Sign in to use this feature.

Years

Between: -

Subjects

remove_circle_outline
remove_circle_outline
remove_circle_outline
remove_circle_outline
remove_circle_outline
remove_circle_outline
remove_circle_outline
remove_circle_outline
remove_circle_outline

Journals

remove_circle_outline
remove_circle_outline
remove_circle_outline
remove_circle_outline
remove_circle_outline
remove_circle_outline
remove_circle_outline
remove_circle_outline
remove_circle_outline
remove_circle_outline
remove_circle_outline
remove_circle_outline
remove_circle_outline
remove_circle_outline
remove_circle_outline
remove_circle_outline
remove_circle_outline
remove_circle_outline
remove_circle_outline
remove_circle_outline
remove_circle_outline
remove_circle_outline
remove_circle_outline

Article Types

Countries / Regions

remove_circle_outline
remove_circle_outline
remove_circle_outline
remove_circle_outline
remove_circle_outline
remove_circle_outline
remove_circle_outline

Search Results (4,609)

Search Parameters:
Keywords = spectral characteristic

Order results
Result details
Results per page
Select all
Export citation of selected articles as:
8 pages, 799 KB  
Communication
Saturation of Optical Gain in Green Laser Diode Structures as Functions of Excitation Density and Excitation Length
by Young Sun Jo, Seung Ryul Lee, Sung-Nam Lee and Yoon Seok Kim
Photonics 2026, 13(1), 97; https://doi.org/10.3390/photonics13010097 (registering DOI) - 21 Jan 2026
Abstract
In this study, the optical gain characteristics of a green laser sample based on a III-Nitride InGaN single-quantum-well structure were investigated. The Green gap phenomenon, caused by bandgap fluctuations due to inhomogeneous indium composition and the quantum-confined Stark effect (QCSE), has been a [...] Read more.
In this study, the optical gain characteristics of a green laser sample based on a III-Nitride InGaN single-quantum-well structure were investigated. The Green gap phenomenon, caused by bandgap fluctuations due to inhomogeneous indium composition and the quantum-confined Stark effect (QCSE), has been a major obstacle in achieving high efficiency and high output in green-light-emitting devices. To address these issues, a sample grown on a (0001)-oriented GaN substrate with a single-quantum-well active layer was fabricated to suppress In composition non-uniformity and enhance the overlap of electron and hole wavefunctions. The optical gain behavior was analyzed using the Variable Stripe Length Method (VSLM) under various excitation densities and stripe lengths (Lcav). The results showed that as the stripe length increased, the spectral linewidth decreased and stimulated emission occurred at lower excitation densities. However, excessive cavity length led to gain saturation and a red shift in the peak wavelength due to Joule heating effects. These findings provide essential insights for determining the optimal cavity length in laser diode fabrication and are expected to serve as fundamental guidelines for improving the efficiency and output power of III-Nitride-based green laser diodes. Full article
21 pages, 2253 KB  
Article
Feedback-Controlled Manipulation of Multiple Defect Bands of Phononic Crystals with Segmented Piezoelectric Sensor–Actuator Array
by Soo-Ho Jo
Mathematics 2026, 14(2), 361; https://doi.org/10.3390/math14020361 - 21 Jan 2026
Abstract
Defect modes in phononic crystals (PnCs) provide strongly localized resonances that are essential for frequency-dependent wave filtering and highly sensitive sensing. Their functionality increases greatly when their spectral characteristics can be externally tuned without altering the structural configuration. However, existing feedback control strategies [...] Read more.
Defect modes in phononic crystals (PnCs) provide strongly localized resonances that are essential for frequency-dependent wave filtering and highly sensitive sensing. Their functionality increases greatly when their spectral characteristics can be externally tuned without altering the structural configuration. However, existing feedback control strategies rely on laminated piezoelectric defects, which have uniform electromechanical loading that causes voltage cancellation for even-symmetric defect modes. Consequently, only odd-symmetric defect bands can be manipulated effectively, which limits multi-band tunability. To overcome this constraint, we propose a segmented piezoelectric sensor–actuator design that enables symmetry-dependent feedback at the defect site. We develop a transfer-matrix analytical framework to incorporate complex-valued feedback gains directly into dispersion and transmission calculations. Analytical predictions demonstrate that real-valued feedback yields opposite stiffness modifications for odd- and even-symmetric modes. This enables the simultaneous tuning of both defect bands and induces an exceptional-point-like coalescence. In contrast, imaginary feedback preserves stiffness but modulates effective damping, generating a parity-dependent amplification-suppression response. The analytical results closely match those of fully coupled finite-element simulations, reducing computation time by more than two orders of magnitude. These findings demonstrate that segmentation-enabled feedback provides an efficient and scalable approach to tunable, multi-band, non-Hermitian wave control in piezoelectric PnCs. Full article
(This article belongs to the Special Issue Analytical Methods in Wave Scattering and Diffraction, 3rd Edition)
Show Figures

Figure 1

22 pages, 9985 KB  
Article
A Comparative Analysis of Multi-Spectral and RGB-Acquired UAV Data for Cropland Mapping in Smallholder Farms
by Evania Chetty, Maqsooda Mahomed and Shaeden Gokool
Drones 2026, 10(1), 72; https://doi.org/10.3390/drones10010072 - 21 Jan 2026
Abstract
Accurate cropland classification within smallholder farming systems is essential for effective land management, efficient resource allocation, and informed agricultural decision-making. This study evaluates cropland classification performance using Red, Green, Blue (RGB) and multi-spectral (blue, green, red, red-edge, near-infrared) unmanned aerial vehicle (UAV) imagery. [...] Read more.
Accurate cropland classification within smallholder farming systems is essential for effective land management, efficient resource allocation, and informed agricultural decision-making. This study evaluates cropland classification performance using Red, Green, Blue (RGB) and multi-spectral (blue, green, red, red-edge, near-infrared) unmanned aerial vehicle (UAV) imagery. Both datasets were derived from imagery acquired using a MicaSense Altum sensor mounted on a DJI Matrice 300 UAV. Cropland classification was performed using machine learning algorithms implemented within the Google Earth Engine (GEE) platform, applying both a non-binary classification of five land cover classes and a binary classification within a probabilistic framework to distinguishing cropland from non-cropland areas. The results indicate that multi-spectral imagery achieved higher classification accuracy than RGB imagery for non-binary classification, with overall accuracies of 75% and 68%, respectively. For binary cropland classification, RGB imagery achieved an area under the receiver operating characteristic curve (AUC–ROC) of 0.75, compared to 0.77 for multi-spectral imagery. These findings suggest that, while multi-spectral data provides improved classification performance, RGB imagery can achieve comparable accuracy for fundamental cropland delineation. This study contributes baseline evidence on the relative performance of RGB and multi-spectral UAV imagery for cropland mapping in heterogeneous smallholder farming landscapes and supports further investigation of RGB-based approaches in resource-constrained agricultural contexts. Full article
(This article belongs to the Special Issue Advances of UAV in Precision Agriculture—2nd Edition)
Show Figures

Figure 1

16 pages, 7138 KB  
Article
Characteristics of Plasma-Assisted Ammonia Jet Flame Under High-Pressure Conditions
by Zhicong Lv, Zhiwei Wang, Qifu Lin, Jiawei Gong, Yong Li, Yuchen Zhang and Longwei Chen
Processes 2026, 14(2), 373; https://doi.org/10.3390/pr14020373 - 21 Jan 2026
Abstract
A plasma-assisted ammonia jet flame igniter was developed in this study to address the limitations of conventional spark ignition at high pressures. The effect of pressure on plasma discharge characteristics, optical emission spectra, and exhaust gas emission was systematically investigated, providing new insights [...] Read more.
A plasma-assisted ammonia jet flame igniter was developed in this study to address the limitations of conventional spark ignition at high pressures. The effect of pressure on plasma discharge characteristics, optical emission spectra, and exhaust gas emission was systematically investigated, providing new insights into the mechanisms of plasma-assisted ammonia ignition under high-pressure conditions. The results indicate that increased chamber pressure elevates gas density, which in turn raises the voltage required to sustain an arc discharge at 0.4 MPa and markedly reduces the frequency of arc drift. Spectral analysis shows that higher pressure inhibits atomic oxygen lines (777.2 nm and 844.6 nm) while intensifying the molecular nitrogen bands between 350–450 nm. A corresponding decrease in electron excitation temperature is also observed. In terms of exhaust composition, hydrogen concentration demonstrates a bifurcated behavior, rising with pressure under fuel-rich conditions (the equivalence ratio φ > 1.2) and falling under fuel-lean conditions (φ ≤ 1). Conversely, NO concentration consistently decreases with increasing pressure across all test conditions. The ammonia concentration in the exhaust gas shows opposite pressure dependencies at different equivalence ratios. It increases with rising pressure for φ ≥ 1, while it decreases with increasing pressure for φ < 1. Full article
(This article belongs to the Special Issue Synthesis and Utilization of Clean Ammonia as Fuel)
Show Figures

Figure 1

17 pages, 5421 KB  
Article
Assessing Trends and Interactions of Essential Climate Variables in the Historic Urban Landscape of Sfax (Tunisia) from 1985 to 2021 Using the Digital Earth Africa Data Cube
by Syrine Souissi, Marianne Cohen, Paul Passy and Faiza Allouche Khebour
Remote Sens. 2026, 18(2), 364; https://doi.org/10.3390/rs18020364 - 21 Jan 2026
Abstract
Cloud-based Earth observation platforms, such as data cubes, enable reproducible analyses of long-term satellite time series for climate and urban studies. In parallel, Essential Climate Variables (ECVs) provide a standardised framework for monitoring climate dynamics, with urban land cover and temperature being particularly [...] Read more.
Cloud-based Earth observation platforms, such as data cubes, enable reproducible analyses of long-term satellite time series for climate and urban studies. In parallel, Essential Climate Variables (ECVs) provide a standardised framework for monitoring climate dynamics, with urban land cover and temperature being particularly relevant in historic urban contexts. This study analyses long-term trends and statistical associations between satellite-based ECVs and urbanisation indicators within the Historic Urban Landscape (HUL) of Sfax (Tunisia) from 1985 to 2021. Using the Digital Earth Africa (DEA) data cube, we derived six urban spectral indices (USIs), land surface temperature, air temperature at 2 m, wind characteristics, and precipitation from Landsat and ERA5 reanalysis data. An automated and reproducible Python-based workflow was implemented to assess USI behaviour, evaluate their performance against the Global Human Settlement Layer (GHSL), and explore spatio-temporal co-variations between urbanisation and climate variables. Results reveal a consistent increase in air and surface temperatures alongside a decreasing precipitation trend over the study period. The USIs demonstrate comparable accuracy levels (≈88–90%) in delineating urban areas, with indices based on SWIR and NIR bands (NDBI, BUI, NBI) showing the strongest statistical associations with temperature variables. Correlation and multivariate regression analyses indicate that temporal variations in USIs are more strongly associated with air temperature than with land surface temperature; however, these relationships reflect statistical co-variation rather than causality. By integrating satellite-based ECVs within a data cube framework, this study provides an operational methodology for long-term monitoring of urban-climate interactions in historic Mediterranean cities, supporting both climate adaptation strategies and the objectives of the UNESCO HUL approach. Full article
Show Figures

Figure 1

18 pages, 6156 KB  
Brief Report
Exploiting Indoor-Induced Vibrations at Castello Normanno-Svevo Aci Castello
by Carlo Trigona, Achraf Derbel, Mohamd Amine Karoui, Giuseppe Politi, Eleonora Pappalardo and Anna Maria Gueli
Heritage 2026, 9(1), 36; https://doi.org/10.3390/heritage9010036 - 20 Jan 2026
Abstract
This study investigates the vibrations at the Castello Svevo-Normanno in Aci Castello (Catania), focusing on its historical and cultural significance. The research aims to analyze vibration levels and frequency distribution to achieve two objectives: protecting historical artifacts and structures through preventive vibration analysis [...] Read more.
This study investigates the vibrations at the Castello Svevo-Normanno in Aci Castello (Catania), focusing on its historical and cultural significance. The research aims to analyze vibration levels and frequency distribution to achieve two objectives: protecting historical artifacts and structures through preventive vibration analysis and exploring the use of kinetic energy for powering autonomous systems. The study specifically focuses on the indoor context to understand its unique vibrational characteristics. Measurements were recorded along the X, Y, and Z axes, with detailed analysis of the Z axis using Fast Fourier Transform (FFT) and Power Spectral Density (PSD). The results revealed consistent vibration patterns across all axes, with the Z axis significantly influenced by environmental factors such as wind and sea movement. These findings provide valuable insights for designing optimized energy harvesting systems, electromechanical converters, and monitoring devices suitable for operation in this specific historical context. Full article
Show Figures

Figure 1

53 pages, 29053 KB  
Article
Integration of Multispectral and Hyperspectral Satellite Imagery for Mineral Mapping of Bauxite Mining Wastes in Amphissa Region, Greece
by Evlampia Kouzeli, Ioannis Pantelidis, Konstantinos G. Nikolakopoulos, Harilaos Tsikos and Olga Sykioti
Remote Sens. 2026, 18(2), 342; https://doi.org/10.3390/rs18020342 - 20 Jan 2026
Abstract
The mineral-mapping capability of three spaceborne sensors with different spatial and spectral resolutions, the Environmental Mapping and Analysis Program (EnMap), Sentinel-2, and World View-3 (WV3), is assessed regarding bauxite mining wastes in Amphissa, Greece, with validation based on ground samples. We applied the [...] Read more.
The mineral-mapping capability of three spaceborne sensors with different spatial and spectral resolutions, the Environmental Mapping and Analysis Program (EnMap), Sentinel-2, and World View-3 (WV3), is assessed regarding bauxite mining wastes in Amphissa, Greece, with validation based on ground samples. We applied the well-established Linear Spectral Unmixing (LSU) and Spectral Angle Mapping (SAM) classification techniques utilizing endmembers of two established spectral libraries and incorporated ground data through geochemical and mineralogical analyses, X-ray fluorescence (XRF), Laser Ablation Inductively Coupled Plasma Mass Spectrometry (LA-ICP-MS), and X-ray Diffraction (XRD), to assess classification performance. The main lithologies in this area are bauxites and limestones; therefore, aluminum oxyhydroxides, calcite, and iron oxide minerals were the dominant phases as indicated by the XRF/XRD results. Almost all target minerals were mapped with the three sensors and both methods. The performance of EnMap is affected by its coarser spatial resolution despite its higher spectral resolution using these methods. Sentinel-2 is most effective for mapping iron-bearing minerals, particularly hematite, due to its higher spatial resolution and the presence of diagnostic iron oxide absorption features in the VNIR. World View 3 Shortwave Infrared (WV3-SWIR) performs better when mapping calcite, benefiting from its eight SWIR spectral bands and very high spatial resolution (3.7 m). Hematite and calcite yield the highest accuracy, especially with SAM, indicating 0.80 for Sentinel-2 (10 m) for hematite and 0.87 for WV3-SWIR (3.7 m) for calcite. AlOOH shows higher accuracy with SAM, ranging from 0.57 to 0.80 across the sensors, while LSU shows lower accuracy, ranging from 0.20 to 0.73 across the sensors. This study showcases each sensor’s ability to map minerals while also demonstrating that spectral coverage and the spatial and spectral resolution, as well as the characteristics of the selected endmembers, exert a critical influence on the accuracy of mineral mapping in mine waste. Full article
32 pages, 3054 KB  
Article
Identification of Cholesterol in Plaques of Atherosclerotic Using Magnetic Resonance Spectroscopy and 1D U-Net Architecture
by Angelika Myśliwiec, Dawid Leksa, Avijit Paul, Marvin Xavierselvan, Adrian Truszkiewicz, Dorota Bartusik-Aebisher and David Aebisher
Molecules 2026, 31(2), 352; https://doi.org/10.3390/molecules31020352 - 19 Jan 2026
Viewed by 25
Abstract
Cholesterol plays a fundamental role in the human body—it stabilizes cell membranes, modulates gene expression, and is a precursor to steroid hormones, vitamin D, and bile salts. Its correct level is crucial for homeostasis, while both excess and deficiency are associated with serious [...] Read more.
Cholesterol plays a fundamental role in the human body—it stabilizes cell membranes, modulates gene expression, and is a precursor to steroid hormones, vitamin D, and bile salts. Its correct level is crucial for homeostasis, while both excess and deficiency are associated with serious metabolic and health consequences. Excessive accumulation of cholesterol leads to the development of atherosclerosis, while its deficiency disrupts the transport of fat-soluble vitamins. Magnetic resonance spectroscopy (MRS) enables the detection of cholesterol esters and the differentiation between their liquid and crystalline phases, but the technical limitations of clinical MRI systems require the use of dedicated coils and sequence modifications. This study demonstrates the feasibility of using MRS to identify cholesterol-specific spectral signatures in atherosclerotic plaque through ex vivo analysis. Using a custom-designed experimental coil adapted for small-volume samples, we successfully detected characteristic cholesterol peaks from plaque material dissolved in chloroform, with spectral signatures corresponding to established NMR databases. To further enhance spectral quality, a deep-learning denoising framework based on a 1D U-Net architecture was implemented, enabling the recovery of low-intensity cholesterol peaks that would otherwise be obscured by noise. The trained U-Net was applied to experimental MRS data from atherosclerotic plaques, where it significantly outperformed traditional denoising methods (Gaussian, Savitzky–Golay, wavelet, median) across six quantitative metrics (SNR, PSNR, SSIM, RMSE, MAE, correlation), enhancing low-amplitude cholesteryl ester detection. This approach substantially improved signal clarity and the interpretability of cholesterol-related resonances, supporting more accurate downstream spectral assessment. The integration of MRS with NMR-based lipidomic analysis, which allows the identification of lipid signatures associated with plaque progression and destabilization, is becoming increasingly important. At the same time, the development of high-resolution techniques such as μOCT provides evidence for the presence of cholesterol crystals and their potential involvement in the destabilization of atherosclerotic lesions. In summary, nanotechnology-assisted MRI has the potential to become an advanced tool in the proof-of-concept of atherosclerosis, enabling not only the identification of cholesterol and its derivatives, but also the monitoring of treatment efficacy. However, further clinical studies are necessary to confirm the practical usefulness of these solutions and their prognostic value in assessing cardiovascular risk. Full article
Show Figures

Figure 1

19 pages, 2215 KB  
Article
Effect of Mo Layer Thickness on Bandwidth Tunability and Absorption Properties of Planar Ultra-Wideband Optical Absorbers
by Kao-Peng Min, Yu-Ting Gao, Cheng-Fu Yang, Walter Water and Chi-Ting Ho
Photonics 2026, 13(1), 86; https://doi.org/10.3390/photonics13010086 - 19 Jan 2026
Viewed by 22
Abstract
This study utilizes COMSOL Multiphysics (version 6.0) to design a planar ultra-broadband optical absorber with a multilayer configuration. The proposed structure consists of seven stacked layers arranged from bottom to top: W (h1, acting as a reflective substrate and transmission blocker), [...] Read more.
This study utilizes COMSOL Multiphysics (version 6.0) to design a planar ultra-broadband optical absorber with a multilayer configuration. The proposed structure consists of seven stacked layers arranged from bottom to top: W (h1, acting as a reflective substrate and transmission blocker), WSe2 (h2), SiO2 (h3), Ni (h4), SiO2 (h5), Mo (h6), and SiO2 (h7). One key finding of this study is that, when all other layer thicknesses are fixed, variations in the Mo layer thickness systematically induce a redshift in both the short- and long-wavelength cutoff edges. Notably, the long-wavelength cutoff exhibits a larger shift than the short-wavelength edge, resulting in an increased absorption bandwidth where absorptivity remains above 0.900. The second contribution is the demonstration that this planar structure can be readily engineered to achieve ultra-broadband absorption, spanning from the near-ultraviolet and visible region (360 nm) to the mid-infrared (6300 nm). An important characteristic of the proposed design is that the thickness of the h7 SiO2 layer influences the cutoff wavelength at the short-wavelength edge, while the thickness of the h6 Mo layer governs the cutoff position at the long-wavelength edge. This dual modulation capability allows the proposed optical absorber to flexibly tune both the spectral range and the bandwidth in which absorptivity exceeds 0.900, thereby enabling the realization of a wavelength- and bandwidth-tunable optical absorber. Full article
(This article belongs to the Special Issue Photonics Metamaterials: Processing and Applications)
23 pages, 3357 KB  
Article
Creep Instability and Acoustic Emission Responses of Bedded Coal Subjected to Compressive Loads and Acidic Water Saturation
by Zhenhua Zhao, Lin Han, Hongjie Sun, Hongtao Li, Rui Zhang, Xinyu Bai and Yu Wang
Appl. Sci. 2026, 16(2), 1005; https://doi.org/10.3390/app16021005 - 19 Jan 2026
Viewed by 24
Abstract
This study investigates the creep behavior and acoustic emission (AE) characteristics of bedded coal samples under acidic water environments. Uniaxial graded creep tests coupled with AE monitoring were conducted on samples with bedding angles of 0°, 30°, 60°, and 90°, respectively. The anisotropic [...] Read more.
This study investigates the creep behavior and acoustic emission (AE) characteristics of bedded coal samples under acidic water environments. Uniaxial graded creep tests coupled with AE monitoring were conducted on samples with bedding angles of 0°, 30°, 60°, and 90°, respectively. The anisotropic mechanical behavior and acoustic emission characteristics in terms of stress–strain, deformation, AE count, AE energy, and spectrum characteristics were revealed. The experimental results show that the strength of the coal samples gradually decreases as the saturation duration increases. At the same axial stress level, the axial deformation of the coal samples becomes larger with increasing saturation duration. The mechanical strength exhibits a distinct “U-shaped” relationship with the bedding angle, initially decreasing and then increasing. Correspondingly, axial deformation at a given stress level first increases and then decreases as the bedding angle increases. AE activity, particularly the AE ring count and energy, peaks at specimen failure, indicating significant fracture development. Spectral analysis revealed that under conditions of severe strength degradation (e.g., 0° bedding after 60-day saturation or 60° bedding after 30-day saturation), high-frequency, high-amplitude AE signals were absent. This suggests a shift in the dominant fracture mechanism from small-scale cracking to larger-scale fracture propagation in weakened samples. These findings offer valuable theoretical insights for the prevention and early warning of coal mine disasters. Full article
(This article belongs to the Topic Failure Characteristics of Deep Rocks, 3rd Edition)
28 pages, 8533 KB  
Article
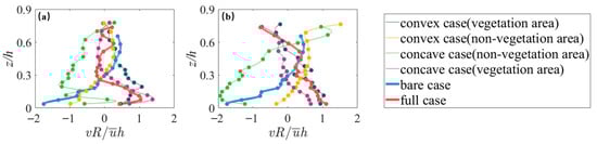
An Experimental Study on the Influence of Rigid Submerged Vegetation on Flow Characteristics in a Strongly Curved Channel
by Yu Yang, Dongrui Han, Xiongwei Zheng, Fen Zhou, Feifei Zheng and Ying-Tien Lin
Water 2026, 18(2), 256; https://doi.org/10.3390/w18020256 - 18 Jan 2026
Viewed by 86
Abstract
Flow dynamics in strongly curved channels with submerged vegetation play a crucial role in riverine ecological processes and morphodynamics, yet the combined effects of sharp curvature and rigid submerged vegetation remain inadequately understood. This study presents a comprehensive experimental investigation into the influence [...] Read more.
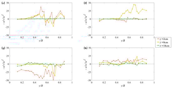
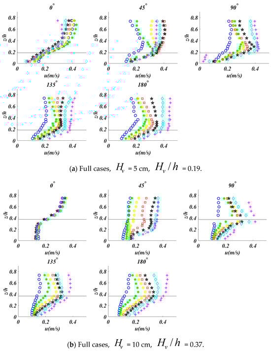
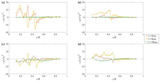
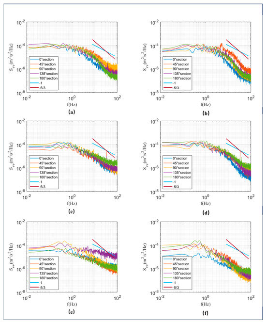
Flow dynamics in strongly curved channels with submerged vegetation play a crucial role in riverine ecological processes and morphodynamics, yet the combined effects of sharp curvature and rigid submerged vegetation remain inadequately understood. This study presents a comprehensive experimental investigation into the influence of rigid submerged vegetation on the flow characteristics within a 180° strongly curved channel. Laboratory experiments were conducted in a U-shaped flume with varying vegetation configurations (fully vegetated, convex bank only, and concave bank only) and two vegetation heights (5 cm and 10 cm). The density of vegetation ϕ was 2.235%. All experimental configurations exhibited fully turbulent flow conditions (Re > 60,000) and subcritical flow regimes (Fr < 1), ensuring gravitational dominance and absence of jet flow phenomena. An acoustic Doppler velocimeter (ADV) was employed to capture high-frequency, three-dimensional velocity data across five characteristic cross-sections (0°, 45°, 90°, 135°, 180°). Detailed analyses were performed on the longitudinal and transverse velocity distributions, cross-stream circulation, turbulent kinetic energy (TKE), power spectral density, turbulent bursting, and Reynolds stresses. The results demonstrate that submerged vegetation fundamentally alters the flow structure by increasing flow resistance, modifying the velocity inflection points, and reshaping turbulence characteristics. Vegetation height was found to delay the manifestation of curvature-induced effects, with taller vegetation shifting the maximum longitudinal velocity to the vegetation canopy top further downstream compared to shorter vegetation. The presence and distribution of vegetation significantly impacted secondary flow patterns, altering the direction of cross-stream circulation in fully vegetated regions. TKE peaked near the vegetation canopy, and its vertical distribution was strongly influenced by the bend, causing the maximum TKE to descend to the mid-canopy level. Spectral analysis revealed an altered energy cascade in vegetated regions and interfaces, with a steeper dissipation rate. Turbulent bursting events showed a more balanced contribution among quadrants with higher vegetation density. Furthermore, Reynolds stress analysis highlighted intensified momentum transport at the vegetation–non-vegetation interface, which was further amplified by the channel curvature, particularly when vegetation was located on the concave bank. These findings provide valuable insights into the complex hydrodynamics of vegetated meandering channels, contributing to improved river management, ecological restoration strategies, and predictive modeling. Full article
(This article belongs to the Topic Advances in Environmental Hydraulics, 2nd Edition)
Show Figures

Figure 1

15 pages, 5606 KB  
Article
Effect of Deposition Angle and Arc Current on the Structure and Optical Properties of Ti Coatings Deposited by Cathodic Arc Evaporation
by Iulian Pana, Anca C. Parau, Mihaela Dinu, Adrian E. Kiss, Lidia R. Constantin, Nicolae C. Zoita, Alina Vladescu (Dragomir) and Catalin Vitelaru
Metals 2026, 16(1), 105; https://doi.org/10.3390/met16010105 - 17 Jan 2026
Viewed by 132
Abstract
This study investigates the effects of deposition angle and arc current on the surface morphology and optical response of Ti coatings obtained by unfiltered cathodic arc evaporation for spectrally selective solar-thermal applications. 100 nm-thick Ti films were deposited at normal (0°) and oblique [...] Read more.
This study investigates the effects of deposition angle and arc current on the surface morphology and optical response of Ti coatings obtained by unfiltered cathodic arc evaporation for spectrally selective solar-thermal applications. 100 nm-thick Ti films were deposited at normal (0°) and oblique (80°) angles of incidence, with arc currents of 65 A and 90 A, respectively. The SEM measurements revealed the characteristic arc-generated microdroplet population. At normal incidence (0°), droplets are predominantly spherical and relatively uniformly distributed, whereas at 80° incidence, many droplets exhibit elongated footprints aligned with the incoming flux from the Ti cathode. This behavior is consistent with oblique-angle deposition (OAD), where the arrival geometry can promote self-shadowing and transient droplet spreading before solidification. AFM confirms an increase in nanoscale roughness, whereas GIXRD indicates nanocrystalline α-Ti and cubic TiO, with maximum crystallinity for 0°/65 A. Contact-angle measurements demonstrate a transition from hydrophobic 316L (~103°) to moderately hydrophilic Ti-coated surfaces (~68–72°), with only minor dependence on deposition geometry. Optical reflectance in the 400–800 nm range is significantly lower for Ti-coated glass and is further reduced for OAD films, indicating enhanced solar absorptance. Full article
(This article belongs to the Special Issue Metallic Coatings Synthesized by Magnetron Sputtering)
Show Figures

Graphical abstract

14 pages, 2317 KB  
Article
Shrimp-Derived Chitosan for the Formulation of Active Films with Mexican Propolis: Physicochemical and Functional Evaluation of the Biomaterial
by Alejandra Delgado-Lozano, Pedro Alberto Ledesma-Prado, César Leyva-Porras, Lydia Paulina Loya-Hernández, César Iván Romo-Sáenz, Carlos Arzate-Quintana, Manuel Román-Aguirre, María Alejandra Favila-Pérez, Alva Rocío Castillo-González and Celia María Quiñonez-Flores
Coatings 2026, 16(1), 124; https://doi.org/10.3390/coatings16010124 - 17 Jan 2026
Viewed by 114
Abstract
The development of functional biomaterials based on natural polymers has gained increasing relevance due to the growing demand for sustainable and bioactive alternatives for biomedical and technological applications. In this study, chitosan was obtained from shrimp exoskeletons and used to formulate active films [...] Read more.
The development of functional biomaterials based on natural polymers has gained increasing relevance due to the growing demand for sustainable and bioactive alternatives for biomedical and technological applications. In this study, chitosan was obtained from shrimp exoskeletons and used to formulate active films enriched with Mexican propolis, aiming to evaluate the influence of the extract on the physicochemical and functional properties of the resulting biomaterial. Propolis was incorporated into the chitosan film-forming solution at a final concentration of 1.0% (v/v). The propolis employed met the requirements of the Mexican Official Standard NOM-003-SAG/GAN-2017 regarding flavonoid content, total phenolic compounds, and antimicrobial activity; additionally, it was evaluated through antioxidant activity, hemolysis, and acute toxicity (LD50) assays to provide a broader biological and safety assessment. The extracted chitosan exhibited a degree of deacetylation of 74% and characteristic FTIR spectral features comparable to those of commercial chitosan, confirming the quality of the obtained polymer. Chitosan–propolis films exhibited antimicrobial activity against Staphylococcus aureus, Escherichia coli, and Candida albicans, whereas pure chitosan films showed no inhibitory effect. Thermal analyses (TGA/DSC) revealed a slight reduction in thermal stability due to the incorporation of thermolabile polyphenolic compounds, along with increased thermal complexity of the system. SEM observations demonstrated reduced microbial adhesion and marked morphological damage in microorganisms exposed to the functionalized films. Overall, the incorporation of Mexican propolis enabled the development of a hybrid biomaterial with enhanced antimicrobial performance and potential application in wound dressings and bioactive coatings. Full article
(This article belongs to the Special Issue Coatings with Natural Products)
Show Figures

Graphical abstract

23 pages, 3909 KB  
Article
Development and Application of a “Decomposition–Denoising”-Based Vibration-Signal Denoising System for Radial Steel Gates Under Discharge Excitation
by Chen Wang, Yakun Liu, Wenqi Wang, Yuan Wang, Di Zhang and Kaixuan Zhang
Appl. Sci. 2026, 16(2), 929; https://doi.org/10.3390/app16020929 - 16 Jan 2026
Viewed by 78
Abstract
To mitigate the pervasive noise interference present in the measured vibration signals of radial steel gates and to address the limitations of conventional wavelet-threshold denoising, this study proposes a coupled “decomposition–denoising” theoretical framework for vibration-signal purification. The key novelty lies in a smooth [...] Read more.
To mitigate the pervasive noise interference present in the measured vibration signals of radial steel gates and to address the limitations of conventional wavelet-threshold denoising, this study proposes a coupled “decomposition–denoising” theoretical framework for vibration-signal purification. The key novelty lies in a smooth and tunable thresholding strategy that enables controlled filtering while preserving key structural characteristics within an integrated denoising workflow. In the proposed approach, the measured signal is decomposed into intrinsic mode components using a data-driven decomposition method, noise-dominated components are identified using multiscale permutation entropy, and only these components are selectively denoised before signal reconstruction. Both qualitative and quantitative analyses conducted on synthetic signals demonstrate the effectiveness of the proposed framework and confirm the enhanced smoothness and robustness of the improved thresholding scheme. Performance is evaluated using objective measures such as signal-to-noise ratio and root-mean-square error, together with spectral-consistency checks for field measurements. Furthermore, two field-measured engineering cases involving radial steel gates substantiate the engineering applicability and generalization capability of the proposed method, showing clearer signals and more stable diagnostic-relevant indicators. Finally, the study integrates the decomposition, denoising, and parameter-selection modules into a user-oriented vibration-signal denoising system, establishing an efficient workflow for engineering signal processing and subsequent structural-health monitoring applications. Full article
(This article belongs to the Special Issue Novel Advances in Noise and Vibration Control)
Show Figures

Figure 1

28 pages, 12924 KB  
Article
Research on a Wave Elevation Reconstruction Method at Fixed Positions
by Zhiqiang Jiang, Yongyan Ma, Yong Wu and Weijia Li
Appl. Sci. 2026, 16(2), 898; https://doi.org/10.3390/app16020898 - 15 Jan 2026
Viewed by 76
Abstract
Accurate wave detection is essential for reliable ship motion prediction and the safety of offshore operations. Wave buoys are widely deployed as key instruments for capturing wave characteristics. However, buoys drift due to the waves and currents, resulting in errors in reconstructed wave [...] Read more.
Accurate wave detection is essential for reliable ship motion prediction and the safety of offshore operations. Wave buoys are widely deployed as key instruments for capturing wave characteristics. However, buoys drift due to the waves and currents, resulting in errors in reconstructed wave elevation. To address this challenge, a fixed-position wave-elevation reconstruction method is proposed in this paper. First, a temporal convolutional network (TCN) module is integrated with a gated recurrent unit (GRU) network to efficiently capture the nonlinear relationship between buoy motion and wave elevation, enabling simultaneous wave elevation reconstruction and dynamic deviation compensation. Second, a static deviation compensation algorithm developed from wave theory is introduced to convert the spatial deviation into temporal misalignment. The proposed method is evaluated in both time and frequency domains across various sea conditions. Results demonstrate that the proposed method effectively compensates for deviations and achieves accurate reconstruction of wave elevation at the target position. In higher sea states, accurate reconstruction is maintained even at large static deviations, with relative errors typically within 10–15%. Frequency-domain analysis shows that coherence approaches 1 near the spectral peak and below 0.3 at higher frequencies, indicating that the dominant wave components are accurately reconstructed and that high-frequency noise has a limited impact on overall accuracy. Full article
Show Figures

Figure 1

Back to TopTop