Sign in to use this feature.

Years

Between: -

Subjects

remove_circle_outline
remove_circle_outline
remove_circle_outline
remove_circle_outline
remove_circle_outline
remove_circle_outline
remove_circle_outline
remove_circle_outline
remove_circle_outline

Journals

remove_circle_outline
remove_circle_outline
remove_circle_outline
remove_circle_outline
remove_circle_outline
remove_circle_outline
remove_circle_outline
remove_circle_outline
remove_circle_outline
remove_circle_outline

Article Types

Countries / Regions

remove_circle_outline
remove_circle_outline
remove_circle_outline
remove_circle_outline
remove_circle_outline
remove_circle_outline

Search Results (2,125)

Search Parameters:
Keywords = sputtering deposition

Order results
Result details
Results per page
Select all
Export citation of selected articles as:
14 pages, 3567 KB  
Article
Structural and Electrical Properties of Si-Doped β-Ga2O3 Thin Films Deposited by RF Sputtering: Effects of Oxygen Flow Ratio and Post-Annealing Temperature
by Haechan Kim, Yuta Kubota, Nobuhiro Matsushita, Gonjae Lee and Jeongsoo Hong
Coatings 2025, 15(10), 1181; https://doi.org/10.3390/coatings15101181 - 9 Oct 2025
Abstract
Beta-gallium oxide (β-Ga2O3) is a semiconductor with an ultra-wide bandgap, high optical transparency, and excellent electrical properties, which can be finely tuned for a wide range of electronic devices. This study optimized the process conditions for fabricating β-Ga2 [...] Read more.
Beta-gallium oxide (β-Ga2O3) is a semiconductor with an ultra-wide bandgap, high optical transparency, and excellent electrical properties, which can be finely tuned for a wide range of electronic devices. This study optimized the process conditions for fabricating β-Ga2O3 thin films with desired electrical characteristics. β-Ga2O3 films were deposited on (100) Si substrates via RF magnetron sputtering with varying O2 flow rates and post-annealed at temperatures ranging from 600 °C to 800 °C. The structural and electrical properties of the films were analyzed using X-ray diffraction (XRD) spectroscopy, scanning electron microscopy (SEM), and Hall effect measurements. The XRD results confirmed the formation of nanocrystalline β-Ga2O3, with variations in peak intensities and shifts observed based on O2 flow rates. The films exhibited carrier concentrations exceeding 5 × 1022 cm−3, mobilities ranging from 50 to 115 cm2/Vs, and resistivity around 1 × 10−6 Ω⋅cm. This study demonstrates that the electrical properties of β-Ga2O3 thin films can be modulated during the deposition and post-annealing processes. The ability to control these properties underscores the potential of β-Ga2O3 for advanced applications in high-performance high-power devices and optoelectronic devices such as deep ultraviolet photodetectors. Full article
(This article belongs to the Special Issue Thin Films and Nanostructures Deposition Techniques)
Show Figures

Figure 1

18 pages, 9390 KB  
Article
Effects of TaN Cap Layer on the Tribological and Antibacterial Properties of TaN-(Ag,Cu) Nanocomposite Thin Films
by Jang Hsing Hsieh, Anwesha Dey, Chuan Li and You Jen Cho
Coatings 2025, 15(10), 1175; https://doi.org/10.3390/coatings15101175 - 8 Oct 2025
Abstract
Reactive co-sputtering was applied to deposit TaN-(Ag,Cu) nanocomposite films on Si and tool steels. Prior to post-deposition annealing, the films were deposited with TaN cap (diffusion barrier) layers in various thicknesses in order to slow down the nucleation and growth of emerging Ag [...] Read more.
Reactive co-sputtering was applied to deposit TaN-(Ag,Cu) nanocomposite films on Si and tool steels. Prior to post-deposition annealing, the films were deposited with TaN cap (diffusion barrier) layers in various thicknesses in order to slow down the nucleation and growth of emerging Ag and Cu particles. The thickness of the cap layers was set at 5, 10, 20, or 50 nm. The films were then annealed using Rapid Thermal Annealing (RTA) at 400 °C to induce the nucleation and growth of Ag and Cu nanoparticles. These films’ surface morphologies and structures were examined. The samples were tested for their anti-wear and antibacterial behaviors against Gram-positive S. aureus and Gram-negative E. coli, with a variation in cap layer thickness. It is found that, through the application of TaN cap layers, the out-diffusion of Ag and Cu atoms may be slowed down. The surface concentrations of Ag and Cu might decrease from 35 at.% and 17 at.% to 18 at.% and 6 at.%, respectively, when the cap layer thickness increases to 50 nm (after being annealed for 12 min). The diffusion mechanism is proposed to explain the formation of nanoparticles on the surface through boundary diffusion. Antibacterial behaviors against both bacteria, as well as tribological properties, could still be effective but become less significant with an increase in the cap layer thickness. The antibacterial efficiency after 3 h testing decreased from 99% to 5% and 8% against E. coli and S. aureus, respectively. At 12 h, all the samples reached >99% antibacterial efficiency, despite the variation in cap thickness. For sliding wear, the wear rate was doubled when the cap thickness increased to 50 nm (when the normal load was 1 N). On the other hand, the difference was minor when the normal load was changed to 5 N. The sliding lifetime of the samples was studied using a tribometer. The total lifetime may increase with an increase in the cap thickness. The wear is found to be due to the oxidation of Ag and Cu nanoparticles, which results in the loss of low coefficient behaviors. Full article
(This article belongs to the Special Issue Advanced Thin Film Fabrication by Sputtering)
Show Figures

Figure 1

16 pages, 2805 KB  
Article
The Effects of Selenization Treatment Temperature on the Phase Formation and Properties of Ba-Doped LaCuOSe Thin Films
by Chin-Yun Huang, Guo-Ju Chen, Guan-You Wu, Po-Sheng Chang and Chih-Ning Wu
Coatings 2025, 15(10), 1174; https://doi.org/10.3390/coatings15101174 - 8 Oct 2025
Abstract
In this study, barium-doped lanthanum copper oxide (LaCuO) thin films were deposited onto quartz glass substrates using a radio frequency (RF) magnetron sputtering system. The deposited films were subsequently subjected to a selenization annealing process to convert them into barium-doped lanthanum copper oxyselenide [...] Read more.
In this study, barium-doped lanthanum copper oxide (LaCuO) thin films were deposited onto quartz glass substrates using a radio frequency (RF) magnetron sputtering system. The deposited films were subsequently subjected to a selenization annealing process to convert them into barium-doped lanthanum copper oxyselenide (LaCuOSe:Ba) thin films. Selenization was conducted at annealing temperatures of 750 °C, 800 °C, 850 °C, and 900 °C to determine the optimal processing conditions for achieving high-quality LaCuOSe:Ba films. Structural and compositional analyses were performed using X-ray diffraction (XRD) and X-ray photoelectron spectroscopy (XPS). The results indicated that the primary phase of the films under all conditions was LaCuOSe. However, at annealing temperatures above 850 °C, secondary phases, such as Cu2Se and La2O2Se, were formed, indicating partial decomposition or phase separation at elevated temperatures. Among the conditions tested, the film annealed at 850 °C exhibited the most favorable optoelectronic properties. It demonstrated an average visible light transmittance of 59%, an electrical resistivity of 6.37 × 10−3 Ω·cm, a carrier mobility of 5.87 cm2/V·s, and a carrier concentration of 2.15 × 1020 cm−3. These values yielded the highest calculated figure of merit for transparent conducting films, reaching 1.6 × 10−5 Ω−1, signifying an optimal balance between transparency and conductivity under these processing conditions. Full article
Show Figures

Graphical abstract

32 pages, 6546 KB  
Review
Sputter-Deposited Superconducting Thin Films for Use in SRF Cavities
by Bharath Reddy Lakki Reddy Venkata, Aleksandr Zubtsovskii and Xin Jiang
Nanomaterials 2025, 15(19), 1522; https://doi.org/10.3390/nano15191522 - 5 Oct 2025
Viewed by 170
Abstract
Particle accelerators are powerful tools in fundamental research, medicine, and industry that provide high-energy beams that can be used to study matter and to enable advanced applications. The state-of-the-art particle accelerators are fundamentally constructed from superconducting radio-frequency (SRF) cavities, which act as resonant [...] Read more.
Particle accelerators are powerful tools in fundamental research, medicine, and industry that provide high-energy beams that can be used to study matter and to enable advanced applications. The state-of-the-art particle accelerators are fundamentally constructed from superconducting radio-frequency (SRF) cavities, which act as resonant structures for the acceleration of charged particles. The performance of such cavities is governed by inherent superconducting material properties such as the transition temperature, critical fields, penetration depth, and other related parameters and material quality. For the last few decades, bulk niobium has been the preferred material for SRF cavities, enabling accelerating gradients on the order of ~50 MV/m; however, its intrinsic limitations, high cost, and complicated manufacturing have motivated the search for alternative strategies. Among these, sputter-deposited superconducting thin films offer a promising route to address these challenges by reducing costs, improving thermal stability, and providing access to numerous high-Tc superconductors. This review focuses on progress in sputtered superconducting materials for SRF applications, in particular Nb, NbN, NbTiN, Nb3Sn, Nb3Al, V3Si, Mo–Re, and MgB2. We review how deposition process parameters such as deposition pressure, substrate temperature, substrate bias, duty cycle, and reactive gas flow influence film microstructure, stoichiometry, and superconducting properties, and link these to RF performance. High-energy deposition techniques, such as HiPIMS, have enabled the deposition of dense Nb and nitride films with high transition temperatures and low surface resistance. In contrast, sputtering of Nb3Sn offers tunable stoichiometry when compared to vapour diffusion. Relatively new material systems, such as Nb3Al, V3Si, Mo-Re, and MgB2, are just a few of the possibilities offered, but challenges with impurity control, interface engineering, and cavity-scale uniformity will remain. We believe that future progress will depend upon energetic sputtering, multilayer architectures, and systematic demonstrations at the cavity scale. Full article
(This article belongs to the Section 2D and Carbon Nanomaterials)
Show Figures

Graphical abstract

14 pages, 17196 KB  
Article
Characterisation of Titanium-Oxide Thin Films for Efficient pH Sensing in Low-Power Electrochemical Systems
by Zsombor Szomor, Lilia Bató, Orsolya Hakkel, Csaba Dücső, Zsófia Baji, Attila Sulyok, Erzsébet Dodony, Katalin Balázsi, János M. Bozorádi, Zoltán Szabó and Péter Fürjes
Sensors 2025, 25(19), 6113; https://doi.org/10.3390/s25196113 - 3 Oct 2025
Viewed by 197
Abstract
A compact electrochemical sensor module for pH detection was developed for potential integration into specialized devices used for live cell or tissue incubation, for applications in highly parallelized cell culture analysis, by incorporating Organ-on-Chip devices. This research focuses on the deposition, structural and [...] Read more.
A compact electrochemical sensor module for pH detection was developed for potential integration into specialized devices used for live cell or tissue incubation, for applications in highly parallelized cell culture analysis, by incorporating Organ-on-Chip devices. This research focuses on the deposition, structural and chemical analysis, and functional characterization of different titanium-oxide layers with various compositions as potentially sensitive materials for pH sensing applications. The titanium-oxide layers were deposited using vacuum sputtering and atomic layer deposition at 100 °C and 300 °C, respectively. Transmission electron microscopy and X-ray photoelectron spectroscopy were utilized to determine the specific composition and structure of different titanium-oxide layers. These TiOx-functionalized electrodes were connected to the application-specific analog front-end chip of the low-power readout circuit for precise evaluation. The pH sensitivity of the differently modified electrodes, employing various TiOx materials, was evaluated using pH calibration solutions ranging from pH 6 to 8. Among the various deposition solutions, such as sputtering or high-temperature atomic layer deposition, the TiOx layer deposited using low-temperature atomic layer deposition proved more suitable for pH sensing applications, with a sensitivity of 54.8–56.7 mV/pH, which closely approximates the Nernstian response. Full article
(This article belongs to the Special Issue Sensors from Miniaturization of Analytical Instruments (2nd Edition))
Show Figures

Figure 1

19 pages, 20112 KB  
Article
A Comparison of High-Impulse and Direct-Current Magnetron Sputtering Processes for the Formation of Effective Bactericidal Oxide Coatings on Polymer Substrates
by Joanna Kacprzyńska-Gołacka, Piotr Wieciński, Bogusława Adamczyk-Cieślak, Sylwia Sowa, Wioletta Barszcz, Monika Łożyńska, Marek Kalbarczyk, Andrzej Krasiński, Halina Garbacz and Jerzy Smolik
Materials 2025, 18(19), 4591; https://doi.org/10.3390/ma18194591 - 3 Oct 2025
Viewed by 296
Abstract
In this paper, silver oxide (AgO) and copper oxide (CuO) coatings are placed on a single sputtering target with the direct-current magnetron sputtering (DCMS) and high-power impulse magnetron sputtering (HIPIMS) methods. All the tested coatings are obtained in a reactive process using a [...] Read more.
In this paper, silver oxide (AgO) and copper oxide (CuO) coatings are placed on a single sputtering target with the direct-current magnetron sputtering (DCMS) and high-power impulse magnetron sputtering (HIPIMS) methods. All the tested coatings are obtained in a reactive process using a metallic target made by the Kurt Lesker company. The investigated coatings are deposited at room temperature on substrates made of pure iron (ARMCO) and polypropylene (PP) without substrate polarization. The deposition time for all the coatings is the same. The results of SEM and TEM investigations clearly show that using the HIPIMS method for the deposition of AgO and CuO coatings reduces their thickness and increases their structure density. Coatings produced with the HIPIMS method are characterized by a higher hardness and Young’s modulus. The value of hardness for AgO and CuO coatings deposited by the HIPIMS method is around 50% higher for AgO coatings and around 24% higher for CuO coatings compared to the coatings obtained by the DC method. This is also true of Young’s modulus values, which are around 30% higher for AgO coatings and 15% higher for CuO coatings produced by the HIPIMS method compared to those of coatings obtained with the DC method. AgO and CuO coatings deposited with both the methods (HIPIMS and DCMS) showed 100% reduction in the viability of two reference laboratory bacteria strains—Escherichia coli (Gram−) and Staphylococcus aureus (Gram+)—on both types of substrates. Additionally, these coatings are characterized by their hydrophobic properties, which means that they can create a protective barrier, making it difficult for bacteria to stick to the surface, limiting their development and preventing the phenomenon of biofouling. The HIPIMS technology allows for the deposition of coatings with better mechanical properties than those produced with the DCMS method, which means that they are more resistant to brittle fractures and wear and have very good antimicrobial properties. Full article
(This article belongs to the Special Issue Surface Modification of Materials for Multifunctional Applications)
Show Figures

Figure 1

9 pages, 704 KB  
Article
Effect of Mid-Frequency and Inductively Coupled Plasma on the Properties of Molybdenum Nitride Thin Films
by Sung-Yong Chun
Coatings 2025, 15(10), 1155; https://doi.org/10.3390/coatings15101155 - 3 Oct 2025
Viewed by 180
Abstract
This study focuses on the characterization of MoN thin films deposited by the direct current magnetron sputtering (dcMS), mid-frequency magnetron sputtering (mfMS), and inductively coupled plasma magnetron sputtering (ICPMS) methods. Two mixed metallic phases, namely, α-Mo and γ-Mo2N, were detected from [...] Read more.
This study focuses on the characterization of MoN thin films deposited by the direct current magnetron sputtering (dcMS), mid-frequency magnetron sputtering (mfMS), and inductively coupled plasma magnetron sputtering (ICPMS) methods. Two mixed metallic phases, namely, α-Mo and γ-Mo2N, were detected from the film obtained using the dcMS, whereas only single γ-Mo2N phase was detected from the films obtained using the mfMS and ICPMS. Furthermore, the residual stress of the deposited thin films was strongly dependent on the sputtering process. As the mfMS and ICPMS deposition process were introduced, the film morphology changed from a porous columnar to a dense structure with finer grains than film deposited using dcMS. The surface roughness and crystal grain size of coated films were investigated by atomic force microscopy and X-ray diffraction analysis methods. Furthermore, the variation in hardness and electrical resistivity of the MoN thin films deposited by three plasma-enhanced magnetron sputtering was explained on the basis of microstructure and residual stress of the thin films. Full article
(This article belongs to the Section Thin Films)
Show Figures

Figure 1

16 pages, 2746 KB  
Article
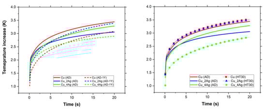
Topographic, Thermal and Chemical Characterization of Oxidized Cu and Cu-Ag Thin Films
by Maria C. Carrupt, Ana M. Ferraria, Ana P. Serro and Ana P. Piedade
Materials 2025, 18(19), 4562; https://doi.org/10.3390/ma18194562 - 30 Sep 2025
Viewed by 187
Abstract
This study investigated the effects of silver doping, natural ageing, and thermal-induced oxidation on the surface chemistry, morphology, and thermal performance of copper thin films. Ag is used as a doping element in Cu because, in bulk materials it usually refines microstructures, leading [...] Read more.
This study investigated the effects of silver doping, natural ageing, and thermal-induced oxidation on the surface chemistry, morphology, and thermal performance of copper thin films. Ag is used as a doping element in Cu because, in bulk materials it usually refines microstructures, leading to increased hardness and mechanical strength through mechanisms such as solid solution strengthening and twinning. In this work was also used due to its oxidation resistance. Thin films of pure and silver-doped copper (Cu_2Ag and Cu_4Ag) were deposited by RF magnetron sputtering and characterized as-deposited, naturally aged, at room temperature and humidity for one year, and thermally treated at 200 °C, in air. The characterization included X-ray photoelectron spectroscopy (XPS), Atomic Force microscopy (AFM), and thermal analysis, specifically thermal conductivity (λ), thermal diffusivity (α), and thermal capacity (ρ.Cp). Surface XPS analysis revealed changes in copper and silver oxidation states after natural aging and annealing. AFM revelead that the incorporation of silver and heat treatment altered the surface roughness and morphology. Thermal analysis found that for lower silver concentrations, the thermal conductivity increased, but aging and annealing had varying effects depending on the silver content. The Cu_4Ag film showed the best thermal stability after natural ageing. Overall, the results suggest that carefully controlled silver doping can enhance the thermal stability of copper thin films for applications where aging is a concern, such as microelectronics. Full article
(This article belongs to the Section Thin Films and Interfaces)
Show Figures

Figure 1

27 pages, 1365 KB  
Systematic Review
Enhancing Osseointegration of Zirconia Implants Using Calcium Phosphate Coatings: A Systematic Review
by Jacek Matys, Ryszard Rygus, Julia Kensy, Krystyna Okoniewska, Wojciech Zakrzewski, Agnieszka Kotela, Natalia Struzik, Hanna Gerber, Magdalena Fast and Maciej Dobrzyński
Materials 2025, 18(19), 4501; https://doi.org/10.3390/ma18194501 - 27 Sep 2025
Viewed by 357
Abstract
Objective: Yttria-stabilized tetragonal zirconia polycrystal (Y-TZP), a variant of zirconia (ZrO2), has attracted interest as a substitute for titanium in dental and orthopedic implants, valued for its biocompatibility and aesthetics that resemble natural teeth. However, its bioinert surface limits osseointegration, making [...] Read more.
Objective: Yttria-stabilized tetragonal zirconia polycrystal (Y-TZP), a variant of zirconia (ZrO2), has attracted interest as a substitute for titanium in dental and orthopedic implants, valued for its biocompatibility and aesthetics that resemble natural teeth. However, its bioinert surface limits osseointegration, making surface modifications such as calcium phosphate (CaP) coatings highly relevant. Materials and methods: The review process adhered to the PRISMA guidelines. Electronic searches of PubMed, Scopus, Web of Science, Embase, and Cochrane Library (July 2025) identified studies evaluating CaP-coated zirconia implants. Eligible studies included in vitro, in vivo, and preclinical investigations with a control group. Data on coating type, deposition method, and biological outcomes were extracted and analyzed. Results: A total of 27 studies were analyzed, featuring different calcium phosphate (CaP) coatings including β-tricalcium phosphate (β-TCP), hydroxyapatite (HA), octacalcium phosphate (OCP), and various composites. These coatings were applied using diverse techniques such as RF magnetron sputtering, sol–gel processing, biomimetic methods, and laser-based approaches. In multiple investigations, calcium phosphate coatings enhanced osteoblast attachment, proliferation, alkaline phosphatase (ALP) expression, and bone-to-implant contact (BIC) relative to unmodified zirconia surfaces. Multifunctional coatings incorporating growth factors, antibiotics, or nanoparticles showed additional benefits. Conclusion: CaP coatings enhance the bioactivity of zirconia implants and represent a promising strategy to overcome their inertness. Further standardized approaches and long-term studies are essential to verify their translational relevance. Full article
(This article belongs to the Special Issue Calcium Phosphate Biomaterials with Medical Applications)
Show Figures

Graphical abstract

15 pages, 7089 KB  
Article
Investigation on the Effect of Dynamic Focus Feeding and Widening Path in Nanosecond Laser Drilling
by Jianke Di and Jian Li
Micromachines 2025, 16(10), 1081; https://doi.org/10.3390/mi16101081 - 25 Sep 2025
Viewed by 261
Abstract
Laser trepan drilling and laser helical drilling are typical methods for fabrication of micro through-holes through scanning laser beam. In the drilling process, the subsequent laser pulse may be occluded by the edge and the sputter deposition at the edge of the previous [...] Read more.
Laser trepan drilling and laser helical drilling are typical methods for fabrication of micro through-holes through scanning laser beam. In the drilling process, the subsequent laser pulse may be occluded by the edge and the sputter deposition at the edge of the previous drilled trench. Dynamic focus feeding and widening path can be employed to lessen the occlusion effect and both of them are always employed in laser helical drilling. However, Widening the trench needs to remove more volume of material and may bring certain negative effects such as lowering the recoil pressure as well as less splashing melt due to the limited constraint of trench wall. The effects of dynamic feeding the focal plane and widening the scanning path on the quality and efficiency in the nanosecond laser drilling process were investigated through laser drilling holes with diameter of 500 μm on a 300 μm thick GH4169 plate. Results show that dynamic focus feeding is beneficial in both drilling efficiency and drilling quality. Through laser helical drilling with dynamic focus feeding, micro through-hole can be fabricated in 5 s, and both smaller tilting angle of 0.073 rad and smaller heat-affected zone of 0.63 mm in radius can be obtained. Widening scanning path is helpful to perforating rapidly but leads to much more recast layer coating. the quality of the micro through-holes depends not only on the utilization efficiency of the laser energy, but also on high temperature spatter deposition, which is the source of the difference between different drilling strategies. Due to the low cost in equipment and the better hole quality, the laser drilling, especially laser helical drilling, has potential applications ranging from aerospace fields to normal fields such as the agricultural machinery industry. Full article
(This article belongs to the Special Issue Recent Advances in Micro/Nanofabrication, 2nd Edition)
Show Figures

Figure 1

11 pages, 2198 KB  
Article
Effect of Hafnium-Based Thin Film Thickness on Microstructure and Electrical of Yttrium-Doped Hafnium Oxide Ferroelectric Devices Prepared by Magnetron Sputtering
by Bei Ma, Ke Ma, Xinhui Qin, Yingxue Xi, Jin Zhang, Xinyu Yang, Pengfei Yang and Weiguo Liu
Micromachines 2025, 16(9), 1066; https://doi.org/10.3390/mi16091066 - 21 Sep 2025
Viewed by 354
Abstract
This study employs reactive magnetron sputtering technology to fabricate TiN/Y-HfO2/TiN multilayer thin film devices using titanium targets and yttrium-doped high-purity hafnium targets. A systematic investigation was conducted to explore the influence of hafnium-based thin film thickness on the structural and electrical [...] Read more.
This study employs reactive magnetron sputtering technology to fabricate TiN/Y-HfO2/TiN multilayer thin film devices using titanium targets and yttrium-doped high-purity hafnium targets. A systematic investigation was conducted to explore the influence of hafnium-based thin film thickness on the structural and electrical properties of TiN/Y-HfO2/TiN thin film devices. Radio frequency magnetron sputtering was utilized to deposit Y-HfO2 films of varying thicknesses on TiN electrodes by controlling deposition time, with a yttrium doping concentration of 8.24 mol.%. The surface morphology and crystal structure of the thin films were characterized using atomic force microscopy (AFM), Raman spectroscopy, X-ray diffraction (XRD). Results indicate that as film thickness increases, surface roughness and Raman peak intensity increase correspondingly, with the tetragonal phase (t) characteristic peak being most prominent at 65 nm. DC magnetron sputtering was employed to deposit TiN top electrodes, resulting in TiN/Y-HfO2/TiN thin film devices. Following rapid thermal annealing at 700 °C, electrical properties were evaluated using a ferroelectric tester. Leakage current density exhibited a decreasing trend with increasing film thickness, while the maximum polarization intensity gradually increased, reaching a maximum of 11.5 μC/cm2 at 120 nm. Full article
(This article belongs to the Special Issue Recent Advances in Thin-Film Devices)
Show Figures

Figure 1

16 pages, 4419 KB  
Article
Thermoplasmonic Nanorings via Sputter Deposition
by Xavier Baami González, Peter K. Petrov and Duncan S. Sutherland
Materials 2025, 18(18), 4371; https://doi.org/10.3390/ma18184371 - 18 Sep 2025
Viewed by 417
Abstract
The fabrication of plasmonic nanostructures with precise geometries and scalable production remains a critical challenge for advancing light–matter interaction technologies in applications such as sensing, photonics, and thermal management. Here, we present a versatile, self-assembly-based strategy for metallic nanoring fabrication. We extend Hole-mask [...] Read more.
The fabrication of plasmonic nanostructures with precise geometries and scalable production remains a critical challenge for advancing light–matter interaction technologies in applications such as sensing, photonics, and thermal management. Here, we present a versatile, self-assembly-based strategy for metallic nanoring fabrication. We extend Hole-mask Colloidal Lithography (HCL) by employing ring-shaped holes to produce nanorings via direct current (DC) magnetron sputtering. The process relies entirely on industry-standard thin-film techniques, enabling wafer-scale integration. Using this approach, we fabricate copper (Cu) nanorings with tunable near-infrared (NIR) resonances suitable for thermoplasmonic applications. The thermoplasmonic performance of these nanorings is evaluated under direct sunlight, revealing efficient photon-to-heat conversion. Nanorings displayed enhanced heating, outperforming nanodisks of equivalent size, with maximum surface temperatures reaching approximately 37 °C, an increase of over 13 °C above ambient, in contrast to the 6 °C increase shown by disks that reached a temperature of 30 °C. This superior performance is attributed to the nanoring geometry, which promotes stronger light absorption and localized heating. Overall, our results demonstrate that Cu nanorings represent a robust and scalable plasmonic platform with significant potential for solar-driven technologies and thermal management applications. Full article
(This article belongs to the Section Metals and Alloys)
Show Figures

Graphical abstract

7 pages, 627 KB  
Communication
SERS Response of Graphene Oxide on Magnetron-Sputtered Gold Films
by Grazia Giuseppina Politano
Nanomaterials 2025, 15(18), 1438; https://doi.org/10.3390/nano15181438 - 18 Sep 2025
Viewed by 347
Abstract
Graphene oxide (GO) is a two-dimensional material with interesting optical properties, widely studied for its potential in ultrasensitive detection of substances and prospective optoelectronic properties. In this study, GO thin films were deposited onto gold layers obtained by direct current (DC) magnetron sputtering, [...] Read more.
Graphene oxide (GO) is a two-dimensional material with interesting optical properties, widely studied for its potential in ultrasensitive detection of substances and prospective optoelectronic properties. In this study, GO thin films were deposited onto gold layers obtained by direct current (DC) magnetron sputtering, and their Raman scattering response was evaluated. While most Surface Enhanced Raman Scattering (SERS) applications rely on gold nanoparticles, the use of magnetron-sputtered gold films remains relatively underexplored. GO layers were deposited by dip-coating and characterized by micro-Raman spectroscopy and scanning electron microscopy (SEM). Raman spectra of GO on Au samples show a clear enhancement of signal intensity compared to GO on glass, with well-preserved D and G bands and no evident structural degradation. Full article
Show Figures

Figure 1

14 pages, 2423 KB  
Article
Precision-Tuned Magnetron Sputtering for High-Performance Metallized Copper Films
by Ying Yang, Xiaoyu Hao, Liuyan Zhang, Jicheng Ding, Lanfang Geng and Jun Zheng
Coatings 2025, 15(9), 1089; https://doi.org/10.3390/coatings15091089 - 17 Sep 2025
Viewed by 374
Abstract
In the present study, copper (Cu) films were deposited on polyethylene terephthalate (PET) substrates using direct-current (DC) magnetron sputtering technology. A systematic investigation was conducted on the effects of process parameters, such as target power, gas flow rate, and substrate temperature, on the [...] Read more.
In the present study, copper (Cu) films were deposited on polyethylene terephthalate (PET) substrates using direct-current (DC) magnetron sputtering technology. A systematic investigation was conducted on the effects of process parameters, such as target power, gas flow rate, and substrate temperature, on the microstructure and properties of copper films. The results showed that an increase in the target power resulted in enhanced film grain size, accompanied by a reduction in resistivity and an improvement in adhesion strength. Furthermore, resistivity increased monotonically with elevated gas flow rates, whereas the adhesion strength was found to achieve its maximum at a flow rate of 350 mL/min. In addition, substrate temperature variations had negligible influence on the film grain size and resistivity; nevertheless, the adhesion progressively decreased with increasing substrate temperature. A set of optimal parameters (3 kW, 350 mL/min, −15 °C) was determined based on the comprehensive evaluation of deposition efficiency, conductivity and adhesion performance. The Cu film prepared under these conditions exhibited low resistivity (8.37 × 10−8 Ω·m) and improved adhesion strength (166 gf/mm). Therefore, it is concluded that high performance of metallized Cu films could be achieved by fine-tuning deposition parameters. Full article
Show Figures

Figure 1

20 pages, 3079 KB  
Article
Taguchi Optimization of Corrosion Resistance and Wettability of a-C Films on SS316L Deposited via Magnetron Sputtering Technique
by Xiaoxing Yang, Cunlong Zhou, Zhengyi Jiang, Jingwei Zhao, Tianxiang Wang and Haojie Duan
Coatings 2025, 15(9), 1084; https://doi.org/10.3390/coatings15091084 - 16 Sep 2025
Viewed by 457
Abstract
Due to the exceptional corrosion resistance, chemical stability, and dense microstructure, carbon-based thin films are extensively employed in hydrogen energy systems. This study employed magnetron sputtering to fabricate amorphous carbon (a-C) films on SS316L substrates, aiming to improve the corrosion resistance of bipolar [...] Read more.
Due to the exceptional corrosion resistance, chemical stability, and dense microstructure, carbon-based thin films are extensively employed in hydrogen energy systems. This study employed magnetron sputtering to fabricate amorphous carbon (a-C) films on SS316L substrates, aiming to improve the corrosion resistance of bipolar plates (BPs) in proton exchange membrane fuel cells (PEMFCs). Using a Taguchi design, the effects of working pressure, sputtering power, substrate bias, and deposition time on film properties were systematically examined and optimized. Films were examined via field emission scanning electron microscopy (FE-SEM), contact angle measurements, and electrochemical tests. Comprehensive evaluation by the Technique for Order Preference by Similarity to Ideal Solution (TOPSIS) method identified optimal conditions of 1.5 Pa pressure, 150 W radio frequency (RF) power, −250 V bias voltage, and 60 min deposition, yielding dense, uniform films with a corrosion current density of 1.61 × 10−6 A·cm−2 and a contact angle of 106.36°, indicative of lotus leaf-like hydrophobicity. This work enriches the theoretical understanding of a-C film process optimization, offering a practical approach for modifying fuel cell bipolar plates to support hydrogen energy applications. Full article
(This article belongs to the Section Thin Films)
Show Figures

Figure 1

Back to TopTop