Wind Analysis of Typhoon Jebi (T1821) Based on High-Resolution WRF-LES Simulation
Abstract
1. Introduction
2. Numerical Settings
3. Results
3.1. Overview of the Simulated Typhoon
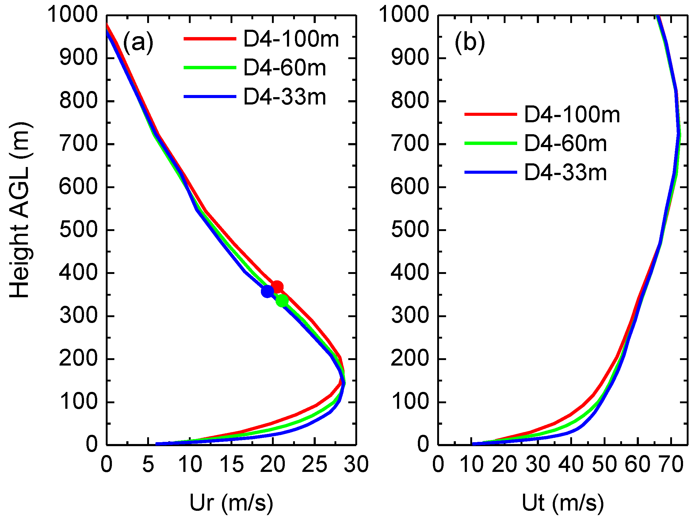
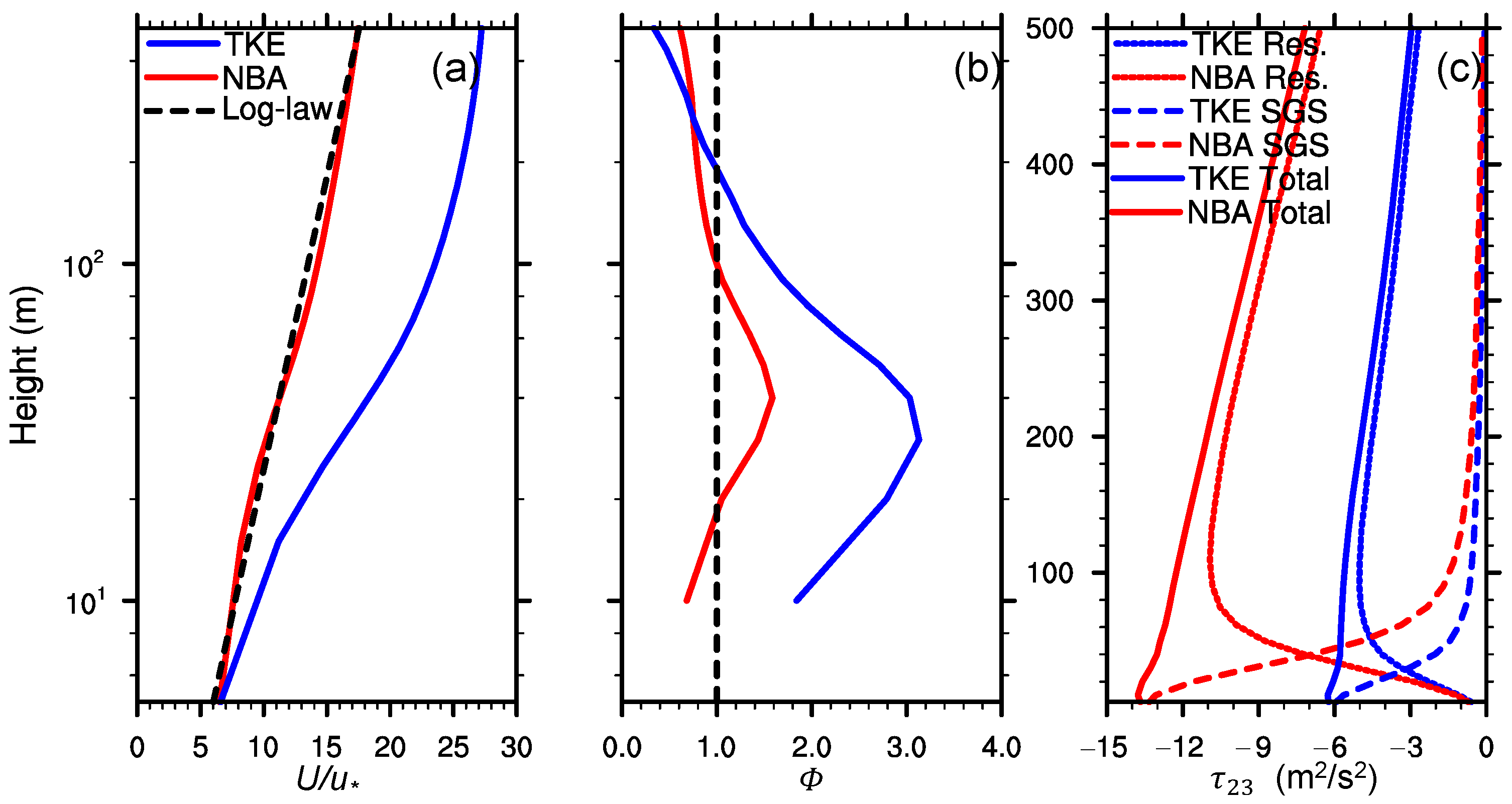
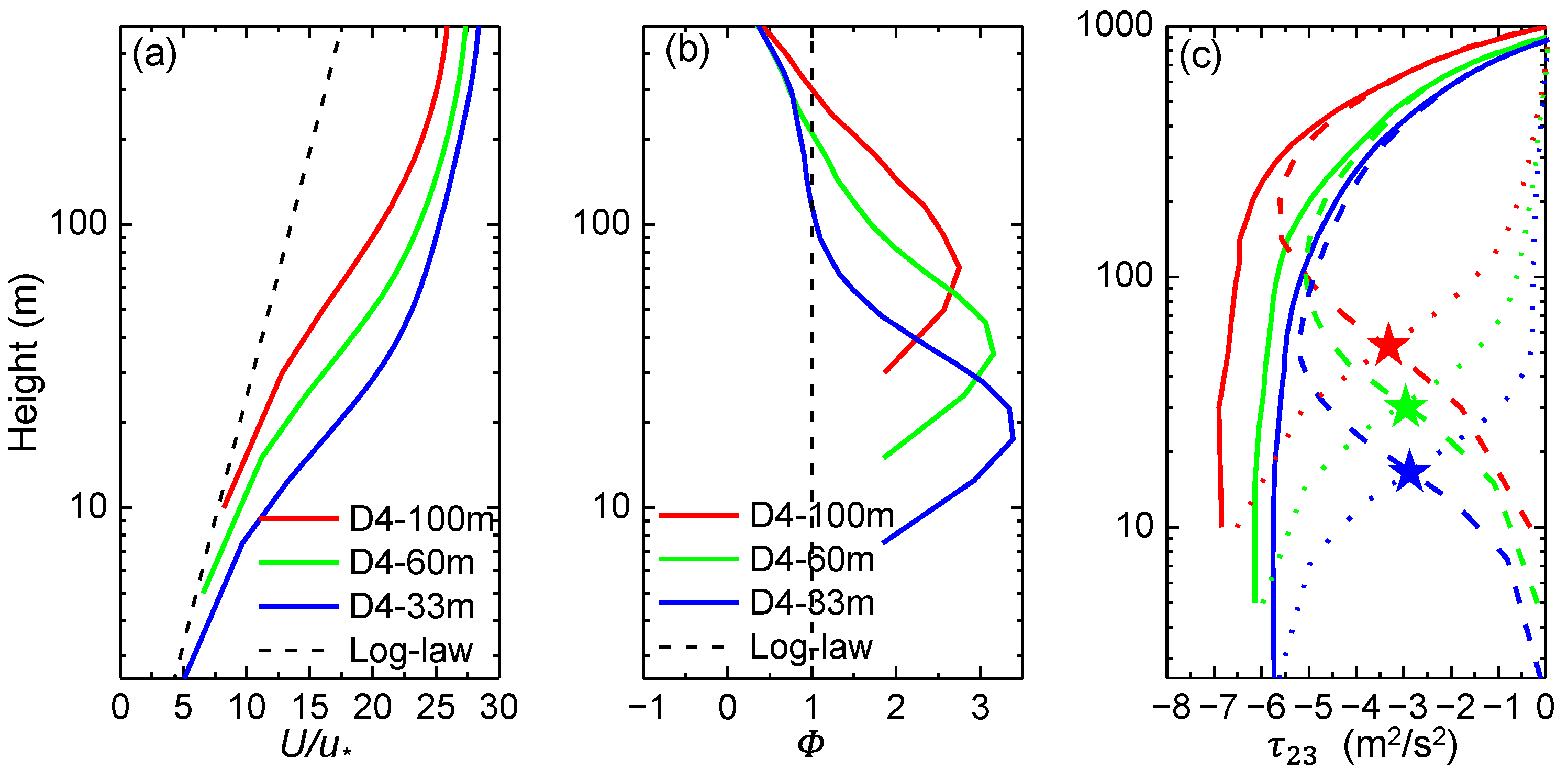
3.2. Mean Wind Profile
3.3. Resolved Velocity Structures
3.4. Effective Mesh Resolution
4. Discussion
4.1. Main Findings and Contributions
- Use a horizontal grid spacing of 60 m or less to explicitly resolve small-scale turbulent structures; a 100 m grid is sufficient for capturing horizontal roll vortices (HRSs).
- Consider the NBA SGS model to improve the near-surface mean wind profile and the representation of fine-scale turbulence, as the standard TKE model tends to overestimate wind speeds.
- When an accurate typhoon track is essential, apply spectral nudging in the outer domain to constrain large-scale biases, provided that high-resolution analysis data are available.
4.2. Limitations and Future Work
5. Conclusions
- Impact of geophysical parameters: High-frequency wind fluctuations were successfully resolved within the WRF-LES domains. Terrain undulations in the upstream region were found to promote turbulence generation.
- Impact of the SGS model: The known shortcoming of the standard 1.5-order TKE SGS model, that is, to overshoot the near-surface wind profile due to insufficient turbulent stress, is confirmed in this typhoon case. The maximum nondimensional wind shear occurred near the second model level above the surface. A finer horizontal grid resolution tended to produce slightly larger wind shear. The NBA SGS model significantly reduced such overshoot and also resulted in finer-scale turbulent structures compared with the standard 1.5-order TKE SGS model.
- Impact of spatial resolution: Finer turbulent structures were resolved with higher grid resolution. The effective mesh resolution near the surface was approximately 5–9 , and a 100 m grid was sufficient to reproduce horizontal roll structures, but finer grids (≤60 m) were necessary to explicitly resolve small-scale turbulent structures, particularly at low levels.
Author Contributions
Funding
Institutional Review Board Statement
Informed Consent Statement
Data Availability Statement
Conflicts of Interest
Abbreviations
| WRF | Weather Research and Forecasting |
| LES | large-eddy simulation |
| TKE | turbulent kinetic energy |
| AGL | above ground level |
| NBA | nonlinear backscatter and anisotropy |
| TBL | typhoon boundary layer |
| HRS | horizontal roll vortex |
| PBL | planetary boundary layer |
| SGS | subgrid scale |
| YSU | Yonsei University |
| JMA | Japan Meteorological Agency |
| NCEP | National Centers for Environmental Prediction |
| GFS | Global Forecast System |
| RRTMG | Rapid Radiative Transfer Model for Global Climate Model |
| AMeDAS | Automated Meteorological Data Acquisition System |
| mean bias | |
| mean absolute error | |
| root mean square error | |
| EMR | effective mesh resolution |
References
- Liu, Y.; Warner, T.; Liu, Y.; Vincent, C.; Wu, W.; Mahoney, B.; Swerdlin, S.; Parks, K.; Boehnert, J. Simultaneous nested modeling from the synoptic scale to the LES scale for wind energy applications. J. Wind. Eng. Ind. Aerodyn. 2011, 99, 308–319. [Google Scholar] [CrossRef]
- Mirocha, J.; Lundquist, J.; Kosović, B. Implementation of a nonlinear subfilter turbulence stress model for large-eddy simulation in the Advanced Research WRF model. Mon. Weather Rev. 2010, 138, 4212–4228. [Google Scholar] [CrossRef]
- Mirocha, J.; Kirkil, G.; Bou-Zeid, E.; Chow, F.K.; Kosović, B. Transition and equilibration of neutral atmospheric boundary layer flow in one-way nested large-eddy simulations using the weather research and forecasting model. Mon. Weather Rev. 2013, 141, 918–940. [Google Scholar] [CrossRef]
- Mirocha, J.; Kosović, B.; Kirkil, G. Resolved turbulence characteristics in large-eddy simulations nested within mesoscale simulations using the Weather Research and Forecasting Model. Mon. Weather Rev. 2014, 142, 806–831. [Google Scholar] [CrossRef]
- Kirkil, G.; Mirocha, J.; Bou-Zeid, E.; Chow, F.K.; Kosović, B. Implementation and evaluation of dynamic subfilter-scale stress models for large-eddy simulation using WRF. Mon. Weather Rev. 2012, 140, 266–284. [Google Scholar] [CrossRef]
- Talbot, C.; Bou-Zeid, E.; Smith, J. Nested mesoscale large-eddy simulations with WRF: Performance in real test cases. J. Hydrometeorol. 2012, 13, 1421–1441. [Google Scholar] [CrossRef]
- Rai, R.K.; Berg, L.K.; Kosović, B.; Mirocha, J.D.; Pekour, M.S.; Shaw, W.J. Comparison of measured and numerically simulated turbulence statistics in a convective boundary layer over complex terrain. Bound.-Layer Meteorol. 2017, 163, 69–89. [Google Scholar] [CrossRef]
- Muñoz-Esparza, D.; Lundquist, J.K.; Sauer, J.A.; Kosović, B.; Linn, R.R. Coupled mesoscale-LES modeling of a diurnal cycle during the CWEX-13 field campaign: From weather to boundary-layer eddies. J. Adv. Model. Earth Syst. 2017, 9, 1572–1594. [Google Scholar] [CrossRef]
- Foster, R.C. Why rolls are prevalent in the hurricane boundary layer. J. Atmos. Sci. 2005, 62, 2647–2661. [Google Scholar] [CrossRef]
- Morrison, I.; Businger, S.; Marks, F.; Dodge, P.; Businger, J.A. An observational case for the prevalence of roll vortices in the hurricane boundary layer. J. Atmos. Sci. 2005, 62, 2662–2673. [Google Scholar] [CrossRef]
- Ito, J.; Oizumi, T.; Niino, H. Near-surface coherent structures explored by large eddy simulation of entire tropical cyclones. Sci. Rep. 2017, 7, 3798. [Google Scholar] [CrossRef]
- Yoshino, K. Low-level wind shear induced by horizontal roll vortices at Narita International Airport, Japan. J. Meteorol. Soc. Japan Ser. II 2019, 97, 403–421. [Google Scholar] [CrossRef]
- Cao, S.; Tamura, Y.; Kikuchi, N.; Saito, M.; Nakayama, I.; Matsuzaki, Y. Wind characteristics of a strong typhoon. J. Wind. Eng. Ind. Aerodyn. 2009, 97, 11–21. [Google Scholar] [CrossRef]
- Nakayama, H.; Takemi, T.; Nagai, H. Large-eddy simulation of urban boundary-layer flows by generating turbulent inflows from mesoscale meteorological simulations. Atmos. Sci. Lett. 2012, 13, 180–186. [Google Scholar] [CrossRef]
- Yoshida, T.; Takemi, T. Properties of mixing length and dispersive stress in airflows over urban-like roughness obstacles with variable height. Sola 2018, 14, 174–178. [Google Scholar] [CrossRef]
- Takemi, T.; Yoshida, T.; Yamasaki, S.; Hase, K. Quantitative estimation of strong winds in an urban district during Typhoon Jebi (2018) by merging mesoscale meteorological and large-eddy simulations. Sola 2019, 15, 22–27. [Google Scholar] [CrossRef]
- Tao, T.; Tamura, T. Numerical study of the 6 May 2012 Tsukuba supercell tornado: Vorticity sources responsible for tornadogenesis. Mon. Weather Rev. 2020, 148, 1205–1228. [Google Scholar] [CrossRef]
- Zhu, P. Simulation and parameterization of the turbulent transport in the hurricane boundary layer by large eddies. J. Geophys. Res. Atmos. 2008, 113. [Google Scholar] [CrossRef]
- Liu, Q.; Wu, L.; Qin, N.; Li, Y. Storm-scale and fine-scale boundary layer structures of tropical cyclones simulated with the WRF-LES framework. J. Geophys. Res. Atmos. 2021, 126, e2021JD035511. [Google Scholar] [CrossRef]
- Wyngaard, J.C. Toward numerical modeling in the “Terra Incognita”. J. Atmos. Sci. 2004, 61, 1816–1826. [Google Scholar] [CrossRef]
- Takahashi, T.; Nolan, D.S.; McNoldy, B.D. The vortex structure and near-surface winds of Typhoon Faxai (2019) during landfall. Part II: Evaluation of WRF simulations. Q. J. R. Meteorol. Soc. 2024, 150, 1643–1667. [Google Scholar] [CrossRef]
- Zhang, Y.; Cao, S.; Cao, J. A framework for efficient simulation of urban strong wind field during typhoon process using coupled WRF-UCM and embedded LES model. J. Wind. Eng. Ind. Aerodyn. 2024, 250, 105757. [Google Scholar] [CrossRef]
- Zhao, Z.; Xiao, Y.; Li, C.; Chan, P.; Hu, G.; Zhou, Q. Multiscale simulation of the urban wind environment under typhoon weather conditions. Build. Simul. 2023, 16, 1713–1734. [Google Scholar] [CrossRef]
- Skamarock, W.C.; Klemp, J.B. A time-split nonhydrostatic atmospheric model for weather research and forecasting applications. J. Comput. Phys. 2008, 227, 3465–3485. [Google Scholar] [CrossRef]
- Hong, S.Y.; Noh, Y.; Dudhia, J. A new vertical diffusion package with an explicit treatment of entrainment processes. Mon. Weather Rev. 2006, 134, 2318–2341. [Google Scholar] [CrossRef]
- Deardorff, J. A three-dimensional numerical study of turbulent channel flow at large Reynolds numbers. J. Fluid Mech. 1970, 41, 453–480. [Google Scholar] [CrossRef]
- Chu, X.; Xue, L.; Geerts, B.; Rasmussen, R.; Breed, D. A case study of radar observations and WRF LES simulations of the impact of ground-based glaciogenic seeding on orographic clouds and precipitation. Part I: Observations and model validations. J. Appl. Meteorol. Climatol. 2014, 53, 2264–2286. [Google Scholar] [CrossRef]
- Markowski, P.M.; Bryan, G.H. LES of laminar flow in the PBL: A potential problem for convective storm simulations. Mon. Weather Rev. 2016, 144, 1841–1850. [Google Scholar] [CrossRef]
- Xue, L.; Chu, X.; Rasmussen, R.; Breed, D.; Geerts, B. A case study of radar observations and WRF LES simulations of the impact of ground-based glaciogenic seeding on orographic clouds and precipitation. Part II: AgI dispersion and seeding signals simulated by WRF. J. Appl. Meteorol. Climatol. 2016, 55, 445–464. [Google Scholar] [CrossRef]
- National Centers for Environmental Prediction, National Weather Service, NOAA, U.S. Department of Commerce. NCEP GFS 0.25 Degree Global Forecast Grids Historical Archive. 2015. Available online: https://gdex.ucar.edu/datasets/d084001/ (accessed on 4 September 2018).
- Hashimoto, S.; Tadono, T.; Onosato, M.; Hori, M.; Shiomi, K. A new method to derive precise land-use and land-cover maps using multi-temporal optical data. J. Remote Sens. Soc. Jpn. 2014, 34, 102–112. [Google Scholar]
- Morrison, H.; Thompson, G.; Tatarskii, V. Impact of cloud microphysics on the development of trailing stratiform precipitation in a simulated squall line: Comparison of one-and two-moment schemes. Mon. Weather Rev. 2009, 137, 991–1007. [Google Scholar] [CrossRef]
- Iacono, M.J.; Delamere, J.S.; Mlawer, E.J.; Shephard, M.W.; Clough, S.A.; Collins, W.D. Radiative forcing by long-lived greenhouse gases: Calculations with the AER radiative transfer models. J. Geophys. Res. Atmos. 2008, 113. [Google Scholar] [CrossRef]
- Chen, F.; Dudhia, J. Coupling an advanced land surface–hydrology model with the Penn State–NCAR MM5 modeling system. Part I: Model implementation and sensitivity. Mon. Weather Rev. 2001, 129, 569–585. [Google Scholar] [CrossRef]
- Jiménez, P.A.; Dudhia, J.; González-Rouco, J.F.; Navarro, J.; Montávez, J.P.; García-Bustamante, E. A revised scheme for the WRF surface layer formulation. Mon. Weather Rev. 2012, 140, 898–918. [Google Scholar] [CrossRef]
- Brasseur, J.G.; Wei, T. Designing large-eddy simulation of the turbulent boundary layer to capture law-of-the-wall scaling. Phys. Fluids 2010, 22, 021303. [Google Scholar] [CrossRef]
- Kosović, B. Subgrid-scale modelling for the large-eddy simulation of high-Reynolds-number boundary layers. J. Fluid Mech. 1997, 336, 151–182. [Google Scholar] [CrossRef]
- Skamarock, W.C. Evaluating mesoscale NWP models using kinetic energy spectra. Mon. Weather Rev. 2004, 132, 3019–3032. [Google Scholar] [CrossRef]
- Green, B.W.; Zhang, F. Numerical simulations of hurricane katrina (2005) in the turbulent gray zone. J. Adv. Model. Earth Syst. 2015, 7, 142–161. [Google Scholar] [CrossRef]
- Bi, X.; Lu, C.; Liu, C.; Huang, J.; Yang, H.; Zhao, Z.; Song, Q. Comparison of Atmospheric Turbulence Characteristics over Sea Surface and Land Surface before, during, and after Typhoons. Atmosphere 2022, 13, 1827. [Google Scholar] [CrossRef]
- Bernado, A.; Belonenko, T.; Budyansky, M. Ocean response to Pacific typhoons passing in extratropical latitudes. Sovremennye Problemy Distantsionnogo Zondirovaniya Zemli iz Kosmosa [Curr. Probl. Remote Sens. Earth Space] 2025, 22, 254–267. [Google Scholar]











| Domain ID | Horizontal Grid Size (m) | Duration (Sep 2018, UTC) | Grid Number | Time Step (s) | Vertical Grid Size Near the Ground (m) |
|---|---|---|---|---|---|
| D1 | 4500 | 03_1800–04_1200 | 15 | 40 | |
| D2 | 1500 | 04_0000–04_0700 | 3 | 40 | |
| D3 | 300 | 04_0200–04_0700 | 1 | 40 | |
| D4-100 m | 100 | 04_0400–04_0600 | 0.5 | 20 | |
| D4-60 m | 60 | 04_0400–04_0600 | 0.2 | 10 | |
| D4-33 m | 33.33 | 04_0400–04_0600 | 0.2 | 5 |
| Domain ID | MB | MAE | RMSE | Average Gust Factor | |
|---|---|---|---|---|---|
| D1 | 0.558 | 14.4 | 14.4 | 14.8 | 1.03 |
| D2 | 0.485 | 14.9 | 14.9 | 15.6 | 1.06 |
| D3 | 0.447 | 10.8 | 11.0 | 11.7 | 1.23 |
| D4-100 m | 0.502 | 5.24 | 6.42 | 6.96 | 1.44 |
| D4-60 m | 0.523 | 5.82 | 6.93 | 7.56 | 1.56 |
| D4-33 m | 0.476 | 10.0 | 10.4 | 11.0 | 1.68 |
| AMeDAS | 2.00 |
Disclaimer/Publisher’s Note: The statements, opinions and data contained in all publications are solely those of the individual author(s) and contributor(s) and not of MDPI and/or the editor(s). MDPI and/or the editor(s) disclaim responsibility for any injury to people or property resulting from any ideas, methods, instructions or products referred to in the content. |
© 2026 by the authors. Licensee MDPI, Basel, Switzerland. This article is an open access article distributed under the terms and conditions of the Creative Commons Attribution (CC BY) license.
Share and Cite
Tao, T.; Hao, B.; Zheng, J.; Zhang, Q. Wind Analysis of Typhoon Jebi (T1821) Based on High-Resolution WRF-LES Simulation. Atmosphere 2026, 17, 110. https://doi.org/10.3390/atmos17010110
Tao T, Hao B, Zheng J, Zhang Q. Wind Analysis of Typhoon Jebi (T1821) Based on High-Resolution WRF-LES Simulation. Atmosphere. 2026; 17(1):110. https://doi.org/10.3390/atmos17010110
Chicago/Turabian StyleTao, Tao, Bingjian Hao, Jinbo Zheng, and Qingsong Zhang. 2026. "Wind Analysis of Typhoon Jebi (T1821) Based on High-Resolution WRF-LES Simulation" Atmosphere 17, no. 1: 110. https://doi.org/10.3390/atmos17010110
APA StyleTao, T., Hao, B., Zheng, J., & Zhang, Q. (2026). Wind Analysis of Typhoon Jebi (T1821) Based on High-Resolution WRF-LES Simulation. Atmosphere, 17(1), 110. https://doi.org/10.3390/atmos17010110

