Sign in to use this feature.

Years

Between: -

Subjects

remove_circle_outline
remove_circle_outline
remove_circle_outline
remove_circle_outline
remove_circle_outline
remove_circle_outline
remove_circle_outline
remove_circle_outline
remove_circle_outline

Journals

remove_circle_outline
remove_circle_outline
remove_circle_outline
remove_circle_outline
remove_circle_outline
remove_circle_outline
remove_circle_outline
remove_circle_outline
remove_circle_outline
remove_circle_outline

Article Types

Countries / Regions

remove_circle_outline
remove_circle_outline
remove_circle_outline
remove_circle_outline
remove_circle_outline

Search Results (411)

Search Parameters:
Keywords = spectral shift analysis

Order results
Result details
Results per page
Select all
Export citation of selected articles as:
19 pages, 1818 KB  
Article
Probabilistic Seismic Fragility of Arch Dam Abutments Under Uplift Pressure
by Hosein Izadi, Seyed Alireza Zareei, Niloofar Salemi and Hadi Bahmani
Buildings 2026, 16(3), 567; https://doi.org/10.3390/buildings16030567 - 29 Jan 2026
Abstract
Uplift pressure is a major contributor to seismic instability in arch dam abutments, particularly where jointed rock masses form wedge-shaped failure blocks. This study develops an integrated numerical framework combining nonlinear finite element analysis, the Londe limit-equilibrium method, and Incremental Dynamic Analysis (IDA) [...] Read more.
Uplift pressure is a major contributor to seismic instability in arch dam abutments, particularly where jointed rock masses form wedge-shaped failure blocks. This study develops an integrated numerical framework combining nonlinear finite element analysis, the Londe limit-equilibrium method, and Incremental Dynamic Analysis (IDA) to quantify the seismic stability of multiple abutment wedges in the Bakhtiari Arch Dam. A three-dimensional finite element model is used to compute dam–abutment thrust forces, while sixteen far-field ground motions are scaled to capture the progression of wedge instability with increasing spectral acceleration. Uplift pressures on joint planes are varied to represent different levels of grout curtain performance. The results indicate that uplift pressure is the dominant factor controlling wedge stability, substantially reducing effective normal stresses and shifting IDA and fragility curves toward lower acceleration demands. Deep wedges (WL4, WL5, WL6 located in the left abutment of the dam) exhibit the highest vulnerability, with instability probabilities exceeding 50% at spectral accelerations as low as 0.34 g under 50% uplift conditions, compared with values greater than 0.65 g for upper wedges. Parametric analyses further show that increasing the joint friction angle significantly enhances seismic resistance, whereas cohesion has a comparatively minor effect. The findings emphasize the necessity of accurate uplift characterization and wedge-specific seismic assessment, and they highlight the crucial role of grout-curtain effectiveness in ensuring the seismic safety of arch dam abutments. Full article
(This article belongs to the Special Issue Innovative Solutions for Enhancing Seismic Resilience of Buildings)
Show Figures

Figure 1

23 pages, 4501 KB  
Article
Complexity-Driven Adversarial Validation for Corrupted Medical Imaging Data
by Diego Renza, Jorge Brieva and Ernesto Moya-Albor
Information 2026, 17(2), 125; https://doi.org/10.3390/info17020125 - 29 Jan 2026
Abstract
Distribution shifts commonly arise in real-world machine learning scenarios in which the fundamental assumption that training and test data are drawn from independent and identically distributed samples is violated. In the case of medical data, such distribution shifts often occur during data acquisition [...] Read more.
Distribution shifts commonly arise in real-world machine learning scenarios in which the fundamental assumption that training and test data are drawn from independent and identically distributed samples is violated. In the case of medical data, such distribution shifts often occur during data acquisition and pose a significant challenge to the robustness and reliability of artificial intelligence systems in clinical practice. Additionally, quantifying these shifts without training a model remains a key open problem. This paper proposes a comprehensive methodological framework for evaluating the impact of such shifts on medical image datasets under artificial transformations that simulate acquisition variations, leveraging the Cumulative Spectral Gradient (CSG) score as a measure of multiclass classification complexity induced by distributional changes. Building on prior work, the proposed approach is meaningfully extended to twelve 2D medical imaging benchmarks from the MedMNIST collection, covering both binary and multiclass tasks, as well as grayscale and RGB modalities. We evaluate the metric analyzing its robustness to clinically inspired distribution shifts that are systematically simulated through motion blur, additive noise, brightness and contrast variation, and sharpness variation, each applied at three severity levels. This results in a large-scale benchmark that enables a detailed analysis of how dataset characteristics, transformation types, and distortion severity influence distribution shifts. Thus, the findings show that while the metric remains generally stable under noise and focus distortions, it is highly sensitive to variations in brightness and contrast. On the other hand, the proposed methodology is compared against Cleanlab’s widely used Non-IID score on the RetinaMNIST dataset using a pre-trained ResNet-50 model, including both class-wise analysis and correlation assessment between metrics. Finally, interpretability is incorporated through class activation map analysis on BloodMNIST and its corrupted variants to support and contextualize the quantitative findings. Full article
Show Figures

Figure 1

26 pages, 11158 KB  
Article
SBAS-InSAR Quantifies Groundwater–Urban Construction Evolution Impacts on Tianjin’s Land Subsidence
by Jia Xu, Yongqiang Cao, Jie Liu, Jiayu Hou, Wei Yan, Changrong Yi and Guodong Jia
Geosciences 2026, 16(2), 57; https://doi.org/10.3390/geosciences16020057 - 27 Jan 2026
Viewed by 57
Abstract
Land subsidence constitutes a critical hazard to coastal megacities globally, amplifying flood risks and damaging infrastructure. Taking Tianjin—a major port city underlain by compressible sediments and affected by groundwater over-exploitation—as a case study, we address two key research gaps: the absence of a [...] Read more.
Land subsidence constitutes a critical hazard to coastal megacities globally, amplifying flood risks and damaging infrastructure. Taking Tianjin—a major port city underlain by compressible sediments and affected by groundwater over-exploitation—as a case study, we address two key research gaps: the absence of a quantitative framework coupling groundwater extraction with construction land expansion, and the inadequate separation of seasonal and long-term subsidence drivers. We developed an integrated remote-sensing-based approach: high-resolution subsidence time series (2016–2023) were derived via Small BAseline Subset Interferometric Synthetic Aperture Radar (SBAS-InSAR) using Sentinel-1 Synthetic Aperture Radar (SAR) imagery, validated against leveling measurements (R > 0.885, error < 20 mm). This subsidence dataset was fused with groundwater level records and annual construction land maps. Seasonal-Trend Decomposition using Loess (STL) isolated trend, seasonal, and residual components, which were input into a Random Forest (RF) model to quantify the relative contributions of subsidence drivers. Dynamic Time Warping (DTW) and Cross-Wavelet Transform (CWT) were further employed to characterize temporal patterns and lag effects between subsidence and its drivers. Our results reveal a distinct shifting subsidence pattern: “areal expansion but intensity weakening.” Groundwater control policies mitigated five historical subsidence funnels, reducing areas with severe subsidence from 72.36% to <5%, while the total subsiding area expanded by 1024.74 km2, with new zones emerging (e.g., northern Dongli District). The RF model identified the long-term groundwater level trend as the dominant driver (59.5% contribution), followed by residual (23.3%) and seasonal (17.2%) components. Cross-spectral analysis confirmed high coherence between subsidence and long-term groundwater trends; the seasonal component exhibited a dominant resonance period of 12 months and a consistent subsidence response lag of 3–4 months. Construction impacts were conceptualized as a “load accumulation-soil compression-time lag” mechanism, with high-intensity engineering projects inducing significant local subsidence. This study provides a robust quantitative framework for disentangling the complex interactions between subsidence, groundwater, and urban expansion, offering critical insights for evidence-based hazard mitigation and sustainable urban planning in vulnerable coastal environments worldwide. Full article
(This article belongs to the Topic Remote Sensing and Geological Disasters)
Show Figures

Figure 1

25 pages, 2206 KB  
Article
Adaptive Bayesian System Identification for Long-Term Forecasting of Industrial Load and Renewables Generation
by Lina Sheng, Zhixian Wang, Xiaowen Wang and Linglong Zhu
Electronics 2026, 15(3), 530; https://doi.org/10.3390/electronics15030530 - 26 Jan 2026
Viewed by 70
Abstract
The expansion of renewables in modern power systems and the coordinated development of upstream and downstream industrial chains are promoting a shift on the utility side from traditional settlement by energy toward operation driven by data and models. Industrial electricity consumption data exhibit [...] Read more.
The expansion of renewables in modern power systems and the coordinated development of upstream and downstream industrial chains are promoting a shift on the utility side from traditional settlement by energy toward operation driven by data and models. Industrial electricity consumption data exhibit pronounced multi-scale temporal structures and sectoral heterogeneity, which makes unified long-term load and generation forecasting while maintaining accuracy, interpretability, and scalability a challenge. From a modern system identification perspective, this paper proposes a System Identification in Adaptive Bayesian Framework (SIABF) for medium- and long-term industrial load forecasting based on daily freeze electricity time series. By combining daily aggregation of high-frequency data, frequency domain analysis, sparse identification, and long-term extrapolation, we first construct daily freeze series from 15 min measurements, and then we apply discrete Fourier transforms and a spectral complexity index to extract dominant periodic components and build an interpretable sinusoidal basis library. A sparse regression formulation with 1 regularization is employed to select a compact set of key basis functions, yielding concise representations of sector and enterprise load profiles and naturally supporting multivariate and joint multi-sector modeling. Building on this structure, we implement a state-space-implicit physics-informed Bayesian forecasting model and evaluate it on real data from three representative sectors, namely, steel, photovoltaics, and chemical, using one year of 15 min measurements. Under a one-month-ahead evaluation using one year of 15 min measurements, the proposed framework attains a Mean Absolute Percentage Error (MAPE) of 4.5% for a representative PV-related customer case and achieves low single-digit MAPE for high-inertia sectors, often outperforming classical statistical models, sparse learning baselines, and deep learning architectures. These results should be interpreted as indicative given the limited time span and sample size, and broader multi-year, population-level validation is warranted. Full article
(This article belongs to the Section Systems & Control Engineering)
29 pages, 4560 KB  
Article
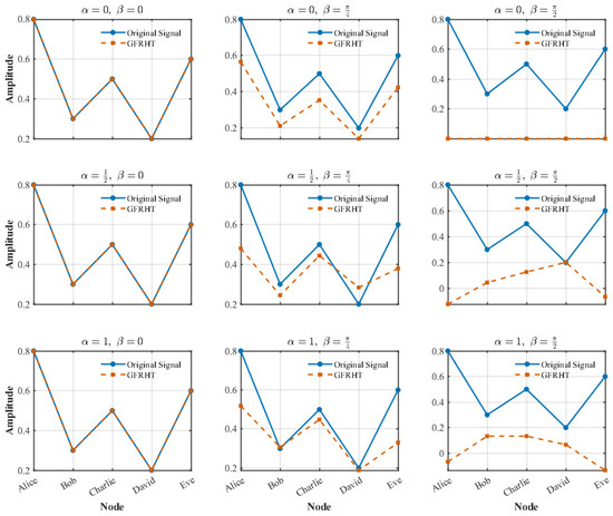
Graph Fractional Hilbert Transform: Theory and Application
by Daxiang Li and Zhichao Zhang
Fractal Fract. 2026, 10(2), 74; https://doi.org/10.3390/fractalfract10020074 - 23 Jan 2026
Viewed by 95
Abstract
The graph Hilbert transform (GHT) is a key tool in constructing analytic signals and extracting envelope and phase information in graph signal processing. However, its utility is limited by confinement to the graph Fourier domain, a fixed phase shift, information loss for real-valued [...] Read more.
The graph Hilbert transform (GHT) is a key tool in constructing analytic signals and extracting envelope and phase information in graph signal processing. However, its utility is limited by confinement to the graph Fourier domain, a fixed phase shift, information loss for real-valued spectral components, and the absence of tunable parameters. The graph fractional Fourier transform introduces domain flexibility through a fractional order parameter α but does not resolve the issues of phase rigidity and information loss. Inspired by the dual-parameter fractional Hilbert transform (FRHT) in classical signal processing, we propose the graph FRHT (GFRHT). The GFRHT incorporates a dual-parameter framework: the fractional order α enables analysis across arbitrary fractional domains, interpolating between vertex and spectral spaces, while the angle parameter β provides adjustable phase shifts and a non-zero real-valued response (cosβ) for real eigenvalues, thereby eliminating information loss. We formally define the GFRHT, establish its core properties, and design a method for graph analytic signal construction, enabling precise envelope extraction and demodulation. Experiments on anomaly identification, speech classification and edge detection demonstrate that GFRHT outperforms GHT, offering greater flexibility and superior performance in graph signal processing. Full article
Show Figures

Figure 1

16 pages, 2333 KB  
Article
On-Chip Volume Refractometry and Optical Binding of Nanoplastics Colloids in a Stable Optofluidic Fabry–Pérot Microresonator
by Noha Gaber, Frédéric Marty, Elodie Richalot and Tarik Bourouina
Photonics 2026, 13(1), 91; https://doi.org/10.3390/photonics13010091 - 20 Jan 2026
Viewed by 142
Abstract
Plastic pollution raises concerns for health and the environment. Plastics are not biodegradable but gradually erode to microplastic and nanoplastic particles spreading almost everywhere. Nanoplastics exhibit colloidal behavior. Thereby, their analysis can be accomplished by refractometry, preferably by an on-chip tool. We present [...] Read more.
Plastic pollution raises concerns for health and the environment. Plastics are not biodegradable but gradually erode to microplastic and nanoplastic particles spreading almost everywhere. Nanoplastics exhibit colloidal behavior. Thereby, their analysis can be accomplished by refractometry, preferably by an on-chip tool. We present a study of such colloids using a microfabricated Fabry–Pérot cavity with curved mirrors, which holds a capillary micro-tube used both for fluid handling and light collimation, resulting in an optically stable microresonator. Despite the numerous scatterers within the sample, the sub-millimeter scale cavity provides the advantages of reduced interaction length while maintaining light confinement. This significantly reduces optical loss and hence keeps resonance modes with quality factors (resonant frequency/bandwidth) above 1100. Therefore, small quantities of colloids can be measured by the interference spectral response through the shift in resonant wavelengths. The particles’ Brownian motion potentially causing perturbations in the spectra can be overcome either by post-measurement cross-correlation analysis or by avoiding it entirely by taking the measurements at once by a wideband source and a spectrum analyzer. The effective refractive index of solutions with solid contents down to 0.34% could be determined with good agreement with theoretical predictions. Even lower detection capabilities might be attained by slightly altering the technique to cause particle aggregation achieved solely by light. Full article
Show Figures

Figure 1

26 pages, 2427 KB  
Article
Alternating Optimization-Based Joint Power and Phase Design for RIS-Empowered FANETs
by Muhammad Shoaib Ayub, Renata Lopes Rosa and Insoo Koo
Drones 2026, 10(1), 66; https://doi.org/10.3390/drones10010066 - 19 Jan 2026
Viewed by 152
Abstract
The integration of reconfigurable intelligent surfaces (RISs) with flying ad hoc networks (FANETs) offers new opportunities to enhance performance in aerial communications. This paper proposes a novel FANET architecture in which each unmanned aerial vehicle (UAV) or drone is equipped with an RIS [...] Read more.
The integration of reconfigurable intelligent surfaces (RISs) with flying ad hoc networks (FANETs) offers new opportunities to enhance performance in aerial communications. This paper proposes a novel FANET architecture in which each unmanned aerial vehicle (UAV) or drone is equipped with an RIS comprising M passive elements, enabling dynamic manipulation of the wireless propagation environment. We address the joint power allocation and RIS configuration problem to maximize the sum spectral efficiency, subject to constraints on maximum transmit power and unit-modulus phase shifts. The formulated optimization problem is non-convex due to coupled variables and interference. We develop an alternating optimization-based joint power and phase shift (AO-JPPS) algorithm that decomposes the problem into two subproblems: power allocation via successive convex approximation and phase optimization via Riemannian manifold optimization. A key contribution is addressing the RIS coupling effect, where the configuration of each RIS simultaneously influences multiple communication links. Complexity analysis reveals polynomial-time scalability, while derived performance bounds provide theoretical insights. Numerical simulations demonstrate that our approach achieves significant spectral efficiency gains over conventional FANETs, establishing the effectiveness of RIS-assisted drone networks for future wireless applications. Full article
Show Figures

Figure 1

22 pages, 6340 KB  
Article
Creep Instability and Acoustic Emission Responses of Bedded Coal Subjected to Compressive Loads and Acidic Water Saturation
by Zhenhua Zhao, Lin Han, Hongjie Sun, Hongtao Li, Rui Zhang, Xinyu Bai and Yu Wang
Appl. Sci. 2026, 16(2), 1005; https://doi.org/10.3390/app16021005 - 19 Jan 2026
Viewed by 108
Abstract
This study investigates the creep behavior and acoustic emission (AE) characteristics of bedded coal samples under acidic water environments. Uniaxial graded creep tests coupled with AE monitoring were conducted on samples with bedding angles of 0°, 30°, 60°, and 90°, respectively. The anisotropic [...] Read more.
This study investigates the creep behavior and acoustic emission (AE) characteristics of bedded coal samples under acidic water environments. Uniaxial graded creep tests coupled with AE monitoring were conducted on samples with bedding angles of 0°, 30°, 60°, and 90°, respectively. The anisotropic mechanical behavior and acoustic emission characteristics in terms of stress–strain, deformation, AE count, AE energy, and spectrum characteristics were revealed. The experimental results show that the strength of the coal samples gradually decreases as the saturation duration increases. At the same axial stress level, the axial deformation of the coal samples becomes larger with increasing saturation duration. The mechanical strength exhibits a distinct “U-shaped” relationship with the bedding angle, initially decreasing and then increasing. Correspondingly, axial deformation at a given stress level first increases and then decreases as the bedding angle increases. AE activity, particularly the AE ring count and energy, peaks at specimen failure, indicating significant fracture development. Spectral analysis revealed that under conditions of severe strength degradation (e.g., 0° bedding after 60-day saturation or 60° bedding after 30-day saturation), high-frequency, high-amplitude AE signals were absent. This suggests a shift in the dominant fracture mechanism from small-scale cracking to larger-scale fracture propagation in weakened samples. These findings offer valuable theoretical insights for the prevention and early warning of coal mine disasters. Full article
(This article belongs to the Topic Failure Characteristics of Deep Rocks, 3rd Edition)
Show Figures

Figure 1

26 pages, 8533 KB  
Article
An Experimental Study on the Influence of Rigid Submerged Vegetation on Flow Characteristics in a Strongly Curved Channel
by Yu Yang, Dongrui Han, Xiongwei Zheng, Fen Zhou, Feifei Zheng and Ying-Tien Lin
Water 2026, 18(2), 256; https://doi.org/10.3390/w18020256 - 18 Jan 2026
Viewed by 169
Abstract
Flow dynamics in strongly curved channels with submerged vegetation play a crucial role in riverine ecological processes and morphodynamics, yet the combined effects of sharp curvature and rigid submerged vegetation remain inadequately understood. This study presents a comprehensive experimental investigation into the influence [...] Read more.
Flow dynamics in strongly curved channels with submerged vegetation play a crucial role in riverine ecological processes and morphodynamics, yet the combined effects of sharp curvature and rigid submerged vegetation remain inadequately understood. This study presents a comprehensive experimental investigation into the influence of rigid submerged vegetation on the flow characteristics within a 180° strongly curved channel. Laboratory experiments were conducted in a U-shaped flume with varying vegetation configurations (fully vegetated, convex bank only, and concave bank only) and two vegetation heights (5 cm and 10 cm). The density of vegetation ϕ was 2.235%. All experimental configurations exhibited fully turbulent flow conditions (Re > 60,000) and subcritical flow regimes (Fr < 1), ensuring gravitational dominance and absence of jet flow phenomena. An acoustic Doppler velocimeter (ADV) was employed to capture high-frequency, three-dimensional velocity data across five characteristic cross-sections (0°, 45°, 90°, 135°, 180°). Detailed analyses were performed on the longitudinal and transverse velocity distributions, cross-stream circulation, turbulent kinetic energy (TKE), power spectral density, turbulent bursting, and Reynolds stresses. The results demonstrate that submerged vegetation fundamentally alters the flow structure by increasing flow resistance, modifying the velocity inflection points, and reshaping turbulence characteristics. Vegetation height was found to delay the manifestation of curvature-induced effects, with taller vegetation shifting the maximum longitudinal velocity to the vegetation canopy top further downstream compared to shorter vegetation. The presence and distribution of vegetation significantly impacted secondary flow patterns, altering the direction of cross-stream circulation in fully vegetated regions. TKE peaked near the vegetation canopy, and its vertical distribution was strongly influenced by the bend, causing the maximum TKE to descend to the mid-canopy level. Spectral analysis revealed an altered energy cascade in vegetated regions and interfaces, with a steeper dissipation rate. Turbulent bursting events showed a more balanced contribution among quadrants with higher vegetation density. Furthermore, Reynolds stress analysis highlighted intensified momentum transport at the vegetation–non-vegetation interface, which was further amplified by the channel curvature, particularly when vegetation was located on the concave bank. These findings provide valuable insights into the complex hydrodynamics of vegetated meandering channels, contributing to improved river management, ecological restoration strategies, and predictive modeling. Full article
(This article belongs to the Topic Advances in Environmental Hydraulics, 2nd Edition)
Show Figures

Figure 1

20 pages, 4131 KB  
Article
Graph Analysis of Age-Related Changes in Resting-State Functional Connectivity Measured with fNIRS
by Víctor Sánchez, Sergio Novi, Alex C. Carvalho, Andres Quiroga, Rodrigo Menezes Forti, Fernando Cendes, Clarissa Lin Yasuda and Rickson C. Mesquita
J. Ageing Longev. 2026, 6(1), 11; https://doi.org/10.3390/jal6010011 - 15 Jan 2026
Viewed by 158
Abstract
Resting-state functional connectivity (rsFC) provides insight into the intrinsic organization of brain networks and is increasingly recognized as a sensitive marker of age-related neural changes. Functional near-infrared spectroscopy (fNIRS) offers a portable and cost-effective approach to measuring rsFC, including in naturalistic settings. However, [...] Read more.
Resting-state functional connectivity (rsFC) provides insight into the intrinsic organization of brain networks and is increasingly recognized as a sensitive marker of age-related neural changes. Functional near-infrared spectroscopy (fNIRS) offers a portable and cost-effective approach to measuring rsFC, including in naturalistic settings. However, its sensitivity to age-related alterations in network topology remains poorly characterized. Here, we applied graph-based analysis to resting-state fNIRS data from 57 healthy participants, including 26 young adults (YA, 18–30 years) and 31 older adults (OA, 50–77 years). We observed that older adults exhibited a marked attenuation of low-frequency oscillation (LFO) power across all hemoglobin contrasts, corresponding to a 5–6-fold reduction in spectral power. In addition, network analysis revealed altered topological organization under matched sparsity conditions, characterized by reduced degree heterogeneity and increased segregation in older adults, with the strongest differences observed in the default mode (DMN), auditory, and frontoparietal control (FPC) networks. Network visualizations further indicated a shift toward more right-lateralized and posterior hub organization in older adults. Together, the coexistence of reduced oscillatory power and increased connectivity suggests that fNIRS-derived rsFC reflects combined neural and non-neural hemodynamic influences, including increased coherence arising from age-related vascular and systemic physiological processes. Overall, our findings demonstrate that fNIRS is sensitive to age-related changes in large-scale hemodynamic network organization. At the same time, sensitivity to non-neural hemodynamics highlights the need for cautious interpretation, but it may provide complementary, clinically relevant signatures of aging-related changes. Full article
Show Figures

Figure 1

19 pages, 7228 KB  
Article
Trace Modelling: A Quantitative Approach to the Interpretation of Ground-Penetrating Radar Profiles
by Antonio Schettino, Annalisa Ghezzi, Luca Tassi, Ilaria Catapano and Raffaele Persico
Remote Sens. 2026, 18(2), 208; https://doi.org/10.3390/rs18020208 - 8 Jan 2026
Viewed by 164
Abstract
The analysis of ground-penetrating radar data generally relies on the visual identification of structures on selected profiles and their interpretation in terms of buried features. In simple cases, inverse modelling of the acquired data set can facilitate interpretation and reduce subjectivity. These methods [...] Read more.
The analysis of ground-penetrating radar data generally relies on the visual identification of structures on selected profiles and their interpretation in terms of buried features. In simple cases, inverse modelling of the acquired data set can facilitate interpretation and reduce subjectivity. These methods suffer from severe restrictions due to antenna resolution limits, which prevent the identification of tiny structures, particularly in forensic, stratigraphic, and engineering applications. Here, we describe a technique to obtain a high-resolution characterization of the underground, based on the forward modelling of individual traces (A-scans) of selected radar profiles. The model traces are built by superposition of Ricker wavelets with different polarities, amplitudes, and arrival times and are used to create reflectivity diagrams that plot reflection amplitudes and polarities versus depth. A thin bed is defined as a layer of higher or lower permittivity relative to the surrounding material, such that the top and bottom reflections are subject to constructive interference, determining the formation of an anomalous peak in the trace (tuning effect). The proposed method allows the detection of ultra-thin layers, well beyond the Rayleigh vertical resolution of GPR antennas. This approach requires a preliminary estimation of the instrumental uncertainty of common monostatic antennas and takes into account the frequency-dependent attenuation, which causes a spectral shift of the dominant frequency acquired by the receiver antenna. Such a quantitative approach to analyzing radar data can be used in several applications, notably in stratigraphic, forensic, paleontological, civil engineering, heritage protection, and soil stratigraphy applications. Full article
Show Figures

Figure 1

23 pages, 2194 KB  
Article
Advanced Preservation Strategies for Inoculants: A Lipid-Biophysical Approach to Bradyrhizobium japonicum Stability
by Luciana Nieva-Muratore, Adriana Belén Cesari, Eugenia Reynoso, Marcela Díaz, Leonel Malacrida, Marta Susana Dardanelli and Natalia Soledad Paulucci
Agronomy 2026, 16(2), 159; https://doi.org/10.3390/agronomy16020159 - 8 Jan 2026
Viewed by 321
Abstract
The intensive use of chemical fertilizers in soybean (Glycine max) cultivation has caused significant environmental degradation, underscoring the urgent need for sustainable alternatives. In Argentina, Bradyrhizobium japonicum E109 is widely employed as a liquid bioinoculant, yet its efficiency is limited by [...] Read more.
The intensive use of chemical fertilizers in soybean (Glycine max) cultivation has caused significant environmental degradation, underscoring the urgent need for sustainable alternatives. In Argentina, Bradyrhizobium japonicum E109 is widely employed as a liquid bioinoculant, yet its efficiency is limited by loss of viability during storage. This study investigated the physiological and biophysical mechanisms underlying membrane adaptation of B. japonicum E109 under storage stress and evaluated lipid supplementation as a stabilization strategy. During six months of liquid storage at 28 °C, bacterial viability (Log CFU mL−1) declined from 10.0 to 7.7, accompanied by morphological collapse and a 29% reduction in membrane fluorescence polarization, indicating increased fluidity. Fatty acid analysis revealed a drastic decrease of unsaturated 18:1 (from 80% to 40%) and a 300–400% increase in saturated 18:0, reducing the U/S ratio from 4 to 1. Spectral phasor analysis confirmed a shift in the lipid microenvironment from an ordered to a disordered state. Supplementation with 400 µM of stearic acid (18:0) restored membrane rigidity, lowered the U/S ratio to 1.5, and improved thermal tolerance. After one month of storage, 18:0-treated cultures maintained 8.0 Log CFU mL−1 and preserved viability after exposure to 37 °C, whereas controls dropped to 3.8 Log CFU mL−1. These results identify lipid remodeling as a key determinant of B. japonicum stability and demonstrate that exogenous 18:0 supplementation mimics natural adaptation, preventing membrane fluidization and enhancing inoculant shelf-life. This lipid-biophysical approach provides a rational framework for developing next generation, more resilient rhizobia formulations for sustainable agriculture. Full article
Show Figures

Graphical abstract

29 pages, 5015 KB  
Article
Synthesis and Structural Characterization of Dinitrogen Chromium Complexes with Triamidoamine Ligands Possessing Bulky Substituents, and Nitrogen Fixation by These Complexes
by Takeru Kuribayashi, Yoshiaki Kokubo, Haruki Nagai, Tomoya Furui, Tomohiro Ozawa, Hideki Masuda and Yuji Kajita
Inorganics 2026, 14(1), 24; https://doi.org/10.3390/inorganics14010024 - 7 Jan 2026
Viewed by 242
Abstract
Chromium complexes with triamidoamine derivatives bearing bulky substituents at the terminal positions of the ligands, tris(2-(3-pentylamino)ethyl)amine (H3LPen) and tris(2-dicyclohexylmethylaminoethyl)amine (H3LCy), are prepared: [{Cr(LPen)}2(μ-N2)] (1), [...] Read more.
Chromium complexes with triamidoamine derivatives bearing bulky substituents at the terminal positions of the ligands, tris(2-(3-pentylamino)ethyl)amine (H3LPen) and tris(2-dicyclohexylmethylaminoethyl)amine (H3LCy), are prepared: [{Cr(LPen)}2(μ-N2)] (1), [{CrK(LPen)(μ-N2)(Et2O)}2] (2), [CrCl(LPen)] (3), [Cr(LCy)] (4), [CrK(LCy)(μ-N2)(18-crown-6)(THF)] (5(THF)), and [CrCl(LCy)] (6). The preparation of these complexes is confirmed by X-ray diffraction analysis. Complexes 1, 2, and 5(THF) have coordinated dinitrogen molecules, with N–N bond lengths of 1.185(3), 1.174(9), and 1.162(3) Å, respectively. These lengths are significantly elongated compared to that of a free dinitrogen molecule (1.10 Å), indicating that the N2 ligands are activated. The ν(14N–14N) values of 1, 2, and 5(THF) are 1715 cm−1 for 1 (Raman, in solution), 1787, 1743 cm−1 for 2 (IR, in solid), and 1824 cm−1 for 5(THF) (IR, in solid), respectively. These values are markedly smaller than free nitrogen (2331 cm−1), confirming that the dinitrogen is interacting with the metal ions and is activated. The structures of 2 and 5(THF) in solution are also studied by 1H NMR and solution IR spectroscopies. 1H NMR spectra of these complexes reveal that the peaks of 2 and 5(THF) are observed in the diamagnetic region, whereas those for the other complexes (1, 3, 4, and 6) exhibit paramagnetic shifts. The reactions of these complexes with K[C10H8] and HOTf under N2 in THF yield hydrazine and a small amount of ammonia; however, they are not catalytic. The 1H NMR and IR spectra of the products obtained by reacting 1 or 3 with reductant K in THF under N2 atmosphere indicate that 2 is formed based on spectral agreement. Similarly, upon examining for 4 or 6, it is confirmed that a species similar to 5(THF) is generated. Full article
(This article belongs to the Special Issue State-of-the-Art Inorganic Chemistry in Japan)
Show Figures

Figure 1

24 pages, 4587 KB  
Article
A Comprehensive Physicochemical Analysis Focusing on the Characterization and Stability of Valsartan Silver Nano-Conjugates
by Abdul Qadir, Khwaja Suleman Hasan, Khair Bux, Khwaja Ali Hasan, Aamir Jalil, Asad Khan Tanoli, Khwaja Akbar Hasan, Shahida Naz, Muhammad Kashif, Nuzhat Fatima Zaidi, Ayesha Khan, Zeeshan Vohra, Herwig Ralf and Shama Qaiser
Int. J. Mol. Sci. 2026, 27(2), 582; https://doi.org/10.3390/ijms27020582 - 6 Jan 2026
Viewed by 506
Abstract
Valsartan (Val)—a lipophilic non-peptide angiotensin II type 1 receptor antagonist—is highly effective against hypertension and displaying limited solubility in water (3.08 μg/mL), thereby resulting in low oral bioavailability (23%). The limited water solubility of antihypertensive drugs can pose a challenge, particularly for rapid [...] Read more.
Valsartan (Val)—a lipophilic non-peptide angiotensin II type 1 receptor antagonist—is highly effective against hypertension and displaying limited solubility in water (3.08 μg/mL), thereby resulting in low oral bioavailability (23%). The limited water solubility of antihypertensive drugs can pose a challenge, particularly for rapid and precise administration. Herein, we synthesize and characterize valsartan-containing silver nanoparticles (Val-AgNPs) using Mangifera indica leaf extracts. The physicochemical, structural, thermal, and pharmacological properties of these nano-conjugates were established through various analytical and structural tools. The spectral shifts in both UV-visible and FTIR analyses indicate a successful interaction between the valsartan molecule and the silver nanoparticles. The resulting nano-conjugates are spherical and within the size range of 30–60 nm as revealed in scanning electron-EDS and atomic force micrographs. The log-normal distribution of valsartan-loaded nanoparticles, with a size range of 30 to 60 nm and a mode of 54 nm, indicates a narrow, monodisperse, and highly uniform particle size distribution. This is a favorable characteristic for drug delivery systems, as it leads to enhanced bioavailability and a consistent performance. Dynamic Light Scattering (DLS) analysis of the Val-AgNPs indicates a polydisperse sample with a tendency toward aggregation, resulting in larger effective sizes in the suspension compared to individual nanoparticles. The accompanying decrease in zeta potential (to −19.5 mV) and conductivity further supports the idea that the surface chemistry and stability of the nanoparticles changed after conjugation. Differential scanning calorimetry (DSC) demonstrated the melting onset of the valsartan component at 113.99 °C. The size-dependent densification of the silver nanoparticles at 286.24 °C correspond to a size range of 40–60 nm, showing a significant melting point depression compared to bulk silver due to nanoscale effects. The shift in Rf for pure valsartan to Val-AgNPs suggests that the interaction with the AgNPs alters the compound’s overall polarity and/or its interaction with the stationary phase, complimented in HPTLC and HPLC analysis. The stability and offloading behavior of Val-AgNPs was observed at pH 6–10 and in 40% and 80% MeOH. In addition, Val-AgNPs did not reveal hemolysis or significant alterations in blood cell indices, confirming the safety of the nano-conjugates for biological application. In conclusion, these findings provide a comprehensive characterization of Val-AgNPs, highlighting their potential for improved drug delivery applications. Full article
Show Figures

Figure 1

41 pages, 25791 KB  
Article
TGDHTL: Hyperspectral Image Classification via Transformer–Graph Convolutional Network–Diffusion with Hybrid Domain Adaptation
by Zarrin Mahdavipour, Nashwan Alromema, Abdolraheem Khader, Ghulam Farooque, Ali Ahmed and Mohamed A. Damos
Remote Sens. 2026, 18(2), 189; https://doi.org/10.3390/rs18020189 - 6 Jan 2026
Viewed by 442
Abstract
Hyperspectral image (HSI) classification is pivotal for remote sensing applications, including environmental monitoring, precision agriculture, and urban land-use analysis. However, its accuracy is often limited by scarce labeled data, class imbalance, and domain discrepancies between standard RGB and HSI imagery. Although recent deep [...] Read more.
Hyperspectral image (HSI) classification is pivotal for remote sensing applications, including environmental monitoring, precision agriculture, and urban land-use analysis. However, its accuracy is often limited by scarce labeled data, class imbalance, and domain discrepancies between standard RGB and HSI imagery. Although recent deep learning approaches, such as 3D convolutional neural networks (3D-CNNs), transformers, and generative adversarial networks (GANs), show promise, they struggle with spectral fidelity, computational efficiency, and cross-domain adaptation in label-scarce scenarios. To address these challenges, we propose the Transformer–Graph Convolutional Network–Diffusion with Hybrid Domain Adaptation (TGDHTL) framework. This framework integrates domain-adaptive alignment of RGB and HSI data, efficient synthetic data generation, and multi-scale spectral–spatial modeling. Specifically, a lightweight transformer, guided by Maximum Mean Discrepancy (MMD) loss, aligns feature distributions across domains. A class-conditional diffusion model generates high-quality samples for underrepresented classes in only 15 inference steps, reducing labeled data needs by approximately 25% and computational costs by up to 80% compared to traditional 1000-step diffusion models. Additionally, a Multi-Scale Stripe Attention (MSSA) mechanism, combined with a Graph Convolutional Network (GCN), enhances pixel-level spatial coherence. Evaluated on six benchmark datasets including HJ-1A and WHU-OHS, TGDHTL consistently achieves high overall accuracy (e.g., 97.89% on University of Pavia) with just 11.9 GFLOPs, surpassing state-of-the-art methods. This framework provides a scalable, data-efficient solution for HSI classification under domain shifts and resource constraints. Full article
(This article belongs to the Section Remote Sensing Image Processing)
Show Figures

Graphical abstract

Back to TopTop