A Study on the Assembly Mechanisms of Shrub Communities in Coniferous and Broadleaved Forests—A Case Study of Jiangxi, China
Simple Summary
Abstract
1. Introduction
2. Materials and Methods
2.1. Research Plots
2.1.1. Phylogenetic Diversity of Understory Plants
2.1.2. Functional Trait Analysis
2.1.3. Shrub Diversity and Environmental Factor Survey
2.2. Data Analysis
3. Results
3.1. Analysis of Shrub Survey and Leaf Functional Trait Differences
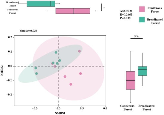
3.2. Analysis of Differences in Leaf Functional Diversity Between Two Forest Types
3.3. Shrub Biodiversity and Phylogenetic Diversity in Two Forest Types
3.4. Phylogenetic Structure of Shrub Communities
3.5. Analysis of Differences in Assembly Mechanisms Between the Two Shrub Types
3.6. Influence of Environmental Factors on Understory Shrubs
3.7. Redundancy Analysis (RDA) of Factors Influencing Shrub Functional Diversity
4. Discussion
4.1. Differentiation in Understory Shrub Functional Traits Reflects Distinct Ecological Strategies
4.2. Functional Diversity and Phylogenetic Structure Reveal Distinct Community Assembly Mechanisms
4.3. Key Environmental Drivers of Functional Trait Patterns
5. Conclusions
Author Contributions
Funding
Institutional Review Board Statement
Informed Consent Statement
Data Availability Statement
Conflicts of Interest
References
- Chastain, J.R.A.; Currie, W.S.; Townsend, P.A. Carbon sequestration and nutrient cycling implications of the evergreen understory layer in Appalachian forests. For. Ecol. Manag. 2006, 231, 63–77. [Google Scholar] [CrossRef]
- Chen, C.; Yan, G.; Schmid, B.; Li, Y.; Bongers, F.J.; Bruelheide, H.; Huang, Y.; Li, S.; von Oheimb, G.; Tang, T.; et al. Understory shrub diversity: Equally vital as overstory tree diversity to promote forest productivity. Natl. Sci. Rev. 2025, 12, nwaf093. [Google Scholar] [CrossRef]
- Wang, L.; He, Y.; Umer, M.; Guo, Y.; Tan, Q.; Kang, L.; Fang, Z.; Shen, K.; Xia, T.; Wu, P.; et al. Strategic differentiation of subcommunities composed of evergreen and deciduous woody species associated with leaf functional traits in the subtropical mixed forest. Ecol. Indic. 2023, 150, 110281. [Google Scholar] [CrossRef]
- Yang, Y.; Zhang, L.; Wang, Z.; Shuai, L.; Zhang, X.; Huang, Y.; Wang, Y.; Ma, Z.; Zhang, C. Leaf Traits, Biomass Accumulation and Allocation of Gentiana lawrencei Burkill Along an 800 m Elevation Gradient in Alpine Grasslands. Agronomy 2025, 15, 723. [Google Scholar] [CrossRef]
- Yu, G.; Lv, Z.; Liu, B. Functional diversity and carbon storage of plant community elevation patterns and carbon accumulation mechanisms in desert shrubland of Yanqi Hola Mountain, China. Ecol. Indic. 2024, 158, 111379. [Google Scholar] [CrossRef]
- Lin, X.Y.; Wan, X.H.; Jia, H.; Huang, Z.Q.; Zuo, B.Z.; Wang, S.R. Relationships between functional traits and litter fall nutrient return characteristics across 21 treespecies in subtroical plantations. J. Appl. Ecol. 2024, 35, 1455–1462. [Google Scholar]
- Wright, I.J.; Reich, P.B.; Westoby, M.; Ackerly, D.D.; Baruch, Z.; Bongers, F.; Cavender–Bares, J.; Chapin, T.; Cornelissen, J.H.; Diemer, M.; et al. The worldwide leaf economics spectrum. Nature 2004, 428, 821–827. [Google Scholar] [CrossRef] [PubMed]
- Díaz, S.; Kattge, J.; Cornelissen, J.H.; Wright, I.J.; Lavorel, S.; Dray, S.; Reu, B.; Kleyer, M.; Wirth, C.; Prentice, I.C.; et al. The global spectrum of plant form and function. Nature 2016, 529, 167–171. [Google Scholar] [CrossRef]
- Yao, L.; Ding, Y.; Yao, L.; Ai, X.; Zang, R. Trait gradient analysis for evergreen and deciduous species in a subtropical forest. Forests 2020, 11, 364. [Google Scholar] [CrossRef]
- Freschet, G.T.; Dias, A.T.; Ackerly, D.D.; Aerts, R.; Van Bodegom, P.M.; Cornwell, W.K.; Dong, M.; Kurokawa, H.; Liu, G.; Onipchenko, V.G.; et al. Global to community scale differences in the prevalence of convergent over divergent leaf trait distributions in plant assemblages. Glob. Ecol. Biogeogr. 2011, 20, 755–765. [Google Scholar] [CrossRef]
- Mason, N.W.; de Bello, F.; Mouillot, D.; Pavoine, S.; Dray, S. A guide for using functional diversity indices to reveal changes in assembly processes along ecological gradients. J. Veg. Sci. 2013, 24, 794–806. [Google Scholar] [CrossRef]
- Xie, C.; Chen, J.H.; Xie, T.Z.; Liu, Y.Q.; Li, Y.J.; Liu, Y.D.; Mu, C.L. The phylogenetic structure of understory community of Cupressus funebris plantations in hilly area of central Sichuan. Chin. J. Ecol. 2023, 42, 804–811. [Google Scholar]
- Xu, L.; Liu, Y.X.; Mu, R.L.; Zhang, G.J.; Yu, R.X.; Li, L. Phylogenetic structure and diversity pattern of plant community in alpine meadow. China Environ. Sci. 2021, 41, 1387–1397. [Google Scholar]
- Moeslund, J.E.; Arge, L.; Bøcher, P.K.; Dalgaard, T.; Ejrnæs, R.; Odgaard, M.V.; Svenning, J.C. Topographically controlled soil moisture drives plant diversity patterns within grasslands. Biodivers. Conserv. 2013, 22, 2151–2166. [Google Scholar] [CrossRef]
- Sanaei, A.; Sayer, E.J.; Yuan, Z.; Lin, F.; Fang, S.; Ye, J.; Liu, S.; Hao, Z.; Wang, X. Soil stoichiometry mediates links between tree functional diversity and soil microbial diversity in a temperate forest. Ecosystems 2022, 25, 291–307. [Google Scholar] [CrossRef]
- Chen, J.; Liu, Z.; Cui, H.; Song, H.; Wang, J.; Gao, H.; Chen, S.; Liu, K.; Yang, Z.; Wang, Y.; et al. Direct and indirect effects of dominant plants on ecosystem multifunctionality. Front. Plant Sci. 2023, 14, 1117903. [Google Scholar] [CrossRef] [PubMed]
- Jing, X.; Sanders, N.J.; Shi, Y.; Chu, H.; Classen, A.T.; Zhao, K.; Chen, L.; Shi, Y.; Jiang, Y.; He, J.S. The links between ecosystem multifunctionality and above–and belowground biodiversity are mediated by climate. Nat. Commun. 2015, 6, 8159. [Google Scholar] [CrossRef] [PubMed]
- Maron, J.L.; Baer, K.C.; Angert, A.L. Disentangling the drivers of context-dependent plant–animal interactions. J. Ecol. 2014, 102, 1485–1496. [Google Scholar] [CrossRef]
- Chytrý, M.; Danihelka, J.; Ermakov, N.; Hájek, M.; Hájková, P.; Kočí, M.; Kubešová, S.; Lustyk, P.; Otýpková, Z.; Popov, D. Plant species richness in continental southern Siberia: Effects of pH and climate in the context of the species pool hypothesis. Glob. Ecol. Biogeogr. 2007, 16, 668–678. [Google Scholar] [CrossRef]
- Mathar, W.P.; Kämpf, I.; Kleinebecker, T.; Kuzmin, I.; Tolstikov, A.; Tupitsin, S.; Hölzel, N. Floristic diversity of meadow steppes in the Western Siberian Plain: Effects of abiotic site conditions, management and landscape structure. Biodivers. Conserv. 2016, 25, 2361–2379. [Google Scholar] [CrossRef]
- Zhang, D.; Peng, Y.; Li, F.; Yang, G.; Wang, J.; Yu, J.; Zhou, G.; Yang, Y. Changes in above-/below-ground biodiversity and plant functional composition mediate soil respiration response to nitrogen input. Funct. Ecol. 2021, 35, 1171–1182. [Google Scholar] [CrossRef]
- Prober, S.M.; Wiehl, G. Relationships among soil fertility, native plant diversity and exotic plant abundance inform restoration of forb-rich eucalypt woodlands. Divers Distrib. 2012, 18, 795–807. [Google Scholar] [CrossRef]
- Ma, X.; Geng, Q.; Zhang, H.; Bian, C.; Chen, H.Y.; Jiang, D.; Xu, X. Global negative effects of nutrient enrichment on arbuscular mycorrhizal fungi, plant diversity and ecosystem multifunctionality. New Phytol. 2021, 229, 2957–2969. [Google Scholar] [CrossRef] [PubMed]
- Rees, M.; Fayolle, A.; Godlee, J.L.; Gorel, A.P.; Harris, D.J.; Dexter, K.G. Patterns and Drivers of Phylogenetic Beta Diversity in the Forests and Savannas of Africa. J. Biogeogr. 2025, 52, e15140. [Google Scholar] [CrossRef]
- Yao, S.; Hu, W.; Ji, M.; Degen, A.A.; Du, Q.; Akram, M.A.; Sun, Y.; Sun, Y.; Deng, Y.; Dong, L.; et al. Distribution, species richness, and relative importance of different plant life forms across drylands in China. Plant Diver. 2025, 47, 273–281. [Google Scholar] [CrossRef]
- Angulo, D.F.; Tun–Garrido, J.; Arceo–Gómez, G.; Munguía–Rosas, M.A.; Parra–Tabla, V. Patterns of phylogenetic community structure of sand dune plant communities in the Yucatan Peninsula: The role of deterministic and stochastic processes in community assembly. Plant. Ecol. Divers. 2018, 11, 515–526. [Google Scholar] [CrossRef]
- Jin, L.S.; Yin, D.; Fortin, M.J.; Cadotte, M.W. The mechanisms generating community phylogenetic patterns change with spatial scale. Oecologia 2020, 193, 655–664. [Google Scholar] [CrossRef]
- Karadimou, E.; Tsiripidis, I.; Kallimanis, A.S.; Raus, T.; Dimopoulos, P. Functional diversity reveals complex assembly processes on sea-born volcanic islands. Veg. Sci. 2015, 26, 501–512. [Google Scholar] [CrossRef]
- Valladares, F.; Laanisto, L.; Niinemets, Ü.; Zavala, M.A. Shedding light on shade: Ecological perspectives of understorey plant life. Plant Ecol. Divers. 2016, 9, 237–251. [Google Scholar] [CrossRef]
- Sendall, K.M.; Lusk, C.H.; Reich, P.B. Trade-offs in juvenile growth potential vs. shade tolerance among subtropical rain forest trees on soils of contrasting fertility. Funct. Ecol. 2016, 30, 845–855. [Google Scholar] [CrossRef]
- Laanisto, L.; Niinemets, Ü. Polytolerance to abiotic stresses: How universal is the shade–drought tolerance trade-off in woody species? Glob. Ecol. Biogeogr. 2015, 24, 571–580. [Google Scholar] [CrossRef]
- Sánchez-Dávila, J.; Lenoir, J.; Stefańska-Krzaczek, E.; Biurrun, I.; Wohlgemuth, T.; Campos, J.A.; Svenning, J.C.; Bonari, G.; Padullés-Cubino, J. Canopy Composition Outperforms Macroenvironment in Explaining European Forest Understory Composition. Glob. Ecol. Biogeogr. 2025, 34, e70079. [Google Scholar] [CrossRef]
- Zanne, A.E.; Tank, D.C.; Cornwell, W.K.; Eastman, J.M.; Smith, S.A.; FitzJohn, R.G.; McGlinn, D.J.; O’Meara, B.C.; Moles, A.T.; Reich, P.B.; et al. Three keys to the radiation of angiosperms into freezing environments. Nature 2014, 506, 89–92. [Google Scholar] [CrossRef] [PubMed]
- Kembel, S.W.; Cowan, P.D.; Helmus, M.R.; Cornwell, W.K.; Morlon, H.; Ackerly, D.D.; Blomberg, S.P.; Webb, C.O. Picante: R tools for integrating phylogenies and ecology. Bioinformatics 2010, 26, 1463–1464. [Google Scholar] [CrossRef]
- Ginestet, C. ggplot2: Elegant Graphics for Data Analysis. J. R. Stat. Soc. 2011, 174, 245–246. [Google Scholar] [CrossRef]
- Laliberté, E.; Legendre, P.J. A distance-based framework for measuring functional diversity from multiple traits. Ecology 2010, 91, 299–305. [Google Scholar] [CrossRef] [PubMed]
- Shanmugam, R. Multivariate analysis of ecological data with ade4. J. Stat. Comput. Simul. 2020, 90, 1150–1151. [Google Scholar] [CrossRef]
- Jin, Y.; Qian, H.V. PhyloMaker: An R package that can generate very large phylogenies for vascular plants. Ecography 2019, 42, 1353–1359. [Google Scholar] [CrossRef]
- Dixon, P. VEGAN, a package of R functions for community ecology. J. Veg. Sci. 2003, 14, 927–930. [Google Scholar] [CrossRef]
- Amahowe, I.O.; Gaoue, O.G.; Natta, A.K.; Piponiot, C.; Zobi, I.C.; Hérault, B.J. Functional traits partially mediate the effects of chronic anthropogenic disturbance on the growth of a tropical tree. AoB Plants 2018, 10, ply036. [Google Scholar] [CrossRef]
- Li, Y.; Zheng, J.; Wang, G.; Hou, J.; Liu, Y.; Ha, W. A study of functional traits of natural secondary forests and their influencing factors in different succession stages in karst areas: A case study of Dahei Mountain, Yunnan Province. Acta Geosci. Sin. 2021, 42, 397–406. [Google Scholar]
- Liu, X.; Ma, K. Plant functional traits–Concepts, applications and future directions. Sci. Sin. Vitae 2015, 45, 325–339. [Google Scholar] [CrossRef]
- Liu, L.; Xia, H.; Quan, X.; Wang, Y. Plant trait–based life strategies of overlapping species vary in different succession stages of subtropical forests, Eastern China. Font. Ecol. Evol. 2023, 10, 1103937. [Google Scholar] [CrossRef]
- Webb, C.O.; Ackerly, D.D.; McPeek, M.A.; Donoghue, M.J. Phylogenies and community ecology. Annu. Rev. Ecol. Syst. 2002, 33, 475–505. [Google Scholar] [CrossRef]
- Chen, B.; Jiang, L.; Xie, Z.Y.; Li, Y.T.; Li, J.X.; Li, M.J.; Wei, S.C.; Xing, C.; Liu, J.F.; He, Z.S. Taxonomic and phylogenetic diversity of plants in a Castanopsis kawakamiinatural forest. Biodivers. Sci. 2021, 29, 439–448. [Google Scholar] [CrossRef]
- Zeng, T.T.; Zhang, L.L.; Li, Y.D.; Wen, D.Z. Effect of Forest Conversion on Soil pH, Organic Carbon Fractions andExchangeable Mineral Nutrients. Ecol. Environ. Sci. 2016, 25, 576–582. [Google Scholar]
- Fang, Y.J.; Fang, G.J.; Lou, M.H.; Dou, X.W.; Wu, D.Y. Differences and Influencing Mechanisms of Ecological Niches andCompetition among Nearest Neighboring Trees with Diverse Kinship Relationships. J. Southwest For. Univ. 2025, 46, 1–8. [Google Scholar]
- Luo, Y.; Zhou, M.; Jin, S.; Wang, Q.; Yan, D. Changes in phylogenetic structure and species composition of woody plant communities across an elevational gradient in the southern Taihang Mountains, China. Glob. Ecol. Conserv. 2023, 42, e02412. [Google Scholar] [CrossRef]
- Han, D.; Wang, J.; Ahan, J.; Zhao, Y.; Yang, Y. Soil and shrub differentially determine understorey herbaceous plant richness and abundance in a semi–arid riparian meadow. Community Ecol. 2021, 22, 113–125. [Google Scholar] [CrossRef]
- Long, C.; Yang, X.; Long, W.; Li, D.; Zhou, W.; Zhang, H. Soil nutrients influence plant community assembly in two tropical coastal secondary forests. Trop. Conserv. Sci. 2018, 11, 1940082918817956. [Google Scholar] [CrossRef]
- Nagata, Y.K.; Ushimaru, A. Traditional burning and mowing practices support high grassland plant diversity by providing intermediate levels of vegetation height and soil pH. Appl. Veg. Sci. 2016, 19, 567–577. [Google Scholar] [CrossRef]
- Cao, J.H.; Qi, R.; Liu, T.; Li, B.; Gao, B.Q.; Chen, X.L.; Zhao, Y.; Zhao, Z.G. Patterns of species and phylogenetic diversity in Picea purpurea forests under different levels of disturbance on the northeastern Qinghai–Tibetan Plateau. Glob. Ecol. Conserv. 2021, 30, e01779. [Google Scholar] [CrossRef]
- Du, Z.; Cai, X.; Bao, W.; Chen, H.; Pan, H.; Wang, X.; Zhao, Q.; Zhu, W.; Liu, X.; Jiang, Y.; et al. Short–term vs. long–term effects of understory removal on nitrogen and mobile carbohydrates in overstory trees. Forests 2016, 7, 67. [Google Scholar] [CrossRef]
- Lindenmayer, D.B.; Laurance, W.F. The ecology, distribution, conservation and management of large old trees. Biol. Rev. 2017, 92, 1434–1458. [Google Scholar] [CrossRef]
- Yachi, S.; Loreau, M. Does complementary resource use enhance ecosystem functioning? A model of light competition in plant communities. Ecol. Lett. 2007, 10, 54–62. [Google Scholar] [CrossRef] [PubMed]







| Type | Plot | Soil Total Nitrogen Content/(mg/kg) | Soil pH | Canopy Density/% | Soil Bulk Density (g/cm3) | Undergrowth Temperature/°C |
|---|---|---|---|---|---|---|
| A | plot1 | 3641.19 | 4.60 | 75.50 | 1.50 | 30.42 |
| B | plot2 | 3307.12 | 4.90 | 80.00 | 1.27 | 30.42 |
| A | plot3 | 4195.45 | 4.80 | 81.50 | 1.36 | 29.09 |
| B | plot4 | 1649.52 | 5.50 | 85.00 | 1.10 | 28.05 |
| B | plot5 | 998.97 | 5.30 | 96.00 | 1.06 | 28.05 |
| B | plot6 | 1925.94 | 5.40 | 92.00 | 1.10 | 28.05 |
| A | plot7 | 1164.56 | 4.90 | 86.00 | 1.34 | 30.42 |
| A | plot8 | 2023.29 | 4.30 | 84.00 | 1.28 | 30.42 |
| A | plot9 | 840.08 | 4.40 | 78.50 | 1.43 | 27.65 |
| A | plot10 | 511.07 | 4.40 | 83.25 | 1.39 | 27.65 |
| B | plot11 | 1716.92 | 5.10 | 97.00 | 1.06 | 32.25 |
| B | plot12 | 2268.33 | 5.40 | 96.00 | 1.13 | 31.00 |
| Tepy | Plot | Tree Layer DBH/mm | Tree Layer Diversity | Tree Layer Richness | Tree Layer Evenness |
|---|---|---|---|---|---|
| A | plot1 | 209.89 | 0.62 | 2 | 0.90 |
| B | plot2 | 224.14 | 1.01 | 4 | 0.73 |
| A | plot3 | 165.15 | 0.97 | 4 | 0.70 |
| B | plot4 | 200.44 | 0.59 | 3 | 0.53 |
| B | plot5 | 201.24 | 0.88 | 3 | 0.80 |
| B | plot6 | 300.70 | 0.26 | 2 | 0.37 |
| A | plot7 | 200.10 | 0.97 | 3 | 0.89 |
| A | plot8 | 269.45 | 0.83 | 3 | 0.75 |
| A | plot9 | 245.54 | 0.69 | 4 | 0.50 |
| A | plot10 | 218.10 | 0.14 | 2 | 0.21 |
| B | plot11 | 146.61 | 1.36 | 6 | 0.76 |
| B | plot12 | 163.72 | 0.96 | 4 | 0.69 |
| Family | Genus | Species | Coniferous Forest Relative Abundance | Broadleaf Forest Relative Abundance |
|---|---|---|---|---|
| Aquifoliaceae | Ilex | Ilex aculeolata | 13.15 | 1.42 |
| Ilex cornuta | 0.17 | 0.31 | ||
| Berberidaceae | Nandina | Nandina domestica | – | 1.29 |
| Caprifoliaceae | Symphoricarpos | Symphoricarpos orbiculatus | – | 0.06 |
| Lonicera | Lonicera japonica | – | 0.12 | |
| Cornaceae | Cornus | Cornus alba | – | 0.06 |
| Elaeagnaceae | Elaeagnus | Elaeagnus umbellata | – | 0.06 |
| Ericaceae | Lyonia | Lyonia ovalifolia | 0.69 | 0.18 |
| Hamamelidaceae | Fortunearia | Fortunearia sinensis | – | 0.12 |
| Lamiaceae | Clerodendrum | Clerodendrum cyrtophyllum | 9.95 | 0.12 |
| Mallotus | Mallotus | Mallotus repandus | – | 5.17 |
| Moraceae | Broussonetia | Broussonetia kaempferi | 1.73 | 14.77 |
| Ficus | Ficus pandurata | – | 7.08 | |
| Myricaceae | Myrica | Myrica cerifera | – | 0.06 |
| Myrtaceae | Syzygium | Syzygium buxifolium | 1.38 | 0.18 |
| Oleaceae | Ligustrum | Ligustrum sinense | 0.09 | 0.00 |
| Phyllanthaceae | Phyllanthus | Phyllanthus glaucus | 1.73 | 8.62 |
| Glochidion | Glochidion puberum | – | 0.06 | |
| Pittosporum | Pittosporum tobira | 0.61 | 7.32 | |
| Platanaceae | Platanus | Platanus acerifolia | 0.35 | 0.06 |
| Primulaceae | Myrsine | Myrsine africana | 0.43 | 0.06 |
| Ranunculaceae | Clematis | Clematis terniflora | – | 0.06 |
| Rhamnaceae | Sageretia | Sageretia thea | 0.52 | 3.26 |
| Rosaceae | Rubus | Rubus corchorifolius | 7.01 | 1.17 |
| Rhaphiolepis | Rhaphiolepis indica | 4.93 | 1.23 | |
| Rosa | Rosa multiflora | – | 13.17 | |
| Rosa laevigata | 6.06 | 2.46 | ||
| Rubiaceae | Gardenia | Gardenia jasminoides | 23.62 | 11.75 |
| Paederia | Paederia foetida | – | 10.77 | |
| Serissa | Serissa japonica | 2.42 | 2.95 | |
| Rutaceae | Zanthoxylum | Zanthoxylum armatum | – | 0.06 |
| Salicaceae | Xylosma | Xylosma congesta | – | 0.18 |
| Smilacaceae | Smilax | Smilax china | 12.11 | 1.11 |
| Symplocaceae | Symplocos | Symplocos tanakana | 11.42 | 2.34 |
| Symplocos lancifolia | 0.09 | – | ||
| Theaceae | Camellia | Camellia japonica | 1.56 | 0.55 |
| Verbenaceae | Vitex | Vitex negundo var. cannabifolia | – | 0.62 |
| Vitaceae | Causonis | Causonis japonica | – | 0.18 |
| Parthenocissus | Parthenocissus quinquefolia | – | 0.92 | |
| Ampelopsis | Ampelopsis glandulosa | – | 0.06 |
Disclaimer/Publisher’s Note: The statements, opinions and data contained in all publications are solely those of the individual author(s) and contributor(s) and not of MDPI and/or the editor(s). MDPI and/or the editor(s) disclaim responsibility for any injury to people or property resulting from any ideas, methods, instructions or products referred to in the content. |
© 2025 by the authors. Licensee MDPI, Basel, Switzerland. This article is an open access article distributed under the terms and conditions of the Creative Commons Attribution (CC BY) license (https://creativecommons.org/licenses/by/4.0/).
Share and Cite
Xue, Y.; Guo, X.; Huang, W.; Zhang, X.; Zhang, Y.; Zhong, Y.; Lin, X.; Zhang, Q.; Su, Q.; Xiao, Y. A Study on the Assembly Mechanisms of Shrub Communities in Coniferous and Broadleaved Forests—A Case Study of Jiangxi, China. Biology 2025, 14, 1683. https://doi.org/10.3390/biology14121683
Xue Y, Guo X, Huang W, Zhang X, Zhang Y, Zhong Y, Lin X, Zhang Q, Su Q, Xiao Y. A Study on the Assembly Mechanisms of Shrub Communities in Coniferous and Broadleaved Forests—A Case Study of Jiangxi, China. Biology. 2025; 14(12):1683. https://doi.org/10.3390/biology14121683
Chicago/Turabian StyleXue, Yuxi, Xiaoyue Guo, Wei Huang, Xiaohui Zhang, Yuxin Zhang, Yongxin Zhong, Xia Lin, Qi Zhang, Qitao Su, and Yian Xiao. 2025. "A Study on the Assembly Mechanisms of Shrub Communities in Coniferous and Broadleaved Forests—A Case Study of Jiangxi, China" Biology 14, no. 12: 1683. https://doi.org/10.3390/biology14121683
APA StyleXue, Y., Guo, X., Huang, W., Zhang, X., Zhang, Y., Zhong, Y., Lin, X., Zhang, Q., Su, Q., & Xiao, Y. (2025). A Study on the Assembly Mechanisms of Shrub Communities in Coniferous and Broadleaved Forests—A Case Study of Jiangxi, China. Biology, 14(12), 1683. https://doi.org/10.3390/biology14121683

