Next Article in Journal
Depicting the Physiological, Biochemical and Metabolic Responses to the Removal of Adventitious Roots and Their Functions in Cucumis melo Under Waterlogging Stress
Previous Article in Journal
Red Pepper Fermentation with Geothermal Mineral Water: Impact on Nutritional Profile and Quality Characteristics
 
 
Font Type:
Arial Georgia Verdana
Font Size:
Aa Aa Aa
Line Spacing:
Column Width:
Background:
Article

Root Growth and Branching of Two Cycas Species Are Influenced by Form of Nitrogen Fertilizer

by
Thomas E. Marler
1,2
1
Philippine Native Plants Conservation Society, Inc., Ninoy Aquino Parks and Wildlife Center, Quezon City 1101, Philippines
2
Cycad Specialist Group, International Union for Conservation of Nature Species Survival Commission, 1196 Gland, Switzerland
Agronomy 2025, 15(10), 2280; https://doi.org/10.3390/agronomy15102280
Submission received: 25 August 2025 / Revised: 24 September 2025 / Accepted: 25 September 2025 / Published: 26 September 2025
(This article belongs to the Section Soil and Plant Nutrition)

Abstract

Horticultural research into the group of plants known as cycads has been deficient, and this includes the study of root growth and function. The form of nitrogen (N) available to plants is known to influence root growth and morphology. The response of cycad roots to N has not been studied to date. Cycas revoluta and Cycas edentata seedlings were grown in hydroponic culture and provided urea, nitrate, or ammonium forms of N. Solutions with all three forms of N increased root growth and branching when compared with nutrient solution devoid of N, with ammonium eliciting the greatest increases. Ammonium increased lateral root length 210% for C. revoluta and 164% for C. edentata. Ammonium decreased specific root length 38% for C. revoluta and 39% for C. edentata. The influence of the N source on stem and leaf growth was minimal. Ammonium increased the root-to-shoot ratio 15% for C. revoluta and 51% for C. edentata, but urea and nitrate did not influence this plant trait. A mixture of nitrate and ammonium generated plant responses that were no different from ammonium alone. The plants supplied with N in the solution produced coralloid root growth that was 14% of the no-N plants for C. revoluta and 22% of the no-N plants for C. edentata. This initial determination of the cycad plant response to the N form indicated that root plasticity was considerable and ammonium stimulated root growth more so than urea or nitrate. Long-term growth studies in mineral soils and nursery container medium are needed to determine if these findings from the hydroponic culture of small seedlings translate to general recommendations for the preferential use of ammonium for cycad culture.
Keywords:
ammonium; cycad; nitrate; urea

1. Introduction

Understanding the mechanisms of nutrient acquisition from soil is fundamental for optimizing plant management strategies. Although all essential elements can limit plant development in specific soils, nitrogen (N) is the macronutrient that most often limits plant growth and productivity [1]. This macronutrient may account for up to 80% of the nutrients absorbed by plants and up to 5% of total plant dry matter [2]. The two main sources of available N in natural systems and commercial fertilizers are the inorganic nitrate (NO3) and ammonium (NH4) sources. The oxidized nitrate is negatively charged, and the reduced ammonium is positively charged [1]. Small organic molecules that contain N may also be absorbed by plant roots, and urea (CO(NH2)2) is the most common source of organic N in commercial fertilizers. Urea is nonionic, relatively inexpensive to produce, and contains comparably high N percentage [3,4]. This amide is distinctive as a byproduct of the metabolism of living organisms but also as an organic compound that can be synthesized from non-biological materials.
The availability of N in soil systems is highly heterogeneous in space and time. Being highly soluble in water and little affected by a soil’s exchange capacity, nitrate and urea are highly mobile in the rhizosphere. In contrast, ammonium is less mobile. Leaching of mobile sources of N following fertilizer applications may displace the nutrient to soil strata below the root zone before the plants can access the resource [5]. These leaching losses combine with volatilization and denitrification to cause considerable loss of N after applications of fertilizer [6,7,8]. Less than 50% of the N that is applied to crops in commercial fertilizers is incorporated, and the remainder is lost to the environment [9]. In light of the 112 kg of inorganic fertilizer that is applied to each ha of cropland and the consumption of 109 Tg of N to satisfy the global fertilizer industry [10], the need for evidence-based decisions is of paramount importance. These challenges require agriculturists and conservationists to develop a full understanding of how to best foster plant growth with added N fertilizers but reduce N loss at the same time [11,12].
One facet of this issue involves the influence of the N form on root growth and development. Fostering a root system that is more efficient in N acquisition would potentially reduce N losses following fertilizer applications. The physiological mechanisms by which nitrate and ammonium differentially influence lateral root growth have been heavily studied [13,14]. Root branching in particular has been studied extensively within the context of available N [15]. In this light, ammonium nutrition often leads to greater root mass, length, and branching when compared with nitrate [16,17]. However, the response is not universal, and some species may exhibit a root growth preference to nitrate [18]. For the heavily studied model species Arabidopsis thaliana (L.) Heynh., ammonium alone generally elicits greater lateral root branching, but nitrate alone elicits greater lateral root elongation [19].
Direct comparisons of all three forms of fertilizer N are less common than comparisons of ammonium and nitrate. This may, in part, be due to the fact that ammonium and nitrate are produced by plants and decomposers, but urea is not. Therefore, the ecology literature is replete with studies addressing plant root responses to the two inorganic N forms. Some studies have shown that urea sometimes stimulates greater root growth than ammonium or nitrate for some plant species [20]. Clearly, species-specific studies are required to fully understand the direct influence of the N form on plant root growth and development.
Cycads are members of an ancient group of spermatophytes with numerous species which have become horticulturally important [21,22,23]. They are the most threatened plant group globally [24,25], with conservation status of the group worsening in recent years [26]. Research in the applied sciences, such as horticulture, has been deficient, so management and conservation decisions are hindered by a lack of cycad-specific evidence [21,27]. Research to improve fertilization decisions is an example; therefore, empirical information on nutrition management in cycad culture is inadequate and a hindrance for improving conservation efforts.
The well-studied root physiology and morphology responses to the N form have implications for species with unique root morphologies, especially species which have been under-studied such as cycads. Additionally, general fertilizer guidelines may not apply to cycads because they exhibit relatively slow growth, exploit N-fixing root symbionts, and rely on mycorrhizae mutualisms. Practical guidelines addressing fertilization of cycads have been limited to general horticulture recommendations. The benefits of using commercial fertilizers to improve the growth of cultivated cycad plants has been discussed in every general publication on cycad culture (e.g., refs. [22,23,28,29]), although the recommendations were not based on any experimental work. Controlled release and soluble fertilizers stimulated the growth of Zamia integrifolia L.f. in container culture [30], indicating that more research on fertilizer formulations has the potential to improve management guidelines. Ammonium forms of N have been recommended for cycad culture [30,31], but these recommendations were based on anecdotal observations rather than an actual experimental comparison. The objective here was to determine the root growth and branching responses of two Cycas species to ammonium, nitrate, or urea forms of N. The findings may inform recommendations to improve fertilizer management in cycad horticulture.

2. Materials and Methods

Three hydroponic studies were conducted in 2024 and 2025 in Angeles City, Philippines employing young seedlings of Cycas edentata de Laub. and Cycas revoluta Thunb. Each study required about four months in the hydroponics system. The ex situ cycad germplasm garden was begun in 2011, and included ample nursery space with full sun, shade cloth, and rain exclusion conditions to enable a variety of growing conditions and management capabilities. The tropical rainforest climate is classified as Af and provides ideal annual temperature ranges for most cycad species.
The experimental layout consisted of 20 plastic containers with 18.2 L of nutrient solution, four fertilizer treatments, and five replications. The containers were positioned in a 4 × 5 grid with 60 cm separating each container. There were no observable gradients, so the experimental layout was a completely randomized design. The plants were protected from rainfall with a polypropylene covering and incident sunlight was moderated with commercial shade fabric such that incident light on the seedlings was about 47% of ambient (quantified under a variety of sky conditions using a Skye SKP200 quantum sensor, Skye Instruments, Llandrindod Wells, Powys, UK). There were four air compressors positioned in the center of the experimental footprint, and the discharged air from each was passed through a manifold such that each compressor supplied air to 10 containers. Therefore, each container received air from two compressors. The air was discharged through two aquarium aeration stones with discharge surface area of 21 cm2, and each stone was affixed to the bottom of the containers. Aeration pressure was ≈0.018 mPa and output was ≈45 L·min−1 at the discharge sites of each aeration stone.

2.1. Nutrient Solutions

The nutrient solutions were prepared with reverse-osmosis water and replaced every week. The macronutrient solutions were prepared prior to additions of N with 200 mg·L−1 of KCl, 250 mg·L−1 of KH2PO4, 493 mg·L−1 of MgSO4, and 690 mg·L−1 of CaCl2. Micronutrients were supplied according to Hoagland and Arnon [32]. The iron was supplied as ethylenediamine dihydroxyphenylacetic acid.
The first two experiments were comparisons of three single N sources with no combinations. Nitrogen was added to these nutrient solutions as no-N, nitrate as NaNO3, ammonium as (NH4)2SO4, or urea. Each of the three +N solutions contained N at 200 mg·L−1. The third experiment included treatments of no-N, ammonium, nitrate, or ammonium+nitrate. The mixture was made by supplying N at 100 mg·L−1 from the ammonium source and 100 mg·L−1 from the nitrate source. Initial pH was 6.5, and pH was checked one time for each week’s solution after four days and adjusted back to 6.5 with 1 N H2SO4 if above 7.0 or 1 N NaOH if below 6.0.

2.2. Responses to Ammonium, Nitrate, and Urea

Cycas revoluta seeds were obtained from a commercial nursery and sown in germination beds on 18 December 2023 using washed river sand as the substrate. A homogeneous group of 20 seedlings was removed from the beds on 16 April 2024 when the primary roots were 4–5 cm in length. Each container represented one replication. After positioning the root through a hole in the lid of the container, the lowest 2–3 cm of primary root was immersed in the nutrient solution. The gaps between the seedling stems and the container caps was covered with Parafilm®M (Amcor; Zürich, Switzerland). The containers were wrapped in cardboard and aluminum foil to minimize heat gain from solar radiation. The experiment duration was defined by weekly observance of the root systems when the solutions were replaced. The goal was to terminate the experiment before the root systems were too complicated or robust to measure each root directly with a ruler, and this occurred on 12 August 2024. The plants were harvested as described below. Ambient temperature during this experiment ranged from diel highs of 35.4 °C to lows of 24.1 °C. The temperature of the solutions was checked weekly using an Extech TM26 thermometer (Nashua, NH, USA). The nocturnal and morning temperatures tracked ambient temperatures, but the afternoon temperature was 1.5–2.0 °C above ambient.
Cycas edentata seeds were collected from a single female tree from northern Panay Island. The seeds had been open-pollinated by native weevil pollinators, so the pollen parent was unknown. The seeds had been in storage for six months when they were planted on 24 February 2024 as described for the C. revoluta experiment. A homogeneous group of 20 seedlings was removed from the bed on 20 August 2024. Initiation and maintenance of the experiment was in accordance with the C. revoluta experiment, and the termination date was 4 December 2024. Ambient temperature during this experiment ranged from diel highs of 32.8 °C to lows of 23.2 °C.
Cycas edentata seeds were collected from a single female tree from southern Mindoro Island. The pollen parent was unknown due to natural pollination. After a six-month storage period, the seeds were sown on 10 November 2024. A homogeneous group of seedlings was selected from the seedling batch on 5 April 2025. The experiment was established and managed as previously described and was terminated on 22 July 2025. Ambient temperature during this experiment ranged from diel highs of 34.8 °C to lows of 23.9 °C.

2.3. Final Measurements

The 20 seedlings in each of the three experiments were harvested on a single date. The seedlings were supported by 1–2 leaves at this stage (Figure 1a). With the seedling intact, the length of the primary root (PR) and each individual lateral root (LR) were measured directly with a ruler to the nearest 1 mm. The number of LR branching junctions were subsequently counted manually. Counting began with the first order LRs closest to the root-to-stem transition collar. For each first order LR, every second order LR was counted before progressing to the next first order LR (Figure 1b). The number of first order LRs was added to the number of second order LR branching junctions (e.g., total LR number in Figure 1b would be 13 LR branches + 6 first order LRs = 19).
Each seedling was separated into six tissue categories. The seed was excised from the stem by slicing through the cotyledons. Coralloid roots (CR) are specialized cycad roots which form to house N-fixing endosymbionts. The CRs were counted then removed from the LRs. The LRs were excised at the junction with the PR. The leaves were cut at the base of the petioles. The stem was separated from the PR at the collar. The PR and stem tissues were sliced into small segments to facilitate drying. The tissue was placed in a forced draft oven at 75 °C for 48 h then dry weight (DW) was measured.
Several derived variables were calculated from the primary data. A mean lateral root length was calculated as (LR length)/(LR number). This metric combined all first order and second order LRs into a single datum. Total seedling growth was calculated by adding all DWs except the seed DW. The root-to-shoot ratio (RSR) was calculated from the DWs as (PR + LR + CR)/(stem + leaf). The specific root length (SRL) was calculated for LRs as (LR length)/(LR DW). The DW relationship between LR and PR was defined as the quotient LR/PR. The relative production of CR was calculated as (CR DW/total root DW) × 100.
Every response variable except CR DW met parametric prerequisites and was subjected to analysis of variance in a completely randomized design. The plant-to-plant variation in CR DW was substantial for the no-N plants but minimal and homogeneous for plants in the three +N treatments. These data were subjected to the non-parametric Kruskal–Wallis H test. For significant variables, the means were separated using Tukey’s Honestly Significant Difference test (HSD). Moreover, the effect size statistic η2 was calculated. Analyses were conducted in R [33]. Experimental summary is shown in Table A1.

3. Results

3.1. Cycas revoluta Reponds to N Form

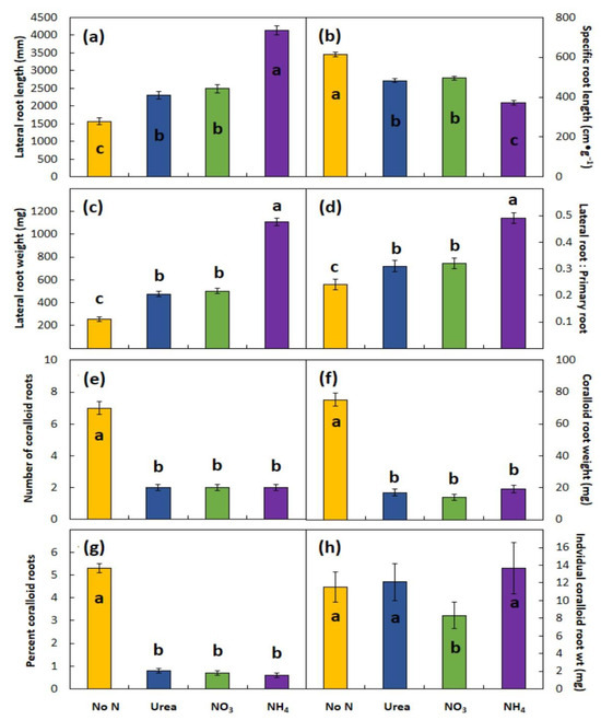
The roots of C. revoluta seedlings exhibited considerable plasticity in response to N fertilization (statistics shown in Table A2). The total LR length was increased 210% by ammonium and 159% by urea and nitrate when compared with no-N plant root growth (Figure 2a). The SRL for the plants with no N in the nutrient solution exceeded that of the plants receiving N, intermediate for plants supplied with urea or nitrate, and was least for the plants supplied with ammonium (Figure 2b). The increases in LR DW for all three forms of N exceeded that of LR length because of the disparity in specific root length among the treatments (Figure 2c). The nitrate plants showed a 220% increase, the urea plants showed a 240% increase, and the ammonium plants showed a280% increase in the lateral-to-primary root ratio compared to the no-N plants (Figure 2d).
The PR length did not differ among the four treatments. PR DW of the plants receiving ammonium was 1.6-fold greater than the plants with no-N. This metric was intermediate for the urea and nitrate plants (Table 1). The number of LRs supporting the ammonium plants was 1.7-fold greater than the urea and nitrate plants and 3.2-fold greater than the no-N plants. Mean LR length of the urea and nitrate plants was 1.4-fold greater than the no-N and ammonium plants. Total plant DW did not differ among the three N treatments, and these plants were 141% of that for the no-N plants. Shoot DW was increased in a similar manner for the three +N treatments. The RSR was of the plants receiving no-N, nitrate, or urea was about 85% of that for the plants receiving ammonium.
The number of coralloid root clusters in the no-N plants was 6-times greater than for the three N treatments (Figure 2e). The total coralloid root DW was minimal for the plants receiving N and was similar among the three N forms (Figure 2f). In contrast, the coralloid root DW for the 0-N plants was 7.2-fold greater than for the N-treated plants. (Table 1). The percentage of the total root DW that was represented by coralloid roots was similar for the three N forms and less than 1%, but the no-N plants exhibited a 10.8-fold increase in this root trait when compared with the plants receiving +N treatments (Figure 2g). Finally, the dry weight of the individual coralloid root clusters was similar among the four N treatments (Figure 2h).
The DW of the seeds at the end of the growth period did not differ among the four treatments (f3,16 = 2.513, p = 0.095). The seeds were 4192 mg, and the similarity among the treatments indicated the increase in seedling growth with N additions was not a result of greater deployment of seed gametophyte resources to the growing seedling.
Effect size (η2) exceeded 0.95 for SRL of the lateral roots, the proportion defined as LR:PR, total coralloid DW, and the percent of total root DW that coralloid roots comprise (Appendix B Table A2). These results indicated more than 95% of the variance from the average was explained by the group.

3.2. Cycas edentata Responds to N Form

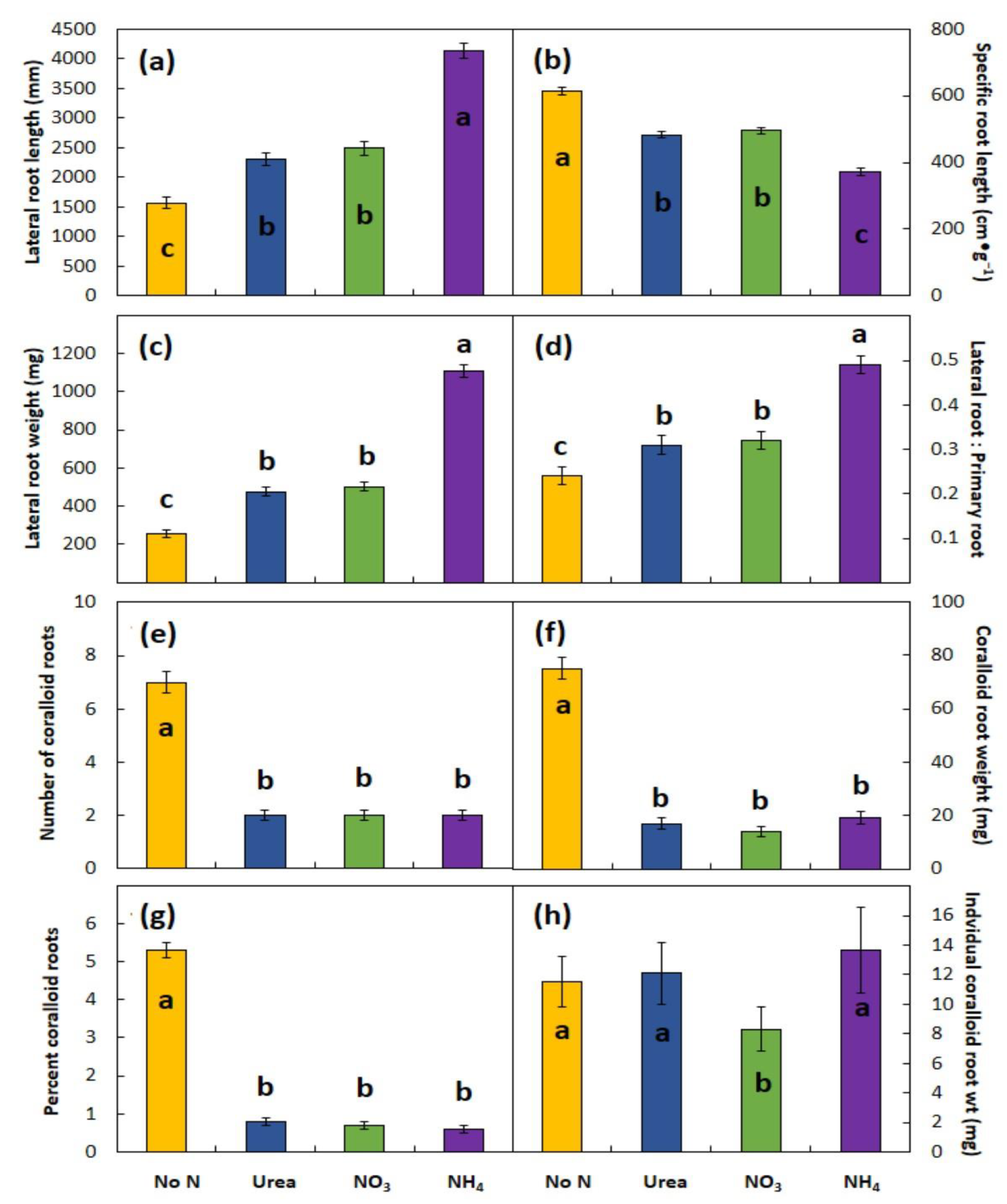
The root responses of C. edentata seedlings to the four treatments indicated numerous root traits were influenced by N form (statistics shown in Table A3). The total length of the LR was 1.5-times longer in plants treated with urea and nitrate and 2.6-timeslonger in those treated with ammonium when compared to plants without N input (Figure 3a). The SRL of the no-N plants exceeded that of the plants receiving N, was intermediate for the plants receiving urea or nitrate, and was least for the ammonium plants (Figure 3b). The total LR DW of the no-N plants was only 23% of the ammonium plants and 55% of the urea and nitrate plants (Figure 3c). The ratio defined by LR:PR ranked among the four N treatments in a manner consistent with LR DW, with the ammonium plants exhibiting LR:PR more than double that of the no-N plants (Figure 3d).
The PR length was not influenced by the four N treatments (Table 2). In contrast, PR DW for the plants receiving N exceeded that of the no-N plants, with PR DW of ammonium plants being more than double that of the no-N plants. The number of LRs supporting the no-N, urea, and nitrate plants was similar and about 40% of that for the ammonium plants. The mean LR length of the urea and nitrate plants was similar and exceeded that for the ammonium or no-N treatments. The lateral-to-primary root ratio was increased by the three N treatments, and the treatments ranked 0-N < urea = nitrate < ammonium for this metric. Total plant DW was increased by all of the N treatments, and plant DW of the ammonium plants exceeded that of the other treatments. In contrast, the increase in shoot DW was similar among the three +N treatments. The RSR for ammonium plants exceeded that of the other three treatments, and did not differ among the no-N, nitrate, ore urea treatments.
The number of coralloid root clusters of the no-N plants was 3.5-times greater than for the three N treatments (Figure 3e). The total coralloid root DW was minimal for the plants receiving N and was similar among the three N forms (Figure 3f). The percentage of the total root DW that was represented by coralloid roots was similar for the three N forms (Figure 3g). Plants treated with N showed only 14% of the ratio observed in plants without N intake. Finally, the DW of each coralloid root cluster was less for nitrate plants than the other three treatments (Figure 3h).
The DW of the seeds at the end of the study did not differ among the four treatments (f3,16 = 0.263, p = 0.851), indicating all increases in seedling growth that resulted from supplying N were not due to increases in deployment of gametophyte resources. The mean seed DW was 9431 mg.
Effect size (η2) exceeded 0.95 for SRL of the lateral roots, the proportion defined as LR:PR, LR dry weight, LR number, mean LR length, root–shoot ratio, total coralloid DW, and the percent of total root DW that coralloid roots comprise (Appendix B Table A3). These results indicated more than 95% of the variance from the average was explained by the group.

3.3. Mixing Ammonium and Nitrate Influenced Cycas edentata Growth

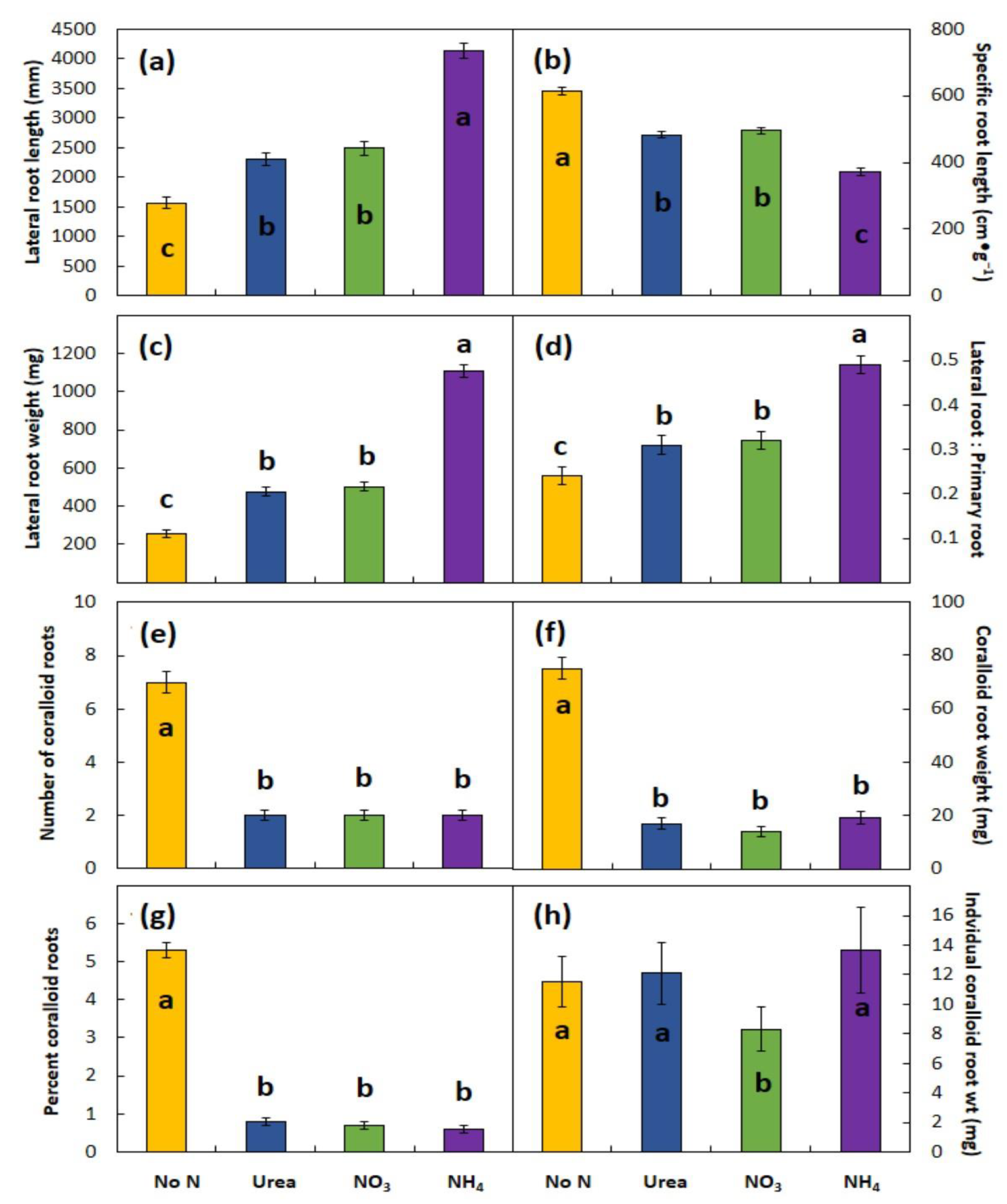
The root responses of C. edentata seedlings to ammonium, nitrate, and a 50:50 mixture of the two N forms generally indicated the plants receiving the 50:50 mixture behaved similarly to the plants receiving ammonium alone (statistics shown in Table A4). For example, the total LR length (Figure 4a) and LR DW (Figure 4c) ranked in the order no-N < nitrate < ammonium = mixture. Similarly, SRL ranked in the order ammonium = mixture < nitrate < no-N (Figure 4b). The LR:PR ratio for the no-N plants was less than half of that for the two treatments receiving ammonium and was intermediate for the plants receiving nitrate (Figure 4d).
The PR length was not influenced by the four treatments (Table 3). In contrast, PR DW of the plants receiving ammonium or the mixture was more than double that of the no-N plants and was intermediate for plants receiving nitrate. The number of LRs supporting the no-N and nitrate plants was 41% of that for the ammonium and 50:50 mixture plants. The mean LR length of the nitrate plants exceeded that of the other treatments. The two N treatments containing ammonium stimulated plant growth to a similar degree. Total plant growth of the plants receiving nitrate was about 83% of that of the plants receiving ammonium. In contrast, there were no differences in shoot DW among the four treatments. The RSR was not different for the ammonium and the 50:50 mixture plants, and not different for the no-N and nitrate plants.
The number of coralloid root clusters for the no-N plants was about triple that of the plants receiving one of the N treatments (Figure 4e). The total coralloid root DW was minimal for the plants receiving N and was 18% of that for the no-N plants (Figure 4f). The percentage of the total root DW that was represented by coralloid roots was less than 1% for the three N forms, and the no-N plants exhibited values that were 9.8 times greater than for the +N plants (Figure 4g). The mean DW of each coralloid root cluster was not influenced by the N treatments (Figure 4h).
The DW of the seeds at the end of the study did not differ among the four treatments (f3,16 = 0.289, p = 0.833), indicating the disparities in seedling growth among the treatments were not due to increases in deployment of gametophyte resources. The mean seed DW was 9054 mg.
Effect size (η2) exceeded 0.95 for SRL of the lateral roots, the proportion defined as LR:PR, total coralloid DW, number of coralloid root clusters, and the percent of total root DW that coralloid roots comprised (Appendix B Table A4). These results indicated more than 95% of the variance from the average was explained by the group.

4. Discussion

The form of N supplied in fertilizers may exert a profound influence on plant growth and root plasticity, but the responses are not canonical. This study is the first experimental look at the N form using a cycad species as a model, and plants of the two Cycas species with N supplied in the nutrient solutions responded similarly among the three experiments. Supplying N greatly increased LR length and DW, increased PR DW but not PR length, and greatly decreased coralloid root growth when compared with the control plants which received no N in the otherwise complete nutrient solution. The influences of N fertilization on shoot traits were less pronounced.

4.1. Forms of Nitrogen

The literature comparing the form of N supplied in fertilizers and plant growth responses is substantial. Although generalities may emerge, such as ammonium nutrition leading to greater root growth for many species [16,17], what is most clear is that a preference for one form over another is species-specific. Species that have evolved in habitats with acidic soils may prefer ammonium, and those in habitats with alkaline soils may prefer nitrate [34]. Some notable crops with clear preferences include rice and sugarcane with a preference for ammonium; and wheat, maize, and citrus with a preference for nitrate [35,36]. In situations where ammonium toxicity occurs, the addition of nitrates may ameliorate the negative outcomes [37]. In this study with two Cycas species, the stimulations to root growth caused by adding N was greatest for ammonium and similar for urea and nitrate. Ammonium nutrition led to shorter and thicker LRs and increased the RSR in every experiment when compared with urea or nitrate nutrition. The mechanisms by which ammonium influences root growth of these two cycad species remain unknown. Potential mechanisms include influences on auxin synthesis, inactivation, or translocation; acidification of the rhizosphere; or inhibition of cell division and elongation in the root meristem. The mechanisms that underly how N form influences cycad root growth and morphology need to be studied to more fully refine fertilizer management. The results herein lend support for previously published claims that ammonium may improve cycad plant growth more than other forms of N [30,31].
The notable similarity among the N forms and among the experiments involved the root traits that included coralloid root growth. The number of coralloid root structures, mean size of each structure, and the total coralloid root DW per plant were similar among all three N forms.
Although most plant traits behaved similarly among the three experiments, the influence of fertilizer treatment on shoot DW and total plant DW was inconsistent. Shoot DW increased with the three +N treatments, but there were no differences among the N forms, and the arithmetic increase was NS for one of the three experiments. The universal increase in PR DW and LR DW for ammonium compared with urea or nitrate generated an increase in total plant DW for the two C. edentata experiments but not for the C. revoluta experiment. The specie-level differences in how RSR changed may have played a part in these dissimilarities. The C. revoluta seedlings exhibited relatively more root growth as compared to stem and leaf growth than the C. edentata seedlings. The resulting species-level difference in RSR may have been a mediating factor in the findings that ammonium increased total plant DW for C. edentata but not for C. revoluta. This difference between the two species may involve the early seedling growth stage selected for this study. The large cycad gametophyte is a considerable source of non-structural resources that are deployed for initial seedling development [38,39]. These resources include mineral nutrients, and the much greater availability of internal resources within the larger C. edentata gametophytes may have modulated the seedlings growth responses to the externally supplied nutrients.
This study was limited to two arborescent Cycas species. Extrapolating these findings to cycads as a group would be ill-advised, considering the differences in how ammonium influenced total plant growth when only two species were compared. Indeed, the manner in which plants exploit available N is strongly influenced by genetics [40], and the 380 described species of cycads are separated into two plant families and 10 genera [41]. The considerable phylogenetic differences among members of this plant group indicate there may be differences in responses to the N form among the species. Differences in the ecotype of origin may also differentiate cycad species more so than taxonomy. In the Philippines alone, Cycas saxatilis K.D. Hill & A. Lindstr. is restricted to limestone outcrops, Cycas wadei Merr. is restricted to impoverished soils, and Cycas zambalensis Madulid & Agoo is restricted to metal-rich ultramafic soils [42,43,44]. These three endemic species from a single country may exhibit disparities in root response to the N form because of their highly contrasting soils of origin.

4.2. Ammonium and Nitrate in Combination

Recent studies have shown that synergistic effects may occur for some species when ammonium and nitrate are supplied at the same time [36]. The two forms of inorganic N provide a complementary effect under these conditions. However, the response variable under consideration may determine which ratio of ammonium to nitrate is considered preferable. For example, Wang et al. [45] reported increased yield of maize and assimilation of N with a 50:50 mixture of ammonium and nitrate, but the quality, defined as starch content, was increased most with 100% ammonium. Uncovering the optimum combination of various forms of N in fertilizers for cycad culture is a field of study that is long overdue.
The sole mixture experiment in this study employed a single mixture of 50:50 for determining the influence of ammonium and nitrate in combination. This initial look at using mixtures of the N form indicated no synergism occurred with the 50:50 mixture, whereby the plants receiving both N forms increased in growth. Moreover, the results were not additive because the response variables did correspond to the mean of nitrate alone and ammonium alone. Instead, the root responses to an ammonium–nitrate mixture at this 1:1 ratio were in line with the 100% ammonium treatment for every response variable. More studies are urgently needed to determine if any synergisms occur for combinations of ammonium, nitrate, and urea in fertilizer formulations in cycad culture.

4.3. Caveats

Nitrification inhibitors are chemicals that inhibit the transformation of ammonium to nitrate, and they are used commercially to prolong the availability of ammonium for crop uptake thereby reducing leaching losses [46]. The controlled hydroponic solutions were unlikely to contain consequential numbers of nitritation and nitratation microorganisms [47], but comparisons of the N form in mineral soil substrates may benefit from nitrification inhibitors. Moreover, the weekly replacement of the solutions minimized the time for considerable oxidation of ammonium to occur. Future cycad fertilizer studies may increase interpretation efficiencies by adding nitrification inhibitors for treatments containing ammonium.
The preference of ammonium for increasing Cycas root growth was unambiguous in this hydroponics study. However, the clear preference of one form of N may be context-dependent and vary depending on environment. For example, the invasive plant Wedelia trilobata (L.) Hitchc. exhibited clear preference for nitrate in some conditions but ammonium in other conditions [48,49]. Similarly, the invasive plant Solidago canadensis L. preferred nitrate in some environments but preferred ammonium in other environments [50]. More studies are clearly needed to determine how influential the N form is on cycad plant growth under varied growing conditions, including in situ versus ex situ conditions or container nursery versus field conditions.
Considerable coralloid root growth occurred for the no-N plants but was minimal for the +N plants in this study. A discussion of the relationship between coralloid root growth and availability of rhizosphere N is warranted. The diversification of plant-associated microbiomes confers adaptive traits on host plants in some environments [51]. Indeed, many plant-associated microbiomes enhance the nutrient acquisition and stress resilience of the host plant [52]. For cycads, the microbiome that is directly associated with coralloid roots is highly biodiverse [53,54,55,56,57,58,59,60,61,62]. The cyanobionts within these coralloid root structures provide newly fixed N to the host plant [21], and the greater access to this newly fixed N afforded to the no-N plants may have been responsible for the muted differences in total plant growth among the four treatments. The stimulation of coralloid root growth in N-deficient plants may compensate by way of symbiotic N fixation to support shoot growth. Fixed N originating from non-cyanobacteria coralloid root endosymbionts may also contribute to cycad N needs [61]. Nutrient-deficient soils may also increase plant reliance on mycorrhizal fungi [63]. The relationship between mycorrhiza and cycad roots is well-established [64,65,66], and cycad fertilizer management research may be improved by combining mycorrhiza and coralloid root symbionts as mutualists which respond to nutrient availability and cycad plant growth. Impoverished soils can stimulate the root endosphere microbiome in other plant species [67], so the phenomenon is not restricted to cycads. More studies which include isotope analysis or acetylene reduction protocols are urgently needed to more fully understand how N-fixation is directly involved in management of cycad nutritional needs. For example, soil N concentration determined the percentage of N that was derived from N-fixation for the cycad Encephalartos natalensis R.A. Dyer & I. Verd. [61]. The direct influence of fertilizer N form on cycad coralloid endosymbiont behaviors has not been addressed to date.
The availability of microorganisms that come into contact with the cycad rhizosphere may play a direct role in coralloid root development and other root responses to N form. The hydroponics containers and solutions in this study were not aseptic, but they were relatively clean compared to biodiverse field soil. Therefore, fertilizer studies carried out in nursery container conditions and field soil conditions which contain greater microorganism diversity are needed to more fully understand how microorganism biodiversity interacts with the available N form during fertilizer applications. Indeed, the combination of cycad root microbiome management and choice of the N form in fertilizer formulations may enable the harnessing of a more efficient nutrient management approach for sustainable cycad conservation.
Under the clean, controlled conditions of this nutrient solution study, the coralloid root structures were restricted to a pair of lateral roots which emerged from germinating Cycas seedlings at the top of the primary root (see Appendix C Figure A1). Horticulturists may need to refrain from damaging these two frail crown roots during transplanting operations of young seedlings as a means of improving early coralloid root initiation and growth.
Plant growth responses to the form of N supplied in fertilizers may be influenced by temperature [68]. The fine root system is among the plant components that respond to climate change [69]. This study was restricted to a single tropical locality with minimal seasonal or diel variation in temperature. More studies from subtropical climates are needed to determine if general cycad growth responses to the N form are influenced by temperature gradients. Additionally, this area of research is ideal for developing an understanding of how climate change may influence changes in cycad plant growth into the future. The role of temperature on retrospective evaluations of cycad biology has also not been adequately developed. The cycad fossil record is traced to the Paleozoic era, with fossils discovered in the Antarctic, Alaska, and Greenland [21]. Yet today the living cycad community is restricted to latitudes relatively close to the equator. The relative role of temperature in this constriction of cycad distribution throughout the antecedent eons is not currently understood.
Plant responses to the N form may also be influenced by rhizosphere pH [70,71]. The Cycas roots in this study were maintained at a slightly acidic pH and the solutions were changed weekly to ensure minimal variation in pH. The influence of acidity and alkalinity on root response to the N form is not understood for cycads, and this research may continue in two directions. First, a range in rhizosphere pH occurs among the locations where cycad enthusiasts grow cycad germplasm. An understanding of the influence of pH on cycad root responses to the form of N in fertilizer formulations is needed to refine efficient nutrient management in each location. Second, the ecological conditions under which a plant species evolved may shed light on whether ammonium or nitrate is preferred [34]. The soil conditions within the native range of many cycad species are homogeneous in regard to pH. As more data accumulate in this field of research, the plant responses may enable correlations of each cycad ecotype with preference for ammonium versus nitrate.
The form of N can influence the mobilization of seed reserves during germination and early seedling growth [3]. I did not record any differences in DW loss for the seeds in this study despite differences in seedling growth, indicating the seedlings did not exhibit differences in exploitation of gametophyte resources. However, this study was relatively short, and longer studies are warranted including cycad species with a range in seed size to determine if the N form may interact with the growing seedling’s ability to acquire stored gametophyte resources to support growth.
Bulk density and mechanical impedance of the rooting substrate may exert a strong influence on plant root growth [72]. The Cycas roots in this hydroponics study were floating in nutrient solutions which offered minimal physical impedance to root growth and development. The manner in which the form of N supplied to cycad plants influences root development may differ in traditional media used in container culture or in mineral field soils. More studies are needed to determine if root growth under ammonium fertilization is greater than under urea or nitrate fertilization for nursery and field culture conditions.

4.4. Applied Horticulture Studies Desirable

Continuation of this line of research could be achieved outside of the academic community. Specialty crops such as cycads generally have specialist commercial growers who have developed a working knowledge of horticultural needs, and this practical knowledge underpins their commercial success. Botanic gardens and private cycad collectors could readily advance this research without the support of an academic partner. First, these growers are going to buy fertilizer anyway, so adding trials comparing N forms can occur without asking them to add a new input that requires expenditures. Adding these trials can be performed simply by modifying how the readily available fertilizer is supplied. Second, these successful growers are trusted by other growers because they are not from university ivory towers that many growers place members of academia. Third, if there are enough replications, the results can be believed even if the experimental units are not placed in a perfectly arranged experimental design and subjected to statistical tests then published in peer-reviewed journals. Fourth, cycad growth can be quantified with confidence using non-destructive response variables. The most reliable response variable for quantifying plant growth is the increase in DW of the tissues [73]. This plant trait reflects the cumulative conversion of abiotic resources into biomass, and combines collective additions of carbon from photosynthesis, construction respiration while developing new plant tissues, maintenance respiration losses, and tissue loss due to senescence of aging plant modules. Growers cannot be expected to sacrifice their stock to obtain research answers such as tissue DW. But the growth of a cycad plant in the seedling and juvenile stages can be accurately quantified by characteristics such as stem diameter, number of leaves per plant, and leaf size expressed by the combined length of the petiole and rachis. A fertilizer trial with data restricted to these types of non-destructive response variables would provide reliable interpretations.
Scientists in academia cannot expect commercial growers to access chemicals used for academic research, such as the chemicals needed to create Hoagland’s solution. But the traditional list of fertilizers available at most agrochemical outlets includes all of the ingredients needed to conduct a study comparing the three sources of N. Urea is available in all supply sources as the least expensive N fertilizer. Nitrate-only sources of N are procured without difficulty as NaNO3 or Ca(NO3)2. Ammonium-only sources of N include commercial fertilizers such as (NH4)2SO4 or NH4Cl. Supplying other macronutrients without complicating the N treatments is also easily accomplished with commercially available fertilizer formulations. For example, calcium and phosphorus can be supplied with triple super phosphate (Ca(H2PO4)2·H2O), potassium can be supplied with muriate of potash (KCl), and magnesium and sulfur are often supplied as Epsom Salts (MgSO4). Finally, various formulations of micronutrients are widely available.

5. Conclusions

The research devoted to cycads has been highly restrictive, with a historical focus on phylogeny and taxonomy. This focus on cycad classification has not allowed for sufficient research on more practical areas of biology such as horticulture. The management of fertilizer in horticultural settings exemplifies these phenomena. In order to address this, my comparison of ammonium, nitrate, and urea as sources of N in fertilizers has shown, for the first time, that ammonium increased root growth and branching to a greater degree than the other two N forms for two Cycas species. The root growth stimulation in response to ammonium increased RSR in all three studies and increased total plant DW for C. edentata but not for C. revoluta. The shoot responses to N fertilization were less pronounced than the root responses, and N form did not influence these growth responses. The subject of this study illustrates the long-communicated negative outcomes that have resulted from the paucity of applied research that directly improves cycad horticultural decision-making. More studies comparing N formulations with representatives of all 10 cycad genera are essential for closing knowledge gaps and improving cycad conservation.

Funding

This research received no external funding.

Data Availability Statement

The original contributions presented in this study are included in the article. Further inquiries can be directed to the corresponding author.

Acknowledgments

Gerard Sigua is thanked for logistical support for maintaining the cycad germplasm garden in Angeles City.

Conflicts of Interest

Author Thomas Marler was a volunteer for the non-government organization Philippine Native Plants Conservation Society and the conservation organization International Union for Conservation of Nature.

Abbreviations

The following abbreviations are used in this manuscript:
CRCoralloid root
DWDry weight
HSDTukey’s Honestly Significant Difference test
LRLateral root
RSRRoot-to-shoot ratio
PRPrimary root

Appendix A

Table A1. Summary of experimental conditions.
Table A1. Summary of experimental conditions.
Experimental Factor
LayoutCompletely Randomized Design
Urea formCO(NH2)2
Nitrate formNaNO3
Ammonium form(NH4)2SO4
Nitrogen concentration 200 mg·L−1
Species usedCycas edentata, Cycas revoluta
Duration of experiments Approximately 4 months

Appendix B

Details of statistics for one Cycas revoluta and two Cycas edentata studies.
Table A2. Statistics traits for Figure 2 and Table 1 data. Effect size (η2) is the proportion of the variance from the average explained by the group.
Table A2. Statistics traits for Figure 2 and Table 1 data. Effect size (η2) is the proportion of the variance from the average explained by the group.
Plant Traitf3,16η2p
LR length 40.9830.8849<0.001
Specific root length299.0490.9825<0.001
LR DW58.7530.9168<0.001
Coralloid DW14.441 10.95720.003
PR length0.5190.11230.675
PR DW11.5740.6846<0.001
LR number54.4660.9137<0.001
Mean LR length26.7830.8339<0.001
LR:PR449.1040.9883<0.001
Plant DW8.4250.61240.010
Shoot DW5.9880.52890.006
Root–shoot7.0650.56980.003
Coralloid number79.0670.9368<0.001
% Coralloid412.6140.9872<0.001
Individual coralloid DW2.2590.29750.121
1 Kruskal–Wallis H statistic.
Table A3. Statistics traits for Figure 3 and Table 2 data. Effect size (η2) is the proportion of the variance from the average explained by the group.
Table A3. Statistics traits for Figure 3 and Table 2 data. Effect size (η2) is the proportion of the variance from the average explained by the group.
Plant Traitf3,16η2p
LR length 75.3780.9339<0.001
Specific root length2122.0890.9975<0.001
LR DW159.3090.9676<0.001
Coralloid DW16.185 10.96920.001
PR length1.0430.16360.400
PR DW11.5740.8840<0.001
LR number40.6330.9568<0.001
Mean LR length1333.1640.9960<0.001
LR:PR5284.7260.9989<0.001
Plant DW20.6470.7947<0.001
Shoot DW9.8800.64940.001
Root–shoot6717.9190.9992<0.001
Coralloid number76.1670.9346<0.001
% Coralloid4983.2780.9989<0.001
Individual coralloid DW1.1690.17980.352
1 Kruskal–Wallis H statistic.
Table A4. Statistics traits for Figure 4 and Table 3 data. Effect size (η2) is the proportion of the variance from the average explained by the group.
Table A4. Statistics traits for Figure 4 and Table 3 data. Effect size (η2) is the proportion of the variance from the average explained by the group.
Plant Traitf3,16η2p
LR length 26.3230.8315<0.001
Specific root length222.4780.9766<0.001
LR DW46.7690.8976<0.001
Coralloid DW13.910 10.95370.003
PR length1.1360.17560.364
PR DW15.5060.7441<0.001
LR number44.2890.8925<0.001
Mean LR length146.8620.8511<0.001
LR:PR5284.7260.9650<0.001
Plant DW6.9020.56410.003
Shoot DW1.1110.17240.374
Root–shoot23.4770.8149<0.001
Coralloid number102.1780.9504<0.001
% Coralloid1885.0030.9972<0.001
Individual coralloid DW0.4610.07960.714
1 Kruskal–Wallis H statistic.

Appendix C

The Emergence of Two Crown Roots at the Top of the Cycas Primary Root Eventually Becomes the Location of Coralloid Root Clusters.
Figure A1. Crown roots that emerge at opposite sides of the Cycas primary root are critical for early coralloid root formation. (a) Two-month-old Cycas seedling showing exposed gametophyte surface under the sclerotesta, green cotyledons, and two opposing lateral roots that emerged at the top of the initial primary root. (b) Fourteen-month-old Cycas seedling exhibiting considerable coralloid root structure formation on the two crown roots.
Figure A1. Crown roots that emerge at opposite sides of the Cycas primary root are critical for early coralloid root formation. (a) Two-month-old Cycas seedling showing exposed gametophyte surface under the sclerotesta, green cotyledons, and two opposing lateral roots that emerged at the top of the initial primary root. (b) Fourteen-month-old Cycas seedling exhibiting considerable coralloid root structure formation on the two crown roots.
Agronomy 15 02280 g0a1

References

  1. Havlin, J.; Tisdale, S.; Nelson, W.; Beaton, J. Soil Fertility and Fertilizers: An Introduction to Nutrient Management; Prentice Hall: Upper Saddle River, NJ, USA, 2004. [Google Scholar]
  2. Marschner, H. Marschner’s Mineral Nutrition of Higher Plants, 3rd ed.; Academic Press: Amsterdam, The Netherlands, 2011. [Google Scholar]
  3. Andrews, M.; Raven, J.A.; Lea, P.J. Do plants need nitrate? The mechanisms by which nitrogen form affects plants. Ann. Appl. Biol. 2013, 163, 174–199. [Google Scholar] [CrossRef]
  4. International Fertilizer Association. Urea Production Statistics. Available online: https://www.ifastat.org (accessed on 15 August 2025).
  5. Lynch, J.P. Steep, cheap and deep: An ideotype to optimize water and N acquisition by maize root systems. Ann. Bot. 2013, 112, 347–357. [Google Scholar] [CrossRef]
  6. Omonode, R.A.; Halvorson, A.D.; Bernard, G.; Vyn, T.J. Achieving lower nitrogen balance and higher nitrogen recovery efficiency reduces nitrous oxide emissions in North America’s maize cropping systems. Front. Plant Sci. 2017, 8, 1080. [Google Scholar] [CrossRef] [PubMed]
  7. Elumalai, P.; Gao, X.; Parthipan, P.; Luo, J.; Cui, J. Agrochemical pollution: A serious threat to environmental health. Curr. Opin. Environ. Sci. Health 2025, 43, 100597. [Google Scholar] [CrossRef]
  8. Faraj, R.A.S.; Hashim, R.A.; Obead, K.W. Air pollution from fertilizer nitrogen. GSC Advanced Res. Rev. 2025, 24, 112–118. [Google Scholar] [CrossRef]
  9. Houlton, B.Z.; Almaraz, M.; Aneja, V.; Austin, A.T.; Bai, E.; Cassman, K.G.; Compton, J.E.; Davidson, E.A.; Erisman, J.W.; Galloway, J.N.; et al. A world of cobenefits: Solving the global nitrogen challenge. Earth’s Future 2019, 7, 865–872. [Google Scholar] [CrossRef]
  10. FAO. Inorganic Fertilizers 2000–2021. FAOSTAT Analytical Brief Series No. 68. Rome. 2023. Available online: https://openknowledge.fao.org/items/4c7821d8-2415-48f4-b888-0c8d6455d576 (accessed on 22 September 2025).
  11. Mahmud, K.; Panday, D.; Mergoum, A.; Missaoui, A. Nitrogen losses and potential mitigation strategies for a sustainable agroecosystem. Sustainability 2021, 13, 2400. [Google Scholar] [CrossRef]
  12. Udvardi, M.; Below, F.E.; Castellano, M.J.; Eagle, A.J.; Giller, K.E.; Ladha, J.K.; Liu, X.; Maaz, T.M.; Nova-Franco, B.; Raghuram, N.; et al. A research road map for responsible use of agricultural nitrogen. Front. Sustain. Food Syst. 2021, 5, 660155. [Google Scholar] [CrossRef]
  13. Pélissier, P.-M.; Motte, H.; Beeckman, T. Lateral root formation and nutrients: Nitrogen in the spotlight. Plant Physiol. 2021, 187, 1104–1116. [Google Scholar] [CrossRef]
  14. Zhang, W.; Fang, D.; Dong, K.; Hu, F.; Ye, Z.; Cao, J. Insights into the environmental factors shaping lateral root development. Physiol. Plantar. 2023, 175, e13878. [Google Scholar] [CrossRef] [PubMed]
  15. Walch-Liu, P.; Ivanov, I.I.; Filleur, S.; Gan, Y.; Remans, T.; Forde, B.G. Nitrogen regulation of root branching. Ann. Bot. 2006, 97, 875–881. [Google Scholar] [CrossRef]
  16. Bloom, A.J.; Jackson, L.E.; Smart, D.R. Root growth as a function of ammonium and nitrate in the root zone. Plant Cell Environ. 1993, 16, 199–206. [Google Scholar] [CrossRef]
  17. Bloom, A.J.; Meyerhoff, P.A.; Taylor, A.R.; Rost, T.L. Root development and absorption of ammonium and nitrate from the rhizosphere. J. Plant Growth Regul. 2002, 21, 416–431. [Google Scholar] [CrossRef]
  18. Yan, X.-L.; Ma, X. Responses of root morphology and seedling growth in three tree species to heterogeneous supplies of ammonium and nitrate. For. Ecol. Manag. 2021, 479, 118538. [Google Scholar] [CrossRef]
  19. Hachiya, T.; Sakakibara, H. Interactions between nitrate and ammonium in their uptake, allocation, assimilation, and signaling in plants. J. Exp. Bot. 2017, 68, 2501–2512. [Google Scholar] [CrossRef] [PubMed]
  20. Bai, T.; Wang, P.; Ye, C.; Hu, S. Form of nitrogen input dominates N effects on root growth and soil aggregation: A meta-analysis. Soil Biol. Biochem. 2021, 157, 108251. [Google Scholar] [CrossRef]
  21. Norstog, K.J.; Nicholls, T.J. The Biology of the Cycads; Cornell University Press: Ithaca, NY, USA, 1997. [Google Scholar]
  22. Jones, D.L. Cycads of the World; The Smithsonian Institution Press: Washington, DC, USA, 1993. [Google Scholar]
  23. Whitelock, L.M. The Cycads; Timber Press: Portland, OR, USA, 2002. [Google Scholar]
  24. Brummitt, N.A.; Bachman, S.P.; Griffiths-Lee, J.; Lutz, M.; Moat, J.F.; Farjon, A.; Donaldson, J.S.; Hilton-Taylor, C.; Meagher, T.R.; Albuquerque, S.; et al. Green plants in the Red: A baseline global assessment for the IUCN sampled Red List Index for plants. PLoS ONE 2015, 10, e0135152. [Google Scholar] [CrossRef]
  25. Fragnière, Y.; Bétrisey, S.; Cardinaux, L.; Stoffel, M.; Kozlowski, G. Fighting their last stand? A global analysis of the distribution and conservation status of gymnosperms. J. Biogeogr. 2015, 42, 809–820. [Google Scholar] [CrossRef]
  26. Butchart, S.H.M.; Akçakaya, H.R.; Berryman, A.J.; Brooks, T.M.; Burfield, I.J.; Chanson, J.; Dias, M.P.; Donaldson, J.S.; Hermes, C.; Hilton-Taylor, C.; et al. Measuring trends in extinction risk: A review of two decades of development and application of the Red List Index. Phil. Trans. R. Soc. B 2025, 380, 20230206. [Google Scholar] [CrossRef]
  27. Donaldson, J.S. (Ed.) Cycads—Status Survey and Conservation Action Plan; IUCN/SSC Cycad Specialist Group: Cambridge, UK, 2003. [Google Scholar]
  28. Tang, W. Handbook of Cycad Cultivation and Landscaping; Self-Published: Miami, FL, USA, 1995. [Google Scholar]
  29. Wrinkle, G. Cycads: Their Cultivation and Propagation; Golden Boy Press: Oakland, NJ, USA, 1995. [Google Scholar]
  30. Dehgan, B.; Almira, F.C.; Dudeck, A.E.; Schutzman, B. Effects of varying shade and fertilizer on the growth of Zamia floridana A. DC. Bot. Rev. 2004, 70, 79–85. [Google Scholar] [CrossRef]
  31. Dehgan, B. Propagation and growth of cycads—A conservation strategy. Proc. Fla. State Hortic. Soc. 1983, 96, 137–139. [Google Scholar]
  32. Hoagland, D.R.; Arnon, D.I. The water culture method for growing plants without soil. Calif Agric. Exp. Stn. Circ. 1938, 347, 39. [Google Scholar]
  33. R Core Team. R: A Language and Environment for Statistical Computing. R Foundation for Statistical Computing. Available online: https://www.R-project.org (accessed on 23 September 2025).
  34. Li, S.X.; Wang, Z.H.; Stewart, B.A. Responses of crop plants to ammonium and nitrate N. Adv. Agron. 2013, 118, 205–397. [Google Scholar] [CrossRef]
  35. Boaretto, R.M.; Hippler, F.W.; Dovis, V.L.; Bernardi, L.G.; Bortoloti, G.A.; Quaggio, J.A.; Mattos, D., Jr. Nitrogen fertilizer use by citrus trees is affected by varying nitrate and ammonium ratios. Rev. Bras. Frutic. 2024, 46, e-218. [Google Scholar] [CrossRef]
  36. Chen, J.; Li, J.; Li, W.; Li, P.; Zhu, R.; Zhong, Y.; Zhang, W.; Li, T. The optimal ammonium-nitrate ratio for various crops: A meta-analysis. Field Crops Res. 2024, 307, 109240. [Google Scholar] [CrossRef]
  37. Rivero-Marcos, M.; Calleja-Satrustegui, A.; Ariz, I. The counteracting role of nitrate during ammonium toxicity in plants. Horticultural Plant J. 2025; in press. [Google Scholar] [CrossRef]
  38. Brenner, E.D.; Stevenson, D.W.; Twigg, R.W. Cycads: Evolutionary innovations and the role of plant-derived neurotoxins. Trends Plant Sci. 2003, 8, 446–452. [Google Scholar] [CrossRef]
  39. Marler, T.E. Illuminating long-lived Cycas cotyledons reduces sink demands on megagametophytes during initial seedling growth. HortScience 2025, 60, 133–139. [Google Scholar] [CrossRef]
  40. Islam, S.; Zhang, J.; Zhao, Y.; She, M.; Ma, W. Genetic regulation of the traits contributing to wheat nitrogen use efficiency. Plant Sci. 2021, 303, 110759. [Google Scholar] [CrossRef]
  41. Calonje, M.; Stevenson, D.W.; Osborne, R. The World List of Cycads. 2013–2025. Available online: https://www.cycadlist.org (accessed on 15 August 2025).
  42. Lindstrom, A.J.; Hill, K.D.; Stanberg, L.C. The genus Cycas (Cycadaceae) in the Philippines. Telopea 2008, 12, 119–145. [Google Scholar] [CrossRef]
  43. Marler, T.E.; Ferreras, U.F. Current status, threats and conservation needs of the endemic Cycas wadei Merrill. J. Biodivers. Endanger. Species 2017, 5, 3. [Google Scholar] [CrossRef]
  44. Clemente, R. Ethnobotany of Conifers in the Philippines. In Conifers—From Seed to Sustainable Stands; Fonseca, T.F., Gonçalves, A.C., Eds.; IntechOpen Limited: London, UK, 2024. [Google Scholar] [CrossRef]
  45. Wang, P.; Wang, Z.; Pan, Q.; Sun, X.; Chen, H.; Chen, F.; Yuan, L.; Mi, G. Increased biomass accumulation in maize grown in mixed nitrogen supply is mediated by auxin synthesis. J. Exp. Bot. 2019, 70, 1859–1873. [Google Scholar] [CrossRef]
  46. Linquist, B.A.; Liu, L.; van Kessel, C.; van Groenigen, K.J. Enhanced efficiency nitrogen fertilizers for rice systems: Meta-analysis of yield and nitrogen uptake. Field Crops Res. 2013, 154, 246–254. [Google Scholar] [CrossRef]
  47. Amoo, A.E.; Babalola, O.O. Ammonia-oxidizing microorganisms: Key players in the promotion of plant growth. J. Soil Sci. Plant Nutr. 2017, 17, 935–947. [Google Scholar] [CrossRef]
  48. Chen, J.Y.; Gu, Y.R.; Tian, X.S.; Li, W.H. Responses of the invasive plant Wedelia trilobata to NH4+-N and NO3-N. J. South China Norm. Univ. (Nat. Sci. Ed.) 2015, 47, 84–90. [Google Scholar]
  49. Chen, W.B.; Chen, B.M. Considering the preferences for nitrogen forms by invasive plants: A case study from a hydroponic culture experiment. Weed Res. 2019, 59, 49–57. [Google Scholar] [CrossRef]
  50. Guan, M.; Pan, X.-C.; Sun, J.-K.; Chen, J.-X.; Kong, D.-L.; Feng, Y.-L. Nitrogen acquisition strategy and its effects on invasiveness of a subtropical invasive plant. Front. Plant Sci. 2023, 14, 1243849. [Google Scholar] [CrossRef] [PubMed]
  51. Trivedi, P.; Leach, J.E.; Tringe, S.G.; Sa, T.; Singh, B.K. Plant–microbiome interactions: From community assembly to plant health. Nat. Rev. Microbiol. 2020, 18, 607–621. [Google Scholar] [CrossRef] [PubMed]
  52. Fitzpatrick, C.R.; Salas-González, I.; Conway, J.M.; Finkel, O.M.; Gilbert, S.; Russ, D.; Teixeira, P.J.; Dangl, J.L. The plant microbiome: From ecology to reductionism and beyond. Annu. Rev. Microbiol. 2020, 74, 81–100. [Google Scholar] [CrossRef]
  53. Zheng, W.; Song, T.; Bao, X.; Bergman, B.; Rasmussen, U. High cyanobacterial diversity in coralloid roots of cycads revealed by PCR fingerprinting. FEMS Microbiol. Ecol. 2002, 40, 215–222. [Google Scholar] [CrossRef]
  54. Gehringer, M.M.; Pengelly, J.J.L.; Cuddy, W.S.; Fieker, C.; Forster, P.I.; Neilan, B.A. Host selection of symbiotic cyanobacteria in 31 species of the Australian cycad genus: Macrozamia (Zamiaceae). MPMI 2010, 23, 811–822. [Google Scholar] [CrossRef]
  55. Yamada, S.; Ohkubo, S.; Miyashita, H.; Setoguchi, H. Genetic diversity of symbiotic cyanobacteria in Cycas revoluta (Cycadaceae). FEMS Microbiol. Ecol. 2012, 81, 696–706. [Google Scholar] [CrossRef] [PubMed]
  56. Chang, A.C.G.; Chen, T.; Li, N.; Duan, J. Perspectives on endosymbiosis in coralloid roots: Association of cycads and cyanobacteria. Front. Microbiol. 2019, 10, 1888. [Google Scholar] [CrossRef] [PubMed]
  57. Suárez-Moo, P.dJ.; Vovides, A.P.; Griffith, M.P.; Barona-Gómez, F.; Cibrián-Jaramillo, A. Unlocking a high bacterial diversity in the coralloid root microbiome from the cycad genus Dioon. PLoS ONE 2019, 14, e0211271. [Google Scholar] [CrossRef]
  58. Pecundo, M.H.; Chen, T.; dela Cruz, T.E.E.; Griffith, M.P.; Hu, Z.; Chen, H.; Li, N. Discovery of cyanobacteria associated with cycads and description of three novel species in Desmonostoc (Nostocaceae). Diversity 2023, 15, 1132. [Google Scholar] [CrossRef]
  59. Wang, Z.; Liu, J.; Xu, H.; Liu, J.; Zhao, Z.; Gong, X. Core microbiome and microbial community structure in coralloid roots of Cycas in ex situ collection of Kunming Botanical Garden in China. Microorganisms 2023, 11, 2144. [Google Scholar] [CrossRef]
  60. Bustos-Diaz, E.D.; Cruz-Perez, A.; Garfias-Gallegos, D.; D’Agostino, P.M.; Gehringer, M.M.; Cibrian-Jaramillo, A.; Barona-Gomez, F. Phylometagenomics of cycad coralloid roots reveals shared symbiotic signals. JF Microb. Genom. 2024, 10, 001207. [Google Scholar] [CrossRef] [PubMed]
  61. Ndlovu, S.; Motsomane, N.; Suinyuy, T.; Magadlela, A. Encephalartos natalensis association with non-cyanobacterial species increased reliance on atmospheric nitrogen in acidic and nutrient-deficient savanna woodland ecosystem soils. Trans. R. Soc. S. Afr. 2024, 79, 203–210. [Google Scholar] [CrossRef]
  62. Salzman, S.; Bustos-Díaz, E.D.; Whitaker, M.R.L.; Sierra, A.M.; Cibrián-Jaramillo, A.; Barona-Gómez, F.; Villarreal Aguilar, J.C. Chemical ecology of symbioses in cycads, an ancient plant lineage. New Phytol. 2025, 246, 1494–1504. [Google Scholar] [CrossRef]
  63. Inoue, K.; Tsuchida, N.; Saijo, Y. Modulation of plant immunity and biotic interactions under phosphate deficiency. J. Plant Res. 2024, 137, 343–357. [Google Scholar] [CrossRef]
  64. Muthukumar, T.; Udaiyan, K. Arbuscular mycorrhizas in cycads of southern India. Mycorrhiza 2002, 12, 213–217. [Google Scholar] [CrossRef]
  65. Fisher, J.B.; Vovides, A.P. Mycorrhizae are present in cycad roots. Botanical Rev. 2004, 70, 16–23. [Google Scholar] [CrossRef]
  66. Fisher, J.B.; Jayachandran, K. Arbuscular mycorrhizal fungi promote growth and phosphorus uptake in Zamia, a native Florida cycad. Fla. Sci. 2008, 71, 265–272. Available online: https://www.jstor.org/stable/24321405 (accessed on 24 September 2025).
  67. Adachi, A.; Dominguez, J.J.; Utami, Y.D.; Fuji, M.; Kirita, S.; Imai, S.; Murakami, T.; Hongoh, Y.; Shinjo, R.; Kamiya, T.; et al. Field dynamics of the root endosphere microbiome assembly in paddy rice cultivated under no fertilizer input. Plant Cell Physiol. 2025, 66, 1086–1101. [Google Scholar] [CrossRef] [PubMed]
  68. Wang, Z.H.; Miao, Y.F.; Li, S.X. Wheat responses to ammonium and nitrate N applied at different sown and input times. Field Crops Res. 2016, 199, 10–20. [Google Scholar] [CrossRef]
  69. Kwatcho Kengdo, S.; McCormack, M.L.; Ostonen, I.; Torn, M.S. Fine-root dynamics in deeper soils: A critical but overlooked component of ecosystem responses to climate warming. New Phytol. 2025, 247, 2507–2513. [Google Scholar] [CrossRef]
  70. Weligama, C.; Tang, C.; Sale, P.W.G.; Conyers, M.K.; Liu, D.L. Application of nitrogen in NO3 form increases rhizosphere alkalisation in the subsurface soil layers in an acid soil. Plant Soil 2010, 333, 403–416. [Google Scholar] [CrossRef]
  71. Wang, J.L.; Zhao, X.Q.; Zhang, H.Q.; Shen, R.F. The preference of maize plants for nitrate improves fertilizer N recovery efficiency in an acid soil partially because of alleviated Al toxicity. J. Soils Sediment. 2021, 21, 3019–3033. [Google Scholar] [CrossRef]
  72. Mehra, P.; Banda, J.; Ogorek, L.L.; Fusi, R.; Castrillo, G.; Colombi, T.; Pandey, B.K.; Sturrock, C.J.; Wells, D.M.; Bennett, M.J. Root growth and development in “real life”: Advances and challenges in studying root–environment interactions. Annual Rev. Plant Biol. 2025, 76, 467–492. [Google Scholar] [CrossRef]
  73. McMahon, M. Plant Science: Growth, Development and Utilization of Cultivated Plants, 6th ed.; Pearson: London, UK, 2019. [Google Scholar]
Figure 1. Cycas seedlings used for hydroponic study and cultured under ammonium, nitrate, or urea nutrient solutions. (a) Intact harvested Cycas edentata seedling grown with nitrate, before separating the tissues into various categories. (b) Graphical depiction of the protocol for counting the number of lateral root branches. S = stem, PR = primary root. (c) Separation of Cycas revoluta seedlings into six tissue categories after growing with control nutrient solution containing no nitrogen.
Figure 1. Cycas seedlings used for hydroponic study and cultured under ammonium, nitrate, or urea nutrient solutions. (a) Intact harvested Cycas edentata seedling grown with nitrate, before separating the tissues into various categories. (b) Graphical depiction of the protocol for counting the number of lateral root branches. S = stem, PR = primary root. (c) Separation of Cycas revoluta seedlings into six tissue categories after growing with control nutrient solution containing no nitrogen.
Agronomy 15 02280 g001
Figure 2. Root growth traits of Cycas revoluta seedlings grown in hydroponic culture and exposed to urea, nitrate (NO3), or ammonium (NH4). (a) Total lateral root length; (b) Specific root length; (c) Total lateral root dry weight; (d) Lateral root DW: primary root DW ratio; (e) Number of coralloid root clusters; (f) Total coralloid root dry weight. (g) Percent of total root dry weight represented by coralloid roots; (h) Dry weight of individual coralloid root clusters. Means ± SE, n = 5. Statistics shown in Appendix B Table A2. Bars with same letters are not different according to Tukey’s HSD.
Figure 2. Root growth traits of Cycas revoluta seedlings grown in hydroponic culture and exposed to urea, nitrate (NO3), or ammonium (NH4). (a) Total lateral root length; (b) Specific root length; (c) Total lateral root dry weight; (d) Lateral root DW: primary root DW ratio; (e) Number of coralloid root clusters; (f) Total coralloid root dry weight. (g) Percent of total root dry weight represented by coralloid roots; (h) Dry weight of individual coralloid root clusters. Means ± SE, n = 5. Statistics shown in Appendix B Table A2. Bars with same letters are not different according to Tukey’s HSD.
Agronomy 15 02280 g002
Figure 3. Root growth traits of Cycas edentata seedlings grown in hydroponic culture and exposed to urea, nitrate (NO3), or ammonium (NH4). (a) Total lateral root length; (b) Specific root length; (c) Total lateral root dry weight; (d) Lateral root DW: primary root DW ratio; (e) Number of coralloid root clusters; (f) Total coralloid root dry weight. (g) Percent of total root dry weight represented by coralloid roots; (h) Dry weight of individual coralloid root clusters. Means ± SE, n = 5. Statistics shown in Appendix B Table A3. Bars with same letters are not different according to Tukey’s HSD.
Figure 3. Root growth traits of Cycas edentata seedlings grown in hydroponic culture and exposed to urea, nitrate (NO3), or ammonium (NH4). (a) Total lateral root length; (b) Specific root length; (c) Total lateral root dry weight; (d) Lateral root DW: primary root DW ratio; (e) Number of coralloid root clusters; (f) Total coralloid root dry weight. (g) Percent of total root dry weight represented by coralloid roots; (h) Dry weight of individual coralloid root clusters. Means ± SE, n = 5. Statistics shown in Appendix B Table A3. Bars with same letters are not different according to Tukey’s HSD.
Agronomy 15 02280 g003
Figure 4. Root growth traits of Cycas edentata seedlings grown in hydroponic culture and exposed to ammonium, nitrate, or a 50:50 mixture. (a) Total lateral root length; (b) Specific root length; (c) Total lateral root dry weight; (d) Lateral root DW: primary root DW ratio; (e) Number of coralloid root clusters; (f) Total coralloid root dry weight. (g) Percent of total root dry weight represented by coralloid roots; (h) Dry weight of individual coralloid root clusters. Means ± SE, n = 5. Statistics shown in Appendix B Table A4. Bars with same letters are not different according to Tukey’s HSD.
Figure 4. Root growth traits of Cycas edentata seedlings grown in hydroponic culture and exposed to ammonium, nitrate, or a 50:50 mixture. (a) Total lateral root length; (b) Specific root length; (c) Total lateral root dry weight; (d) Lateral root DW: primary root DW ratio; (e) Number of coralloid root clusters; (f) Total coralloid root dry weight. (g) Percent of total root dry weight represented by coralloid roots; (h) Dry weight of individual coralloid root clusters. Means ± SE, n = 5. Statistics shown in Appendix B Table A4. Bars with same letters are not different according to Tukey’s HSD.
Agronomy 15 02280 g004
Table 1. Plant growth traits of Cycas revoluta seedlings grown in hydroponics culture. Plants were supplied with no nitrogen, or nitrogen in the form of urea, nitrate, or ammonium. Statistics shown in Appendix B Table A2. Means ± SE, n = 5.
Table 1. Plant growth traits of Cycas revoluta seedlings grown in hydroponics culture. Plants were supplied with no nitrogen, or nitrogen in the form of urea, nitrate, or ammonium. Statistics shown in Appendix B Table A2. Means ± SE, n = 5.
Plant Trait0 NUreaNO3NH4
PR length (mm) 1349 ± 20 a 2375 ± 20 a349 ± 20 a377 ± 25 a
PR DW (mg)966 ± 42 c1342 ± 68 b1359 ± 62 b1522 ± 62 a
LR number 332 ± 2 c63 ± 4 b59 ± 4 b103 ± 6 a
Mean LR length (mm)6.9 ± 0.3 b9.0 ± 0.4 a9.4 ± 0.5 a6.5 ± 0.3 b
Plant DW (mg) 42310 ± 119 b3196 ± 176 a3203 ± 178 a3390 ± 189 a
Shoot DW (mg) 51235 ± 71 b1691 ± 101 a1689 ± 88 a1637 ± 99 a
Root–shoot0.86 ± 0.03 b0.84 ± 0.05 b0.87 ± 0.05 b1.00 ± 0.04 a
1 PR = primary root. 2 Means with same letter within a row are not different. 3 LR = lateral root. 4 Sum of dry weights of roots, stems, and leaves. Does not include seed DW. 5 Stem DW + Leaf DW.
Table 2. Plant growth traits of Cycas edentata seedlings grown in hydroponics culture. Plants were supplied with no nitrogen, or nitrogen in the form of urea, nitrate, or ammonium. Statistics shown in Appendix B Table A3. Means ± SE, n = 5.
Table 2. Plant growth traits of Cycas edentata seedlings grown in hydroponics culture. Plants were supplied with no nitrogen, or nitrogen in the form of urea, nitrate, or ammonium. Statistics shown in Appendix B Table A3. Means ± SE, n = 5.
Plant Trait0 NUreaNO3NH4
PR length (mm) 1263 ± 14 a 2277 ± 14 a296 ± 14 a278 ± 13 a
PR DW (mg)1080 ± 57 c1539 ± 69 b1576 ± 71 b2248 ± 92 a
LR number 3108 ± 6 bc98 ± 5 b113 ± 6 b267 ± 10 a
Mean LR length (mm)14 ± 1 b24 ± 1 a22 ± 1 a15 ± 1 b
Plant DW (mg) 44195 ± 232 c5790 ± 263 b5976 ± 272 b7121 ± 312 a
Shoot DW (mg) 52785 ± 139 b3757 ± 171 a3884 ± 178 a3744 ± 168 a
Root–shoot0.45 ± 0.01 b0.44 ± 0.02 b0.44 ± 0.01 b0.68 ± 0.02 a
1 PR = primary root. 2 Means with same letter within a row are not different. 3 LR = lateral root. 4 Sum of dry weights of roots, stems, and leaves. Does not include seed DW. 5 Stem DW + Leaf DW.
Table 3. Plant growth traits of Cycas edentata seedlings grown in hydroponics culture. Plants were supplied with no nitrogen, or nitrogen in the form of nitrate, ammonium, or a 50:50 nitrate–ammonium mixture. Statistics shown in Appendix B Table A4. Means ± SE, n = 5.
Table 3. Plant growth traits of Cycas edentata seedlings grown in hydroponics culture. Plants were supplied with no nitrogen, or nitrogen in the form of nitrate, ammonium, or a 50:50 nitrate–ammonium mixture. Statistics shown in Appendix B Table A4. Means ± SE, n = 5.
Plant Trait0 NNO3NH4NO3:NH4
PR length (mm) 1262 ± 20 a 2312 ± 24 a285 ± 20 a308 ± 23 a
PR DW (mg)1089 ± 93 c1624 ± 125 b2253 ± 171 a2261 ± 167 a
LR number 3108 ± 11 bc101 ± 12 b261 ± 18 a254 ± 15 a
Mean LR length (mm)15 ± 1 b26 ± 1 a16 ± 1 b17 ± 1 b
Plant DW (mg) 44691 ± 300 c6052 ± 459 b7204 ± 505 a7236 ± 492 a
Shoot DW (mg) 53258 ± 260 a3853 ± 292 a3816 ± 268 a3870 ± 288 a
Root–shoot0.40 ± 0.03 b0.45 ± 0.03 b0.66 ± 0.04 a0.66 ± 0.04 a
1 PR = primary root. 2 Means with same letter within a row are not different. 3 LR = lateral root. 4 Sum of dry weights of roots, stems, and leaves. Does not include seed DW. 5 Stem DW + Leaf DW.
Disclaimer/Publisher’s Note: The statements, opinions and data contained in all publications are solely those of the individual author(s) and contributor(s) and not of MDPI and/or the editor(s). MDPI and/or the editor(s) disclaim responsibility for any injury to people or property resulting from any ideas, methods, instructions or products referred to in the content.

Share and Cite

MDPI and ACS Style

Marler, T.E. Root Growth and Branching of Two Cycas Species Are Influenced by Form of Nitrogen Fertilizer. Agronomy 2025, 15, 2280. https://doi.org/10.3390/agronomy15102280

AMA Style

Marler TE. Root Growth and Branching of Two Cycas Species Are Influenced by Form of Nitrogen Fertilizer. Agronomy. 2025; 15(10):2280. https://doi.org/10.3390/agronomy15102280

Chicago/Turabian Style

Marler, Thomas E. 2025. "Root Growth and Branching of Two Cycas Species Are Influenced by Form of Nitrogen Fertilizer" Agronomy 15, no. 10: 2280. https://doi.org/10.3390/agronomy15102280

APA Style

Marler, T. E. (2025). Root Growth and Branching of Two Cycas Species Are Influenced by Form of Nitrogen Fertilizer. Agronomy, 15(10), 2280. https://doi.org/10.3390/agronomy15102280

Note that from the first issue of 2016, this journal uses article numbers instead of page numbers. See further details here.

Article Metrics

Back to TopTop