Sign in to use this feature.

Years

Between: -

Subjects

remove_circle_outline
remove_circle_outline
remove_circle_outline
remove_circle_outline
remove_circle_outline
remove_circle_outline
remove_circle_outline
remove_circle_outline

Journals

Article Types

Countries / Regions

remove_circle_outline
remove_circle_outline
remove_circle_outline
remove_circle_outline

Search Results (258)

Search Parameters:
Keywords = subgridding

Order results
Result details
Results per page
Select all
Export citation of selected articles as:
24 pages, 3321 KB  
Article
On the Stable Integration of Neural Network Parameterization in Numerical Models
by Yifan Wang, Weizhi Huang, Hao Geng, Yi Ma and Leyi Wang
Atmosphere 2026, 17(3), 306; https://doi.org/10.3390/atmos17030306 - 17 Mar 2026
Viewed by 249
Abstract
Deep learning-based parameterizations of subgrid-scale processes have become a major research focus in recent years, offering the potential to remedy inaccuracies inherent in traditional physics-based schemes. However, their integral stability within numerical models remains insufficiently explored. In this study, we develop deep learning [...] Read more.
Deep learning-based parameterizations of subgrid-scale processes have become a major research focus in recent years, offering the potential to remedy inaccuracies inherent in traditional physics-based schemes. However, their integral stability within numerical models remains insufficiently explored. In this study, we develop deep learning parameterizations for the tropical cyclone boundary layer and implement them in the WRF model. We find that one-dimensional convolutional neural network fails to integrate stably, whereas a fully connected network succeeds. Further analysis shows that the limited receptive field of the convolutional network makes its outputs overly sensitive to certain input perturbations, ultimately causing integral instability. We examine three stabilization strategies—training data augmentation with Gaussian noise, spectral norm regularization, and L2 regularization—and find that all three methods effectively mitigate the network’s output sensitivity to input perturbations, enabling stable integration in WRF and yielding physically reasonable tropical cyclone simulations. Full article
(This article belongs to the Special Issue Atmospheric Modeling with Artificial Intelligence Technologies)
Show Figures

Figure 1

23 pages, 1449 KB  
Article
Parametrization of Subgrid Scales in Long-Term Simulations of the Shallow-Water Equations Using Machine Learning and Convex Limiting
by Md Amran Hossan Mojamder, Zhihang Xu, Min Wang and Ilya Timofeyev
Fluids 2026, 11(3), 76; https://doi.org/10.3390/fluids11030076 - 12 Mar 2026
Viewed by 328
Abstract
We present a method for parametrizing sub-grid processes in the shallow water equations. We define coarse variables and local spatial averages and use a feed-forward neural network to learn sub-grid fluxes. Our method results in a local parametrization that uses a four-point computational [...] Read more.
We present a method for parametrizing sub-grid processes in the shallow water equations. We define coarse variables and local spatial averages and use a feed-forward neural network to learn sub-grid fluxes. Our method results in a local parametrization that uses a four-point computational stencil, which has several advantages over globally coupled parametrizations. We demonstrate numerically that our method improves energy balance in long-term turbulent simulations and also accurately reproduces individual solutions. The long-term simulations refer to numerical studies where a fluid flow is simulated over a duration long enough to reach a statistical steady state. The neural network parametrization can be easily combined with flux limiting to reduce oscillations near shocks. More importantly, our method provides reliable parametrizations, even in dynamical regimes that are not included in the training data. Full article
Show Figures

Figure 1

22 pages, 446 KB  
Article
Irreversibility by Singular Limits: An Ontological Account of Turbulent Dissipation (Euler, Onsager, and the Defect Measure)
by Waleed Mouhali
Philosophies 2026, 11(2), 29; https://doi.org/10.3390/philosophies11020029 - 28 Feb 2026
Viewed by 631
Abstract
We argue that turbulent irreversibility is best explained as an asymptotic feature of a singular inviscid limit—a reclassification of admissible entities and balances at ν0—rather than as a mere residual effect of molecular viscosity. Tracing a conceptual line from Euler [...] Read more.
We argue that turbulent irreversibility is best explained as an asymptotic feature of a singular inviscid limit—a reclassification of admissible entities and balances at ν0—rather than as a mere residual effect of molecular viscosity. Tracing a conceptual line from Euler and Kármán–Howarth to Onsager, Duchon–Robert, Kato/Prandtl, and modern convex integration results, we show that the limit theory reclassifies the admissible entities: from smooth Euler fields (energy conserving) to rough weak solutions equipped with a positive defect measure in the energy balance. The constant inter-scale process (energy flux) observed at high-Reynolds number therefore persists at ν=0 as a structural feature of the limit ontology. We articulate three selection principles—the local energy inequality, the exact third-order law, and scale-locality—as ontological constraints that reconcile mathematical non-uniqueness with physical uniqueness. A brief conceptual history clarifies how the arrow of time in turbulence emerged through successive shifts of entities and invariants, and a comparison with other singular limit explanations (Boltzmannian irreversibility, shocks, renormalization) situates the account within general foundations of physics. Methodologically, we recast LES/closures as asymptotic mediators validated by flux plateaus and viscosity-free diagnostics, not microscopic subgrid fidelity. Full article
(This article belongs to the Special Issue Ontological Perspectives in the Philosophy of Physics)
Show Figures

Figure 1

38 pages, 106096 KB  
Article
Validating the CROCODILE Model Within the AGORA Galaxy Simulation Framework
by Pablo Granizo, Yuri Oku and Kentaro Nagamine
Galaxies 2026, 14(2), 14; https://doi.org/10.3390/galaxies14020014 - 27 Feb 2026
Viewed by 810
Abstract
Numerical galaxy formation simulations are sensitive to numerical methods and sub-grid physics models, making code comparison projects essential for quantifying uncertainties. Here, we evaluate gadget4-osaka within the AGORA project framework by conducting a systematic comparison with its predecessor. We perform an [...] Read more.
Numerical galaxy formation simulations are sensitive to numerical methods and sub-grid physics models, making code comparison projects essential for quantifying uncertainties. Here, we evaluate gadget4-osaka within the AGORA project framework by conducting a systematic comparison with its predecessor. We perform an isolated disk galaxy and a cosmological zoom-in run of a Milky Way-mass halo, following the multi-step AGORA calibration procedure. By systematically deconstructing the updated stellar feedback model, we demonstrate that mechanical momentum injection is necessary to suppress unphysical gas fragmentation and regulate star formation, yielding agreement with the Kennicutt–Schmidt relation. Meanwhile, stochastic thermal heating is essential for driving a hot metal-enriched gaseous halo, thereby creating a multiphase circumgalactic medium that is absent in the predecessor code. In the cosmological context, we calibrate the simulation to match the stellar mass growth history targeted by the AGORA collaboration. The validated gadget4-osaka simulation has been contributed to the AGORA CosmoRun suite, providing a new data point for understanding the impact of numerical and physical modeling choices on galaxy evolution. Full article
Show Figures

Figure 1

24 pages, 7308 KB  
Article
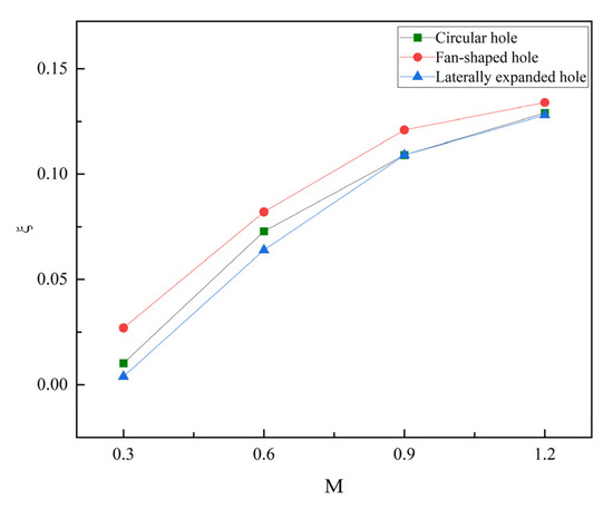
Numerical Simulation of Aerodynamic Losses in Flat-Plate Film Cooling Using Vortex Dynamics
by Xiaoyu Tan and Ruoling Dong
Processes 2026, 14(5), 763; https://doi.org/10.3390/pr14050763 - 26 Feb 2026
Viewed by 260
Abstract
Gas film cooling is a widely adopted technique for the thermal protection of gas turbine blades. However, a trade-off exists between reduced cooling effectiveness and increased aerodynamic losses. The underlying mechanism was investigated through large eddy simulation (LES) with the WALE subgrid-scale model, [...] Read more.
Gas film cooling is a widely adopted technique for the thermal protection of gas turbine blades. However, a trade-off exists between reduced cooling effectiveness and increased aerodynamic losses. The underlying mechanism was investigated through large eddy simulation (LES) with the WALE subgrid-scale model, applied to a flat-plate, single-hole model. The flow characteristics, flow field structures, and aerodynamic loss generation mechanisms of circular, fan-shaped, and laterally expanded holes were systematically examined for blowing ratios ranging from 0.3 to 1.2. The results indicate that all three hole geometries provide adequate film coverage at low blowing ratios. At high blowing ratios, however, the cooling performance is degraded by jet penetration in the circular hole and flow recirculation within the fan-shaped hole. In contrast, the laterally expanded hole demonstrates superior film adhesion stability. In terms of aerodynamic loss, the circular and fan-shaped holes incur higher losses, whereas the laterally expanded hole exhibits the lowest loss under all conditions, which is attributed to its effective tangential momentum dispersion. This study elucidates the influences of orifice geometry and vortex structure evolution on both cooling effectiveness and aerodynamic loss, providing valuable insights for the optimization of gas film cooling design in gas turbines. Full article
(This article belongs to the Section Energy Systems)
Show Figures

Figure 1

34 pages, 5487 KB  
Article
Study on Internal Flow Characteristics of Airless Spray Nozzles Based on an Improved Dynamic WALE Model
by Guichun Yang, Zhaojie Wu, Jiang Li, Weixing Hua, Gang Fang, Shiming Chen and Yan Chen
Coatings 2026, 16(2), 248; https://doi.org/10.3390/coatings16020248 - 14 Feb 2026
Viewed by 494
Abstract
Cavitation flow within airless spray nozzles critically influences both atomization quality and nozzle longevity. However, its highly transient and multiphase-coupled nature poses significant challenges to the predictive accuracy of turbulence models. To improve numerical simulation fidelity, this study develops an improved dynamic Wall-Adapting [...] Read more.
Cavitation flow within airless spray nozzles critically influences both atomization quality and nozzle longevity. However, its highly transient and multiphase-coupled nature poses significant challenges to the predictive accuracy of turbulence models. To improve numerical simulation fidelity, this study develops an improved dynamic Wall-Adapting Local Eddy-viscosity (WALE) subgrid-scale model for Large Eddy Simulation (LES). Building on the standard WALE formulation, the model incorporates a dynamic coefficient determined via the Germano identity and a least-squares approach, which enables it to adaptively capture the turbulence modulation effects induced by cavitation. Coupled with a Volume of Fluid (VOF) multiphase flow method, this framework is employed to systematically simulate the complex internal nozzle flow under varying spray pressures, coating viscosities, and surface tensions. Results indicate that the improved dynamic WALE model increases numerical stability by approximately 15% compared with the standard model. The internal flow can be partitioned into three regions: a potential-flow acceleration region, a cavitation-induced fluctuation region, and an outlet formation region. Within the cavitation-induced fluctuation region near the wall, cavitation generates a local double-peaked velocity profile and pronounced pressure pulsations. Cavitation intensity increases approximately linearly with spray pressure but decreases with increasing viscosity and surface tension. Both the discharge coefficient and velocity coefficient decrease linearly with increasing cavitation number, indicating that moderate cavitation can enhance instantaneous throughput by altering the flow-field structure. Finally, outflow mass-flow experiments validate the numerical model’s reliability: the improved dynamic WALE model achieves prediction errors ranging from 0.47% to 11.91%, substantially outperforming the standard WALE model, which has errors ranging from 1.27% to 21.10%. Full article
(This article belongs to the Section Surface Characterization, Deposition and Modification)
Show Figures

Figure 1

19 pages, 3211 KB  
Article
Interaction Between the Longshore Current and the Undertow Induced by the Turbulent Flow in the Surf Zone of Oblique Spilling Breakers
by Gerasimos A. Kolokythas and Athanassios A. Dimas
Coasts 2026, 6(1), 5; https://doi.org/10.3390/coasts6010005 - 6 Feb 2026
Viewed by 294
Abstract
The three-dimensional, turbulent, free-surface flow developing in the surf zone over a constant-slope beach as a result of the interaction between the longshore current and the undertow, induced by spilling wave breaking oblique to the shoreline, is numerically simulated. The simulations are performed [...] Read more.
The three-dimensional, turbulent, free-surface flow developing in the surf zone over a constant-slope beach as a result of the interaction between the longshore current and the undertow, induced by spilling wave breaking oblique to the shoreline, is numerically simulated. The simulations are performed by implementing the large-wave simulation (LWS) method in a numerical solver of the three-dimensional Navier–Stokes equations. According to the LWS method, large velocity and free-surface elevation scales are fully resolved, while the effect of the corresponding subgrid scales is modeled by eddy-viscosity stresses. The model validation is based on the comparison between the present numerical results and existing experimental measurements for a case of incident regular waves propagating normal to the shoreline over a bed of constant slope 1/35. It is found that the LWS model adequately predicts the wave-breaking parameters—breaking height and depth—and the undertow vertical profiles in the surf zone. Then, two cases of oblique waves, with wave incidence angles of 20° and 30°, and all other parameters identical to those of the validation case, are considered. The numerical results include the gradual breaking process of the refracted waves, as well as the three-dimensional structure of the longshore current and the undertow in the surf zone. In the outer surf zone, the undertow has a larger velocity magnitude than the longshore current, while in the inner surf zone, the opposite occurs. Full article
Show Figures

Figure 1

26 pages, 8387 KB  
Article
Machine Learning as a Lens on NWP ICON Configurations Validation over Southern Italy in Winter 2022–2023—Part I: Empirical Orthogonal Functions
by Davide Cinquegrana and Edoardo Bucchignani
Atmosphere 2026, 17(2), 132; https://doi.org/10.3390/atmos17020132 - 26 Jan 2026
Viewed by 369
Abstract
Validation of ICON model configurations optimized over a limited domain is essential before accepting new semi-empirical parameters that influence the behavior of subgrid-scale schemes. Because such parameters can modify the dynamics of a numerical weather prediction (NWP) model in highly nonlinear ways, we [...] Read more.
Validation of ICON model configurations optimized over a limited domain is essential before accepting new semi-empirical parameters that influence the behavior of subgrid-scale schemes. Because such parameters can modify the dynamics of a numerical weather prediction (NWP) model in highly nonlinear ways, we analyze one season of forecasts (December 2022, January and February 2023) generated with the NWP ICON-LAM through the lens of machine learning–based diagnostics as a complement to traditional evaluation metrics. The goal is to extract physically interpretable information on the model behavior induced by the optimized parameters. This work represents the first part of a wider study exploring machine learning tools for model validation, focusing on two specific approaches: Empirical Orthogonal Functions (EOFs), which are widely used in meteorology and climate science, and autoencoders, which are increasingly adopted for their nonlinear feature extraction capability. In this first part, EOF analysis is used as the primary tool to decompose weather fields from observed reanalysis and forecast datasets. Hourly 2-m temperature forecasts for winter 2022–2023 from multiple regional ICON configurations are compared against downscaled ERA5 data and in situ observations from ground station. EOF analyses revealed that the optimized configurations demonstrate a high skill in predicting surface temperature. From the signal error decomposition, the fourth EOF mode is effective particularly during night-time hours, and contributes to enhancing the performance of ICON. Analyses based on autoencoders will be presented in a companion paper (Part II). Full article
(This article belongs to the Special Issue Highly Resolved Numerical Models in Regional Weather Forecasting)
Show Figures

Figure 1

18 pages, 26343 KB  
Article
Wind Analysis of Typhoon Jebi (T1821) Based on High-Resolution WRF-LES Simulation
by Tao Tao, Bingjian Hao, Jinbo Zheng and Qingsong Zhang
Atmosphere 2026, 17(1), 110; https://doi.org/10.3390/atmos17010110 - 21 Jan 2026
Viewed by 440
Abstract
This study investigates the performance of a high-resolution Weather Research and Forecasting with large-eddy simulation (WRF-LES) model in simulating the strong wind of a realistic typhoon (Jebi, 2018). Multiple domains are nested to downscale the grid resolution from 4.5 km to 33.3 m, [...] Read more.
This study investigates the performance of a high-resolution Weather Research and Forecasting with large-eddy simulation (WRF-LES) model in simulating the strong wind of a realistic typhoon (Jebi, 2018). Multiple domains are nested to downscale the grid resolution from 4.5 km to 33.3 m, and grid size sensitivity is tested in the innermost WRF-LES domain. The commonly used 1.5-order turbulent kinetic energy (TKE) subgrid-scale (SGS) model is excessively dissipative near the ground; this causes overshoot in the mean velocity profile compared with the expected log-law profile, a phenomenon slightly amplified by finer grids. Horizontal roll structures in the typhoon boundary can be effectively resolved with the 100 m horizontal grid size (Δx). However, higher resolution is needed to capture small-scale turbulence, and the effective mesh resolution for resolved turbulence is about 5–9Δx near the ground. The nonlinear backscatter and anisotropy (NBA) model significantly reduces the overshoot, and the resolved velocity structures are insensitive to the SGS model except for the lowest model level. Full article
Show Figures

Figure 1

21 pages, 12691 KB  
Article
Satellite-Derived Summer Albedo Variations on the Greenland Ice Sheet from 1979 to 2024 Linked with Climatic Indices
by Yulun Zhang, Shang Geng and Yetang Wang
Remote Sens. 2026, 18(2), 295; https://doi.org/10.3390/rs18020295 - 16 Jan 2026
Viewed by 499
Abstract
CLARA-A3 currently provides the longest temporal coverage among available albedo products, with improvements in both retrieval algorithms and product coverage compared to earlier versions. This study first evaluates the performance of the CLARA-A3-SAL product over Greenland Ice Sheet (GrIS) and subsequently applies it [...] Read more.
CLARA-A3 currently provides the longest temporal coverage among available albedo products, with improvements in both retrieval algorithms and product coverage compared to earlier versions. This study first evaluates the performance of the CLARA-A3-SAL product over Greenland Ice Sheet (GrIS) and subsequently applies it to investigate spatiotemporal trends in summer albedo from 1979 to 2024. Validation against 32 in situ observation sites indicates negligible bias in the interior regions, with RMSE values ranging from 0.01 to 0.07. Although larger errors exist in the coastal ablation zone due to unresolved sub-grid surface heterogeneity, the product successfully captures observed spatiotemporal variability and long-term trends, demonstrating that CLARA-A3-SAL provides a generally reliable representation of surface albedo. Since 1979, the summer surface albedo averaged over the entire ice sheet has decreased at a rate of −0.24% decade−1. Albedo in the dry snow area has remained relatively stable and showed no significant correlation with most climate variables, except for the North Atlantic Oscillation (NAO) and the Greenland Blocking Index (GBI). Conversely, the marginal zone has undergone substantial darkening (−0.66% decade−1), which is strongly correlated with temperature, snowfall and melt, with meltwater showing the highest correlation (r = −0.90, p < 0.01). This suggests that meltwater-driven grain growth and exposure of bare ice are the primary drivers of albedo reduction over the non-dry snow zone. Large-scale atmospheric circulation also plays a key role: the GBI exhibits the strongest association with albedo (r = −0.63, p < 0.05), underscoring the importance of persistent blocking in amplifying surface warming and darkening. Furthermore, decadal-scale variability associated with the Atlantic Multidecadal Oscillation (AMO) and the Pacific Decadal Oscillation (PDO) modulates both the magnitude and spatial pattern of albedo changes across GrIS, with AMO+ generally linked to reduced albedo and PDO+ tending to enhance it. Full article
(This article belongs to the Section Atmospheric Remote Sensing)
Show Figures

Graphical abstract

24 pages, 10804 KB  
Article
A Multiscale CFD Model of Evaporating Hydrogen Menisci: Incorporating Subgrid Thin-Film Dynamics and In Situ Accommodation Coefficients
by Ayaaz Yasin, Saaras Pakanati and Kishan Bellur
Fuels 2026, 7(1), 3; https://doi.org/10.3390/fuels7010003 - 12 Jan 2026
Viewed by 1162
Abstract
Due to its high energy density, liquid Hydrogen is an essential fuel for both terrestrial energy systems and space propulsion. However, uncontrolled evaporation poses a challenge for cryogenic storage and transport technologies. Accurate modeling of evaporation remains difficult due to the multiscale menisci [...] Read more.
Due to its high energy density, liquid Hydrogen is an essential fuel for both terrestrial energy systems and space propulsion. However, uncontrolled evaporation poses a challenge for cryogenic storage and transport technologies. Accurate modeling of evaporation remains difficult due to the multiscale menisci formed by the wetting liquid phase. Thin liquid films form near the walls of containers, ranging from millimeters to nanometers in thickness. Heat conduction through the solid walls enables high evaporation rates in this region. Discrepancies in the reported values of the accommodation coefficients (necessary inputs to models) further complicate evaporation calculations. In this study, we present a novel multiscale model for CFD simulations of evaporating Hydrogen menisci. Film profiles below 10 μm are computed by a subgrid model using a lubrication-type thin film equation. The microscale model is combined with a macroscale model above 10 μm. Evaporation rates are computed using a kinetic phase change model combined with in situ calculations of the accommodation coefficient using transition state theory. The submodels are implemented in Ansys FluentTM using User-Defined Functions (UDFs), and a method to establish two-way coupling is detailed. The modeling results are in good agreement with cryo-neutron experiments and show improvement over prior models. The model, including UDFs, is made available through a public repository. Full article
Show Figures

Figure 1

29 pages, 6838 KB  
Article
Flow-Field Modeling and Mixing Mechanisms of the Twin-Shaft Mixers Based on LBM–LES Coupling
by Wentao Zhao, Jianxiong Ye, Lin Li and Gaoan Zheng
Machines 2026, 14(1), 56; https://doi.org/10.3390/machines14010056 - 1 Jan 2026
Viewed by 563
Abstract
In modern industrial systems, twin-shaft mixers are key units for efficient mixing and reactions; their performance directly affects product quality, production cycle, and energy consumption across the chemical, pharmaceutical, food, and lithium-battery-slurry sectors. Systematic elucidation of the mixing mechanisms is hindered by strongly [...] Read more.
In modern industrial systems, twin-shaft mixers are key units for efficient mixing and reactions; their performance directly affects product quality, production cycle, and energy consumption across the chemical, pharmaceutical, food, and lithium-battery-slurry sectors. Systematic elucidation of the mixing mechanisms is hindered by strongly three-dimensional, unsteady, and nonlinear flow fields induced by the complex motions of the two shafts. To address these issues, an advanced coupled numerical model combining the lattice Boltzmann method (LBM) and large-eddy simulation (LES) in an integrated LBM–LES framework is developed, incorporating the Smagorinsky subgrid-scale model to capture small-scale turbulent dissipation under high-Reynolds-number conditions with fidelity. The model enables systematic simulations across configurations with varying blade counts, quantitatively revealing how blade count governs flow structures and mixing performance. The results show that blade count is a key design parameter for performance tuning. A four-blade configuration generates moderately strong, well-distributed turbulence and vortical structures in both the main-shaft and side-shaft regions. The generated turbulence and vortical structures, in turn, promote effective global blending and mass transfer while avoiding localized energy over concentration, unnecessary power loss, and overheating risk, thereby achieving an optimal balance among mixing efficiency, energy consumption, and operational stability. These findings provide a solid theoretical basis and a reliable numerical paradigm for the refined design and performance optimization of industrial mixing equipment. Full article
(This article belongs to the Section Machine Design and Theory)
Show Figures

Figure 1

15 pages, 9567 KB  
Article
Research on Aerodynamic Performance of Bionic Fan Blades with Microstructured Surface
by Meihong Gao, Xiaomin Liu, Meihui Zhu, Chun Shen, Zhenjiang Wei, Zhengyang Wu and Chengchun Zhang
Biomimetics 2026, 11(1), 19; https://doi.org/10.3390/biomimetics11010019 - 31 Dec 2025
Viewed by 537
Abstract
The frictional resistance of impeller machinery blades such as aircraft engines, gas turbines, and wind turbines has a decisive impact on their efficiency and energy consumption. Inspired by the micro-tooth structure on the surface of shark skin, microstructural drag reduction technology has become [...] Read more.
The frictional resistance of impeller machinery blades such as aircraft engines, gas turbines, and wind turbines has a decisive impact on their efficiency and energy consumption. Inspired by the micro-tooth structure on the surface of shark skin, microstructural drag reduction technology has become a cutting-edge research direction for improving aerodynamic performance and a continuous focus of researchers over the past 20 years. However, the significant difficulty in fabricating microstructures on three-dimensional curved surfaces has led to the limited widespread application of this technology in engineering. Addressing the issue of drag reduction and efficiency improvement for small axial flow fans (local Reynolds number range: (36,327–40,330), this paper employs Design of Experiments (DOE) combined with high-precision numerical simulation to clarify the drag reduction law of bionic microgroove surfaces and determine the dimensions of bionic microstructures on fan blade surfaces. The steady-state calculation uses the standard k-ω model and simpleFoam solver, while the unsteady Large Eddy Simulation (LES) employs the pimpleFoam solver and WALE subgrid-scale model. The dimensionless height (h+) and width (s+) of microgrooves are in the range of 8.50–29.75, and the micro-grooved structure achieves effective drag reduction. The microstructured surface is fabricated on the suction surface of the blade via a spray coating process, and the dimensions of the microstructures are determined according to the drag reduction law of grooved flat plates. Aerodynamic performance tests indicate that the shaft power consumed by the bionic fan blades during the tests is significantly reduced. The maximum static pressure efficiency of the bionic fan with micro-dimples is increased by 2.33%, while that of the bionic fan with micro-grooves is increased by 3.46%. The fabrication method of the bionic microstructured surface proposed in this paper is expected to promote the engineering application of bionic drag reduction technology. Full article
(This article belongs to the Section Biomimetic Surfaces and Interfaces)
Show Figures

Graphical abstract

18 pages, 2214 KB  
Article
Requirement for Higher-Order Viscous Discretization to Avoid Numerical Contamination of Subgrid-Scale Model-Constant Estimates in a Linearly Forced Taylor-Flow Benchmark
by Xuanyou Gong, Hiroki Suzuki, Kento Tanaka and Toshinori Kouchi
Fluids 2026, 11(1), 5; https://doi.org/10.3390/fluids11010005 - 26 Dec 2025
Cited by 9 | Viewed by 438
Abstract
This study quantifies how viscous-term discretization errors contaminate subgrid-scale (SGS) model-constant estimates when SGS eddy viscosity is tuned to satisfy an energy budget. A linearly forced, steady two-dimensional low-Reynolds-number Taylor-flow benchmark is used: it preserves global kinetic energy analytically, and the forcing cancels [...] Read more.
This study quantifies how viscous-term discretization errors contaminate subgrid-scale (SGS) model-constant estimates when SGS eddy viscosity is tuned to satisfy an energy budget. A linearly forced, steady two-dimensional low-Reynolds-number Taylor-flow benchmark is used: it preserves global kinetic energy analytically, and the forcing cancels the viscous term without altering the convective–pressure balance when incompressibility holds. Large-eddy simulations on staggered grids (5624802) employ second-, fourth- and sixth-order central differences for the viscous term and second- or fourth-order convective schemes. SGS stresses are represented by the Vreman model, used to probe numerical error–SGS interaction rather than to validate three-dimensional turbulence physics. Energy errors arise almost exclusively from the viscous discretization and scale as Δxm (m=2,4,6). Balancing this truncation error with SGS dissipation (CvΔx2) yields the theoretical scaling CvΔxm2. For a second-order viscous scheme, the required Cv becomes Δx-independent, Re-dependent, and far above practical LES values, showing that tuning can serve as a numerical band-aid and undermine quantitative constant estimation. With fourth- or higher-order viscous discretization, the required Cv decays rapidly with refinement; when Cv is adjusted, global energy is recovered and RMS velocity errors decay with viscous accuracy, while convective-order effects remain minor. Full article
(This article belongs to the Special Issue Computational Fluid Dynamics Applied to Transport Phenomena)
Show Figures

Figure 1

17 pages, 12414 KB  
Article
A Spatiotemporal Subgrid Least Squares Approach to DEM Generation of the Greenland Ice Sheet from ICESat-2 Laser Altimetry
by Qiyu Wang, Jinyun Guo, Tao Jiang and Xin Liu
Remote Sens. 2025, 17(24), 4027; https://doi.org/10.3390/rs17244027 - 13 Dec 2025
Viewed by 530
Abstract
Greenland, home to the largest ice sheet in the Northern Hemisphere, provides a crucial digital elevation model (DEM) for understanding polar climate evolution and valuable data for global climate change research. Based on ICESat-2 laser altimetry data collected from satellite observations over Greenland [...] Read more.
Greenland, home to the largest ice sheet in the Northern Hemisphere, provides a crucial digital elevation model (DEM) for understanding polar climate evolution and valuable data for global climate change research. Based on ICESat-2 laser altimetry data collected from satellite observations over Greenland between November 2020 and November 2021, the Shandong University of Science and Technology 2021 DEM (SDUST2021DEM) with 500 m grid resolution at the epoch of May 2021 was constructed using a spatiotemporally fitted subgrid least squares method. The precision of the DEM was evaluated by comparison with National Aeronautics and Space Administration IceBridge data and supplemented by GNSS station measurements. The median difference between the DEM and IceBridge data was −0.33 m, the mean deviation −0.58 m, and the median absolute deviation 2.31 m. The accuracy of SDUST2021DEM exhibits a clear spatial pattern: it is higher in the central ice sheet than at the margins, decreases in regions with complex terrain, and remains more reliable in areas characterized by gentle slopes and flat terrain. Overall, the SDUST2021DEM demonstrates stable accuracy and can reliably produce high-precision DEMs for a specific temporal epoch. Full article
Show Figures

Graphical abstract

Back to TopTop