Advanced Preservation Strategies for Inoculants: A Lipid-Biophysical Approach to Bradyrhizobium japonicum Stability
Abstract
1. Introduction
2. Materials and Methods
2.1. Viability Monitoring Under Industrial Storage Conditions
2.2. Visualization by Scanning Electron Microscopy (SEM)
2.3. Fatty Acid Composition Under Industrial Storage Conditions
2.4. Determination of Membrane Microfluidity
2.5. Analysis of the Biophysical State of B. japonicum E109 Membranes Through Hyperspectral Imaging and Phasor Plot Approach
2.5.1. Sample Collection and Cell Immobilization
2.5.2. Confocal Microscopy and Hyperspectral Imaging
2.5.3. Analysis and Interpretation of Spectral Phasor Plots
2.5.4. Quantitative Analysis of Spectral Phasor Distributions
2.6. Fatty Acid Solution Preparation for Culture Supplementation
2.7. Effect of the Exogenous Incorporation of Stearic Acid (18:0) on the Total Fatty Acid Composition of B. japonicum E109
2.8. Effect of Exogenous Stearic Acid on B. japonicum E109 Membrane Fluidity During Storage
2.9. Effect of Temperature Changes on Bacterial Survival During Storage
2.10. Statistical Analyses
3. Results
3.1. Progression of Viability of B. japonicum E109 During Storage
3.2. Morphological Alterations in B. japonicum E109 Cells During Storage
3.3. Adaptive Shifts in Membrane Fatty Acid Composition Under Storage Conditions
3.4. Biophysical Analysis of B. japonicum E109 Membranes During Storage
3.4.1. Dynamic Regulation of Membrane Fluidity
3.4.2. Reorganization of Membrane Microenvironments
3.5. Correlation Between Biophysical Parameters and Bacterial Survival
3.6. Enrichment of the Lipid Envelope of B. japonicum E109 with Exogenous Stearic Acid
3.7. Impact of Stearic Acid Addition on the Survival of B. japonicum E109 Under Different Storage Temperatures
4. Discussion
Limitations
5. Conclusions
Author Contributions
Funding
Data Availability Statement
Acknowledgments
Conflicts of Interest
References
- Di Mauro, G.; Andrade, J.F.; Rotili, D.H.; Álvarez Prado, S. Transformations in Argentinean Soybean Systems: Recent Changes, Challenges, and Opportunities. Crop Environ. 2025, 4, 130–141. [Google Scholar] [CrossRef]
- Hu, M.; Hei, R.; Guo, D.; Luo, J.; Lu, C.; Xu, W.; Zhang, Z.; Xiao, Q.; Ma, Y. Shelf-Life Enhancement of Bio-Inoculants through Synergistic Effects of Encapsulation Technology and Osmotic Protectants. J. Environ. Chem. Eng. 2023, 11, 110996. [Google Scholar] [CrossRef]
- Vezza, M.E.; Pramparo, R.d.P.; Wevar Oller, A.L.; Agostini, E.; Talano, M.E. Promising Co-Inoculation Strategies to Reduce Arsenic Toxicity in Soybean. Environ. Sci. Pollut. Res. 2022, 29, 88066–88077. [Google Scholar] [CrossRef]
- Leggett, M.; Diaz-Zorita, M.; Koivunen, M.; Bowman, R.; Pesek, R.; Stevenson, C.; Leister, T. Soybean Response to Inoculation with Bradyrhizobium japonicum in the United States and Argentina. Agron. J. 2017, 109, 1031–1038. [Google Scholar] [CrossRef]
- Díaz-Rodríguez, A.M.; Parra Cota, F.I.; Cira Chávez, L.A.; García Ortega, L.F.; Estrada Alvarado, M.I.; Santoyo, G.; De los Santos-Villalobos, S. Microbial Inoculants in Sustainable Agriculture: Advancements, Challenges, and Future Directions. Plants 2025, 14, 191. [Google Scholar] [CrossRef] [PubMed]
- Cesari, A.; Paulucci, N.; Biasutti, A.; Morales, G.; Dardanelli, M.S. Changes in the Lipid Composition of Bradyrhizobium Cell Envelope Reveal a Rapid Response to Water Deficit Involving Lysophosphatidylethanolamine Synthesis. Res. Microbiol. 2018, 169, 303–312. [Google Scholar] [CrossRef]
- Paulucci, N.S.; Cesari, A.B.; Biasutti, M.A.; Dardanelli, M.S.; Perillo, M.A. Membrane Homeoviscous Adaptation in Sinorhizobium Submitted to a Stressful Thermal Cycle Contributes to the Maintenance of the Symbiotic Plant–Bacteria Interaction. Front. Microbiol. 2021, 12, 652477. [Google Scholar] [CrossRef]
- Albanesi, D.; Arabolaza, A.; Gramajo, H.; De Mendoza, D. Homeostatic Control of Membrane Lipid Biosynthesis in Bacteria. In Lipid Signaling and Metabolism; Ntambi, J.M., Ed.; Academic Press: Cambridge, MA, USA, 2020; pp. 1–22. [Google Scholar] [CrossRef]
- Berninger, T.; González López, Ó.; Bejarano, A.; Preininger, C.; Sessitsch, A. Maintenance and Assessment of Cell Viability in Formulation of Non-Sporulating Bacterial Inoculants. Microb. Biotechnol. 2018, 11, 277–301. [Google Scholar] [CrossRef]
- Deaker, R.; Hartley, E.; Gemell, G. Conditions Affecting Shelf-Life of Inoculated Legume Seed. Agriculture 2012, 2, 38–51. [Google Scholar] [CrossRef]
- Flegler, A.; Iswara, J.; Mänz, A.T.; Schocke, F.S.; Faßbender, W.A.; Hölzl, G.; Lipski, A. Exogenous Fatty Acids Affect Membrane Properties and Cold Adaptation of Listeria monocytogenes. Sci. Rep. 2022, 12, 1499. [Google Scholar] [CrossRef] [PubMed]
- Qiao, F.; Li, J.; Duan, Z.; Yang, F.; Xuan, S.; Ding, W.; Liu, M.; Zhang, Z.; Liu, T.; Zhang, L.; et al. Remodelling membrane lipid composition through exogenous supplementation of stearic acid improves the survival rate of spray-dried Bifidobacterium animalis. Food Res. Int. 2025, 221, 117223. [Google Scholar] [CrossRef]
- Torres, D.; Revale, S.; Obando, M.; Maroniche, G.; Paris, G.; Perticari, A.; Vázquez, M.; Wisniewski-Dyé, F.; Martínez-Abarca, F.; Cassán, F. Genome Sequence of Bradyrhizobium japonicum E109, One of the Most Agronomically Used Nitrogen-Fixing Rhizobacteria in Argentina. Genome Announc. 2015, 3, e01566-14. [Google Scholar] [CrossRef]
- Somasegaran, P.; Hoben, H.J. Handbook for Rhizobia; Springer: New York, NY, USA, 1994. [Google Scholar]
- Da Silva, R. Técnica de Microgota para Contagem de Células Bacterianas Viáveis em uma Suspensão; Universidade Federal de Viçosa: Viçosa, Brazil, 1996; pp. 1–7. [Google Scholar]
- Bligh, E.; Dyer, W. A Rapid Method of Total Lipid Extraction and Purification. Can. J. Biochem. Physiol. 1959, 37, 911–917. [Google Scholar] [CrossRef] [PubMed]
- Morrison, W.R.; Smith, L.M. Preparation of Fatty Acid Methyl Esters and Dimethylacetals from Lipids with Boron Fluoride–Methanol. J. Lipid Res. 1964, 5, 600–608. [Google Scholar] [CrossRef]
- Mykytczuk, N.C.; Trevors, J.T.; Leduc, L.G.; Ferroni, G.D. Fluorescence Polarization in Studies of Bacterial Cytoplasmic Membrane Fluidity under Environmental Stress. Prog. Biophys. Mol. Biol. 2007, 95, 60–82. [Google Scholar] [CrossRef]
- Litman, B.J.; Barenholz, Y. Fluorescent Probe Diphenylhexatriene. Methods Enzymol. 1982, 81, 678–685. [Google Scholar] [CrossRef]
- Lakowicz, J.R. Principles of Fluorescence Spectroscopy, 2nd ed.; Kluwer Academic: New York, NY, USA, 1999. [Google Scholar]
- Díaz, M.; Zolessi, F.R.; Malacrida, L. Spectral Phasor Plot for Hyperspectral Imaging of Acridine Orange Photophysics within the Cell. bioRxiv 2023. [Google Scholar] [CrossRef]
- Díaz, M.; Robello, C.; Cabrera, A.; Malacrida, L. Modulation of Host Cell Membrane Biophysics Dynamics by Neospora caninum: A Study Using LAURDAN Fluorescence with Hyperspectral Imaging and Phasor Analysis. J. Microsc. 2025. early view. [Google Scholar] [CrossRef] [PubMed]
- Malacrida, L.; Gratton, E.; Jameson, D.M. Model-Free Methods to Study Membrane Environmental Probes: Comparison of the Spectral Phasor and Generalized Polarization Approaches. Methods Appl. Fluoresc. 2015, 3, 047001. [Google Scholar] [CrossRef] [PubMed]
- Malacrida, L.; Ranjit, S.; Jameson, D.M.; Gratton, E. The Phasor Plot: A Universal Circle to Advance Fluorescence Lifetime Analysis and Interpretation. Annu. Rev. Biophys. 2021, 50, 575–593. [Google Scholar] [CrossRef]
- Otaiza-González, S.; Cabadas, M.; Robert, G.; Stock, R.P.; Malacrida, L.; Lascano, R.; Bagatolli, L.A. The Innards of the Cell: Studies of Water Dipolar Relaxation Using the ACDAN Fluorescent Probe. Methods Appl. Fluoresc. 2022, 10, 044010. [Google Scholar] [CrossRef]
- Touche, C.; Hamchaoui, S.; Quilleré, A.; Darsonval, M.; Dubois-Brissonnet, F. Growth of Listeria monocytogenes Is Promoted at Low Temperature When Exogenous Unsaturated Fatty Acids Are Incorporated in Its Membrane. Food Microbiol. 2023, 110, 104170. [Google Scholar] [CrossRef]
- Fadiji, A.E.; Xiong, C.; Egidi, E.; Singh, B.K. Formulation Challenges Associated with Microbial Biofertilizers in Sustainable Agriculture and Paths Forward. J. Sustain. Agric. Environ. 2024, 3, e70006. [Google Scholar] [CrossRef]
- He, S.; Li, L.; Lv, M.; Wang, R.; Wang, L.; Yu, S.; Gao, Z.; Li, X. PGPR: Key to Enhancing Crop Productivity and Achieving Sustainable Agriculture. Curr. Microbiol. 2024, 81, 377. [Google Scholar] [CrossRef]
- Araújo, R.S.; Silva, G.C.; Teixeira, I.R.; Silva, G.R.; Souza, B.M.F.; Devilla, I.A.; Araújo, M.E.V.; Corrêa, P.C. Effect of Pesticides and a Long-Life Inoculant on Nodulation Process and Soybean Seed Quality during Storage. Agronomy 2023, 13, 2322. [Google Scholar] [CrossRef]
- Reguera, Y.B.; Cesari, A.B.; Biasutti, M.A.; Dardanelli, M.S.; Paulucci, N.S. Membrane adaptation of Ochrobactrum intermedium under salt stress enables growth promotion in peanut plants. J. Appl. Microbiol. 2025, 136, lxaf227. [Google Scholar] [CrossRef] [PubMed]
- Dubois-Brissonnet, F.; Trotier, E.; Briandet, R. The Biofilm Lifestyle Involves an Increase in Bacterial Membrane Saturated Fatty Acids. Front. Microbiol. 2016, 7, 1673. [Google Scholar] [CrossRef] [PubMed]
- Resolution 1004/2023; Standards for the Registration of Agricultural Bioinputs. Official Gazette of the Argentine Republic: Buenos Aires, Argentina, 2023.
- Silhavy, T.J.; Kahne, D.; Walker, S. The Bacterial Cell Envelope. Cold Spring Harb. Perspect. Biol. 2010, 2, a000414. [Google Scholar] [CrossRef] [PubMed]
- De Mendoza, D.; Pilon, M. Control of Membrane Lipid Homeostasis by Lipid-Bilayer Associated Sensors: A Mechanism Conserved from Bacteria to Humans. Prog. Lipid Res. 2019, 76, 100996. [Google Scholar] [CrossRef]
- Lande, M.B.; Donovan, J.M.; Zeidel, M.L. Relationship between Membrane Fluidity and Permeabilities to Water, Solutes, Ammonia, and Protons. J. Gen. Physiol. 1995, 106, 67–84. [Google Scholar] [CrossRef]
- Lee, T.H.; Charchar, P.; Separovic, F.; Reid, G.E.; Yarovsky, I.; Aguilar, M.I. The Intricate Link between Membrane Lipid Structure and Composition and Membrane Structural Properties in Bacterial Membranes. Chem. Sci. 2024, 15, 3408–3427. [Google Scholar] [CrossRef]
- Yoon, Y.; Lee, H.; Lee, S.; Kim, S.; Choi, K. Membrane fluidity-related adaptive response mechanisms of foodborne bacterial pathogens under environmental stresses. Food Res. Int. 2015, 72, 25–36. [Google Scholar] [CrossRef]
- Paulucci, N.S.; Medeot, D.B.; Dardanelli, M.S.; De Lema, M.G. Growth Temperature and Salinity Impact Fatty Acid Composition in Peanut Nodulating Rhizobia. Lipids 2011, 46, 435–444. [Google Scholar] [CrossRef] [PubMed]
- Tighe, S.W.; De Lajudie, P.; DiPietro, K.; Lindström, K.; Nick, G.; Jarvis, B.D. Analysis of Cellular Fatty Acids and Phenotypic Relationships of Agrobacterium, Bradyrhizobium, Mesorhizobium, Rhizobium, and Sinorhizobium Species Using the Sherlock Microbial Identification System. Int. J. Syst. Evol. Microbiol. 2000, 50, 787–801. [Google Scholar] [CrossRef] [PubMed]
- Boumahdi, M.; Mary, P.; Hornez, J. Changes in Fatty Acid Composition and Degree of Unsaturation of (Brady) Rhizobia as a Response to Phases of Growth, Reduced Water Activities and Mild Desiccation. Antonie Leeuwenhoek 2001, 79, 73–79. [Google Scholar] [CrossRef]
- Graham, P.H.; Sadowsky, M.J.; Tighe, S.W.; Thompson, J.A.; Date, R.A.; Howieson, J.G.; Thomas, R. Differences among Strains of Bradyrhizobium in Fatty Acid-Methyl Ester Analysis. Can. J. Microbiol. 1995, 41, 1064–1068. [Google Scholar] [CrossRef]
- van den Berg, S.P.H.; Zoumaro-Djayoon, A.; Yang, F.; Bokinsky, G. Exogenous fatty acids inhibit fatty acid synthesis by competing with endogenously generated substrates for phospholipid synthesis in Escherichia coli. FEBS Lett. 2025, 599, 667–681. [Google Scholar] [CrossRef] [PubMed]
- De Mars, Z.; Singh, V.K.; Bose, J.L. Exogenous Fatty Acids Remodel Staphylococcus aureus Lipid Composition through Fatty Acid Kinase. J. Bacteriol. 2020, 202, e00128-20. [Google Scholar] [CrossRef]
- Rowlett, V.W.; Mallampalli, V.K.P.S.; Karlstaedt, A.; Dowhan, W.; Taegtmeyer, H.; Margolin, W.; Vitrac, H. Impact of membrane phospholipid alterations in Escherichia coli on cellular function and bacterial stress adaptation. J. Bacteriol. 2017, 199, e00849-16. [Google Scholar] [CrossRef]
- Yao, J.; Rock, C. Exogenous fatty acid metabolism in bacteria. Biochimie 2017, 141, 30–39. [Google Scholar] [CrossRef]
- Wang, G.; Pu, J.; Dong, C.; Zheng, X.; Guo, B.; Xia, Y.; Ai, L. Effect of Oleic Acid on the Viability of Different Freeze-Dried Lactiplantibacillus plantarum Strains. J. Dairy Sci. 2021, 104, 11457–11465. [Google Scholar] [CrossRef] [PubMed]
- Saito, H.E.; Harp, J.R.; Fozo, E.M. Enterococcus faecalis Responds to Individual Exogenous Fatty Acids Independently of Their Degree of Saturation or Chain Length. Appl. Environ. Microbiol. 2017, 84, e01633-17. [Google Scholar] [CrossRef] [PubMed]
- Tharmasothirajan, A.; Melcr, J.; Linney, J.; Gensch, T.; Krumbach, K.; Ernst, K.M.; Brasnett, C.; Poggi, P.; Pitt, A.R.; Goddard, A.D.; et al. Membrane manipulation by free fatty acids improves microbial plant polyphenol synthesis. Nat. Commun. 2023, 14, 5619. [Google Scholar] [CrossRef]
- Ortega, Á.; Segura, A.; Bernal, P.; Pini, C.; Daniels, C.; Ramos, J.L.; Matilla, M.A. Membrane Composition and Modifications in Response to Aromatic Hydrocarbons in Gram-Negative Bacteria. In Cellular Ecophysiology of Microbe: Hydrocarbon and Lipid Interactions; Springer: Berlin/Heidelberg, Germany, 2018; pp. 373–384. [Google Scholar] [CrossRef]
- Min, B.; Kim, K.; Li, V.; Cho, S.; Kim, H. Changes in Cell Membrane Fatty Acid Composition of Streptococcus thermophilus in Response to Gradually Increasing Heat Temperature. J. Microbiol. Biotechnol. 2020, 30, 739. [Google Scholar] [CrossRef] [PubMed]
- Karmakar, G.; Ghosh, P.; Kohli, K.; Sharma, B.K.; Erhan, S.Z. Chemicals from Vegetable Oils, Fatty Derivatives, and Plant Biomass. In Innovative Uses of Agricultural Products and Byproducts; Tunick, M.H., Liu, L., Eds.; ACS Symposium Series; American Chemical Society: Washington, DC, USA, 2020; Volume 1347, Chapter 1, pp. 1–31. [Google Scholar] [CrossRef]







| Parameter Analyzed | Initial State (T0) | Intermediate Storage (≈1 Month) | Prolonged Storage (≥6–12 Months) | Key Observations |
|---|---|---|---|---|
| Viability (Figure 1) | High, no significant loss | Moderate reduction in Log CFU mL−1 | Marked decrease in Log CFU mL−1 | Progressive viability decline |
| Morphology (Figure 2) | Regular rod shape, well-defined edges | Shortened, irregularly contoured cells with envelope alterations | Increased collapse and surface damage | SEM shows progressive structural deterioration |
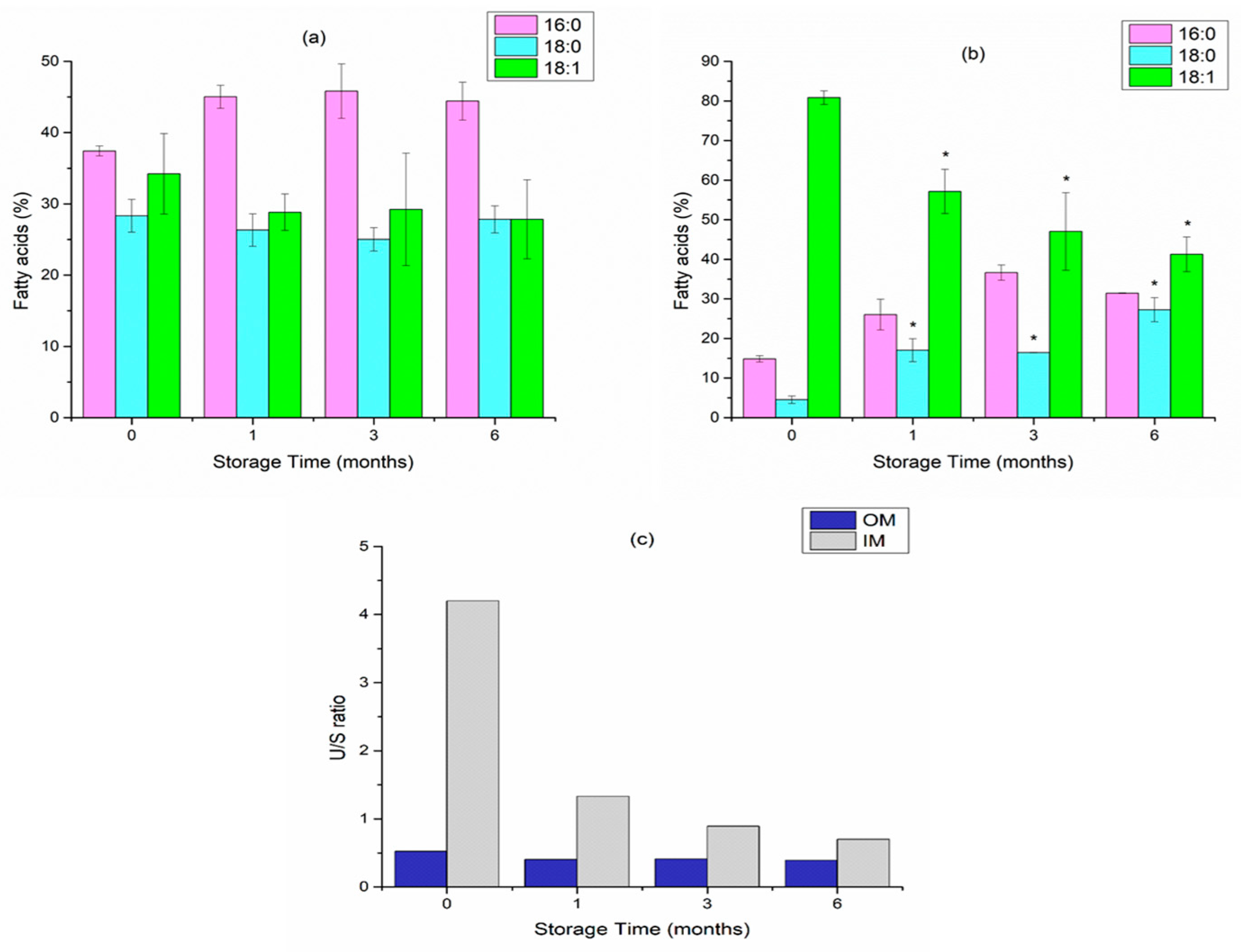
| Fatty Acid composition (Figure 3) | OM: 16:0 dominant (~35–40%); IM: 18:1 predominant (~80%). U/S high in IM (>4) | IM: 18:1 decreases, 16:0 and 18:0 increase. U/S drops to <1.5 | IM: 18:1 reduced to ~40%, 16:0 + 18:0 elevated U/S ~1 | Stronger changes in IM, suggesting partial rigidification |
| Membrane fluidity (DPH polarization) (Figure 4) | High polarization (lower fluidity) | Slight decrease in DPH polarization; tendency toward higher fluidity | Decrease in DPH polarization at 6 months | Overall increase in membrane fluidity during storage |
| Lipid Microenvironments (Spectral phasor PRODAN) (Figure 5) | Blue–magenta tones, lower fluidity; magenta regions mainly at cell poles | Shift toward green tones: increased fluidity and heterogeneity | Green–yellow tones: higher fluidity, increased hydration and lipid disorder | Phasor analysis confirms progressive membrane reorganization |
| Treatments | Storage Time (Months) + Temperature (°C) | |||
|---|---|---|---|---|
| 0 + 28 | 0 + 37 | 1 + 28 | 1 + 37 | |
| w/o 18:0 | 9.54 ± 0.15 | 6.78 ± 0.05 | 8.02 ± 0.19 * | 3.78 ± 0.12 * |
| w/18:0 | 9.80 ± 0.07 | 7.78 ± 0.04 | 8.03 ± 0.06 * | 8.06 ± 0.14 * |
Disclaimer/Publisher’s Note: The statements, opinions and data contained in all publications are solely those of the individual author(s) and contributor(s) and not of MDPI and/or the editor(s). MDPI and/or the editor(s) disclaim responsibility for any injury to people or property resulting from any ideas, methods, instructions or products referred to in the content. |
© 2026 by the authors. Licensee MDPI, Basel, Switzerland. This article is an open access article distributed under the terms and conditions of the Creative Commons Attribution (CC BY) license.
Share and Cite
Nieva-Muratore, L.; Cesari, A.B.; Reynoso, E.; Díaz, M.; Malacrida, L.; Dardanelli, M.S.; Paulucci, N.S. Advanced Preservation Strategies for Inoculants: A Lipid-Biophysical Approach to Bradyrhizobium japonicum Stability. Agronomy 2026, 16, 159. https://doi.org/10.3390/agronomy16020159
Nieva-Muratore L, Cesari AB, Reynoso E, Díaz M, Malacrida L, Dardanelli MS, Paulucci NS. Advanced Preservation Strategies for Inoculants: A Lipid-Biophysical Approach to Bradyrhizobium japonicum Stability. Agronomy. 2026; 16(2):159. https://doi.org/10.3390/agronomy16020159
Chicago/Turabian StyleNieva-Muratore, Luciana, Adriana Belén Cesari, Eugenia Reynoso, Marcela Díaz, Leonel Malacrida, Marta Susana Dardanelli, and Natalia Soledad Paulucci. 2026. "Advanced Preservation Strategies for Inoculants: A Lipid-Biophysical Approach to Bradyrhizobium japonicum Stability" Agronomy 16, no. 2: 159. https://doi.org/10.3390/agronomy16020159
APA StyleNieva-Muratore, L., Cesari, A. B., Reynoso, E., Díaz, M., Malacrida, L., Dardanelli, M. S., & Paulucci, N. S. (2026). Advanced Preservation Strategies for Inoculants: A Lipid-Biophysical Approach to Bradyrhizobium japonicum Stability. Agronomy, 16(2), 159. https://doi.org/10.3390/agronomy16020159

