Sign in to use this feature.

Years

Between: -

Subjects

remove_circle_outline
remove_circle_outline
remove_circle_outline
remove_circle_outline
remove_circle_outline
remove_circle_outline
remove_circle_outline
remove_circle_outline
remove_circle_outline

Journals

Article Types

Countries / Regions

remove_circle_outline
remove_circle_outline
remove_circle_outline

Search Results (348)

Search Parameters:
Keywords = specific leaf nitrogen

Order results
Result details
Results per page
Select all
Export citation of selected articles as:
24 pages, 6483 KB  
Article
Integrating Plant Height into Hyperspectral Inversion Models for Estimating Chlorophyll and Total Nitrogen in Rice Canopies
by Jing He, Yangyang Song, Dong Xie and Gang Liu
Agriculture 2026, 16(6), 656; https://doi.org/10.3390/agriculture16060656 - 13 Mar 2026
Viewed by 194
Abstract
Rice undergoes rapid growth and exhibits a high demand for nutrients during the tillering and booting stages. SPAD readings, which reflect relative leaf chlorophyll status, and leaf nitrogen content (LNC) are key indicators of plant nutritional status, directly influencing photosynthetic efficiency and biomass [...] Read more.
Rice undergoes rapid growth and exhibits a high demand for nutrients during the tillering and booting stages. SPAD readings, which reflect relative leaf chlorophyll status, and leaf nitrogen content (LNC) are key indicators of plant nutritional status, directly influencing photosynthetic efficiency and biomass accumulation, while plant height (PH) reflects canopy structure and nutrient availability. Establishing quantitative relationships among these traits at key growth stages is essential for stage-specific precision rice management. In this study, Unmanned Aerial Vehicle (UAV) hyperspectral imagery and ground-truth measurements of SPAD, LNC, and PH were collected from rice fields in Qingbaijiang District, Chengdu, China. Twelve vegetation indices (VIs) were calculated, and three machine learning algorithms—partial least squares regression (PLSR), support vector regression (SVR), and random forest regression (RFR)—were employed to develop stage-specific retrieval models. A stage-specific modeling framework integrating PH with hyperspectral data was developed to statistically enhance estimation accuracy at the tillering and booting stages. The optimal models for SPAD readings and LNC achieved R2 values of 0.916 and 0.936, respectively. The results indicate that integrating canopy structural information with hyperspectral features can improve the estimation accuracy of SPAD-related chlorophyll indicators and nitrogen status in rice. Under the controlled field conditions of this study, the proposed framework provides a plot-scale proof-of-concept demonstration for UAV-based stage-specific nitrogen monitoring. Full article
Show Figures

Figure 1

23 pages, 4190 KB  
Article
Yield, Nutritional, and Thermal Responses of Lettuce (Lactuca sativa) and Eggplant (Solanum melongena) Under Greenhouse Covers with Different UV-B Transmittance
by Mauro Mori, Eugenio Cozzolino, Ida Di Mola, Lucia Ottaiano, Antimo Di Meo, Pasquale Mormile and Massimo Rippa
Plants 2026, 15(6), 863; https://doi.org/10.3390/plants15060863 - 11 Mar 2026
Viewed by 215
Abstract
Ultraviolet-B (UV-B) radiation plays a pivotal role in plant growth, metabolism, and the accumulation of bioactive compounds, but its effects under greenhouse conditions are highly species- and dose-dependent. This study investigated the responses of eggplant (Solanum melongena L., cv. Lunga Napoletana) and [...] Read more.
Ultraviolet-B (UV-B) radiation plays a pivotal role in plant growth, metabolism, and the accumulation of bioactive compounds, but its effects under greenhouse conditions are highly species- and dose-dependent. This study investigated the responses of eggplant (Solanum melongena L., cv. Lunga Napoletana) and lettuce (Lactuca sativa L., cv. Rosplus) cultivated under greenhouse films transmitting 3–39% of ambient UV-B. Leaf temperature was monitored throughout the growth cycle using infrared thermography, while physiological parameters (chlorophyll, flavonoids, anthocyanins, and nitrogen index) and post-harvest nutritional traits (antioxidant activity, vitamin C, carotenoids, and total chlorophyll) were assessed. Comparative analysis revealed species-specific responses. Eggplant exhibited peak nutraceutical quality at higher UV-B levels (35–39%) with minimal changes in yield, whereas lettuce achieved maximal yield and secondary metabolite accumulation under intermediate UV-B (30–35%). At the highest UV-B transmittance (39%), both species exhibited stable or slightly reduced thermal and physiological parameters, indicating dose-dependent regulatory mechanisms that maintain photoprotection and metabolic activity under elevated UV-B exposure. Results suggest an apparent optimal range of UV-B transmittance in greenhouse systems under the tested experimental conditions, contributing to improved crop productivity and nutritional quality. Full article
(This article belongs to the Special Issue Application of Optical and Imaging Systems to Plants)
Show Figures

Figure 1

15 pages, 4116 KB  
Article
Effects of Red–Blue Light Ratios on Growth, Nutritional Quality, and Nutrient Accumulation in Hydroponic Lettuce (Lactuca sativa L.)
by Caizhu Hu, Jie Wu, Ali Anwar, Riyuan Chen and Shiwei Song
Horticulturae 2026, 12(3), 312; https://doi.org/10.3390/horticulturae12030312 - 5 Mar 2026
Viewed by 252
Abstract
Light quality is a critical regulatory factor for the growth and nutritional quality of hydroponic lettuce (Lactuca sativa L.), and red–blue combined light serves as a key artificial light source for protected horticulture. This study aimed to investigate the effects of different [...] Read more.
Light quality is a critical regulatory factor for the growth and nutritional quality of hydroponic lettuce (Lactuca sativa L.), and red–blue combined light serves as a key artificial light source for protected horticulture. This study aimed to investigate the effects of different red–blue (R:B) light ratios on the growth, photosynthetic pigment content, nutritional quality, antioxidant capacity, and mineral nutrient content and accumulation of hydroponic lettuce. Lettuce was cultivated under four R:B light treatments (CK: pure red light, 100:0; T1: 90:10; T2: 80:20; and T3: 60:40) with a uniform photosynthetic photon flux density of 350 µmol m−2s−1 and a 12 h photoperiod. The results showed that all red–blue combined light treatments significantly improved the above physiological and nutritional indices compared with monochromatic red light (CK), with the fresh weight increased by 0.73 to 0.78 times and different R:B ratios inducing distinct tissue-specific and element-specific responses in lettuce. Specifically, T3 (60:40) exhibited the highest root dry weight (0.57 ± 0.02 g plant−1), inhibited excessive leaf elongation to form a compact plant architecture, and its chlorophyll a and b contents increased significantly by 1.6 and 2.25 times compared with CK, respectively. Furthermore, T3 markedly enhanced the accumulation of soluble sugar (0.36 times higher), soluble protein (1.16 times higher), and vitamin C (4.09 times higher), reduced the nitrate content to 0.58 times that of CK, and showed the highest antioxidant capacity (polyphenol content and DPPH free radical scavenging rate), with antioxidant traits positively correlated with the blue light proportion. In contrast, T2 (80:20) effectively promoted plant biomass accumulation and exhibited the most balanced mineral nutrient profile, with significant increases in nitrogen, calcium, and magnesium accumulation, and it also upregulated chlorophyll synthesis to enhance carbon assimilation. T1 (90:10) had moderate regulatory effects on both lettuce growth and nutritional quality and was favorable for potassium accumulation in lettuce tissues. These findings clarify the differential regulatory mechanisms of red–blue light ratios on hydroponic lettuce and provide a theoretical basis for the precise configuration of LED lighting in greenhouse lettuce production. Lettuce producers can select specific R:B ratios according to actual cultivation demands, and the regulatory effects of such light ratios on red leaf lettuce varieties merit further exploration. Full article
(This article belongs to the Special Issue Horticultural Crops Responses to LED Lighting)
Show Figures

Figure 1

15 pages, 2127 KB  
Article
Spatial Variation and Seasonal Dynamics of Leaf Stoichiometry in Vascular Epiphytes
by Tao Hu, Yanyu Ai, Yumei Yan, Tingting Zhang, Yi Jin, Zuobing Liang, Xin Xiong and Wenyao Liu
Forests 2026, 17(3), 306; https://doi.org/10.3390/f17030306 - 27 Feb 2026
Viewed by 236
Abstract
Understanding spatial and seasonal variations in leaf stoichiometry is essential for understanding plant nutrient-use strategies and their implications for ecosystem biogeochemical cycling. Although broad-scale stoichiometric patterns have been well documented for terrestrial plants, comparable evidence for vascular epiphytes remains limited. Here, we examined [...] Read more.
Understanding spatial and seasonal variations in leaf stoichiometry is essential for understanding plant nutrient-use strategies and their implications for ecosystem biogeochemical cycling. Although broad-scale stoichiometric patterns have been well documented for terrestrial plants, comparable evidence for vascular epiphytes remains limited. Here, we examined spatial and seasonal variation in leaf stoichiometry of vascular epiphytes by integrating field data from subtropical and tropical forests in southwestern China with a global literature synthesis. At the global scale, leaf nitrogen and phosphorus concentrations (LNC and LPC) of vascular epiphytes were significantly related to climate variables, whereas no clear latitudinal pattern was detected for leaf N:P ratios. At the regional scale, vascular epiphytes in the subtropical montane moist forest exhibited higher LNC and LPC and lower C:N and C:P ratios than those in the tropical seasonal rainforest. At the local scale, LPC of epiphytes was positively correlated with host LPC, whereas LNC showed a weak but statistically significant association with N availability in canopy soils. Seasonally, evergreen epiphytes exhibited higher leaf nutrient concentrations during the rainy season, and deciduous species showed significantly higher stem N, P, and K concentrations during the dry season, indicating contrasting seasonal nutrient-use strategies. Our results demonstrate that leaf stoichiometry of vascular epiphytes is jointly shaped by climate, canopy-level nutrient dynamics, and seasonal regulation, and differs fundamentally from patterns commonly observed in terrestrial plants. These findings highlight the importance of considering canopy-specific processes and fine-scale species turnover when assessing large-scale stoichiometric patterns and forest nutrient cycling. Full article
(This article belongs to the Section Forest Ecophysiology and Biology)
Show Figures

Figure 1

19 pages, 3752 KB  
Article
Sustainable Nutrient Recovery from Porcine Slurry: Agronomic Evaluation of Filtered and Ozonated Effluents in Internet-of-Things-Enabled Aeroponic Lettuce Cultivation
by Xavier Parra, Marta Musté, Marga López, Joan Piñol, Elsa Pérez and Roger Acín
Horticulturae 2026, 12(3), 258; https://doi.org/10.3390/horticulturae12030258 - 24 Feb 2026
Viewed by 266
Abstract
Intensive porcine livestock production generates approximately 15 million cubic meters of slurry annually, exerting significant environmental pressure on groundwater and contributing to greenhouse gas emissions. The AEROFER project aims to mitigate this impact by demonstrating the conversion of nitrogen-rich waste into liquid fertilizers [...] Read more.
Intensive porcine livestock production generates approximately 15 million cubic meters of slurry annually, exerting significant environmental pressure on groundwater and contributing to greenhouse gas emissions. The AEROFER project aims to mitigate this impact by demonstrating the conversion of nitrogen-rich waste into liquid fertilizers for soilless cultivation. Using an Internet of Things (IoT)-enabled aeroponic platform controlled by an ESP32 microcontroller, this study evaluated filtration (40 microns) and ozone-based stabilization (N-Amatic technology). Three lettuce varieties (Lactuca sativa L.)—Longifolia (Romaine lettuce), Capitata (Butterhead lettuce), and Capitata (Red leaf lettuce)—were grown to compare Filtered Slurry (FS) and Filtered–Ozonated Slurry (FOS) against a mineral control standard solution (SS). The results indicate that ozone treatment eliminated detectable E. coli and coliforms while increasing the phosphorus availability by 78% (from 30.9 to 55 mg/L), despite an 11% reduction in the potassium content (from 180 to 160 mg/L). Agronomic data reveal variety-specific responses, and mass balance analysis shows that the solutions are potassium-deficient, meeting only 32–64% of crop needs. In conclusion, while aeroponics is a viable tool for nutrient recovery and requires targeted mineral supplementation to achieve full parity with commercial fertilizers, it satisfies a substantial proportion of plant nutritional requirements. Consequently, it represents a sustainable approach to food production through waste recycling, contributing to a circular economy in the pig industry without apparent sanitary risks. Full article
(This article belongs to the Special Issue Application of Aeroponics System in Horticulture Production)
Show Figures

Graphical abstract

20 pages, 1934 KB  
Article
Compartment-Specific Niche Filtering Shapes the Structure and Nutrient-Cycling Potential of Bacterial Communities in Eutrophic Waters with Hydrilla verticillata
by Xiaorong Chen, Chuanxin Chao and Yonghong Xie
Plants 2026, 15(4), 641; https://doi.org/10.3390/plants15040641 - 18 Feb 2026
Viewed by 460
Abstract
Submerged aquatic macrophytes and their microbiomes can help mitigate eutrophication, yet how microbial communities and functions differ across specific plant-associated and surrounding niches remains unclear. Here, we profiled bacterial community composition (16S rRNA gene sequencing) and quantified nitrogen and phosphorus cycling genes ( [...] Read more.
Submerged aquatic macrophytes and their microbiomes can help mitigate eutrophication, yet how microbial communities and functions differ across specific plant-associated and surrounding niches remains unclear. Here, we profiled bacterial community composition (16S rRNA gene sequencing) and quantified nitrogen and phosphorus cycling genes (narG, nirK, nirS, nosZ, phoD by qPCR) across eight distinct compartments associated with the submerged macrophyte Hydrilla verticillata in a eutrophic freshwater wetland. The niches spanned open water, bulk sediment, rhizosphere, and plant phyllosphere (leaf/stem surfaces) and endosphere (leaf/stem/root interiors). Alpha diversity differed significantly among niches: sediments (non-rhizosphere and rhizosphere) exhibited the highest Operational Taxonomic Unit (OTU) richness and diversity, whereas leaf-associated niches (phyllosphere and endosphere) had the lowest. Beta diversity showed clear separation by niche, indicating strong habitat filtering. Community composition also varied markedly: the water column was dominated by Bacteroidota (~51% of sequences), plant-associated communities were enriched in Pseudomonadota (43–90%), and sediment niches were dominated by Firmicutes (23~48%). Functional gene abundances showed pronounced niche partitioning. Nitrate/nitrite reduction genes (narG, nirK, nirS) were most enriched on leaf phyllosphere, with narG abundance equally high in the water, whereas the N2O reductase gene nosZ peaked in sediment niches. The alkaline phosphatase gene phoD had its highest copy numbers in leaf biofilms, with significantly lower levels in internal plant tissues. Overall, neutral processes explained ~61% of community variation, but deterministic assembly was evident in the well-connected water and leaf surface niches. These findings reveal strong niche differentiation in plant-associated microbiomes and suggest that compartmentalized microbial functional capacity within the H. verticillata holobiont enhances nitrogen removal and phosphorus cycling in eutrophic waters. Full article
Show Figures

Graphical abstract

19 pages, 8239 KB  
Article
Delayed Panicle Nitrogen Application Enhances Stem Nonstructural Carbohydrate Accumulation in Large-Panicle Rice Through the Sucrose–Starch Metabolic Network
by Yonggan Shi, Tiezhong Zhu, Feilong Shen, Chuan Tu, Congshan Xu, Qiangqiang Zhang, Haibing He, Cuicui You, Liquan Wu and Jian Ke
Agronomy 2026, 16(4), 464; https://doi.org/10.3390/agronomy16040464 - 16 Feb 2026
Viewed by 528
Abstract
Accumulation of stem non-structural carbohydrates (NSC) at heading is crucial for mitigating grain-setting defects in large-panicle rice. While traditional panicle nitrogen fertilizer application at the emergence of the fourth leaf from the flag leaf stage (TL4) may weaken stem sink strength, delaying application [...] Read more.
Accumulation of stem non-structural carbohydrates (NSC) at heading is crucial for mitigating grain-setting defects in large-panicle rice. While traditional panicle nitrogen fertilizer application at the emergence of the fourth leaf from the flag leaf stage (TL4) may weaken stem sink strength, delaying application to the emergence of the third leaf from the flag leaf stage (TL3) significantly enhances NSC accumulation. This study aimed to elucidate the molecular mechanisms through which TL3 remodels stem sink strength to promote NSC storage. Using two large-panicle rice varieties (Huiliangyou 280 and Yangliangyou 228), we compared stem NSC dynamics under TL4 and TL3 treatments and integrated sugar-related metabolite profiling with transcriptome analysis during the critical NSC accumulation phase. The results showed that TL3 treatment significantly increased stem NSC content and NSC per spikelet at heading, leading to a higher percentage of filled grains. The period from 5 days before heading (DBH) to heading showed the highest NSC accumulation rate. At the molecular level, TL3 treatment specifically up-regulated eight key genes in the sucrose–starch metabolism pathway, increasing the activities of sucrose phosphate synthase, sucrose synthase, and ADP–glucose pyrophosphorylase, and thereby promoting the accumulation of sucrose, trehalose, and D-fructose. In summary, delaying panicle nitrogen application to TL3 enhances stem NSC storage by remodeling sink strength via coordinated regulation of the sucrose–starch metabolic network. Full article
Show Figures

Figure 1

19 pages, 2158 KB  
Article
Effect of Nitrogen Application Timing on the Photosynthetic Traits and Essential Oil Yield of Cinnamomum camphora var. linalooliferum Coppice Stands
by Jie Ma, Jiao Zhao, Jie Zhang, Qingqing Liu, Lei Lei, Jiexi Hou and Changlong Xiao
Horticulturae 2026, 12(2), 228; https://doi.org/10.3390/horticulturae12020228 - 12 Feb 2026
Viewed by 227
Abstract
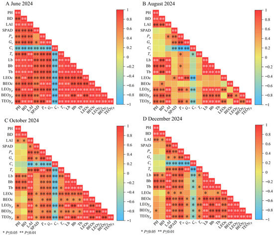
To investigate the effects of nitrogen application timing on photosynthetic traits and essential oil yield of Cinnamomum camphora var. linalooliferum coppice stands, an experiment was conducted with different nitrogen allocation ratios at coppicing, topdressing in June and August using a constant nitrogen amount [...] Read more.
To investigate the effects of nitrogen application timing on photosynthetic traits and essential oil yield of Cinnamomum camphora var. linalooliferum coppice stands, an experiment was conducted with different nitrogen allocation ratios at coppicing, topdressing in June and August using a constant nitrogen amount of 270 kg·ha−1. Plant growth, photosynthetic traits, and total above-ground essential oil yield were measured dynamically. Nitrogen application timing significantly affected photosynthetic performance, biomass accumulation, and essential oil yield (p < 0.05), showing clear stage-specific responses. It was found that early growth favored higher basal nitrogen fertilization, whereas middle-to-late growth benefited from increased topdressing. Principal component analysis revealed strong coordination among photosynthesis, growth traits, and essential oil yield, with N5 closely associated with high essential oil yield per plant (TEOyp), plant height (PH), leaf area index (LAI), relative chlorophyll value (SPAD), and biomass traits. Correlation analysis further confirmed the stage-specific regulatory effects of photosynthetic traits and plant growth on essential oil yield. Nitrogen fertilization at coppicing mainly enhanced photosynthetic efficiency to support essential oil formation, whereas topdressing promoted vegetative growth and biomass accumulation to exploit yield potential. These findings will provide theoretical support and practical guidance for efficient nitrogen management in high-yield cultivation. Full article
Show Figures

Figure 1

17 pages, 3629 KB  
Article
Influence of Tea Stand Age on Leaf Biochemical Components, Mineral Elements, and Rhizosphere Soil Properties in Wuyi Rougui (Camellia sinensis (L.) Kuntze)
by Mengzhen Zhang, Yaqing Wang, Qiling Li, Qingyue Wang, Shuang Ma, Xiaoli Jia, Qi Zhang and Jianghua Ye
Horticulturae 2026, 12(2), 217; https://doi.org/10.3390/horticulturae12020217 - 10 Feb 2026
Viewed by 288
Abstract
This study systematically investigated the effects of stand age (5, 10, 20, and 40 years) on the biochemical components, mineral element accumulation in leaves, and rhizosphere soil properties of the tea shrub Camellia sinensis (L.) Kuntze cv. Wuyi Rougui. Analyses were performed on [...] Read more.
This study systematically investigated the effects of stand age (5, 10, 20, and 40 years) on the biochemical components, mineral element accumulation in leaves, and rhizosphere soil properties of the tea shrub Camellia sinensis (L.) Kuntze cv. Wuyi Rougui. Analyses were performed on dried and ground leaf samples, and rhizosphere soil was collected from multiple independent plots per age group (n = 3). The results showed that the contents of tea polyphenols, water extract, caffeine, total flavonoids, and free amino acids in leaves initially increased, peaked at 10 or 20 years, and then decreased with increasing stand age. Soluble sugar content was highest at 5 years. The accumulation patterns of leaf mineral elements (Mg, Mn, K, Na, Fe, Zn, Cu, Ca) were also significantly influenced by stand age. Soil physicochemical properties (pH, total nitrogen, available phosphorus, organic matter, etc.) and enzyme activities (protease, polyphenol oxidase, urease, sucrase) exhibited distinct trends, i.e., pH decreased initially and then increased, while organic matter content increased with stand age. Principal component analysis (PCA) revealed that tea quality indicators, mineral elements, and soil properties clearly separated the 5- and 40-year groups, while the 10- and 20-year groups were closer. Pearson correlation analysis indicated significant positive correlations between leaf total flavonoids and soil ammonium nitrogen (r = 0.82, p < 0.01), and negative correlations between leaf soluble sugar and soil ammonium nitrogen (r = −0.75, p < 0.05). In summary, stand age was associated with systematic changes in both tea leaf composition and soil environment, suggesting that soil nutrient availability and enzyme activity may modulate tea quality formation. These findings provide a theoretical basis for age-specific soil and nutrient management in tea plantations. Full article
Show Figures

Figure 1

17 pages, 3213 KB  
Article
Dynamic Shifts of Heavy Metals During Mixed Leaf Litter Decomposition in a Subtropical Mangrove
by Xinlei Xu, Yuxuan Wan, Zhiqiang Lu, Danyang Li and Li Ma
Plants 2026, 15(3), 478; https://doi.org/10.3390/plants15030478 - 3 Feb 2026
Viewed by 338
Abstract
Mangrove ecosystems play a critical role in sequestering heavy metals pollutants, yet the dynamics of heavy metals accumulation during mixed litter decomposition remain poorly understood. This study investigated the seasonal and species-specific variations in heavy metals accumulation during the decomposition of Kandelia obovata [...] Read more.
Mangrove ecosystems play a critical role in sequestering heavy metals pollutants, yet the dynamics of heavy metals accumulation during mixed litter decomposition remain poorly understood. This study investigated the seasonal and species-specific variations in heavy metals accumulation during the decomposition of Kandelia obovata (KO) and Avicennia marina (AM) leaf litter mixtures in a subtropical mangrove forest in the Jiulong River Estuary, Fujian, China. Using the litterbag technique, we monitored eight heavy metals (V, Cr, Ni, Cu, Zn, As, Se, Cd) across three mixing ratios (KO:AM = 1:2, 1:1, 2:1) in summer and winter. Results revealed that V concentrations were influenced by both season and litter ratio, with higher KO proportions enhancing V accumulation in summer but reducing it in winter. In contrast, Cr, Ni, Cu, As, Se, and Cd were primarily regulated by litter ratios: KO-dominated mixtures promoted Cr and Ni accumulation, while AM-dominated mixtures favored Cu, As, Se, and Cd. Zn exhibited the highest variability and was unaffected by season or ratio. Total organic carbon (TOC) and carbon/metal (C/M) ratios significantly correlated with reduced bioavailability of most heavy metals, whereas total nitrogen (TN) and C/N ratios showed no consistent relationship. The heavy metals accumulation index (MAI) indicated higher accumulation in summer than in winter, with the highest MAI observed in the KO:AM = 2:1 treatment group during summer (MAI = 1.36), whereas winter decomposition slowed accumulation rates. These findings highlight the dual regulatory roles of species composition and environmental factors in mangrove heavy metals cycling, offering critical insights for ecological risk assessment and contaminated soil remediation strategies in coastal ecosystems. Full article
(This article belongs to the Section Plant Ecology)
Show Figures

Figure 1

18 pages, 4052 KB  
Article
Phenophase Transitions and Fertiliser-Mediated Regimes as Determinants of C-N Partitioning and Pedogenic Pathways in Tropical Agriculture
by Odhiambo O. Nicholas, Xunzhun Li, Qilin Zhu, Raymond Gervas Ntakihale, Chaoqi Liu, Hua Zhao, Xiangdong Zhang, Qiqian Lu, Xiaoqian Dan, Jinbo Zhang, Ahmed S. Elrys and Lei Meng
Agronomy 2026, 16(3), 366; https://doi.org/10.3390/agronomy16030366 - 2 Feb 2026
Viewed by 433
Abstract
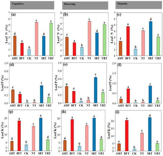
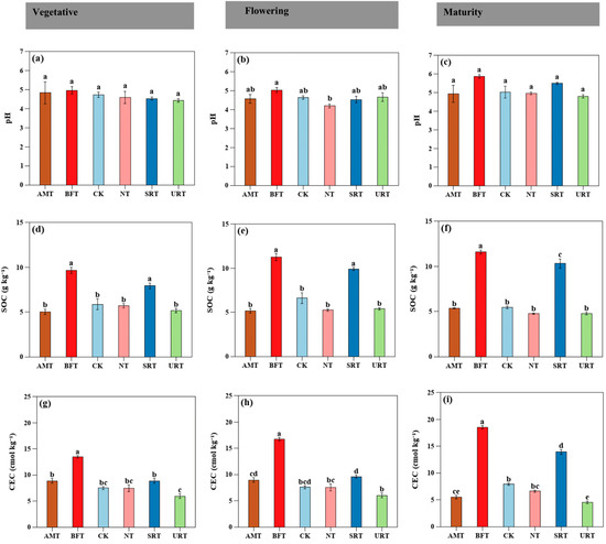
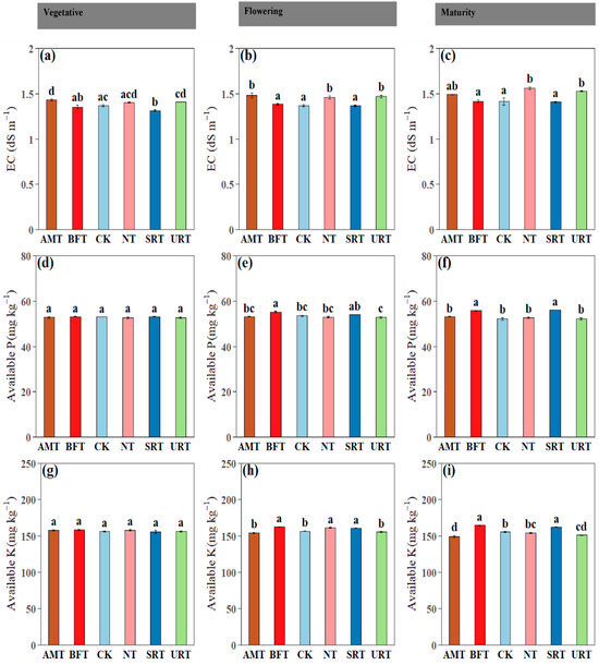
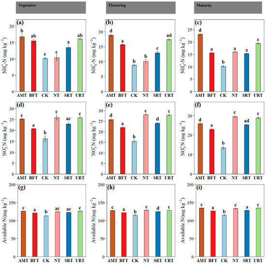
Complex interactions in soil carbon and nitrogen (C-N) synchronisation in tropical perennial orchards are highly responsive to fertiliser chemistry. However, the intensity and stage-specific dynamics of these interactions are not well quantified. Six nitrogen regimes, namely, urea (URT), ammonium (AMT), nitrate (NT), slow-release [...] Read more.
Complex interactions in soil carbon and nitrogen (C-N) synchronisation in tropical perennial orchards are highly responsive to fertiliser chemistry. However, the intensity and stage-specific dynamics of these interactions are not well quantified. Six nitrogen regimes, namely, urea (URT), ammonium (AMT), nitrate (NT), slow-release fertiliser (SRT), bio-organic fertiliser (BFT), and an unfertilised control, were assessed at the vegetative, flowering, fruit-set, and maturity stages of durian cultivated on highly weathered tropical soils. A two-way ANOVA indicated high to very high treatment × phenology interactions for almost all soil properties (p < 0.001), indicating that nutrient responses were highly stage-dependent. The highest soil organic carbon (SOC) and cation exchange capacity (CEC) values were consistently obtained with the BFT, which was often associated with significant differences compared with synthetic treatments. In contrast, the SRT showed the most consistent nutrient release behaviour, especially in flowering. On the other hand, soil pH did not differ significantly among the treatments during the vegetative and maturity stages. A significant decrease in pH was observed for the URT and NT treatments during the flowering stage, indicating temporary acidification at this stage and steep increases in nitrate nitrogen (NO3N), indicating strong nitrification and attenuated carbon (C) stabilisation. Leaf nutrient responses were increased in phosphorus (P), potassium (K), calcium (Ca), and magnesium (Mg) by 23% in response to the SRT and BFT. The NT and URT tended to enhance leaf nitrogen (N) primarily, and PCA (59–69% variance explained) clearly displayed clustering of the fertiliser effects, with the maximum difference at flowering, the peak period of nutrient demand in the crop. In general, fertiliser chemistry and phenophase jointly controlled the C-N partitioning, soil chemical paths, and nutrient yield correlations. The BFT and SRT showed the greatest significant gains in soil fertility and nutrient retention, making them the best high-performance alternatives in sustainable durian production in tropical systems. Full article
(This article belongs to the Section Farming Sustainability)
Show Figures

Figure 1

24 pages, 6844 KB  
Article
Arbuscular Mycorrhizal Fungi-Mediated Reconfiguration of Poplar Leaf C-N-P Metabolic Networks: Environment-Dependent Synergies and Nutrient Interactions
by Xiaan Tang, Mengmeng Chen, Panpan Meng and Junyu Song
J. Fungi 2026, 12(2), 105; https://doi.org/10.3390/jof12020105 - 2 Feb 2026
Viewed by 530
Abstract
The regulatory mechanisms by which AMF modulate the integrated carbon (C)-nitrogen (N)-phosphorus (P) metabolic network in woody plant leaves remain unclear. We investigated how varying nitrate (NO3) and phosphate (Pi) supply, with or without AMF inoculation, reshapes the leaf metabolic [...] Read more.
The regulatory mechanisms by which AMF modulate the integrated carbon (C)-nitrogen (N)-phosphorus (P) metabolic network in woody plant leaves remain unclear. We investigated how varying nitrate (NO3) and phosphate (Pi) supply, with or without AMF inoculation, reshapes the leaf metabolic network in poplar seedlings. Key findings reveal that AMF acts as a central metabolic hub, optimizing C-N-P coordination in an environment-dependent manner. Under low Pi, NO3 supply enhanced P remobilization and photosynthetic efficiency, boosting growth. AMF further optimized low-Pi adaptation by promoting P storage and buffering, significantly improving photosynthesis and biomass. Under high Pi, NO3 supply shifted focus towards enhancing Rubisco-mediated carbon assimilation. AMF synergistically improved carbon assimilation efficiency and suppressed non-essential P recycling. N metabolism effects of Pi were contingent on NO3 availability, and AMF reprogrammed N assimilation pathways accordingly, balancing uptake and utilization under different N regimes. Critically, AMF orchestrated environment-specific metabolic adjustments, reinforcing P buffering and photosynthetic gain under Pi limitation, and enhancing C assimilation efficiency while minimizing P waste under Pi sufficiency. This study demonstrates that poplar leaf C-N-P networks are reconfigured through N-P synergisms modulated by AMF, positioning AMF as a pivotal integrator of nutrient acquisition and allocation. These insights provide a physiological foundation for developing efficient forestry nutrient management and mycorrhizal application strategies. Full article
(This article belongs to the Special Issue Fungal Metabolomics and Genomics, 2nd Edition)
Show Figures

Figure 1

14 pages, 1089 KB  
Article
Comparative Performance of Lettuce (Lactuca sativa) in a Coupled Aquaponic System Using Nile Tilapia (Oreochromis niloticus) and African Catfish (Clarias gariepinus) Under Tropical Conditions
by Cassius Aruho, Nasser Kasozi, Gertrude Atukunda, Papius Dias Tibihika, Margaret Aanyu, Barry Kamira, Godfrey Byaruhanga, Everlyne Ajore, Gabriel Ddamulira and Idd Ramathani
Horticulturae 2026, 12(2), 175; https://doi.org/10.3390/horticulturae12020175 - 31 Jan 2026
Viewed by 613
Abstract
This study evaluated the performance of lettuce (Lactuca sativa) cultivated in coupled aquaponic systems integrated with Nile tilapia (Oreochromis niloticus) and African catfish (Clarias gariepinus) under tropical greenhouse conditions. The experiment was conducted across two consecutive lettuce [...] Read more.
This study evaluated the performance of lettuce (Lactuca sativa) cultivated in coupled aquaponic systems integrated with Nile tilapia (Oreochromis niloticus) and African catfish (Clarias gariepinus) under tropical greenhouse conditions. The experiment was conducted across two consecutive lettuce production cycles to assess fish growth, plant performance, water quality, and nutrient dynamics. African catfish exhibited significantly higher specific growth rates (1.08 ± 0.18%/day; p = 0.02) and weight gain (92.38 ± 22.29%; p = 0.03) compared with tilapia. During the first lettuce cycle, tilapia-based systems yielded significantly higher final plant weights (177.6 ± 34.4 g/plant; p = 0.0002), and greater increases in leaf number, weight gain, and absolute growth rate than catfish-based systems. However, in the second cycle, catfish systems resulted in superior lettuce leaf morphology, with significantly greater leaf length, width, and total leaf area. Nutrient profiles differed markedly between systems. In the deep-water culture (DWC) units, total phosphorus (TP) concentrations were significantly higher in the tilapia-based system during cycle 1 (12.39 ± 0.64 mg/L; p = 0.0001), while total nitrogen (TN) concentrations were significantly higher in the catfish treatment during cycle 2 (21.54 ± 2.93 mg/L; p = 0.0007). Catfish-based systems also showed higher levels of calcium and sodium. Despite these differences, temperature, pH, and dissolved oxygen remained within optimal ranges for aquaponic production across both systems. Overall, tilapia-based aquaponics promoted faster early-cycle plant growth and higher initial yield, whereas catfish-based systems enhanced nitrogen availability and improved lettuce leaf structural development over successive cycles. These findings indicate that fish species selection plays a critical role in shaping nutrient dynamics and crop performance in tropical aquaponic systems. Full article
(This article belongs to the Special Issue Enhancing Plant Quality and Sustainability in Aquaponics Systems)
Show Figures

Figure 1

22 pages, 7438 KB  
Article
Plant Functional Traits and Soil Properties Shape Soil Microbial Communities in Larix principis-rupprechtii Mixed Plantations
by Zhaoxuan Ge, Bo Peng, Xiaotong Chen, Junfei Zhang, Ziyi Wang, Yue Pang and Zhidong Zhang
Biology 2026, 15(3), 259; https://doi.org/10.3390/biology15030259 - 30 Jan 2026
Viewed by 437
Abstract
The mixing of tree species influences soil microbial communities and ecosystem functioning, yet the underlying mechanisms remain inadequately understood. This study aimed to elucidate how different tree species mixtures regulate soil microbial community structure and ecological functions and to disentangle the relative roles [...] Read more.
The mixing of tree species influences soil microbial communities and ecosystem functioning, yet the underlying mechanisms remain inadequately understood. This study aimed to elucidate how different tree species mixtures regulate soil microbial community structure and ecological functions and to disentangle the relative roles of leaf functional traits, soil nutrients, and tree species identity in shaping bacterial and fungal assemblages. Leaf and soil samples were collected from 15 plots (20 m × 30 m) established in pure Larix principis-rupprechtii plantations (PL) and mixed Larix-Betula platyphylla (MLB) and Larix-Picea asperata (MLP) stands in the Saihanba Mechanical Forest Farm, China. Principal coordinate analysis, co-occurrence network analysis, and partial least squares path modeling were employed to assess changes in microbial community structure, network organization, and functional potential. Our results showed that the MLB stand mainly improved leaf nitrogen content (LNC), specific leaf area (SLA), and the concentrations of total nitrogen (STN) and phosphorus (STP) in the soil. The MLP stand preferentially promoted carbon and phosphorus accumulation in both leaves and soil. The MLB stand exhibited higher bacterial Chao1 richness, whereas the MLP stand showed reduced fungal diversity. The MLB supported a more complex bacterial network enriched with keystone taxa involved in nitrification and nitrate reduction, while MLP displayed a less complex bacterial network and a higher relative abundance of ectomycorrhizal fungi. Path analyses revealed that tree species mixtures shaped bacterial community structure largely via changes in leaf functional traits and soil conditions. Bacterial functional potential was primarily driven by improvements in soil nutrient availability. In contrast, fungal assemblage organization and functional expression were directly governed by the identity of the mixed tree species. These insights provide a foundation for improving soil fertility and nutrient cycling in managed forests via strategic species diversification. Full article
(This article belongs to the Section Microbiology)
Show Figures

Figure 1

16 pages, 3960 KB  
Article
Doubling CO2 Modulates Root Morphology to Enhance Maize Elemental Stoichiometry and Water Use Efficiency Under Soil Drought and Salinity
by Changtong Xu, Haoran Tong, Zesen Gao, Wentong Zhao, Chunshuo Liu, Manyi Zhang and Zhenhua Wei
Agronomy 2026, 16(3), 326; https://doi.org/10.3390/agronomy16030326 - 28 Jan 2026
Viewed by 236
Abstract
This study aimed to explore the effect of doubled CO2 concentration (d[CO2]) on the modulation of root morphological structure, leaf potassium (K)/sodium (Na) ratio, and nutrient stoichiometry, as well as water use efficiency (WUE) of a C4 [...] Read more.
This study aimed to explore the effect of doubled CO2 concentration (d[CO2]) on the modulation of root morphological structure, leaf potassium (K)/sodium (Na) ratio, and nutrient stoichiometry, as well as water use efficiency (WUE) of a C4 maize (Zea mays L.) in response to soil drought and salinity. C4 maize was grown in two atmospheric CO2 concentrations of 400 and 800 ppm (a[CO2] and d[CO2]), subjected to two soil water regimes (well-watered and drought stress) and two soil salinity levels (0 and 100 mM NaCl pot−1 (non-salt and salt stress)). The results indicated that soil drought increased maize root tissue density and specific root length. Both d[CO2] and salt stress reduced leaf phosphorus (P) and K concentrations; conversely, drought stress enhanced leaf nitrogen (N) and K concentrations. The lower specific leaf area, but greater specific leaf N and N/K under soil drought, was amplified by salt stress. In contrast, d[CO2] promoted leaf carbon (C)/N and C/K. Notably, d[CO2] combined with soil drought enhanced leaf K/Na under salt stress. Moreover, d[CO2] ameliorated the adverse impacts of soil drought and salinity on root morphology in terms of enlarged root length and root surface area, contributing to superior leaf C, N, and K use efficiency and consequently improved C4 maize plant dry mass and WUE. These findings would provide essential knowledge to elevate salt tolerance and achieve optimal nutrient homeostasis and WUE in C4 maize, adapting to future drier and more saline soils under a CO2-enriched scenario. Full article
Show Figures

Figure 1

Back to TopTop