical results and the reliability of the adopted modeling assumptions.
Author Contributions
Funding
Data Availability Statement
Conflicts of Interest
References
- Hunt, D.V.L.; Nash, D.; Rogers, C.D.F. Sustainable utility placement via Multi-Utility Tunnels. Tunn. Undergr. Space Technol. 2014, 39, 15–26. [Google Scholar] [CrossRef]
- Yang, C.; Peng, F.L. Discussion on the Development of Underground Utility Tunnels in China. Procedia Eng. 2016, 165, 540–548. [Google Scholar] [CrossRef]
- Lianhui, J. Application of Rectangular Pipe Jacking Machine to Urban Underground Space Development and Its Prospects. Tunn. Constr. 2016, 36, 1672–1741X. [Google Scholar]
- Limin, P.; Zhe, W.; Yichao, Y.; Weichao, Y. Technological development and research status of rectangular pipejacking method. Tunn. Constr. 2015, 35, 1–8. [Google Scholar]
- Khazaei, S.; Shimada, H.; Matsui, K. Analysis and Prediction of Thrust in Using Slurry Pipe Jacking Method. Tunn. Undergr. Space Technol. 2004, 19, 356. [Google Scholar] [CrossRef]
- Zhou, S.; Wang, Y.; Huang, X. Experimental study on the effect of injecting slurry inside a jacking pipe tunnel in silt stratum. Tunn. Undergr. Space Technol. 2009, 24, 466–471. [Google Scholar] [CrossRef]
- Qihu, Q.; Chaofu, L.; Deming, F. Applicationsituation and outlook of TBM in underground project in China. Constr. Mach. 2002, 5, 28–35. [Google Scholar]
- Huo, C.; Ruan, H.; LI, Z.; Liang, R.; Xiao, M.; Gao, K.; Guo, Y. Analysis on impacts of dual-line rectangular pipe jacking over-crossing construction on metro shield tunnels. J. Beiing Jiaotong Univ. 2024, 48, 1–10. [Google Scholar]
- Jiang, Z.; Zhang, B.; Liu, S.; Wang, H.; Liu, Y. lnuence of large-section rectanguar pipe jacking on defommation of existing subway tunnels. J. Eng. Geol. 2022, 30, 1703–1712. [Google Scholar]
- Wei, G.; Yang, B.; Wu, H.; Zhang, X. Research on longitudinal deformation of existing shield tunnel caused by shield tunneling. Chin. J. Undergr. Space Eng. 2020, 16, 1754–1762. (In Chinese) [Google Scholar]
- Cheng, L.Y.; Ariaratnam, S.T.; Chen, S.X. Analytical solution for predicting ground deformation associated with pipe jacking. J. Pipeline Syst. Eng. Pract. 2017, 8, 04017008. [Google Scholar] [CrossRef]
- Xu, Y.; Shi, M.; Li, Y.; Zhang, Z. Study on vertical deformation of ground surface caused by construction of large section soil pressure balanced rectangular pipe jacking. Eng. J. Wuhan Univ. 2020, 53, 597–604. [Google Scholar]
- Dai, Z. Study on Mechanism of Segment Crack and Fracture of Underlying Shield Tunnel Caused by Extensive Excavation and Unloading of Ground Surface. China Railw. Sci. 2017, 38, 62–69. [Google Scholar]
- Tang, P. Study on the Influence of Rectangular Pipe Jacking Construction on Subway Tunnel. Chin. J. Undergr. Space Eng. 2020, 16, 215–223. [Google Scholar]
- Wang, Y.; Zhang, D.; Fang, Q.; Liu, X.; Wang, J. Analytical solution on ground deformation caused by parallel construction of rectangular pipe jacking. Appl. Sci. 2022, 12, 3298. [Google Scholar] [CrossRef]
- Feng, S.; Zhou, K.; Zhang, J.; Cheng, Z.; Peng, P. Study on the Impact of Large-Section Rectangular Pipe Jacking Construction on Existing Pipelines. Eng. Mech. Gongcheng Lixue 2024, 41, 1–12. [Google Scholar]
- Li, F.; Ma, Y.; Wu, H.; Pang, J.; Qin, C.; Ding, H.; Yin, W. Impact of Large-Section Pipe Jacking Construction on Mixed Strata and Existing Pipelines. Railw. Investig. Surv. 2025, 51, 163–169. [Google Scholar]
- Ma, C.; Zhou, H.; Ma, B. Influence on Existing Underlying Metro Tunnel Deformation from Small Clear-Distance Rectangular Box Jacking: Monitoring and Simulation. Buildings 2025, 15, 2547. [Google Scholar] [CrossRef]
- Tian, X.; Shen, X.; Song, Z.; Ma, P.; Fan, S. Deformation and Control Measures of Existing Metro Shield Tunnels Induced by Large-Section Pipe Jacking over-Crossing: A Case Study. Buildings 2025, 15, 2105. [Google Scholar] [CrossRef]
- Ansari, A.; Sadique, M.R.; Rais, I.; Masroor Alam, M. Comprehensive study of twin tunnel-soil-structure interaction: Geostatic, superstructure, and seismic effects. Multiscale Multidiscip. Model. Exp. Des. 2025, 8, 203. [Google Scholar] [CrossRef]
- Haque, M.F. Analytical solution of Tunnel-Soil-Tunnel (TST) interaction under seismic excitation. Geomech. Geoengin. 2024, 19, 652–667. [Google Scholar] [CrossRef]
- Almashhadany, O.Y.; Albusoda, B.S. Assessment of Soil Tunnel Interaction in Sand Soil. IOP Conf. Ser. Mater. Sci. Eng. 2019, 584, 012057. [Google Scholar] [CrossRef]
- Xu, J.; Gao, M.; Wang, Y.; Yu, Z.; Zhao, J.; DeJong, M.J. Numerical Investigation of the Effects of Separated Footings on Tunnel-Soil-Structure Interaction. J. Geotech. Geoenvironmental Eng. 2025, 151, 432–448. [Google Scholar] [CrossRef]
- Huang, A.B.; Wang, C.C.; Lee, J.T.; Ho, Y.-T.; Chen, C.-H. Long-term field monitoring of shield tunnel lining. Geotech. Res. 2014, 1, 99–108. [Google Scholar] [CrossRef]
- Wang, J.; Liang, H.; Tang, M.; Zhang, J.; He, J.; He, H.; Wang, J.; Tian, X.; Huang, R. Field and Numerical Study of Tunnel Invert Deformation in Gently Dipping Rock Layers. Geotech. Geol. Eng. 2026, 44, 6. [Google Scholar] [CrossRef]
- Zhou, Y.; Sun, F.; Zhang, D.; Wen, M.; Zhang, Z.; Li, K.; Zhou, B. Numerical Simulation of Visualized Grout Diffusion in Backfill-grouting of Shield Tunnel. In E3S Web of Conferences; EDP Sciences: Les Ulis, France, 2025; Volume 618, p. 02020. [Google Scholar]
- Wang, Y.; Huang, Z.; Hu, R.; Bai, L.; Zheng, J.; Chen, Y.; Bai, X. Numerical simulation analysis of pile-soil interaction under earthquake action. PLoS ONE 2025, 20, e0312689. [Google Scholar] [CrossRef]
- Han, G.; Zhang, Y.; Zhang, J.; Zhang, H. Numerical Analysis and Optimization of Displacement of Enclosure Structure Based on MIDAS Finite Element Simulation Software. Buildings 2025, 15, 1462. [Google Scholar] [CrossRef]
- Liao, H.; Qing, W.; Zhang, Z.; Zhou, D. Finite element analysis for influence of shield tunneling on settlement of ground surface in loess strata. Hsi-Chiao Tung Ta Hsueh J. Xi’an Jiaotong Univ. 2006, 40, 1343–1347. [Google Scholar]
- Karakus, M.; Ozsan, A.; Basarir, H. Finite element analysis for the twin metro tunnel constructed in Ankara Clay, Turkey. Bull. Eng. Geol. Environ. 2007, 66, 71–79. [Google Scholar] [CrossRef]
- Zhang, Z.X.; Liu, C.; Huang, X.; Kwok, C.; Teng, L. Three-dimensional finite-element analysis on ground responses during twin-tunnel construction using the URUP method. Tunn. Undergr. Space Technol. Inc. Trenchless Technol. Res. 2016, 58, 133–146. [Google Scholar] [CrossRef]
- GB 50010-2010; Code for Design of Concrete Structures. Architecture & Building Press: Beijing, China, 2010.
- GB 50009-2012; Load Code for the Design of Building Structures. Architecture & Building Press: Beijing, China, 2012.
- JGJ 79-2002; Technical Code for Ground Treatment of Buildings. Architecture & Building Press: Beijing, China, 2002.
- Vilca, N.S.; Gomez-Amador, A.M.; Jiménez de Cisneros Fonfría, J.J. Soil–Structure Interaction Analysis Using the Finite Element Method in Thin-Walled Steel Pipes Buried under Haul Roads. Appl. Sci. 2023, 14, 167. [Google Scholar] [CrossRef]
- Peck, R.B. Deep excavations and tunneling in soft ground. In Proceedings of the 7th International Conference on Soil Mechanics and Foundation Engineering, Mexico City, Mexico, 25–29 August 1969; State of the Art Volume; Sociedad Mexicana de Mecanica de Suelos: Mexico City, Mexico, 1969; pp. 266–290. [Google Scholar]
















| Soil Layer Name | Constitutive Model | Water Content ω (%) | Unit Weight (kN/m3) | c (kPa) | φ (°) | Poisson’s Ratio | Elastic Modulus (MPa) | Thickness (m) |
|---|---|---|---|---|---|---|---|---|
| 2-1 Unconsolidated Fill | Modified Mohr–Coulomb Model | 34.8 | 18.4 | 8 | 18 | 0.35 | 5.0 | 3.50 |
| 3-1 Silty Clay | Modified Mohr–Coulomb Model | 28.5 | 19.1 | 20 | 20 | 0.38 | 9.0 | 6.16 |
| 3-2 Silty Clay | Modified Mohr–Coulomb Model | 33.5 | 18.5 | 20 | 18 | 0.38 | 7.5 | 2.50 |
| 3-5 Silty Clay with Silt and Sand | Modified Mohr–Coulomb Model | 33.2 | 18.3 | 15 | 23 | 0.35 | 10.0 | 4.10 |
| 4-1 Silty Sand | Modified Mohr–Coulomb Model | / | 18.5 | 0 | 28 | 0.30 | 15.0 | 6.24 |
| 4-2 Fine Sand | Modified Mohr–Coulomb Model | / | 18.8 | 0 | 30 | 0.28 | 20.0 | 10.00 |
| 6-1 Silty clay with clay interbeds | Modified Mohr–Coulomb Model | 31.2 | 18.6 | 20 | 18 | 0.35 | 15.0 | 22.50 |
| Structural Name | Density ρ (kg/m3) | E (MPa) | Poisson’s Ratio |
|---|---|---|---|
| Caisson shaft wall | 2500 | 30,000 | 0.20 |
| Jack-in pipe | 2500 | 32,000 | 0.20 |
| Deep Cement Mixing column | 2000 | 2000 | 0.20 |
| Multi-Jet System grouting column | 2000 | 2000 | 0.20 |
| Step No. | Simulation Stage | Description of Simulation |
|---|---|---|
| 1 | Initial Geostress Equilibrium | Establish the initial stress field considering the self-weight of the soil and surface surcharge. Gravity balance is achieved, and soil deformation is controlled within < 10−5 m. |
| 2 | Metro Tunnel Structure Activation | Activate the shield tunnel lining elements and deactivate the surrounding soil to represent the existing metro tunnel structure. |
| 3 | Ground Reinforcement Simulation | Replace the corresponding soil zones with equivalent DCM and MJS elements to simulate the formation of the “portal-type” composite reinforcement system. |
| 4 | Caisson Excavation | Directly excavate the soil within the caisson working pit and activate the shaft wall elements to simulate the caisson construction in a single step. |
| 5 | Sequential Pipe Jacking | Advance the jacking segment by 1.2 m per step, deactivate the soil ahead, and activate the current pipe segment and support elements until all 53 segments are installed. |
Disclaimer/Publisher’s Note: The statements, opinions and data contained in all publications are solely those of the individual author(s) and contributor(s) and not of MDPI and/or the editor(s). MDPI and/or the editor(s) disclaim responsibility for any injury to people or property resulting from any ideas, methods, instructions or products referred to in the content. |
© 2026 by the authors. Licensee MDPI, Basel, Switzerland. This article is an open access article distributed under the terms and conditions of the Creative Commons Attribution (CC BY) license.
Share and Cite
Huang, C.; Liu, J.; Huang, J.; Fu, P.; Yang, S.; Liu, K.; Wu, C. Numerical and Experimental Study on the Influence of Large-Section Rectangular Pipe Jacking Construction on Existing Subway Tunnels: A Case Study. Infrastructures 2026, 11, 53. https://doi.org/10.3390/infrastructures11020053
Huang C, Liu J, Huang J, Fu P, Yang S, Liu K, Wu C. Numerical and Experimental Study on the Influence of Large-Section Rectangular Pipe Jacking Construction on Existing Subway Tunnels: A Case Study. Infrastructures. 2026; 11(2):53. https://doi.org/10.3390/infrastructures11020053
Chicago/Turabian StyleHuang, Chenze, Jizhixian Liu, Junzhou Huang, Pei Fu, Shan Yang, Kai Liu, and Cai Wu. 2026. "Numerical and Experimental Study on the Influence of Large-Section Rectangular Pipe Jacking Construction on Existing Subway Tunnels: A Case Study" Infrastructures 11, no. 2: 53. https://doi.org/10.3390/infrastructures11020053
APA StyleHuang, C., Liu, J., Huang, J., Fu, P., Yang, S., Liu, K., & Wu, C. (2026). Numerical and Experimental Study on the Influence of Large-Section Rectangular Pipe Jacking Construction on Existing Subway Tunnels: A Case Study. Infrastructures, 11(2), 53. https://doi.org/10.3390/infrastructures11020053

