Next Article in Journal
Optimization of Multi-Layer Neural Network-Based Cooling Load Prediction for Office Buildings Through Data Preprocessing and Algorithm Variations
Previous Article in Journal
A European Photovoltaic Atlas: Technology-Specific Yield Analysis by Tilt and Azimuth
Previous Article in Special Issue
Seismic Response Estimation of Multi-Story Structures Equipped with a Cost-Effective Earthquake Protection System
 
 
Font Type:
Arial Georgia Verdana
Font Size:
Aa Aa Aa
Line Spacing:
Column Width:
Background:
Article

Probabilistic Seismic Fragility of Arch Dam Abutments Under Uplift Pressure

1
Department of Civil Engineering, Isf. C., Islamic Azad University, Isfahan 81551-39998, Iran
2
Department of Civil Engineering, Shahrekord University, Shahrekord 88186-34141, Iran
*
Authors to whom correspondence should be addressed.
Buildings 2026, 16(3), 567; https://doi.org/10.3390/buildings16030567
Submission received: 8 December 2025 / Revised: 29 December 2025 / Accepted: 8 January 2026 / Published: 29 January 2026
(This article belongs to the Special Issue Innovative Solutions for Enhancing Seismic Resilience of Buildings)

Abstract

Uplift pressure is a major contributor to seismic instability in arch dam abutments, particularly where jointed rock masses form wedge-shaped failure blocks. This study develops an integrated numerical framework combining nonlinear finite element analysis, the Londe limit-equilibrium method, and Incremental Dynamic Analysis (IDA) to quantify the seismic stability of multiple abutment wedges in the Bakhtiari Arch Dam. A three-dimensional finite element model is used to compute dam–abutment thrust forces, while sixteen far-field ground motions are scaled to capture the progression of wedge instability with increasing spectral acceleration. Uplift pressures on joint planes are varied to represent different levels of grout curtain performance. The results indicate that uplift pressure is the dominant factor controlling wedge stability, substantially reducing effective normal stresses and shifting IDA and fragility curves toward lower acceleration demands. Deep wedges (WL4, WL5, WL6 located in the left abutment of the dam) exhibit the highest vulnerability, with instability probabilities exceeding 50% at spectral accelerations as low as 0.34 g under 50% uplift conditions, compared with values greater than 0.65 g for upper wedges. Parametric analyses further show that increasing the joint friction angle significantly enhances seismic resistance, whereas cohesion has a comparatively minor effect. The findings emphasize the necessity of accurate uplift characterization and wedge-specific seismic assessment, and they highlight the crucial role of grout-curtain effectiveness in ensuring the seismic safety of arch dam abutments.

1. Introduction

Arch dams, renowned for their structural efficiency and ability to span deep, narrow gorges, rely fundamentally on the stability and integrity of their abutments [1,2,3,4]. The seismic performance of these dams is critically influenced by the mechanical behavior of the jointed rock masses forming the abutments, as well as the complex interaction between the dam structure and its geological foundation [5,6,7,8,9,10]. Historical failures, such as the Malpasset Dam, have underscored the catastrophic consequences of inadequate foundation assessment, particularly in seismically active regions [11,12,13].
The presence of discontinuities, such as joints, faults, and bedding planes, within abutment rock masses introduces significant challenges in predicting seismic response [14,15,16,17]. The dynamic interaction between the dam, abutments, and reservoir further complicates the seismic response, necessitating advanced modeling techniques that account for nonlinearities, joint opening and closing, uplift pressures, and energy dissipation at boundaries [3,18,19].
Recent research emphasizes the importance of considering dam–foundation–reservoir coupling, the role of uplift pressure in joints, and the influence of contraction joints and grout curtain performance on overall stability [20,21,22]. Numerical and experimental studies have demonstrated that factors such as the number and properties of contraction joints, the mechanical characteristics of rock wedges, and the dynamic properties of the foundation rock mass can significantly alter the seismic behavior and damage patterns of arch dams [23,24].
Given the increasing scale of modern arch dams and the prevalence of construction in seismically active zones, a comprehensive understanding of jointed rock mass response and dam–abutment interaction is essential for reliable seismic safety assessment and design.
Uplift pressure in the foundation and abutment joints can substantially alter the stress distribution and deformation patterns within an arch dam during seismic events. The presence of joints and rock wedges in the abutments introduces additional complexity, as uplift pressure can reduce the effective normal stress, potentially triggering sliding or instability of rock wedges and compromising the dam’s overall stability [25,26,27,28]. Recent numerical and experimental studies have demonstrated that uplift pressure not only increases the risk of tensile damage and crack propagation in the dam body but also plays a decisive role in the dynamic response and displacement of the structure under earthquake loading [29,30,31].
Despite the recognized importance of uplift pressure, traditional design and analysis methods have often simplified or neglected its effects, focusing instead on other dynamic loads such as hydrodynamic pressure and inertia forces. However, documented failures and damage in arch dams subjected to strong ground motions have underscored the necessity of a more comprehensive approach that explicitly incorporates uplift pressure effects, especially in the presence of pre-existing cracks or jointed foundations [32,33,34].
The importance of uplift pressure in the seismic stability of arch dams has been highlighted by several recent studies, each providing unique insights into how uplift influences dam safety and performance during earthquakes. For example, Fu et al. [35] examined the causes and implications of abnormal uplift pressure increases in concrete arch dams, emphasizing their connection to hidden seepage paths within the foundation. Through borehole video inspections at the Huaguangtan Dam, combined with detailed three-dimensional numerical stress analyses, the study identified specific seepage mechanisms responsible for elevated uplift pressures under different operating conditions. Although the observed uplift did not directly compromise structural safety, the authors recommended targeted grouting treatments to prevent further crack development and ensure long-term foundation stability. Mostafaei et al. [36] conducted a comprehensive numerical investigation on the Bakhtiari arch dam, focusing on the effects of uplift pressure in abutment joints. Their findings demonstrated that considering uplift pressure in these joints significantly alters the dam’s seismic response, particularly increasing crest displacement and tensile damage. This underscores the necessity of including uplift effects in seismic safety evaluations for arch dams with jointed foundations. In another study, Mostafaei et al. [19] used a probabilistic framework and artificial neural networks to analyze wedge stability in dam abutments under seismic loading. Their sensitivity analysis revealed that uplift pressure, along with friction and cohesion, is among the most influential factors affecting the variance in wedge stability. This work emphasizes that controlling uplift pressure is critical for ensuring the seismic safety of arch dam abutments. Experimental and numerical work by Kadhim [37] further explored the impact of uplift pressure on crack propagation in concrete arch dams. Their shake table experiments and extended finite element modeling showed that dams with higher curvature experienced less displacement and slower crack growth under combined seismic and uplift loading. This suggests that both geometric design and uplift management are important for enhancing dam stability and earthquake resistance. Lusini et al. [16] developed an advanced framework for evaluating the seismic performance of rock wedges in arch-dam abutments using a modified Newmark displacement approach capable of capturing full three-dimensional failure mechanisms. Their method, formulated under rigid-block and no-rotation assumptions, considers all three components of seismic input and accounts for progressive detachment, re-contact, and temporary loss of support between the wedge and discontinuity planes. In addition to gravitational and inertial forces, the approach incorporates dam–wedge interaction forces and reservoir-induced dynamic effects. Application of the method to the Ridracoli arch–gravity dam demonstrated that wedges identified as unstable through traditional limit-equilibrium analysis may still experience relatively small seismic displacements, highlighting the importance of displacement-based evaluation for realistic seismic stability assessment.
Beyond its technical contributions, the present study aligns with broader sustainable development objectives emphasized in national and international governmental directives related to resilient infrastructure, clean energy generation, and disaster-risk reduction. Advanced assessment of abutment stability reduces the risk of catastrophic failure. In this context, the proposed probabilistic framework contributes to evidence-based decision-making for dam safety management programs and resilience-oriented policies, supporting sustainable operation of critical hydraulic infrastructure in seismically active regions.
Despite significant advances in understanding dam–foundation interaction, uplift behavior, and wedge stability, existing studies predominantly address individual aspects of the problem and often rely on simplified assumptions regarding uplift pressure distribution, joint shear parameters, or dam-induced thrust. Moreover, many previous works emphasize either displacement-based or limit-equilibrium approaches but seldom integrate detailed finite element analysis with probabilistic fragility assessment for wedge instability. In tall arch dams located in highly fractured abutments, such as the Bakhtiari Dam, a comprehensive framework is needed to capture the combined effects of uplift pressure, dynamic wedge loading, and joint mechanical properties under realistic seismic conditions. To address this gap, the present study develops an integrated numerical approach that couples nonlinear finite element modeling with the Londe method and Incremental Dynamic Analysis (IDA) to quantify the seismic stability of multiple abutment wedges. Through detailed parametric evaluations of uplift pressure, friction angle, and cohesion, the study provides a deeper understanding of the dominant factors controlling wedge instability and establishes fragility-based insights essential for improving the seismic safety assessment of arch dam abutments.
The remainder of this paper is organized as follows. Section 2 introduces the Londe limit-equilibrium methodology adopted for rock wedge stability analysis and describes the formulation of the safety factor under seismic and uplift loading conditions. Section 3 presents the geological setting of the Bakhtiari Arch Dam and details the configuration and properties of the abutment rock wedges considered in this study. Also, Section 3 describes the development of the three-dimensional finite element model, including dam–foundation–reservoir interaction and the selection of ground motion records for IDA. Section 4 discusses the numerical results, including IDA responses, fragility curves, and parametric analyses assessing the influence of uplift pressure, joint friction angle, and cohesion on wedge stability. Finally, Section 5 summarizes the main findings of the study and outlines key implications for the seismic safety assessment and design of arch dam abutments.

2. Londe Methodology for Rock Wedge Stability Analysis

The Londe method is a classical three-dimensional limit equilibrium approach designed to assess the stability of rock wedges in jointed abutments of arch dams. The wedge is defined by the intersection of three discontinuity planes (P1, P2, P3), and its stability is evaluated assuming that the wedge behaves as a rigid body susceptible to sliding along one plane or the intersection of two planes. The method is especially suited for analyzing blocky rock masses common in dam abutments.
The methodology starts by establishing the geometry of the wedge using the area and orientation (dip and dip direction) of each plane. The method neglects tensile resistance and moment contributions from reaction forces, focusing only on compressive contact forces. This assumption allows simplification of the wedge into a statically determinate system.
Four types of forces are included in the analysis, as shown in Figure 1:
  • Weight of the wedge—derived from its volume and rock unit weight.
  • Uplift pressure—caused by reservoir water pressure acting normally on each joint plane.
  • Seismic inertia forces—due to acceleration in three directions (x, y, z).
  • Dam thrust—the reaction from the dam body due to its weight, hydrostatic pressure, and earthquake effects, often obtained from finite element analysis.
These forces are summed vectorially to obtain the total external load vector acting on the wedge.
Within the framework of the Londe limit-equilibrium method, a rock wedge formed by three discontinuity planes (P1, P2, and P3) may theoretically experience multiple contact, sliding, or separation conditions depending on the sign of the normal reaction forces acting on each plane. Since the contact surfaces are assumed to have no tensile strength, the normal reaction on each plane can only be compressive; the occurrence of a tensile normal reaction indicates detachment of the wedge from that plane.
Accordingly, the wedge behavior can be systematically classified into the following four physically distinct cases, which together encompass the eight theoretical sliding or separation modes:
  • All normal reactions are compressive (N1 > 0, N2 > 0, N3 > 0):
In this case, the wedge remains fully confined by all three planes, and no sliding or separation occurs. The wedge is considered stable, and no failure mechanism is activated.
  • One normal reaction is tensile (one of Ni < 0):
The wedge detaches from one plane while remaining in contact with the other two planes (e.g., P1 and P2). In this configuration, instability may occur through sliding along a single plane or along the direction governed by the remaining compressive reactions. The SF is calculated as:
SF = N 1 t a n ( ϕ 1 ) + c 1 A 1 + N 2 t a n ( ϕ 2 ) + c 2 A 2 Shear   force   along   intersection   of   P 1   and   P 2 ,
Here, N 1 and N 2 represent the normal forces acting on planes P1 and P2, respectively, which arise from the components of external loads (such as weight, dam thrust, or seismic forces) resolved perpendicularly to the plane surfaces. The parameters ϕ 1 and ϕ 2 are the internal friction angles of planes P1 and P2, reflecting their resistance to sliding. Similarly, c 1 and c 2 denote the cohesion values along these planes, while A 1 and A 2 are the respective surface areas of the planes in contact with the wedge. The numerator thus captures the total shear resistance offered by both planes, combining the effects of cohesion and friction, while the denominator corresponds to the total shear force driving the wedge along the line of intersection.
  • Two normal reactions are tensile (two of Ni < 0):
When only one of the wedge’s bounding planes, such as plane P1, is in contact and under compression, while the remaining planes are in tension and therefore do not contribute to resistance, the stability of the wedge is assessed based solely on the shear resistance available along that single plane. In this scenario, the factor of safety (SF) is calculated by taking the ratio of the resisting shear force mobilized on P1 to the driving shear force acting along that plane. The resisting shear force is determined using the Mohr–Coulomb failure criterion, which accounts for both the frictional and cohesive components of the joint.
Mathematically, the expression for the safety factor is:
SF = N 1 t a n ( ϕ 1 ) + c 1 A 1 Shear   force   on   P 1 ,
In this equation, N 1 denotes the normal force acting on plane P1 due to the component of external loads resolved perpendicular to the surface. The term ϕ 1 is the internal friction angle, which quantifies the resistance to sliding along the joint due to friction. The cohesion c 1 represents the inherent bonding strength of the joint surface, and A 1 is the surface area of plane P1 that is in contact with the wedge. Together, N 1 t a n ( ϕ 1 ) and c 1 A 1 form the total available shear resistance, while the denominator accounts for the actual driving shear force tending to move the wedge along P1. This simplified form of the Londe method is useful in cases where contact is limited to a single joint, offering a conservative estimate of wedge stability in abutment analysis.
  • All normal reactions are tensile (N1 < 0, N2 < 0, N3 < 0):
The wedge is completely detached from all supporting planes, indicating global instability and loss of confinement. This condition represents a fully unstable state and corresponds to wedge separation. Figure 2 illustrates the two governing instability mechanisms considered in the Londe limit-equilibrium analysis, namely sliding along a single plane and sliding along the intersection of two planes.
The normal and shear components are calculated by resolving the external forces onto each plane and along the sliding direction. The resulting SF indicates stability if SF > 1, and instability if SF < 1.

3. Case Study Description and Numerical Modeling

This study focuses on the left abutment of the Bakhtiari Arch Dam, a representative example of a double-curvature concrete arch dam. The dam is located along the Bakhtiari River in the seismically active Zagros Mountains of Iran and is designed to reach a height of 325 m, with a crest length of 468 m, making it one of the tallest concrete arch dams worldwide. The dam body tapers from 5 m at the crest to 54 m at the base, allowing efficient transfer of hydrostatic loads to the abutments, as shown in Figure 3a,b. The normal (design) water level is 320 m, which governs the hydrostatic and uplift pressures acting on the dam–foundation system. The Bakhtiari Dam serves multiple strategic purposes, including hydroelectric power generation with an installed capacity of approximately 1500 MW, irrigation support, and flood control.
The rock mass on the left abutment contains several wedges formed by the intersection of three dominant discontinuities. These wedges are defined by a sub-horizontal plane (P1), a sub-vertical inclined plane (P2), and a curtain grout contact plane (P3). Their orientations are expressed by the following unit normal vectors:
P1: (0, 0, 1).
P2: (0.332, 0.916, −0.225).
P3: (0.752, −0.606, 0.259).
In the present study, uplift pressure acting on the abutment wedges is modeled based on the physical role and hydraulic exposure of the discontinuity planes. Each wedge is defined by three joint planes (P1, P2, and P3). Plane P3 corresponds to the grout curtain contact plane and is directly connected to the upstream reservoir; therefore, it is assumed to experience 100% of the hydrostatic uplift pressure in all analyses. In contrast, uplift pressures acting on planes P1 and P2 are governed by the effectiveness of the grout curtain and the extent of seepage penetration into the abutment rock mass. To realistically represent varying field conditions, uplift pressure on P1 and P2 is applied as a fraction (10–100%) of the total hydrostatic pressure, where lower percentages reflect well-performing grout curtains with limited seepage, and higher percentages represent partial degradation or reduced efficiency due to aging, cracking, or heterogeneous permeability. This approach enables systematic evaluation of wedge stability under a realistic range of hydraulic conditions that may occur during the dam’s service life and is consistent with uplift modeling practices reported in the dam engineering literature.
The mechanical properties of all three joint planes are held constant for consistency and to isolate the impact of changing uplift pressures. These properties include:
Friction angle: 45°.
Cohesion: 0.0 kPa.
Six key wedges on the left bank (WL1–WL6) are evaluated, as presented in Figure 3c. For each, the elevation, volume, joint surface areas, and uplift forces under variable pressure conditions are considered.
Table 1 summarizes the key characteristics of the wedges in the Bakhtiari Arch Dam, including the areas of the sliding planes and the uplift forces acting on them [18].
Uplift forces on each wedge are recalculated for each uplift scenario on P1 and P2, while P3 always receives the full hydrostatic pressure. This parametric adjustment enables a more nuanced evaluation of how grout curtain performance influences shear resistance and stability factor along each plane, especially in dynamic seismic simulations.

3.1. Finite Element Model

A detailed finite element model (FEM) was developed to simulate the seismic response of the Bakhtiari Arch Dam, as shown in Figure 4. This comprehensive model incorporates the dam structure, its underlying foundation, and the adjoining reservoir, enabling accurate assessment of their interactive behavior under dynamic loading. For discretization, C3D8R eight-node brick isoparametric elements were used to represent both the concrete dam body and the foundation rock. The foundation was idealized as a linearly elastic medium, and to account for radiation damping effects, infinite elements were implemented at its outer boundaries. This allows seismic energy to dissipate realistically, minimizing artificial reflections that could affect the computed response.
To capture the interaction between the dam and the reservoir, the water body was modeled using AC3D8R acoustic elements, which are suitable for simulating pressure wave propagation in a fluid medium [38]. At the downstream edge of the reservoir, transmitting boundary conditions were imposed to absorb outbound waves and prevent their reflection into the domain. Meanwhile, a non-reflective condition was applied to the reservoir bottom, supporting more realistic fluid–structure interaction simulations.
The fidelity of the FEM also depends on accurate material properties. The dam’s concrete was assigned a modulus of elasticity of 24 GPa, a Poisson’s ratio of 0.18, and a density of 2400 kg/m3. The foundation rock, treated as a linearly elastic medium, had a modulus of elasticity of 15 GPa, a Poisson’s ratio of 0.25, and a density of 2600 kg/m3. The reservoir water was modeled with a bulk modulus of 2.2 GPa and a density of 1000 kg/m3, assuming linear elasticity. Furthermore, a modified Rayleigh damping approach was applied, with 5% of critical damping assigned to both the dam body and the foundation to simulate energy dissipation during dynamic excitation. This integrated modeling approach enables robust evaluation of structural response and potential failure mechanisms under seismic conditions.
In order to account for material nonlinearity of the dam body, concrete damage plasticity (CDP) was adopted in the finite element model, enabling simulation of stiffness degradation and irreversible damage associated with tensile cracking and compressive crushing under seismic loading [18]. The dynamic response of the dam–foundation–reservoir system was evaluated assuming a concrete damping ratio of 5%, which is commonly adopted for reinforced concrete structures in seismic analyses [39,40,41,42]. The nonlinear analyses were then used to compute the forces transmitted from the dam body to the abutment. The thrust force acting on each wedge was obtained by summing the nodal reaction forces at the dam–foundation interface nodes that are in direct contact with the corresponding wedge surfaces. This approach ensures force equilibrium consistency between the finite element model and the wedge stability analysis and allows accurate transfer of FEM-derived forces into the Londe limit-equilibrium framework.

3.2. Ground Motion Selection for IDA

In this study, a suite of twelve far-field ground motion records was selected to conduct nonlinear IDA, enabling the evaluation of the dam’s seismic performance under a wide range of earthquake intensities [8,43]. The selected records were sourced from the PEER Strong Motion Database [44], following the guidelines recommended by FEMA P695 [45], to ensure consistency and relevance for structural performance evaluation. The ground motions encompass seismic events with moment magnitudes ranging from 6.5 to 7.5, and epicentral distances between 8.7 km and 98.2 km, thereby capturing a broad range of seismic intensities and frequency content. Table 2 presents the characteristics of the selected ground motions for IDA.
The proposed methodology follows a sequential and fully coupled framework that integrates numerical simulation, analytical stability evaluation, and probabilistic seismic assessment. First, a three-dimensional finite element model of the dam–foundation–reservoir system is developed to compute time-dependent thrust forces acting on the abutment wedges under seismic excitation. These forces, together with wedge self-weight and uplift pressures, are then transferred to the Londe limit-equilibrium analysis, where the sliding safety factor of each wedge is evaluated at every intensity level. Subsequently, IDA is performed by scaling ground motion records and repeating the FEM–Londe evaluation procedure, enabling tracking of wedge stability degradation with increasing seismic intensity.

4. Results and Discussion

The seismic response of the Bakhtiari Arch Dam abutments was evaluated through IDA, in which twelve far-field records were scaled progressively to capture the onset and progression of wedge instability. For each wedge (WL1–WL6), the thrust forces from the finite element model were combined with uplift forces and resolved using the Londe method to compute sliding safety factors at each intensity level. The resulting IDA curves provide a detailed understanding of how wedge stability deteriorates as the spectral acceleration (Sa) increases.

4.1. IDA Response of Individual Wedges

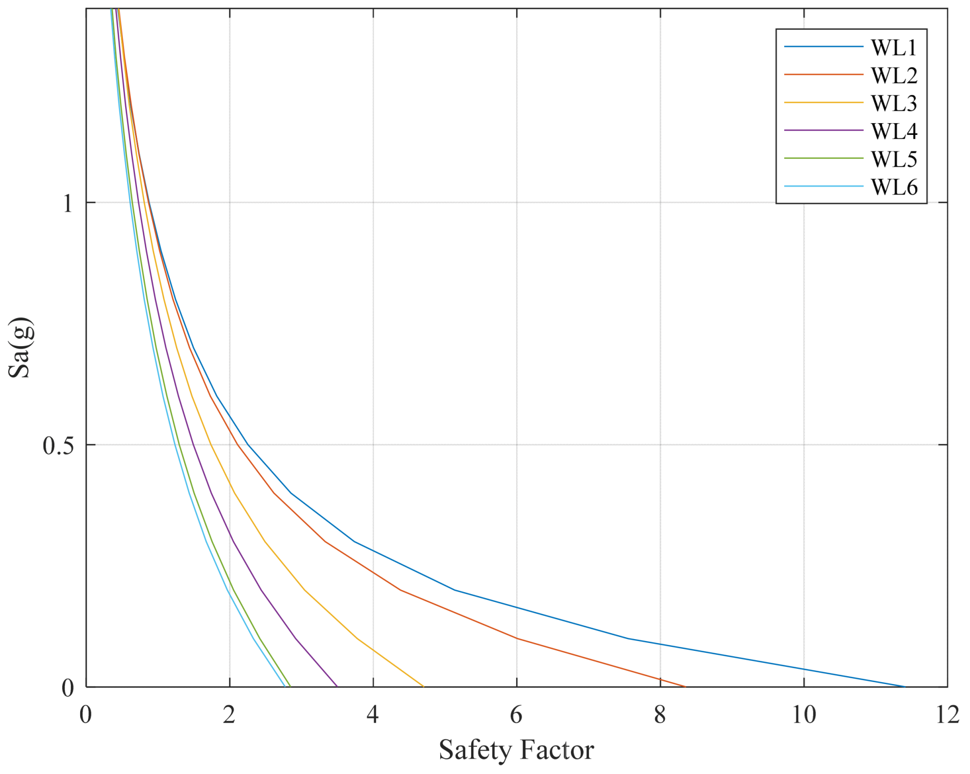
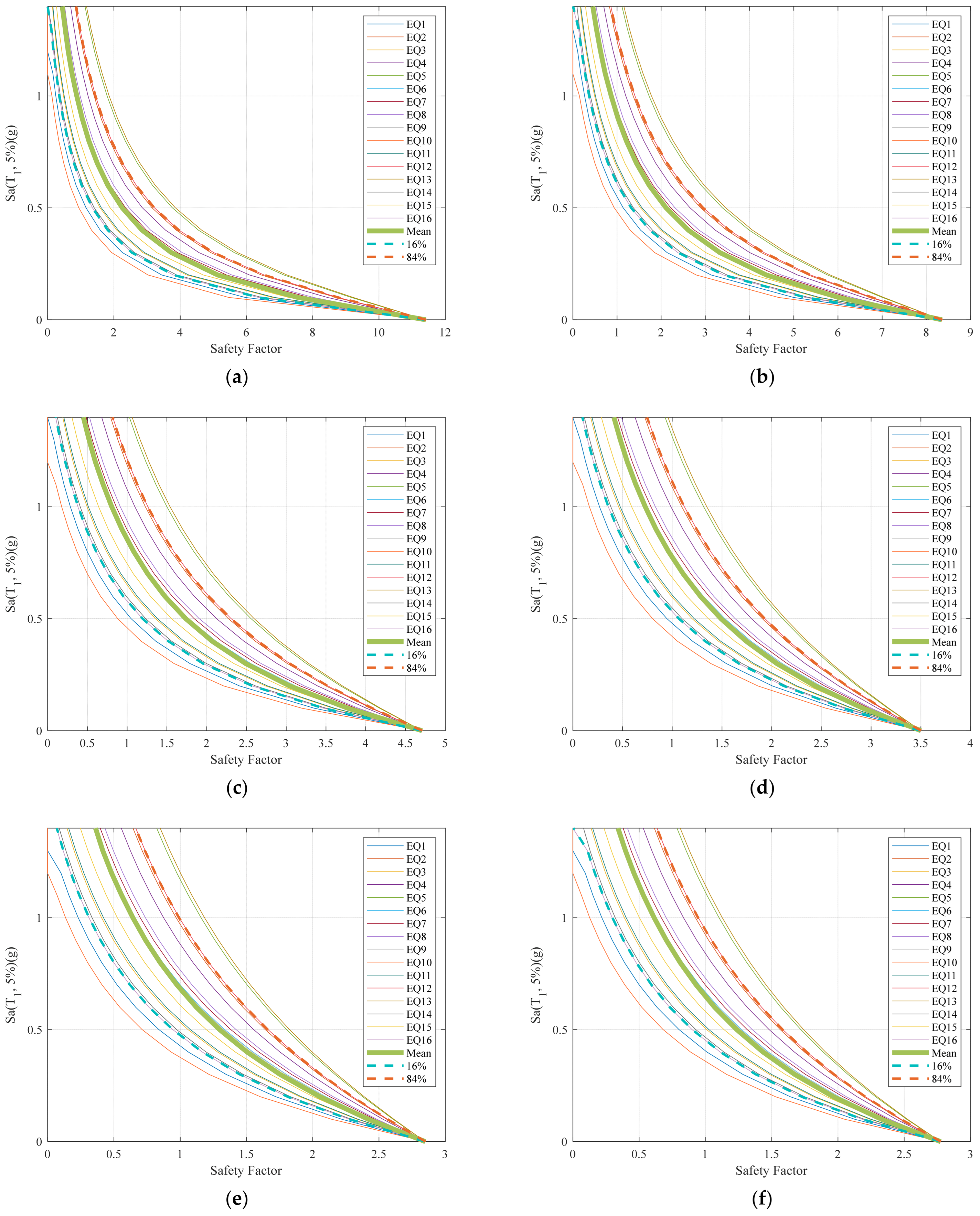
Figure 5a–f illustrate the variation in the minimum safety factor for each wedge under increasing spectral acceleration (Sa). At low seismic intensities, all wedges exhibit safety factors well above unity, indicating stable behavior. As Sa increases, however, distinct patterns emerge across the wedges.
The upper wedges (WL1 and WL2) show a gradual reduction in safety factor, reflecting their smaller volumes and reduced sensitivity to uplift-induced destabilizing forces. Their IDA curves remain relatively flat until Sa ≈ 1.0–1.2 g, after which they begin to transition toward potential instability.
In contrast, deeper wedges such as WL4, WL5, and WL6 display a sharper decline in safety factor with increasing Sa. These wedges possess larger plane areas, particularly on P2 and P3, which increases the destabilizing effect of uplift pressure and dam thrust under seismic loads. As a result, Figure 5d–f demonstrate that WL5 and WL6 approach their critical limit much earlier—typically at Sa values as low as 0.6–0.8 g—making them the most vulnerable units within the abutment system.
To better understand overall seismic stability trends, the mean safety factor across all ground motions was computed for each wedge, as shown in Figure 6. The results clearly show two distinct behavioral groups:
  • WL1, WL2, and WL3: Maintain relatively stable mean safety factors up to Sa ≈ 1.0 g.
  • WL4, WL5, and WL6: Experience rapid degradation beginning as early as Sa ≈ 0.6 g.
The averaged curves reflect the interaction between wedge geometry, uplift force distribution, and seismic-induced thrust. The deeper wedges exhibit a more pronounced nonlinear decay, attributed to the reduced effective normal stress on the sliding planes as uplift pressure and seismic excitation progressively dominate.
These mean curves in Figure 6 confirm that wedge failure is not abrupt but occurs gradually through incremental mobilization of shear stresses and progressive loss of interplane contact.

4.2. Fragility Curves for Wedge Instability

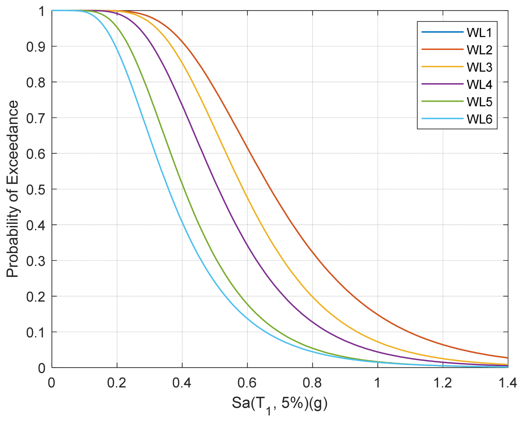
Based on the IDA results, fragility curves were developed to express the probability that the stability limit of each wedge is exceeded as a function of the spectral acceleration. For each ground motion record, the spectral acceleration at which the safety factor of a given wedge first reached unity (SF ≤ 1.5) was identified, and these intensity measures were then used to construct a lognormal fragility function. In this context, the fragility curves represent the probability of exceedance of the limit state SF ≤ 1.5 for each wedge. The probability of instability at a given intensity measure is calculated empirically as the ratio of the number of ground motion realizations leading to failure to the total number of analyses performed at that intensity level.
Figure 7 shows the fragility curves of wedges WL1 to WL6 for a reference condition with 50% uplift pressure acting on the joints, a friction angle of 45°, and zero cohesion (c = 0). Under these conditions, the curves clearly differentiate the relative seismic vulnerability of the wedges. WL1 and WL2 exhibit the lowest probability of exceedance for a given spectral acceleration, indicating that these upper wedges preserve adequate stability over a wide range of seismic intensities. WL3 and WL4 occupy an intermediate position, with their probability of exceedance rising more rapidly as the spectral acceleration increases. The deepest wedges, WL5 and WL6, show the highest probability of exceedance at relatively low spectral acceleration levels, reflecting the stronger influence of uplift and dam thrust on wedges with larger joint areas and volumes. It should be noted that the results obtained for WL1 and WL2 are identical; therefore, a separate curve for one of these cases is not visible in the figure.
Overall, Figure 7 highlights that, even for a uniform parameter set (uplift ratio = 50%, φ = 45°, c = 0), the probability of exceeding the stability limit varies significantly between wedges as a function of their geometry and position along the abutment. This reinforces the need for wedge-specific seismic assessment rather than relying on a single global safety factor for the entire abutment.
The higher seismic vulnerability of deeper wedges identified in this study is in line with previous research, which has shown that wedges located at lower elevations are more critical due to their larger sliding surfaces, higher confinement-induced thrust forces, and greater exposure to uplift pressure [18].

4.3. Fragility Analysis Under Different Uplift Conditions

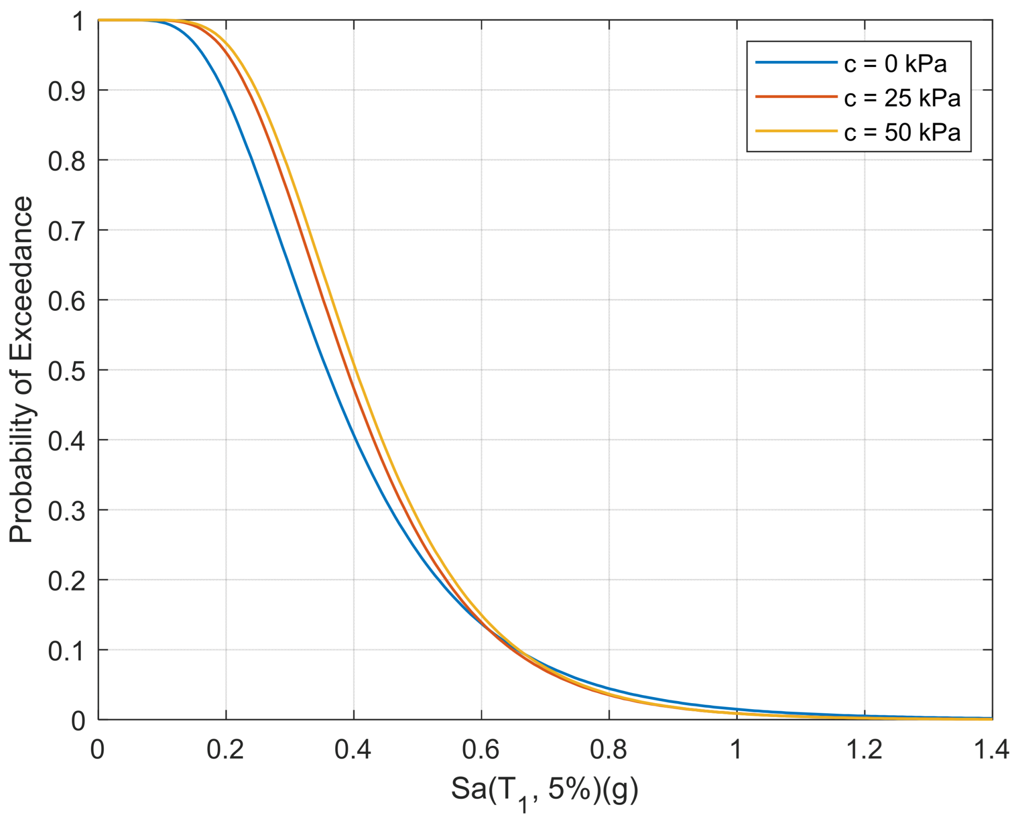
Uplift pressure acting along the discontinuity planes of the abutment wedges is highly dependent on the performance of the grout curtain, which serves as the primary defense against seepage infiltration beneath the dam. The ability of the grout curtain to restrict hydraulic flow directly influences the effective normal stress acting on the wedges, and even modest increases in uplift can substantially reduce the available shear resistance. To investigate the sensitivity of the wedges to varying levels of hydraulic efficiency, three uplift scenarios were considered: 0% uplift, representing an ideal and fully functional grout curtain; 25% uplift, corresponding to moderate seepage penetration and partial deterioration of grout curtain performance; and 50% uplift, reflecting a more severe reduction in grout curtain effectiveness and increased uplift pressure within the abutment. These scenarios allow for a comprehensive assessment of how changes in uplift magnitude influence the seismic vulnerability of the rock wedges.
Figure 8 presents the fragility curves associated with these three uplift conditions, expressed in terms of the probability of exceeding the instability limit (SF ≤ 1.5) as a function of spectral acceleration. The curves demonstrate a clear trend in which increasing uplift pressure shifts the fragility curves to the left, indicating that wedge instability occurs at lower seismic intensities when uplift forces are elevated. Under the 0% uplift scenario, the wedges maintain relatively high seismic capacity, with moderate exceedance probabilities (e.g., 50%) appearing only at Sa values close to 0.67 g. With 25% uplift, the capacity decreases noticeably, and the corresponding fragility curve exhibits a steeper slope, reaching similar exceedance probabilities at approximately Sa ≈ 0.53 g. The most critical behavior is observed under the 50% uplift condition, where instability probabilities rise sharply even at low acceleration levels; probabilities exceeding 50% occur at Sa values around 0.34 g, highlighting substantial sensitivity of wedge stability to increased uplift.
These results clearly demonstrate that uplift pressure is a dominant parameter governing seismic stability of the abutment wedges. Reduced grout curtain performance, manifested as increased uplift pressure, significantly lowers the effective normal stress acting on the sliding planes, thereby diminishing shear resistance and promoting earlier onset of sliding under dynamic loading. Consequently, maintaining grout curtain integrity is essential for preserving wedge stability and ensuring the overall seismic safety of the dam–foundation system.
The dominant influence of uplift pressure on wedge stability observed in this study is consistent with previous investigations on arch dam abutments, which have shown that increased uplift significantly reduces effective normal stresses on discontinuity planes and accelerates the onset of seismic instability [25,26,27,28].

4.4. Influence of Joint Friction Angle on Seismic Fragility

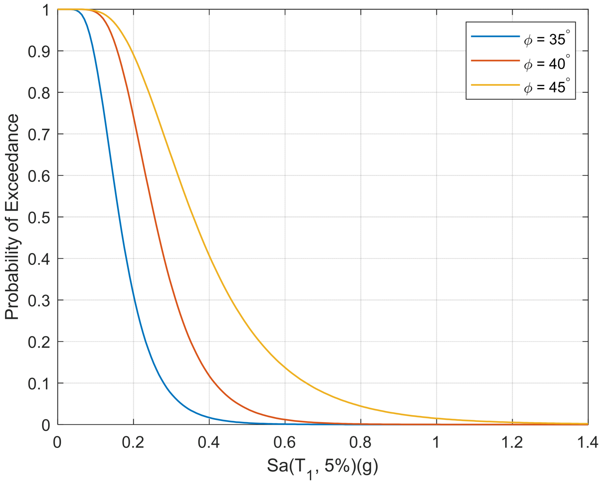
The shear strength of abutment discontinuities is governed primarily by the friction angle of the joint surfaces, especially in cases where cohesion is negligible, as is typical for clean, smooth, or weathered rock joints. Variations in friction angle directly affect the available shear resistance along potential sliding planes; therefore, assessing the sensitivity of wedge stability to friction angle is essential for understanding the seismic response of the abutment system. To investigate this influence, three friction angles—35°, 40°, and 45°—were considered while keeping uplift pressure fixed at a representative value. These values reflect realistic ranges encountered in jointed rock masses of the Bakhtiari formation and allow for evaluation of the seismic safety margin under different geological conditions.
Figure 9 presents the fragility curves associated with these friction angles, illustrating the probability of exceeding the instability limit (SF ≤ 1.5) across increasing levels of spectral acceleration. A clear and expected pattern is observed: higher friction angles correspond to significantly improved seismic performance, shifting the fragility curves to the right and reducing the exceedance probability at any given acceleration level. For φ = 35°, the fragility curve rises steeply, with exceedance probabilities exceeding 50% at very low accelerations (Sa ≈ 0.16 g), indicating a highly vulnerable wedge configuration. When the friction angle increases to 40°, the curve shifts rightward, and the 50% exceedance probability occurs at approximately Sa ≈ 0.27 g, showing a noticeable improvement in stability. The most favorable behavior is observed for φ = 45°, where the fragility curve is significantly flatter and positioned farthest to the right; exceedance probabilities remain low (<50%) until Sa values reach approximately 0.32 g.
This behavior reflects the fundamental mechanics of joint shear resistance, where increased friction angle enhances the effective shear capacity of the wedge planes, increases the required mobilized shear stress for sliding, and consequently delays the onset of instability under dynamic loading. The results demonstrate that even modest reductions in friction angle can substantially increase seismic vulnerability, particularly in wedges with large joint surfaces or unfavorable orientations. These findings underscore the importance of accurate characterization of joint friction properties and highlight the need for conservative assumptions when geological conditions are uncertain or spatially variable within the dam abutments.

4.5. Influence of Joint Cohesion on Seismic Fragility

Although cohesion in rock joints is typically low and may degrade over time due to weathering, micro-cracking, and repeated seismic activity, its contribution to shear strength can still influence the stability of abutment wedges, particularly in zones where grout, infilling materials, or rough joint textures enhance bonding. To quantify this effect, three cohesion values—0 kPa, 25 kPa, and 50 kPa—were investigated while maintaining fixed uplift and friction angle parameters. These values represent a realistic range observed in partially cemented or rough discontinuities within the Bakhtiari abutment rock mass and allow for evaluating the degree to which cohesion improves seismic resistance.
Figure 10 presents the fragility curves corresponding to the three cohesion levels, illustrating the probability of exceeding the instability limit (SF ≤ 1.5) with increasing spectral acceleration. Compared with friction angle and uplift pressure, cohesion exerts a more moderate influence on the seismic fragility of the wedges. Increasing cohesion from 0 to 25 kPa results in a slight rightward shift of the fragility curve, reducing exceedance probability at lower accelerations. The improvement becomes even more noticeable at 50 kPa, where the curve shows a marginally lower probability of exceedance across the entire acceleration range. However, the overall separation between the curves remains limited, indicating that cohesion—although beneficial—does not fundamentally alter wedge stability to the same extent as friction or uplift.
The relatively modest impact of cohesion reflects its minor contribution to shear strength compared with the frictional term, especially under high normal stress conditions typical of deep abutment regions. Furthermore, cohesion is often unreliable during strong ground shaking, as dynamic cracking and joint dilation can rapidly degrade cohesive bonds. Nevertheless, the results demonstrate that even small increases in cohesion can marginally enhance the seismic performance of the wedges, particularly by delaying the onset of moderate exceedance probabilities (20–40%) at lower acceleration levels. This suggests that natural joint roughness or minor cementation may provide limited but non-negligible improvements in seismic safety, especially for shallow or partially interlocked wedges.

5. Conclusions

This study conducted a comprehensive seismic stability assessment of the Bakhtiari Arch Dam abutment by integrating nonlinear finite element analysis with the Londe limit-equilibrium method. Incremental Dynamic Analysis (IDA) was performed to evaluate how uplift pressure, friction angle, and cohesion influence the seismic behavior of wedge-shaped rock blocks. Fragility curves were generated to quantify the probability of instability under varying geological and hydraulic conditions.
The results showed that uplift pressure was found to be the most critical factor affecting wedge stability, as increasing uplift significantly reduced the effective normal stress on discontinuity planes and sharply lowered the spectral acceleration required to trigger instability. Deeper wedges exhibited substantially higher seismic vulnerability than upper wedges, with WL4–WL6 showing rapid reductions in safety factor at relatively low acceleration levels due to their larger sliding surfaces and greater exposure to uplift forces. Mean IDA curves revealed a clear division between shallow and deep wedges, with the latter experiencing faster degradation in stability and a much earlier transition toward failure as seismic intensity increased.
Moreover, fragility analyses under 50% uplift demonstrated wide differences in seismic capacity among the wedges, indicating that WL1 and WL2 remained stable across a broad range of intensities, whereas WL5 and WL6 reached high probabilities of exceedance at low spectral accelerations. The uplift-sensitivity analysis revealed that even moderate increases in uplift pressure dramatically shifted fragility curves to the left, demonstrating that partial deterioration of the grout curtain can greatly increase the likelihood of seismic instability. The friction-angle study showed that joint friction angle has a dominant influence on seismic performance, with higher friction values markedly increasing wedge resistance and delaying the onset of significant failure probabilities. The effect of cohesion on seismic fragility was found to be minor, as increases in cohesion produced only small improvements in stability compared with uplift and friction angle, reflecting cohesion’s limited reliability under strong ground shaking.
Despite the robustness of the proposed framework, several limitations should be acknowledged. First, the Londe method assumes rigid wedge behavior, neglects deformability of the rock mass, and ignores moment equilibrium and tensile resistance at the interfaces, which may lead to conservative or simplified stability estimates under complex stress states. Second, the seismic analyses were performed using far-field ground motion records; near-fault effects such as pulse-type motions and directivity, which may significantly influence abutment response, were not considered. In addition, uplift pressure was represented through prescribed proportions of hydrostatic pressure, without explicitly modeling coupled hydro-mechanical seepage processes within the rock mass. These assumptions, while consistent with common engineering practice, may limit the applicability of the results under certain site-specific conditions.
Future research should focus on extending the proposed methodology by incorporating deformable and discontinuum-based models to relax the rigid-body assumptions of the Londe approach. The inclusion of near-fault ground motions and spatially varying seismic input would provide a more comprehensive evaluation of seismic demand on abutment wedges. Moreover, advanced hydro-mechanical coupling techniques could be employed to simulate time-dependent seepage and grout curtain degradation more realistically. Finally, integrating uncertainty in geological parameters and extending the framework to both abutments and different dam geometries would further enhance the applicability of the approach for probabilistic seismic safety assessment of arch dams.

Author Contributions

Conceptualization, H.I., S.A.Z. and N.S.; methodology, H.I.; formal analysis, H.I.; investigation, H.I.; resources, H.I. and H.B.; data curation, H.I.; writing—original draft preparation, H.I.; writing—review and editing, H.B., S.A.Z. and N.S.; visualization, H.I.; supervision, H.B., S.A.Z. and N.S. All authors have read and agreed to the published version of the manuscript.

Funding

This research received no external funding.

Data Availability Statement

The data presented in this study are available on request from the corresponding author. The data are not publicly available due to confidentiality issues.

Conflicts of Interest

The authors declare no conflicts of interest.

Abbreviations

The following abbreviations are used in this manuscript:
FEMFinite element model
IDAIncremental Dynamic Analysis
SFSafety Factor

References

  1. Lin, P.; Xiang, Y.; Li, Z.; Peng, H.; Liu, Y. Reinforcement Mechanism and Design Method for Geological Defects in Arch Dam Abutments. Rock Mech. Rock Eng. 2025, 1–24. [Google Scholar] [CrossRef]
  2. Ma, K.; Tang, C. Study on Stability of High Arch Dam During Impoundment Period Based on Microseismic Monitoring. In Microseismic Monitoring and Stability Analysis of Large Rock Mass Engineering; Springer: Berlin/Heidelberg, Germany, 2025; pp. 167–235. [Google Scholar] [CrossRef]
  3. Mostafaei, H.; Gilani, M.S.; Ghaemian, M. A comparative study between pseudo-static and dynamic analyses on rock wedge stability of an arch dam. Civ. Eng. J. 2018, 4, 179–187. [Google Scholar] [CrossRef]
  4. Mostafaei, H.; Rostampour, M.A.; Chamasemani, N.F.; Wu, C. An In-depth exploration of carbon footprint analysis in the construction sector with emphasis on the dam industry. In Carbon Footprint Assessments: Case Studies & Best Practices; Springer: Berlin/Heidelberg, Germany, 2024; pp. 45–80. [Google Scholar] [CrossRef]
  5. Yan, C.; Tu, J.; Liang, H.; Guo, S.; Li, D. Seismic failure analysis of a high arch dam-foundation multiple nonlinear coupling system. Soil Dyn. Earthq. Eng. 2024, 187, 109001. [Google Scholar] [CrossRef]
  6. Belete, D.; Chala, E.T.; Jilo, N.Z.; Garo, T. Engineering geological investigation of the Katar Dam foundation and abutment slope stability analysis, Southeast Ethiopia. Indian Geotech. J. 2025, 55, 1563–1593. [Google Scholar] [CrossRef]
  7. Mostafaei, H.; Ghamami, M.; Aghabozorgi, P. Modal identification of concrete arch dam by fully automated operational modal identification. Structures 2023, 32, 228–236. [Google Scholar] [CrossRef]
  8. Mostafaei, H.; Keshavarz, Z.; Rostampour, M.A.; Mostofinejad, D.; Wu, C. Sustainability Evaluation of a Concrete Gravity Dam: Life Cycle Assessment, Carbon Footprint Analysis, and Life Cycle Costing. Structures 2023, 53, 279–295. [Google Scholar] [CrossRef]
  9. Mostafaei, H. Modal Identification Techniques for Concrete Dams: A Comprehensive Review and Application. Sci 2024, 6, 40. [Google Scholar] [CrossRef]
  10. Mostafaei, H.; Chamasemani, N.F.; Mashayekhi, M.; Hamzehkolaei, N.S.; Santos, P. Sustainability Enhancement and Evaluation of a Concrete Dam Using Recycling. Appl. Sci. 2025, 15, 2479. [Google Scholar] [CrossRef]
  11. Jonneret, A.; Bussard, T.; Schaeren, G. Swiss contribution to geology and dams. In Role of Dams and Reservoirs in a Successful Energy Transition; CRC Press: Boca Raton, FL, USA, 2023; pp. 89–99. [Google Scholar]
  12. Al-Omari, S.; Al-Weshah, R.; Al-Salahat, M. Flood risk and vulnerability assessment due to dam break. Sustain. Water Resour. Manag. 2025, 11, 119. [Google Scholar] [CrossRef]
  13. Londe, P. The Malpasset dam failure. Eng. Geol. 1987, 24, 295–329. [Google Scholar] [CrossRef]
  14. Donati, D.; Stead, D.; Borgatti, L. The importance of rock mass damage in the kinematics of landslides. Geosciences 2023, 13, 52. [Google Scholar] [CrossRef]
  15. Ferdousi, A.; Gharabaghi, A.R.M.; Ahmadi, M.T.; Chenaghlou, M.R.; Tabrizi, M.E. Earthquake analysis of arch dams including the effects of foundation discontinuities and proper boundary conditions. J. Theor. Appl. Mech. 2014, 52, 579–594. [Google Scholar]
  16. Lusini, E.; Verrucci, L.; Boldini, D. Computation of irreversible seismic displacements of rock wedges: An application to dam abutment safety assessment. Comput. Geotech. 2023, 159, 105401. [Google Scholar] [CrossRef]
  17. Wang, F.; Zhai, W.; Man, J.; Huang, H. A hybrid cohesive phase-field numerical method for the stability analysis of rock slopes with discontinuities. Can. Geotech. J. 2024, 62, 1–16. [Google Scholar] [CrossRef]
  18. Mostafaei, H.; Behnamfar, F.; Alembagheri, M. Nonlinear analysis of stability of rock wedges in the abutments of an arch dam due to seismic loading. Struct. Monit. Maint. 2020, 7, 295. [Google Scholar]
  19. Mostafaei, H.; Behnamfar, F.; Alembagheri, M. Reliability and sensitivity analysis of wedge stability in the abutments of an arch dam using artificial neural network. Earthq. Eng. Eng. Vib. 2022, 21, 1019–1033. [Google Scholar] [CrossRef]
  20. Meshkabadi, K.; Zandi, Y. The effects of grout curtain parameters on uplift and piping phenomenon; case study: Sattarkhan dam. Hydrology 2019, 6, 71. [Google Scholar] [CrossRef]
  21. Hariri-Ardebili, M.A.; Kianoush, M.R. Seismic analysis of a coupled dam-reservoir-foundation system considering pressure effects at opened joints. Struct. Infrastruct. Eng. 2015, 11, 833–850. [Google Scholar] [CrossRef]
  22. Zhang, S.; Johansson, F.; Stille, H. Design methodology for grout curtains under dams founded on rock. Geotech. Geol. Eng. 2022, 40, 2167–2186. [Google Scholar] [CrossRef]
  23. Hu, J.; Ma, F. Comprehensive investigation method for sudden increases of uplift pressures beneath gravity dams: Case study. J. Perform. Constr. Facil. 2016, 30, 04016023. [Google Scholar] [CrossRef]
  24. Hu, J.; Ma, F. Zoned safety monitoring model for uplift pressures of concrete dams. Trans. Inst. Meas. Control 2019, 41, 3952–3969. [Google Scholar] [CrossRef]
  25. Pan, J.; Xu, Y.; Jin, F.; Wang, J. Seismic stability assessment of an arch dam-foundation system. Earthq. Eng. Eng. Vib. 2015, 14, 517–526. [Google Scholar] [CrossRef]
  26. Pan, J.; Wang, J. Effect of abutment movements on nonlinear seismic response of an arch dam. Struct. Infrastruct. Eng. 2020, 16, 1106–1120. [Google Scholar] [CrossRef]
  27. Lin, P.; Zhu, X.; Li, Q.; Liu, H.; Yu, Y. Study on optimal grouting timing for controlling uplift deformation of a super high arch dam. Rock Mech. Rock Eng. 2016, 49, 115–142. [Google Scholar] [CrossRef]
  28. Mostafaei, H.; Sohrabi Gilani, M.; Ghaemian, M. Stability analysis of arch dam abutments due to seismic loading. Sci. Iran. 2017, 24, 467–475. [Google Scholar] [CrossRef]
  29. Javanmardi, F.; Léger, P.; Tinawi, R. Seismic structural stability of concrete gravity dams considering transient uplift pressures in cracks. Eng. Struct. 2005, 27, 616–628. [Google Scholar] [CrossRef]
  30. Pekau, O.A.; Zhu, X. Effect of seismic uplift pressure on the behavior of concrete gravity dams with a penetrated crack. J. Eng. Mech. 2008, 134, 991–999. [Google Scholar] [CrossRef]
  31. Ramadan, M.; Jia, J.; Zhao, L.; Li, X.; Wu, Y. Numerical and Fracture Mechanical Evaluation of Safety Monitoring Indexes and Crack Resistance in High RCC Gravity Dams Under Hydraulic Fracture Risk. Materials 2025, 18, 2893. [Google Scholar] [CrossRef] [PubMed]
  32. Panicker, K.J.; Nagarajan, P.; Thampi, S.G. Critical review on stress-sensitivity and other behavioral aspects of arch dams. In Advances in Civil Engineering, Select Proceedings of ARICE 2019; Springer: Cham, Switzerland, 2020; Volume 2020, pp. 551–566. [Google Scholar]
  33. Mosaddeghi, F. Numerical Modeling of Dam Breach in Concrete Gravity Dams; Isfahan University of Technology: Isfahan, Iran, 2021. [Google Scholar]
  34. Wang, F.; Zhai, W.; Zhao, S.; Man, J. A novel unsupervised PINN framework with dynamically self-adaptive strategy for solid mechanics. J. Comput. Phys. 2025, 542, 114373. [Google Scholar] [CrossRef]
  35. Fu, C.; Yao, X.; Li, T.; Shen, H.; Wang, Z.; Jiang, J. Investigation and evaluation of increasing uplift pressure in an arch dam: A case study of the Huaguangtan Dam. KSCE J. Civ. Eng. 2014, 18, 1858–1867. [Google Scholar] [CrossRef]
  36. Mostafaei, H.; Behnamfar, F. Wedge movement effects on the nonlinear behavior of an arch dam subjected to seismic loading. Int. J. Geomech. 2022, 22, 04021289. [Google Scholar] [CrossRef]
  37. Kadhim, M.J.; Alfatlawi, T.J.M.; Hussein, M.N. Experimental and nonlinear analysis of cracking in concrete arch dams due to seismic uplift pressure variations. Int. J. Eng. 2021, 34, 1156–1166. [Google Scholar] [CrossRef]
  38. Mostafaei, H.; Mousavi, H.; Barmchi, M.A. Finite Element Analysis of Structures by ABAQUS: For Civil Engineers; Simay-e-Danesh Publication: Tehran, Iran, 2023. [Google Scholar]
  39. Mostafaei, H.; Behnamfar, F. Effect of the vertical earthquake component on nonlinear behavior of an arch dam having a foundation with discontinuities. Numer. Methods Civ. Eng. 2019, 4, 69–78. [Google Scholar] [CrossRef]
  40. Mostafaei, H.; Ghamami, M. State of the Art in Automated Operational Modal Identification: Algorithms, Applications, and Future Perspectives. Machines 2025, 13, 39. [Google Scholar] [CrossRef]
  41. Ghasemzadeh, H.; Mohsenzadeh, P.; Shabani, K. Development of a four-node quadrilateral element-based high order numerical manifold method without linear dependency. Int. J. Comput. Methods Eng. Sci. Mech. 2021, 22, 458–476. [Google Scholar] [CrossRef]
  42. Zhang, S.; Wang, G.; Pang, B.; Du, C. The effects of strong motion duration on the dynamic response and accumulated damage of concrete gravity dams. Soil Dyn. Earthq. Eng. 2013, 45, 112–124. [Google Scholar] [CrossRef]
  43. Mostafaei, H.; Ashoori Barmchi, M.; Bahmani, H. Seismic Resilience and Sustainability: A Comparative Analysis of Steel and Reinforced Structures. Buildings 2025, 15, 1613. [Google Scholar] [CrossRef]
  44. Pacific Earthquake Engineering Research Center. Available online: https://peer.berkeley.edu/ (accessed on 1 January 2024).
  45. FEMA-P-695; Seismic Performance Assessment of Buildings: Prepared by the Applied Technology Council for the Federal Emergency Management Agaency. Federal Emergency Management Agency: Washington, DC, USA, 2012.
Figure 1. The applied forces on a wedge.
Figure 1. The applied forces on a wedge.
Buildings 16 00567 g001
Figure 2. Schematic representation of governing wedge instability mechanisms: (a) sliding along a single discontinuity plane, and (b) sliding along the intersection line of two discontinuity planes.
Figure 2. Schematic representation of governing wedge instability mechanisms: (a) sliding along a single discontinuity plane, and (b) sliding along the intersection line of two discontinuity planes.
Buildings 16 00567 g002
Figure 3. Geometry of the Bakhtiari Arch Dam showing (a) longitudinal view and (b) a representative cross-section, and (c) the location of the abutment wedges (WL1–WL6) in the left abutment.
Figure 3. Geometry of the Bakhtiari Arch Dam showing (a) longitudinal view and (b) a representative cross-section, and (c) the location of the abutment wedges (WL1–WL6) in the left abutment.
Buildings 16 00567 g003
Figure 4. Developed FEM of Bakhtiari arch dam.
Figure 4. Developed FEM of Bakhtiari arch dam.
Buildings 16 00567 g004
Figure 5. IDA results showing the variation in minimum safety factor for wedges WL1–WL6 under increasing Sa, (a) WL1, (b) WL2, (c) WL3, (d) WL4, (e) WL5, (f) WL6.
Figure 5. IDA results showing the variation in minimum safety factor for wedges WL1–WL6 under increasing Sa, (a) WL1, (b) WL2, (c) WL3, (d) WL4, (e) WL5, (f) WL6.
Buildings 16 00567 g005
Figure 6. Mean IDA curves for wedges WL1–WL6.
Figure 6. Mean IDA curves for wedges WL1–WL6.
Buildings 16 00567 g006
Figure 7. Fragility curves representing the probability of exceedance of the limit state (SF ≤ 1.5) for wedges WL1–WL6.
Figure 7. Fragility curves representing the probability of exceedance of the limit state (SF ≤ 1.5) for wedges WL1–WL6.
Buildings 16 00567 g007
Figure 8. Fragility curves showing the probability of exceeding the limit state (SF ≤ 1.5) under different uplift pressure ratios (0%, 25%, and 50%).
Figure 8. Fragility curves showing the probability of exceeding the limit state (SF ≤ 1.5) under different uplift pressure ratios (0%, 25%, and 50%).
Buildings 16 00567 g008
Figure 9. Fragility curves showing the probability of exceeding the instability limit (SF ≤ 1.5) for different joint friction angles (35°, 40°, and 45°).
Figure 9. Fragility curves showing the probability of exceeding the instability limit (SF ≤ 1.5) for different joint friction angles (35°, 40°, and 45°).
Buildings 16 00567 g009
Figure 10. Fragility curves showing the probability of exceeding the instability limit (SF ≤ 1.5) for different cohesion values (0 kPa, 25 kPa, and 50 kPa).
Figure 10. Fragility curves showing the probability of exceeding the instability limit (SF ≤ 1.5) for different cohesion values (0 kPa, 25 kPa, and 50 kPa).
Buildings 16 00567 g010
Table 1. Key characteristics of the wedges in the Bakhtiari Arch Dam.
Table 1. Key characteristics of the wedges in the Bakhtiari Arch Dam.
WedgeElevation (m)Wedge Volume (m3)Plane Area (m2)Uplift Force (MN)
P1P2P3P1P2P3
WL130562,258380022732755825375
WL2275194,096499159349024211117394
WL3225424,886659113,7542451116847441812
WL4185744,91410,11222,6554103257610,8934033
WL51451,251,25514,78434,5616069572421,2587460
WL6852,396,49423,51454,974972011,43239,45314,042
Table 2. Ground motion properties selected for IDA.
Table 2. Ground motion properties selected for IDA.
No.Earthquake NameRecording StationYearDistance (km)Magnitude (M)
1Friuli, ItalyTolmezzo197920.26.5
2Manjil, IranAbbar199040.47.4
3San Fernando, USLA—Hollywood Stor FF197139.56.6
4Kocaeli, TurkeyArcelik199953.77.5
5Kobe, JapanNishi-Akashi19958.76.9
6Loma Prieta, USCapitola19899.86.9
7Kocaeli, TurkeyDuzce199998.27.5
8Superstition Hills, USEl Centro Imp. Co. Cent.198735.86.5
9Landers, USYermo Fire Station1992867.3
10Imperial ValleyEl Centro Array #11197929.46.5
11Northridge, USCanyon Country—WLC199426.56.7
12Northridge, USBeverly Hills—Mulhol199413.36.7
13Duzce, TurkeyBolu1999127.1
14Hector MineHector199911.77.1
15Imperial ValleyDelta1979226.5
16Kobe, JapanShin-Osaka1995466.9
Disclaimer/Publisher’s Note: The statements, opinions and data contained in all publications are solely those of the individual author(s) and contributor(s) and not of MDPI and/or the editor(s). MDPI and/or the editor(s) disclaim responsibility for any injury to people or property resulting from any ideas, methods, instructions or products referred to in the content.

Share and Cite

MDPI and ACS Style

Izadi, H.; Zareei, S.A.; Salemi, N.; Bahmani, H. Probabilistic Seismic Fragility of Arch Dam Abutments Under Uplift Pressure. Buildings 2026, 16, 567. https://doi.org/10.3390/buildings16030567

AMA Style

Izadi H, Zareei SA, Salemi N, Bahmani H. Probabilistic Seismic Fragility of Arch Dam Abutments Under Uplift Pressure. Buildings. 2026; 16(3):567. https://doi.org/10.3390/buildings16030567

Chicago/Turabian Style

Izadi, Hosein, Seyed Alireza Zareei, Niloofar Salemi, and Hadi Bahmani. 2026. "Probabilistic Seismic Fragility of Arch Dam Abutments Under Uplift Pressure" Buildings 16, no. 3: 567. https://doi.org/10.3390/buildings16030567

APA Style

Izadi, H., Zareei, S. A., Salemi, N., & Bahmani, H. (2026). Probabilistic Seismic Fragility of Arch Dam Abutments Under Uplift Pressure. Buildings, 16(3), 567. https://doi.org/10.3390/buildings16030567

Note that from the first issue of 2016, this journal uses article numbers instead of page numbers. See further details here.

Article Metrics

Article metric data becomes available approximately 24 hours after publication online.
Back to TopTop