Changed Seasonality and Forcings of Peak Annual Flows in Ephemeral Channels at Flagstaff, Northern Arizona, USA
Abstract
1. Introduction
2. Study Area
3. Methods
3.1. Catchment Environmental Change
3.2. Stream Gauge Data
3.3. Peak Annual Flood Analyses
4. Results
4.1. Mountain Drainages
4.2. Rio de Flag in Flagstaff
4.3. Plateau Drainages
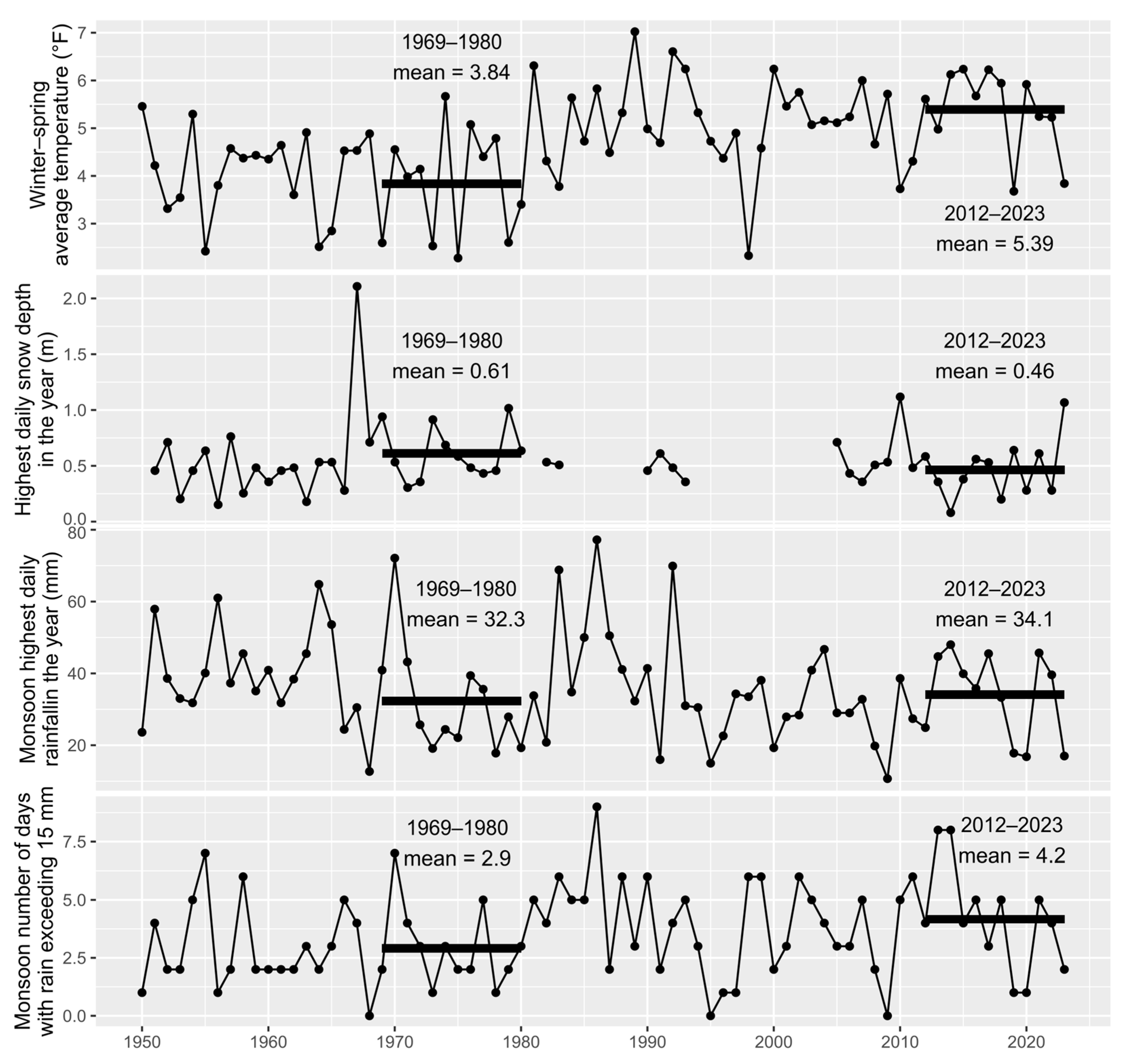
4.4. Climate Variations
5. Discussion
5.1. Geologic and Topographic Controls
5.2. Urbanization
5.3. Climate Variations and Forest Treatment
5.4. Wildfires
5.5. Broader Context
6. Conclusions
Supplementary Materials
Author Contributions
Funding
Data Availability Statement
Acknowledgments
Conflicts of Interest
References
- Lee, H.; Calvin, K.; Dasgupta, D.; Krinner, G.; Mukherji, A.; Thorne, P.; Trisos, C.; Romero, J.; Aldunce, P.; Ruane, A.C. IPCC, 2023: Climate Change 2023: Synthesis Report, Summary for Policymakers. In Contribution of Working Groups I, II and III to the Sixth Assessment Report of the Intergovernmental Panel on Climate Change; Lee, H., Romero, J., Eds.; IPCC: Geneva, Switzerland, 2023. [Google Scholar] [CrossRef]
- Ranasinghe, R.; Ruane, A.C.; Vautard, R.; Arnell, N.; Coppola, E.; Cruz, F.A.; Dessai, S.; Saiful Islam AK, M.; Rahimi, M.; Carrascal, D.R.; et al. Climate Change Information for Regional Impact and for Risk Assessment; Cambridge University Press: Cambridge, UK, 2021. [Google Scholar] [CrossRef]
- Dudley, R.W.; Hodgkins, G.A.; McHale, M.R.; Kolian, M.J.; Renard, B. Trends in snowmelt-related streamflow timing in the conterminous United States. J. Hydrol. 2017, 547, 208–221. [Google Scholar] [CrossRef]
- Huang, H.; Fischella, M.R.; Liu, Y.; Ban, Z.; Fayne, J.V.; Li, D.; Cavanaugh, K.C.; Lettenmaier, D.P. Changes in mechanisms and characteristics of western US floods over the last sixty years. Geophys. Res. Lett. 2022, 49, e2021GL097022. [Google Scholar] [CrossRef]
- Burn, D.H.; Whitfield, P.H. Climate related changes to flood regimes show an increasing rainfall influence. J. Hydrol. 2023, 617, 129075. [Google Scholar] [CrossRef]
- Wehner, M.F.; Arnold, J.R.; Knutson, T.; Kunkel, K.E.; LeGrande, A.N. Droughts, floods, and wildfires. In Climate Science Special Report: Fourth National Climate Assessment; US Global Change Research Program: Washington, DC, USA, 2017; Volume 1, p. GSFC-E-DAA-TN49033. [Google Scholar] [CrossRef]
- Zhang, W.; Gillies, R. The role of anthropogenic forcing in western United States hydroclimate extremes. Geophys. Res. Lett. 2022, 49, e2022GL100659. [Google Scholar] [CrossRef]
- Juang, C.S.; Williams, A.P.; Abatzoglou, J.T.; Balch, J.K.; Hurteau, M.D.; Moritz, M.A. Rapid growth of large forest fires drives the exponential response of annual forest-fire area to aridity in the western United States. Geophys. Res. Lett. 2022, 49, e2021GL097131. [Google Scholar] [CrossRef] [PubMed]
- Parks, S.A.; Holsinger, L.M.; Blankenship, K.; Dillon, G.K.; Goeking, S.A.; Swaty, R. Contemporary wildfires are more severe compared to the historical reference period in western US dry conifer forests. For. Ecol. Manag. 2023, 544, 121232. [Google Scholar] [CrossRef]
- Hodgkins, G.A.; Dudley, R.W.; Archfield, S.A.; Renard, B. Effects of climate, regulation, and urbanization on historical flood trends in the United States. J. Hydrol. 2019, 573, 697–709. [Google Scholar] [CrossRef]
- Archfield, S.A.; Hirsch, R.M.; Viglione, A.; Blöschl, G. Fragmented patterns of flood change across the United States. Geophys. Res. Lett. 2016, 43, 10–232. [Google Scholar] [CrossRef]
- Villarini, G.; Slater, L.J. Examination of changes in annual maximum gauge height in the continental United States using quantile regression. J. Hydrol. Eng. 2018, 23, 06017010. [Google Scholar] [CrossRef]
- Dickinson, J.E.; Harden, T.M.; McCabe, G.J. Seasonality of climatic drivers of flood variability in the conterminous United States. Sci. Rep. 2019, 9, 15321. [Google Scholar] [CrossRef]
- Kim, H.; Villarini, G. On the potential use of weather types to describe the interannual variability of annual maximum discharge across the conterminous United States. Hydrol. Process. 2023, 37, e15014. [Google Scholar] [CrossRef]
- Wobus, C.; Gutmann, E.; Jones, R.; Rissing, M.; Mizukami, N.; Lorie, M.; Mahoney, H.; Wood, A.W.; Mills, D.; Martinich, J. Climate change impacts on flood risk and asset damages within mapped 100-year floodplains of the contiguous United States. Nat. Hazards Earth Syst. Sci. 2017, 17, 2199–2211. [Google Scholar] [CrossRef]
- Schenk, E.R. Rio de Flag Hydrology Study Executive Summary. Technical Report. City of Flagstaff. 2023. Available online: https://www.researchgate.net/publication/373549310_Rio_de_Flag_Hydrology_Study_Executive_Summary?channel=doi&linkId=64f0fa304a2a2214db29719d&showFulltext=true (accessed on 1 September 2023). [CrossRef]
- Hill, G.W.; Hales, T.A.; Aldridge, B.N. Flood hydrology near Flagstaff, Arizona (No. 87-4210); US Geological Survey: Tucson, AZ, USA, 1988.
- Schenk, E.R.; Schiefer, E.; Young, E.; Helton, C. Surface Water Hydrology and Flood Recurrence in the Flagstaff, Arizona Area, 2008–2019. City of Flagstaff Technical Report. Flagstaff. 2021, AZ91p. Available online: https://www.hydroshare.org/resource/8da8bb7cb66d475ea03af1a79b38a446/ (accessed on 25 July 2024). [CrossRef]
- Youberg, A.M.; Ben-Horin, J.Y. Geologic Map of the Northwestern Flagstaff Area, Coconino County, Arizona; Arizona Geological Survey Digital Geologic Map 128 (DGM-128, Version 1.0, 1 Sheet, Layout Scale 1:24,000, with Text); Arizona Geological Survey: Tucson, AZ, USA, 2021.
- Holm, R.F. Geology of Flagstaff and Geologic History of Rio de Flag, Northern Arizona With Trail Guides to Geology along Rio de Flag; Arizona Geological Survey: Tucson, AZ, USA, 2019. Available online: http://hdl.handle.net/10150/632924 (accessed on 25 July 2024).
- Heinlein, T.A.; Moore, M.M.; Fulé, P.Z.; Covington, W.W. Fire history and stand structure of two ponderosa pine–mixed conifer sites: San Francisco Peaks, Arizona, USA. Int. J. Wildland Fire 2005, 14, 307–320. [Google Scholar] [CrossRef]
- Schenk, E.R.; O’Donnell, F.; Springer, A.E.; Stevens, L.E. The impacts of tree stand thinning on groundwater recharge in aridland forests. Ecol. Eng. 2020, 145, 105701. [Google Scholar] [CrossRef]
- Passovoy, M.D.; Fulé, P.Z. Snag and woody debris dynamics following severe wildfires in northern Arizona ponderosa pine forests. For. Ecol. Manag. 2006, 223, 237–246. [Google Scholar] [CrossRef]
- Friday, J. The Operation and Maintenance of a Crest-Stage Gaging Station (No. 66-45); US Geological Survey, Surface Water Branch: Portland, OR, USA, 1965. [CrossRef]
- Rakowski, M. Lake Mary Watershed Monitoring Baseline Hydrology Report. Unpublished Technical Report to the Lake Mary-Walnut Creek Technical Advisory Committee. 2022. Available online: https://www.flagstaff.az.gov/DocumentCenter/View/75467 (accessed on 25 July 2024).
- National Weather Service (NOAA) Forecast Office Flagstaff, AZ “Northern Arizona Monsoon Season”. Available online: https://www.weather.gov/fgz/Monsoon (accessed on 18 January 2024).
- O’Donnell, F. FEMA CTP Task 2: Statistical Analysis Technical Memorandum. A Technical Memorandum to the City of Flagstaff. 2022. [Google Scholar]
- Wasko, C.; Sharma, A. Global assessment of flood and storm extremes with increased temperatures. Sci. Rep. 2017, 7, 7945. [Google Scholar] [CrossRef] [PubMed]
- U.S. Army Corps of Engineers. Flood Plain Information: Rio de Flag and Sinclair Wash: Vicinity of Flagstaff, Coconino County, Arizona; Department of Defense, Army, Corps of Engineers, Los Angeles District. Sept.: Los Angeles, CA, USA, 1975; 36p.
- Stempniewicz, V.A. Evaluating erosion risk mitigation due to forest restoration treatments using alluvial chronology and hydraulic modeling. Master’s Thesis, Northern Arizona University, Flagstaff, AZ, USA, 2014. Available online: https://www.proquest.com/docview/1648966349 (accessed on 25 July 2024).
- O’Donnell, F.C.; Donager, J.; Sankey, T.; Masek Lopez, S.; Springer, A.E. Vegetation structure controls on snow and soil moisture in restored ponderosa pine forests. Hydrol. Process. 2021, 35, e14432. [Google Scholar] [CrossRef]
- Touma, D.; Stevenson, S.; Swain, D.L.; Singh, D.; Kalashnikov, D.A.; Huang, X. Climate change increases risk of extreme rainfall following wildfire in the western United States. Sci. Adv. 2022, 8, eabm0320. [Google Scholar] [CrossRef]
- Larsen, I.J.; MacDonald, L.H.; Brown, E.; Rough, D.; Welsh, M.J.; Pietraszek, J.H.; Libohova, Z.; de Dios Benavides-Solorio, J.; Schaffrath, K. Causes of post-fire runoff and erosion: Water repellency, cover, or soil sealing? Soil Sci. Soc. Am. J. 2009, 73, 1393–1407. [Google Scholar] [CrossRef]
- Hjerpe, E.E.; Colavito, M.M.; Edgeley, C.M.; Burnett, J.T.; Combrink, T.; Vosick, D.; Meador, A.S. Measuring the long-term costs of uncharacteristic wildfire: A case study of the 2010 Schultz Fire in Northern Arizona. Int. J. Wildland Fire 2023, 32, 1474–1486. [Google Scholar] [CrossRef]
- Porter, R.; Joyal, T.; Beers, R.; Youberg, A.; Loverich, J.; Schenk, E.; Robichaud, P.R. Characterization of Environmental Seismic Signals in a Post-Wildfire Environment: Examples From the Museum Fire, AZ. J. Geophys. Res. Earth Surf. 2023, 128, e2022JF006962. [Google Scholar] [CrossRef]
- Schenk, E.R.; Loverich, J.; Haden, A. Modeling post-wildfire flood dynamics to determine urban stormwater infrastructure needs: Flagstaff Arizona case study. In Proceedings of the SEDHYD Conference Proceedings, St. Louis, MO, USA, 8–12 May 2023. [Google Scholar]
- Schenk, E.R.; Wood, A.; Haden, A.; Baca, G.; Fleishman, J.; Loverich, J. Post-wildfire sediment source and transport modeling, empirical observations, and applied mitigation: An Arizona USA case study. EGUsphere 2023, 2023, 1–23. [Google Scholar] [CrossRef]
- Colavito, M.M.; Edgeley, C.M.; von Hedemann, N. Public Experiences with Wildfire and Flooding: A Case Study of the 2019 Museum Fire Near Flagstaff, Arizona. In ERI White Paper—Issues in Forest Restoration; Ecological Restoration Institute, Northern Arizona University: Flagstaff, AZ, USA, 2023; 57p. [Google Scholar]
- Gorr, A.N.; McGuire, L.A.; Youberg, A.M.; Beers, R.; Liu, T. Inundation and flow properties of a runoff-generated debris flow following successive high-severity wildfires in northern Arizona, USA. Earth Surf. Process. Landf. 2024, 49, 622–641. [Google Scholar] [CrossRef]
- Beers, R.; Youberg, A.; McGuire, L.; Robichaud, P.; Schenk, E. Monitoring the efficacy of novel flood-mitigation structures below the 2022 Pipeline Fire burn scar. Geol. Soc. Am. Abstr. Programs 2023, 55, 6. [Google Scholar] [CrossRef]
- Cea, L.; Costabile, P. Flood risk in urban areas: Modelling, management and adaptation to climate change. A review. Hydrology 2022, 9, 50. [Google Scholar] [CrossRef]
- Goodrich, D.C.; Kepner, W.G.; Levick, L.R.; Wigington, P.J., Jr. Southwestern intermittent and ephemeral stream connectivity. JAWRA J. Am. Water Resour. Assoc. 2018, 54, 400–422. [Google Scholar] [CrossRef]
- Camarasa-Belmonte, A.M. Flash-flooding of ephemeral streams in the context of climate change. Cuad. Investig. Geográfica 2021, 47, 121–142. [Google Scholar] [CrossRef]
- Tramblay, Y.; Khedimallah, A.; Sadaoui, M.; Benaabidate, L.; Boulmaiz, T.; Boutaghane, H.; Dakhlaoui, H.; Hanich, L.; Ludwig, W.; Meddi, M.; et al. Regional flood frequency analysis in North Africa. J. Hydrol. 2024, 630, 130678. [Google Scholar] [CrossRef]
- Xu, Z.; Zhang, Y.; Blöschl, G.; Piao, S. Mega forest fires intensify flood magnitudes in southeast Australia. Geophys. Res. Lett. 2023, 50, e2023GL103812. [Google Scholar] [CrossRef]



| Rio de Flag (HHR) | All Events | Rio de Flag (HHR) | Large (>Q50) Events | ||
| Snowmelt | Monsoon | Snowmelt | Monsoon | ||
| historic | 5 | 2 | historic | 5 | 0 |
| recent | 5 | 7 | recent | 2 | 2 |
| p value = 0.35 | p value = 0.17 | ||||
| odds ratio = 3.3 | odds ratio = Inf | ||||
| Schultz Creek | All events | Schultz Creek | Large (>Q50) events | ||
| Snowmelt | Monsoon | Snowmelt | Monsoon | ||
| historic | 3 | 1 | historic | 3 | 1 |
| recent | 3 | 10 | recent | 2 | 5 |
| p value = 0.10 | p value = 0.24 | ||||
| odds ratio = 8.5 | odds ratio = 6.1 | ||||
| Rio de Flag (Cres-Cherry) | All Events | Rio de Flag (Cres-Cherry) | Large (>Q50) Events | ||
| Snowmelt | Monsoon | Snowmelt | Monsoon | ||
| historic | 10 | 3 | historic | 8 | 3 |
| recent | 2 | 10 | recent | 2 | 5 |
| p value < 0.01 | p value = 0.14 | ||||
| odds ratio = 14 | odds ratio = 5.9 | ||||
| Rio de Flag (Benton-I40) | All events | Rio de Flag (Benton-I40) | Large (>Q50) events | ||
| Snowmelt | Monsoon | Snowmelt | Monsoon | ||
| historic | 5 | 3 | historic | 5 | 1 |
| recent | 1 | 12 | recent | 1 | 6 |
| p value = 0.01 | p value = 0.03 | ||||
| odds ratio = 17 | odds ratio = 20 | ||||
| Sinclair Wash | All Events | Bow and Arrow | All Events | ||||
| Fall–Winter | Snowmelt | Monsoon | Fall–Winter | Snowmelt | Monsoon | ||
| historic | 4 | 3 | 4 | historic | 3 | 1 | 5 |
| recent | 0 | 1 | 12 | recent | 0 | 4 | 10 |
| full model p-value = 0.01 | full model p-value = 0.08 | ||||||
| group1 | group2 | p-value | group1 | group2 | p-value | ||
| Fall–Winter | Snowmelt | 1 | Fall–Winter | Snowmelt | 0.14 | ||
| Fall–Winter | Monsoon | 0.01 | Fall–Winter | Monsoon | 0.07 | ||
| Snowmelt | Monsoon | 0.10 | Snowmelt | Monsoon | 1 | ||
| Fay-Cherry Cr | All events | Fay-Cherry Cr | Large (>Q50) events | ||||
| Fall–Winter | Snowmelt | Monsoon | Fall–Winter | Snowmelt | Monsoon | ||
| historic | 4 | 2 | 5 | historic | 4 | 1 | 0 |
| recent | 1 | 7 | 5 | recent | 0 | 3 | 4 |
| full model p-value = 0.14 | full model p-value = 0.03 | ||||||
| group1 | group2 | p-value | group1 | group2 | p-value | ||
| Fall–Winter | Snowmelt | 0.09 | Fall–Winter | Snowmelt | 0.14 | ||
| Fall–Winter | Monsoon | 0.58 | Fall–Winter | Monsoon | 0.03 | ||
| Snowmelt | Monsoon | 0.35 | Snowmelt | Monsoon | 1 | ||
Disclaimer/Publisher’s Note: The statements, opinions and data contained in all publications are solely those of the individual author(s) and contributor(s) and not of MDPI and/or the editor(s). MDPI and/or the editor(s) disclaim responsibility for any injury to people or property resulting from any ideas, methods, instructions or products referred to in the content. |
© 2024 by the authors. Licensee MDPI, Basel, Switzerland. This article is an open access article distributed under the terms and conditions of the Creative Commons Attribution (CC BY) license (https://creativecommons.org/licenses/by/4.0/).
Share and Cite
Schiefer, E.; Schenk, E. Changed Seasonality and Forcings of Peak Annual Flows in Ephemeral Channels at Flagstaff, Northern Arizona, USA. Hydrology 2024, 11, 115. https://doi.org/10.3390/hydrology11080115
Schiefer E, Schenk E. Changed Seasonality and Forcings of Peak Annual Flows in Ephemeral Channels at Flagstaff, Northern Arizona, USA. Hydrology. 2024; 11(8):115. https://doi.org/10.3390/hydrology11080115
Chicago/Turabian StyleSchiefer, Erik, and Edward Schenk. 2024. "Changed Seasonality and Forcings of Peak Annual Flows in Ephemeral Channels at Flagstaff, Northern Arizona, USA" Hydrology 11, no. 8: 115. https://doi.org/10.3390/hydrology11080115
APA StyleSchiefer, E., & Schenk, E. (2024). Changed Seasonality and Forcings of Peak Annual Flows in Ephemeral Channels at Flagstaff, Northern Arizona, USA. Hydrology, 11(8), 115. https://doi.org/10.3390/hydrology11080115

