Sign in to use this feature.

Years

Between: -

Subjects

remove_circle_outline
remove_circle_outline
remove_circle_outline
remove_circle_outline
remove_circle_outline
remove_circle_outline

Journals

Article Types

Countries / Regions

Search Results (28)

Search Parameters:
Keywords = spring ephemeral

Order results
Result details
Results per page
Select all
Export citation of selected articles as:
30 pages, 25744 KB  
Article
Long-Term Dynamics and Transitions of Surface Water Extent in the Dryland Wetlands of Central Asia Using a Hybrid Ensemble–Occurrence Approach
by Kanchan Mishra, Hervé Piégay, Kathryn E. Fitzsimmons and Philip Weber
Remote Sens. 2026, 18(3), 383; https://doi.org/10.3390/rs18030383 - 23 Jan 2026
Viewed by 702
Abstract
Wetlands in dryland regions are rapidly degrading under the combined effects of climate change and human regulation, yet long-term, seasonally resolved assessments of surface water extent (SWE) and its dynamics remain scarce. Here, we map and analyze seasonal surface water extent (SWE) over [...] Read more.
Wetlands in dryland regions are rapidly degrading under the combined effects of climate change and human regulation, yet long-term, seasonally resolved assessments of surface water extent (SWE) and its dynamics remain scarce. Here, we map and analyze seasonal surface water extent (SWE) over the period 2000–2024 in the Ile River Delta (IRD), south-eastern Kazakhstan, using Landsat TM/ETM+/OLI data within the Google Earth Engine (GEE) framework. We integrate multiple indices using the modified Normalized Difference Water Index (mNDWI), Automated Water Extraction Index (AWEI) variants, Water Index 2015 (WI2015), and Multi-Band Water Index (MBWI) with dynamic Otsu thresholding. The resulting index-wise binary water maps are merged via ensemble agreement (intersection, majority, union) to delineate three SWE regimes: stable (persists most of the time), periodic (appears regularly but not in every season), and ephemeral (appears only occasionally). Validation against Sentinel-2 imagery showed high accuracy F1-Score/Overall accuracy (F1/OA ≈ 0.85/85%), confirming our workflow to be robust. Hydroclimatic drivers were evaluated through modified Mann–Kendall (MMK) and Spearman’s (r) correlations between SWE, discharge (D), water level (WL), precipitation (P), and air temperature (AT), while a hybrid ensemble–occurrence framework was applied to identify degradation and transition patterns. Trend analysis revealed significant long–term declines, most pronounced during summer and fall. Discharge is predominantly controlled by stable spring SWE, while discharge and temperature jointly influence periodic SWE in summer–fall, with warming reducing the delta surface water. Ephemeral SWE responds episodically to flow pulses, whereas precipitation played a limited role in this semi–arid region. Spatially, area(s) of interest (AOI)-II/III (the main distributary system) support the most extensive yet dynamic wetlands. In contrast, AOI-I and AOI-IV host smaller, more constrained wetland mosaics. AOI-I shows persistence under steady low flows, while AOI-IV reflects a stressed system with sporadic high-water levels. Overall, the results highlight the dominant influence of flow regulation and distributary allocation on IRD hydrology and the need for ecologically timed releases, targeted restoration, and transboundary cooperation to sustain delta resilience. Full article
(This article belongs to the Section Remote Sensing in Geology, Geomorphology and Hydrology)
Show Figures

Figure 1

17 pages, 2274 KB  
Article
The Effect of Smoke-Water on Seed Germination of 18 Grassland Plant Species
by Nicholas Peterson, Wendy Gardner and Lauchlan H. Fraser
Fire 2025, 8(10), 382; https://doi.org/10.3390/fire8100382 - 25 Sep 2025
Viewed by 1936
Abstract
There is an urgent and constant need for land reclamation and to restore self-sustaining, stable, and resilient ecosystems. It is necessary to enhance the frequency, consistency, and success rates of applying native plant seed for ecological restoration. Smoke-water can affect seed germination of [...] Read more.
There is an urgent and constant need for land reclamation and to restore self-sustaining, stable, and resilient ecosystems. It is necessary to enhance the frequency, consistency, and success rates of applying native plant seed for ecological restoration. Smoke-water can affect seed germination of plants, regardless of whether they occur in fire-prone ecosystems. Germination trials of 18 native species of Indigenous value in the southern interior grasslands of British Columbia, Canada were conducted using a smoke aqueous solution. Locally sourced parent plant material was burned to produce smoke-water. Seeds were collected from multiple populations of the species across a wide geographic range within the B.C. southern interior to increase the genetic diversity of the seed stock. Seeds were soaked in smoke aqueous solution in various concentrates, including 0% (control), 1% (1:100), 10% (1:10), 20% (1:5), and 100%. The results indicate that germination rates in the presence of smoke-water are species-specific. Five species showed an increase in germination with smoke-water (Erythronium grandiflorum, Calochortus macrocarpus, Arnica latifolia, Lomatium nudicaule, and Shepherdia canadensis); four species showed no change (Rosa woodsii, Crataegus douglasii, Lewisia rediviva, and Prunus virginiana); and nine species showed some level of decrease (Fritillaria affinis, Fritillaria pudica, Berberis aquifolium, Claytonia lanceolata, Gaillardia aristate, Balsamorhiza sagittata, Allium cernuum, Amelanchier alnifolia, and Lomatium macrocarpum). Smoke-water also affected germination rate by plant form (herbs > shrubs), plant phenology (spring ephemeral and protracted > summer quiescent and summer mature) and plant dispersal mechanism (wind > animal). The treatments applied to encourage the germination of seeds from interior grassland forbs and shrubs have demonstrated that smoke-water can effectively break dormancy and enhance the germination rate from certain native plant species. Full article
Show Figures

Figure 1

15 pages, 2135 KB  
Article
Pollination Strategies of Eranthis stellata (Ranunculaceae), a Spring Ephemeral with Elaborate Petals
by Jiudong Zhang, Jie Sui, Lin Wang, Xianhua Tian, Xiaohui Zhang, Jing Xu and Tianpeng Gao
Biology 2025, 14(7), 804; https://doi.org/10.3390/biology14070804 - 3 Jul 2025
Viewed by 827
Abstract
Spring ephemerals have different pollination strategies to avoid the rareness and/or low activity of insect pollinators caused by low temperature in early spring. However, limited research has been conducted on the effects of elaborate petals and the pseudonectaries on petals on pollinator attraction. [...] Read more.
Spring ephemerals have different pollination strategies to avoid the rareness and/or low activity of insect pollinators caused by low temperature in early spring. However, limited research has been conducted on the effects of elaborate petals and the pseudonectaries on petals on pollinator attraction. We examined the role of the elaborate petals and the pseudonectaries in pollinator attractions of the spring ephemeral Eranthis stellata (Ranunculaceae) using a combination of observational and experimental approaches. The results indicated that the color contrast created by the yellow pseudonectaries that did not secrete nectar on the white petals, was more attractive to both bees and flies as nectar guides, but only bees with relatively longer tongues could access nectar at the base of the petal tubes. Also, the pseudonectaries were food deception for fly visitors. Food deception as a mechanism to increase the efficiency of pollination has not been reported for Ranunculaceae or other basal eudicots. Full article
Show Figures

Figure 1

14 pages, 648 KB  
Article
Study on Decomposition Characteristics of Early Spring Ephemeral Plant Litter in Various Forest Types
by Qiang Liu, Jinping Zheng and Chunnan Fan
Horticulturae 2025, 11(4), 382; https://doi.org/10.3390/horticulturae11040382 - 2 Apr 2025
Viewed by 1293
Abstract
In terrestrial ecosystems, the decomposition of early spring ephemeral plant litter (ESPL for short) is one of the important processes in the carbon and nutrient cycles during the early spring stage. The current study focused on four typical spring ephemeral plant species in [...] Read more.
In terrestrial ecosystems, the decomposition of early spring ephemeral plant litter (ESPL for short) is one of the important processes in the carbon and nutrient cycles during the early spring stage. The current study focused on four typical spring ephemeral plant species in three forest types of Northeast China and investigated the decomposition characteristics of herb litters, using litterbag decomposition experiments. The study results indicate that the mass loss rate of ESPL decomposition after 50 days can be as high as 73.15% to 80.44%. Throughout the entire decomposition period, there is a significant correlation between the decomposition of ESPL and time, with initial decomposition relatively fast and later decomposition slowing down. Overall, Hylomecon japonicum exhibits slightly faster decomposition, and Cardamine leucantha decomposes relatively slowly, while Cardamine leucantha shows the highest mass loss rate in the first 10 days, reaching 38.71%. The mass loss rates of the four types of ESPL are significantly correlated with the litter nutrient conditions, as are the stage-specific mass loss rates. Furthermore, there are distinct differences in the nutrient composition affecting the decomposition of different types of ESPL. Across different forest stands, influenced by different decomposition environments, such as soil conditions, the decomposition of ESPL is fastest in the deciduous broad-leaved forest, with decomposition reaching 50% and 95% in only 15–18 days and 63–88 days, respectively. In the broad-leaved forest, it takes 18–23 days and 78–110 days, while, in the birch forest, it takes 22–32 days and 99–136 days. Full article
(This article belongs to the Section Floriculture, Nursery and Landscape, and Turf)
Show Figures

Figure 1

17 pages, 26856 KB  
Article
Changed Seasonality and Forcings of Peak Annual Flows in Ephemeral Channels at Flagstaff, Northern Arizona, USA
by Erik Schiefer and Edward Schenk
Hydrology 2024, 11(8), 115; https://doi.org/10.3390/hydrology11080115 - 3 Aug 2024
Cited by 3 | Viewed by 2664
Abstract
Flood variability associated with urbanization, ecological change, and climatic change is of increasing economic and social concern in and around Flagstaff, Arizona, where flood hydrology is influenced by a biannual precipitation regime and the relatively unique geologic setting at the edge of the [...] Read more.
Flood variability associated with urbanization, ecological change, and climatic change is of increasing economic and social concern in and around Flagstaff, Arizona, where flood hydrology is influenced by a biannual precipitation regime and the relatively unique geologic setting at the edge of the San Francisco Volcanic Field on the southern edge of the Colorado Plateau. There has been limited long-term gauging of the ephemeral channels draining the developed lands and dry coniferous forests of the region, resulting in a spaciotemporal gap in observation-based assessments of large-scale flooding patterns. We present new data from over 10 years of flood monitoring using a crest stage gauge network, combined with other channel monitoring records from multiple agency sources, to assess inter-decadal patterns of flood change in the area, with a specific emphasis on examining how various controls and disturbances have altered the character and seasonality of peak annual flows. Methods of analysis included the following: using Fisher’s Exact Test to compare the seasonality of flooding between historic data spanning the 1970s and contemporary data obtained since 2010; summarizing GIS-based spatial data and meteorological timeseries to characterize study catchment conditions and changes between flood study periods; and relating spatiotemporal patterns of flood seasonality and occurrences of notably large floods with catchment characteristics and environmental changes. Our results show systematic patterns and changes in Flagstaff-area flood regimes that relate to geologic and topographic controls of the varied catchment systems, and in response to records of climate variations and local catchment disturbances, including urbanization and, especially, high-severity wildfire. For most catchments there has been a shift from predominantly late winter to spring snowmelt floods, or mixed seasonal flood regimes, towards monsoon-dominated flooding, patterns which may relate to observed local warming and precipitation changes. Post-wildfire flooding has produced extreme flood discharges which have likely exceeded historical estimates of flood magnitude over decade-long monitoring periods by one to two orders of magnitude. We advocate for continued monitoring and the expansion of local stream gauge networks to enable seasonal, magnitude-frequency trend analyses, improved climate and environmental change attribution, and to better inform the many planned and ongoing flood mitigation projects being undertaken in the increasingly developed Flagstaff region. Full article
(This article belongs to the Special Issue Runoff Modelling under Climate Change)
Show Figures

Graphical abstract

18 pages, 5039 KB  
Article
Isotopic Signatures of Microbial Mg-Carbonates Deposited in an Ephemeral Hyperalkaline Lake (Central Spain): Paleoenvironmental Implications
by María E. Sanz-Montero, Pablo del Buey, Óscar Cabestrero and Mónica Sánchez-Román
Minerals 2023, 13(5), 617; https://doi.org/10.3390/min13050617 - 28 Apr 2023
Cited by 7 | Viewed by 2404
Abstract
Interpretation of stable isotope (C and O) composition of lacustrine carbonates requires in-depth knowledge about the interplay between the abiotic and biotic processes in sedimentary environments. The present study, focused on Mg-carbonates from a well-characterized alkaline and ephemeral lake, gives new insight into [...] Read more.
Interpretation of stable isotope (C and O) composition of lacustrine carbonates requires in-depth knowledge about the interplay between the abiotic and biotic processes in sedimentary environments. The present study, focused on Mg-carbonates from a well-characterized alkaline and ephemeral lake, gives new insight into the behavior of the stable isotopes during the seasonal precipitation of a variety of carbonates. Dolomite and Mg-calcite precipitate intracellularly within Spirogyra during spring and show lighter isotopic signatures (δ13C aver. −4.10‰ and δ18O aver. −0.75‰, VPDB) than a second association of carbonates, such as hydromagnesite, northupite and traces of magnesite among other sodium-bearing carbonates (δ13C aver., −1.34‰ and δ18O aver. 4.52‰, VPDB). The latter precipitate in association with degraded microbial mats as the lake desiccates during summer. Covariant trends between carbonate δ13C and δ18O reflect isotope enrichment related to evapoconcentration. The seasonal cycling of inorganic carbon among carbonate minerals, microbial biomass, lake water and pore water was also analyzed, revealing variations of δ13C within a range of −12.40‰ to −0.43‰. The more depleted 13C derives from the decay of the microbial mats. The less negative values are distinctive of the bulk carbonates forming crusts in summer. Intracellular calcite and dolomite have δ13C and δ18O values (VPDB) ranging, from −5.45‰ to −3.07‰ and −2.48‰ to 1.58‰, respectively, that are intermediate between those two endmembers. These intracellular carbonates are enriched in 13C by 5‰ with respect to dissolved inorganic carbon (δ13C in the range of −11.79‰ to −6.87‰, VPDB) due to the vital effect of photosynthesis. The crust of carbonates deposited as the lake desiccates dissolve interannually. Alternatively, dolomite and Mg-calcite as well as their isotopic compositions persist during synsedimentary diagenesis, confirming that carbonate biominerals provide isotopic signatures related to the environmental conditions of formation with potential of preservation in the rock record. Full article
(This article belongs to the Special Issue Sulphate and Carbonate Minerals)
Show Figures

Figure 1

12 pages, 3691 KB  
Article
Examining the Stand Level CO2 Fluxes of Spring Forest Geophytes
by Szilárd Czóbel, Dénes Saláta, Tivadar Baltazár, Petra Trenyik and Orsolya Szirmai
Forests 2023, 14(5), 860; https://doi.org/10.3390/f14050860 - 22 Apr 2023
Viewed by 1576
Abstract
Spring forest ephemerals often create homogeneous patches in the understory; however, our knowledge about their stand level characteristics is deficient. Our aims were to examine, parallel to their phenology, the stand level Net Ecosystem CO2 Exchange (NEE) and evapotranspiration (ET) fluxes as [...] Read more.
Spring forest ephemerals often create homogeneous patches in the understory; however, our knowledge about their stand level characteristics is deficient. Our aims were to examine, parallel to their phenology, the stand level Net Ecosystem CO2 Exchange (NEE) and evapotranspiration (ET) fluxes as well as the dependence of NEE on leaf area (LA), air temperature (Tair) and light (PPFD) in three spring forest geophytes that are widespread in Europe. Furthermore, we compared the leaf and stand level net photosynthesis. The methods used included open chamber measurements with an infrared gas analyser in permanent plots on a weekly basis. The results showed that the stand levels of all three species proved to be carbon sinks from the beginning of the vegetation period until the end of it or until the last phase of fruit formation. The largest amount of carbon sink was observed at the peak of blooming. A positive linear correlation was measured between NEE and PPFD as well as between NEE and LA, while a negative linear regression was measured between NEE and Tair. The remarkable carbon uptake capacity indicates the non-negligible role of geophyte vegetation in the carbon flux of temperate forests. In addition, the research provided new proof about the role of stand level operation, stability and regulation. Full article
Show Figures

Figure 1

15 pages, 4021 KB  
Article
Snowpack Aging, Water Isotope Evolution, and Runoff Isotope Signals, Palouse Range, Idaho, USA
by Jeff B. Langman, Julianna Martin, Ethan Gaddy, Jan Boll and David Behrens
Hydrology 2022, 9(6), 94; https://doi.org/10.3390/hydrology9060094 - 25 May 2022
Cited by 12 | Viewed by 4261
Abstract
A snowpack’s δ2H and δ18O values evolve with snowfall, sublimation, evaporation, and melt, which produces temporally variable snowpack, snowmelt, and runoff isotope signals. As a snowpack ages, the relatively depleted δ2H and δ18O values of [...] Read more.
A snowpack’s δ2H and δ18O values evolve with snowfall, sublimation, evaporation, and melt, which produces temporally variable snowpack, snowmelt, and runoff isotope signals. As a snowpack ages, the relatively depleted δ2H and δ18O values of snow will become less depleted with sublimation and evaporation, and the internal distribution of isotope signals is altered with melt moving through and out of the snowpack. An examination of δ2H and δ18O values for snowpack, snowmelt, and ephemeral creek water in the Palouse Range of northern Idaho indicated an evolution from variably depleted snowpack to enriched snowmelt and relatively consistent isotope signals in springtime ephemeral creeks. Within the primary snow band of the mountain range and during the winter–spring period of 2019–2020, the snowpack had an isotope range of −130 to −75‰ for δ2H and −18 to −10.5‰ for δ18O with resulting snowmelt values of −120 to −90‰ for δ2H and −16.5 to −12.5‰ for δ18O. With runoff of snowmelt to ephemeral creeks, the isotope values compressed to −107 to −104‰ for δ2H and −15.5 to −14.5‰ for δ18O. Aging of the snowpack produced increasing densities in the base, middle, and upper layers along with a corresponding enrichment of isotope values. The highest elevation site indicated the least enrichment of δ2H and δ18O in the snowpack base layer, and the lowest elevation site indicated the strongest enrichment of δ2H and δ18O in the snowpack base layer. Deuterium excess decreased with snowpack aging processes of accumulation and melt release, along with the migration of water vapor and snowmelt within the snowpack. It is likely that winter melt (early depleted signal) is a primary contributor to creeks and groundwater along the Palouse Range, but the strong variability of snowpack isotope signals provides a wide range of possible isotope signals to surface-water and groundwater systems at the mountain front. Full article
(This article belongs to the Section Surface Waters and Groundwaters)
Show Figures

Graphical abstract

30 pages, 34527 KB  
Article
A Vision on a UNESCO Global Geopark at the Southeastern Dead Sea in Jordan—Geosites and Conceptual Approach
by Djamil Al-Halbouni, Osama AlRabayah and Lars Rüpke
Land 2022, 11(4), 549; https://doi.org/10.3390/land11040549 - 8 Apr 2022
Cited by 10 | Viewed by 9173
Abstract
A vision for the establishment of a Geopark in Jordan is given in this work, with a subsequent application to the UNESCO Global Geopark programme. The Dead Sea area and its surroundings have suffered strong changes in the last decades, accompanied by a [...] Read more.
A vision for the establishment of a Geopark in Jordan is given in this work, with a subsequent application to the UNESCO Global Geopark programme. The Dead Sea area and its surroundings have suffered strong changes in the last decades, accompanied by a variety of natural hazards related to enhanced erosional processes. The aspiring Geopark will thematically encompass the influence that these changes and related natural hazards, including flash floods and subsidence, have had on the local population, from geological, over historical up to recent times. The hydrogeology and geomorphology, i.e., the connection between erosion by water, dissolution of minerals, and landscape evolution, will be the main guiding theme that connects the Eastern Rim Highlands with the Dead Sea rift valley through ephemeral wadis, vegetated springs areas, and traditionally communities. The creation of the Geopark is aimed at holistic, sustainable development and management of the area by eco-tourism, and includes education on water resource management, hazard awareness and resilience, as well as international research. We here present the conceptual approach to the initial development of a Geopark network in Jordan. In a narrative discourse, we highlight realised and further implementation steps, with an evaluation of the expected timeline, potential partner institutions, regional involvement and the chances for realisation. Full article
(This article belongs to the Special Issue Geoparks as a Form of Tourism Space Management)
Show Figures

Figure 1

15 pages, 2675 KB  
Article
Cytogeography of the East Asian Tulips (Amana, Liliaceae)
by Jing Wu, Meizhen Wang, Zhangshichang Zhu, Minqi Cai, Joongku Lee and Pan Li
Taxonomy 2022, 2(1), 145-159; https://doi.org/10.3390/taxonomy2010012 - 10 Mar 2022
Cited by 5 | Viewed by 4122
Abstract
Amana Honda (Liliaceae), known as ‘east Asian tulips’, is a spring ephemeral genus endemic to Sino-Japanese Floristic Subregion, mainly distributed in eastern and central China, Japan and the Korean peninsula. Chromosome numbers are reported here for the first time from 89 populations of [...] Read more.
Amana Honda (Liliaceae), known as ‘east Asian tulips’, is a spring ephemeral genus endemic to Sino-Japanese Floristic Subregion, mainly distributed in eastern and central China, Japan and the Korean peninsula. Chromosome numbers are reported here for the first time from 89 populations of Amana (representing all seven accepted species, two new species about to be published, and two suspected new species). Three ploidy levels are found in this genus. These are diploid (2n = 2x = 24) and tetraploid (2n = 4x = 48) in the widespread A. edulis, while all the narrow endemics are diploid, except for one population of A. tianmuensis, which is triploid (2n = 3x = 36). The northernmost and southernmost populations of A. edulis are diploid and tetraploid, respectively, while diploids and tetraploids coexist in between, with gradual transition to diploids as the latitude increases. This may indicate polyploids have an advantage in tolerance of environmental stress and are more adaptable to high-temperature environment in subtropical regions than diploids. The species and cytotype distributions in Amana are complex, and these results provide hypotheses about the origins of the genus and the polyploid cytotypes. Full article
Show Figures

Figure 1

13 pages, 2314 KB  
Article
Ecophysiological and Growth-Related Traits of Two Geophytes Three Years after the Fire Event in Grassland Steppe
by Zorica Popović and Vera Vidaković
Plants 2022, 11(6), 734; https://doi.org/10.3390/plants11060734 - 10 Mar 2022
Cited by 4 | Viewed by 3026
Abstract
Deliblato Sands is the single largest expanse of sand in Europe. It is the most fire-prone area of Serbia due to the absence of surface water, sandy soils, specific microclimate conditions, and vegetation composition. Post-fire regeneration is a long-term process that includes many [...] Read more.
Deliblato Sands is the single largest expanse of sand in Europe. It is the most fire-prone area of Serbia due to the absence of surface water, sandy soils, specific microclimate conditions, and vegetation composition. Post-fire regeneration is a long-term process that includes many aspects of vegetation regrowth and habitat recovery. In the third year following one of the disastrous fires, the growth dynamics of two geophyte species in unburned and burned sites were studied. During the growing season, burned and unburned populations of Crocus reticulatus Steven ex Adam and Iris pumila L. were assessed for growth parameters (biomass production, specific leaf area, leaf area index) and leaf-level ecophysiological traits (photosystem II efficiency, chlorophyll amount, relative water content). Species acclimated differently to changed abiotic and biotic site conditions after the fire event. C. reticulatus burned and unburned populations differed significantly in terms of flowering phenology and ecophysiological traits, whereas I. pumila burned and unburned populations differed significantly in terms of growth parameters. The findings support the assertion that geophytes are generally well adapted to environmental disturbances. Species, however, responded differently to fire-induced changes in the physicochemical and biotic environment, depending on their ecological requirements and adaptive capacity. Full article
(This article belongs to the Section Plant Ecology)
Show Figures

Figure 1

9 pages, 1510 KB  
Article
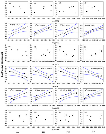
Trait–Abundance Relationships of Annual Ephemerals in Response to Nitrogen Addition in Gurbantunggut Desert
by Mao Wang, Haiyang Ma and Dunyan Tan
Diversity 2021, 13(11), 569; https://doi.org/10.3390/d13110569 - 7 Nov 2021
Cited by 2 | Viewed by 2351
Abstract
Understanding the effect of nitrogen addition on species trait–abundance relationships is one of the central focuses of community ecology and can offer us insights into the mechanisms of community assembly under atmospheric nitrogen deposition. However, few studies have focused on desert ecosystems. In [...] Read more.
Understanding the effect of nitrogen addition on species trait–abundance relationships is one of the central focuses of community ecology and can offer us insights into the mechanisms of community assembly under atmospheric nitrogen deposition. However, few studies have focused on desert ecosystems. In this study, we measured the abundance and ecological stoichiometric traits, leaf carbon content (LCC), nitrogen content (LNC), and phosphorus content (LPC) for all annual ephemerals in all plots subjected to nitrogen addition in early spring in Gurbantunggut Desert, northern Xinjiang, China. We found a significant relationship between traits (LNC, N:P, and C:N) and abundance, indicating that ecological stoichiometry is a good proxy for explaining and predicting species abundance. We further found that significant trait–abundance relationships still existed under different nitrogen addition levels. The result suggests that trait-based niche-assembly theory plays an important role in determining species abundance under atmospheric nitrogen deposition. Full article
Show Figures

Figure 1

22 pages, 11835 KB  
Article
Tracing δ18O and δ2H in Source Waters and Recharge Pathways of a Fractured-Basalt and Interbedded-Sediment Aquifer, Columbia River Flood Basalt Province
by David Behrens, Jeff B. Langman, Erin S. Brooks, Jan Boll, Kristopher Waynant, James G. Moberly, Jennifer K. Dodd and John W. Dodd
Geosciences 2021, 11(10), 400; https://doi.org/10.3390/geosciences11100400 - 23 Sep 2021
Cited by 10 | Viewed by 3900
Abstract
The heterogeneity and anisotropy of fractured-rock aquifers, such as those in the Columbia River Basalt Province, present challenges for determining groundwater recharge. The entrance of recharge to the fractured-basalt and interbedded-sediment aquifer in the Palouse region of north-central Idaho is not well understood [...] Read more.
The heterogeneity and anisotropy of fractured-rock aquifers, such as those in the Columbia River Basalt Province, present challenges for determining groundwater recharge. The entrance of recharge to the fractured-basalt and interbedded-sediment aquifer in the Palouse region of north-central Idaho is not well understood because of successive basalt flows that act as restrictive barriers. It was hypothesized that a primary recharge zone exists along the basin’s eastern margin at a mountain-front interface where eroded sediments form a more conductive zone for recharge. Potential source waters and groundwater were analyzed for δ18O and δ2H to discriminate recharge sources and pathways. Snowpack values ranged from −22 to −12‰ for δ18O and from −160 to −90‰ for δ2H and produced spring-time snowmelt ranging from −16.5 to −12‰ for δ18O and from −120 to −90‰ for δ2H. With the transition of snowmelt to spring-time ephemeral creeks, the isotope values compressed to −16 and −14‰ for δ18O and −110 and −105‰ for δ2H. A greater range of values was present for a perennial creek (−18 to −13.5‰ for δ18O and −125 to −98‰ for δ2H) and groundwater (−17.5 to −13‰ for δ18O and −132 to −105‰ for δ2H), which reflect a mixing of seasonal signals and the varying influence of vapor sources and sublimation/evaporation. Inverse modeling and the evaluation of matrix characteristics indicate conductive pathways associated with paleochannels and deeper pathways along the mountain-front interface. Depleted isotope signals indicate quicker infiltration and recharge pathways that were separate from, or had limited mixing with, more evaporated water that infiltrated after greater time/travel at the surface. Full article
(This article belongs to the Collection Early Career Scientists’ (ECS) Contributions to Geosciences)
Show Figures

Graphical abstract

13 pages, 1259 KB  
Article
Is Plant Life-History of Biseasonal Germination Consistent in Response to Extreme Precipitation?
by Yanfeng Chen, Hui Zhang, Lingwei Zhang, Lan Zhang, Qiumei Cao, Huiliang Liu and Daoyuan Zhang
Plants 2021, 10(8), 1642; https://doi.org/10.3390/plants10081642 - 10 Aug 2021
Cited by 7 | Viewed by 3207
Abstract
Future climate is projected to increase in the intensity and frequency of extreme precipitation events, and the resulting ecological consequences are often more serious than those of normal precipitation events. In particular, in desert ecosystems, due to the low frequency and strong fluctuation [...] Read more.
Future climate is projected to increase in the intensity and frequency of extreme precipitation events, and the resulting ecological consequences are often more serious than those of normal precipitation events. In particular, in desert ecosystems, due to the low frequency and strong fluctuation of extreme precipitation, the destructive consequences for desert plants caused by extreme precipitation have not received enough attention for some time. Based on statistics of extreme precipitation events (1965–2018) in the Gurbantunggut Desert, we investigated the effects of extreme precipitation (+0%, CK; +50%, W1; +100%, W2; +200%, W3; maintenance of field capacity, W4) on the plant life-history of the spring-germinated (SG) and autumn-germinated (AG) ephemeral plant Erodium oxyrhynchum by monitoring seedling emergence, survival, phenology, organ size, biomass accumulation, and allocation. The results showed that extreme precipitation caused about 2.5% seedling emergence of E. oxyrhynchum in autumn 2018 and 3.0% seedling emergence in early spring 2019, which means that most seeds may be stored in the soil or have died. Meanwhile, extreme precipitation significantly improved the survival, organ size, and biomass accumulation of SG and AG plants, and W3 was close to the precipitation threshold of SG (326.70 mm) and AG (560.10 mm) plants corresponding to the maximum individual biomass; thus, AG plants with a longer life cycle need more water for growth. Conversely, W4 caused AG plants to enter the leaf stage in advance and led to death in winter, which indicates that extreme precipitation may not be good for AG plants. Root and reproduction biomass allocation of SG and AG plants showed a significantly opposite trend under extreme precipitation treatments, which might be related to their different life-history strategies. Therefore, when only taking into account the changing trend of extreme precipitation from the Coupled Model Intercomparison Project 6 (CMIP6) climate projections data, we speculate that extreme precipitation may promote the growth of SG and AG plants from the beginning to the middle of this century, but extreme precipitation in autumn exceeding a certain threshold may adversely affect the survival of AG plants at the end of the century. Full article
(This article belongs to the Special Issue Plant Reproductive Development and Ecology)
Show Figures

Graphical abstract

13 pages, 3473 KB  
Communication
New Evidence on the Distribution of the Highly Endangered Natrix natrix cypriaca and Implications for Its Conservation
by Savvas Zotos, Marilena Stamatiou, Andrea Naziri, Sotiris Meletiou, Stalo Demosthenous, Konstantinos Perikleous, Elena Erotokritou, Marina Xenophontos, Despo Zavrou, Kyriaki Michael and Lefkios Sergides
Animals 2021, 11(4), 1077; https://doi.org/10.3390/ani11041077 - 9 Apr 2021
Cited by 9 | Viewed by 5350
Abstract
The critically endangered Cyprus grass snake (Natrix natrix cypriaca) has been studied for the past 25 years. Although the need for a complete survey on the distribution of its population, outside the strict boundaries of the known mountainous localities, had been [...] Read more.
The critically endangered Cyprus grass snake (Natrix natrix cypriaca) has been studied for the past 25 years. Although the need for a complete survey on the distribution of its population, outside the strict boundaries of the known mountainous localities, had been stressed, such an effort has not been conducted to date. In this study, we used a rapid survey approach to investigate possible sightings of the species upstream of the known distribution in the Troodos Mountains. We are presenting evidence from 13 sightings of the species that expand the previously known distribution in Cyprus by nearly 70%. This is the first time that new localities for the critically endangered N. n. cypriaca have been reported since the rediscovery of the species in 1992 and the extensive work that followed. Almost all new localities were discovered outside of the currently known species distribution, while individuals were found, for the first time, within the Natura 2000 site of Dasos Machaira (CY2000004) with indications of healthy populations in the area. New localities were recorded within watersheds of the Pediaios and Gialias Rivers, the first sightings outside of Serrachis watershed, indicating an even broader distribution of the species in the Troodos region. The importance of sparse springs within systems of ephemeral streams is highlighted as an exceptional niche for the population in the region. We are discussing the importance of our findings for the conservation of the species and propose targeted conservation actions that will highly improve connectivity of the populations in the region. We underline the necessity of expanding the research on this critically endangered subspecies, based on current findings, so as to fully comprehend its ecology and distribution range in the region. Full article
(This article belongs to the Section Ecology and Conservation)
Show Figures

Figure 1

Back to TopTop