Sign in to use this feature.

Years

Between: -

Subjects

remove_circle_outline
remove_circle_outline
remove_circle_outline
remove_circle_outline
remove_circle_outline
remove_circle_outline
remove_circle_outline

Journals

Article Types

Countries / Regions

Search Results (26)

Search Parameters:
Keywords = sparse matrix-vector operations

Order results
Result details
Results per page
Select all
Export citation of selected articles as:
20 pages, 3701 KB  
Article
Residual Skewness Monitoring-Based Estimation Method for Laser-Induced Breakdown Spectroscopy
by Bin Zhu, Xiangcheng Shen, Tao Liu, Sirui Wang, Yuhua Hang, Jianhua Mo, Lei Shao and Ruizhi Wang
Electronics 2025, 14(17), 3343; https://doi.org/10.3390/electronics14173343 - 22 Aug 2025
Viewed by 697
Abstract
To address the challenges of narrow peak characteristics and low signal-to-noise ratio (SNR) detection in Laser-Induced Breakdown Spectroscopy (LIBS), in this paper, we combine the Sparse Bayesian Learning–Baseline Correction (SBL-BC) algorithm with residual skewness monitoring to propose a spectral estimation method tailored for [...] Read more.
To address the challenges of narrow peak characteristics and low signal-to-noise ratio (SNR) detection in Laser-Induced Breakdown Spectroscopy (LIBS), in this paper, we combine the Sparse Bayesian Learning–Baseline Correction (SBL-BC) algorithm with residual skewness monitoring to propose a spectral estimation method tailored for LIBS. In LIBS spectra, discrete peaks are susceptible to baseline fluctuations and noise, while the Gaussian dictionary modeling and fixed convergence criterion of the existing SBL-BC lead to the inaccurate characterization of narrow peaks and high computational complexity. To overcome these limitations, we introduce a residual skewness dynamic tracking mechanism to mitigate residual negative skewness accumulation caused by positivity constraints under high noise levels, preventing traditional convergence criterion failure. Simultaneously, by eliminating the dictionary matrix and directly modeling the spectral peak vector, we transform matrix operations into vector computations, better aligning with LIBS’s narrow peak features and high-channel-count processing requirements. Through simulated and real spectral experiments, the results demonstrate that this method outperforms the SBL-BC algorithm in terms of spectral peak fitting accuracy, computational speed, and convergence performance across various SNRs. It effectively separates spectral peaks, baseline, and noise, providing a reliable approach for both quantitative and qualitative analysis of LIBS spectra. Full article
Show Figures

Figure 1

23 pages, 1669 KB  
Article
The Fast Discrete Tchebichef Transform Algorithms for Short-Length Input Sequences
by Aleksandr Cariow and Marina Polyakova
Signals 2025, 6(2), 23; https://doi.org/10.3390/signals6020023 - 9 May 2025
Cited by 1 | Viewed by 3504
Abstract
In this article, the fast algorithms for the discrete Tchebichef transform (DTT) are proposed for input sequences of lengths in the range from 3 to 8. At present, DTT is widely applied in signal processing, image compression, and video coding. The review of [...] Read more.
In this article, the fast algorithms for the discrete Tchebichef transform (DTT) are proposed for input sequences of lengths in the range from 3 to 8. At present, DTT is widely applied in signal processing, image compression, and video coding. The review of the articles related to fast DTT algorithms has shown that such algorithms are mainly developed for input signal lengths 4 and 8. However, several problems exist for which signal and image processing with different apertures is required. To avoid this shortcoming, the structural approach and a sparse matrix factorization are applied in this paper to develop fast real DTT algorithms for short-length input signals. According to the structural approach, the rows and columns of the transform matrix are rearranged, possibly by changing the signs of some rows or columns. Next, the matched submatrix templates are extracted from the matrix structure and decomposed into a matrix product to construct the factorization of an initial matrix. A sparse matrix factorization assumes that the butterfly architecture can be extracted from the transform matrix. Combining the structural approach with a sparse matrix factorization, we obtained the matrix representation with reduced computational complexity. Based on the obtained matrix representation, the fast algorithms were developed for the real DTT via the data flow graphs. The fast algorithms for integer DTT can be easily obtained using the constructed data flow graphs. To confirm the correctness of the designed algorithms, the MATLAB R2023b software was applied. The constructed factorizations of the real DTT matrices reduce the number of multiplication operations by 78% on average compared to the direct matrix-vector product at signal lengths in the range from 3 to 8. The number of additions decreased by 5% on average within the same signal length range. Full article
Show Figures

Figure 1

22 pages, 9250 KB  
Article
High-Resolution Single-Pixel Imaging of Spatially Sparse Objects: Real-Time Imaging in the Near-Infrared and Visible Wavelength Ranges Enhanced with Iterative Processing or Deep Learning
by Rafał Stojek, Anna Pastuszczak, Piotr Wróbel, Magdalena Cwojdzińska, Kacper Sobczak and Rafał Kotyński
Sensors 2024, 24(24), 8139; https://doi.org/10.3390/s24248139 - 20 Dec 2024
Cited by 2 | Viewed by 2785
Abstract
We demonstrate high-resolution single-pixel imaging (SPI) in the visible and near-infrared wavelength ranges using an SPI framework that incorporates a novel, dedicated sampling scheme and a reconstruction algorithm optimized for the rapid imaging of highly sparse scenes at the native digital micromirror device [...] Read more.
We demonstrate high-resolution single-pixel imaging (SPI) in the visible and near-infrared wavelength ranges using an SPI framework that incorporates a novel, dedicated sampling scheme and a reconstruction algorithm optimized for the rapid imaging of highly sparse scenes at the native digital micromirror device (DMD) resolution of 1024 × 768. The reconstruction algorithm consists of two stages. In the first stage, the vector of SPI measurements is multiplied by the generalized inverse of the measurement matrix. In the second stage, we compare two reconstruction approaches: one based on an iterative algorithm and the other on a trained neural network. The neural network outperforms the iterative method when the object resembles the training set, though it lacks the generality of the iterative approach. For images captured at a compression of 0.41 percent, corresponding to a measurement rate of 6.8 Hz with a DMD operating at 22 kHz, the typical reconstruction time on a desktop with a medium-performance GPU is comparable to the image acquisition rate. This allows the proposed SPI method to support high-resolution dynamic SPI in a variety of applications, using a standard SPI architecture with a DMD modulator operating at its native resolution and bandwidth, and enabling the real-time processing of the measured data with no additional delay on a standard desktop PC. Full article
(This article belongs to the Special Issue Spectral Detection Technology, Sensors and Instruments, 2nd Edition)
Show Figures

Figure 1

28 pages, 7697 KB  
Article
An Enhanced Direct Position Determination of Mixed Circular and Non-Circular Sources Using Moving Virtual Interpolation Array
by Zhaobo Wang, Jun Zhang, Hui Guo and Yingjie Miao
Sensors 2024, 24(20), 6718; https://doi.org/10.3390/s24206718 - 18 Oct 2024
Cited by 2 | Viewed by 1778
Abstract
In this study, a moving single-station direct position determination (DPD) algorithm based on virtual interpolated arrays is proposed. Existing moving single-station algorithms face challenges such as the incomplete utilization of sparse array apertures and insufficient consideration of mixed circular and non-circular signals. To [...] Read more.
In this study, a moving single-station direct position determination (DPD) algorithm based on virtual interpolated arrays is proposed. Existing moving single-station algorithms face challenges such as the incomplete utilization of sparse array apertures and insufficient consideration of mixed circular and non-circular signals. To address these issues, we propose an enhanced gridless DPD algorithm, suitable for multiple mixed circular and non-circular sources. Through constructing a non-zero unconjugated covariance matrix from the non-circular components of the mixed signals, the data dimensionality is expanded, and the gridless method is used to fill the voids in the coarray, significantly improving localization performance. Additionally, a unitary transformation method is applied to reduce computational complexity. This method transforms complex operations into real operations by applying unitary transformations to steering vectors and subspaces. Simulation results demonstrate that the proposed algorithm offers significant advantages in terms of array degrees of freedom and localization accuracy. Full article
(This article belongs to the Section Optical Sensors)
Show Figures

Figure 1

30 pages, 8662 KB  
Article
Direction-of-Arrival Estimation via Sparse Bayesian Learning Exploiting Hierarchical Priors with Low Complexity
by Ninghui Li, Xiaokuan Zhang, Fan Lv and Binfeng Zong
Sensors 2024, 24(7), 2336; https://doi.org/10.3390/s24072336 - 6 Apr 2024
Cited by 4 | Viewed by 2919
Abstract
For direction-of-arrival (DOA) estimation problems in a sparse domain, sparse Bayesian learning (SBL) is highly favored by researchers owing to its excellent estimation performance. However, traditional SBL-based methods always assign Gaussian priors to parameters to be solved, leading to moderate sparse signal recovery [...] Read more.
For direction-of-arrival (DOA) estimation problems in a sparse domain, sparse Bayesian learning (SBL) is highly favored by researchers owing to its excellent estimation performance. However, traditional SBL-based methods always assign Gaussian priors to parameters to be solved, leading to moderate sparse signal recovery (SSR) effects. The reason is Gaussian priors play a similar role to l2 regularization in sparsity constraint. Therefore, numerous methods are developed by adopting hierarchical priors that are used to perform better than Gaussian priors. However, these methods are in straitened circumstances when multiple measurement vector (MMV) data are adopted. On this basis, a block-sparse SBL method (named BSBL) is developed to handle DOA estimation problems in MMV models. The novelty of BSBL is the combination of hierarchical priors and block-sparse model originating from MMV data. Therefore, on the one hand, BSBL transfers the MMV model to a block-sparse model by vectorization so that Bayesian learning is directly performed, regardless of the prior independent assumption of different measurement vectors and the inconvenience caused by the solution of matrix form. On the other hand, BSBL inherited the advantage of hierarchical priors for better SSR ability. Despite the benefit, BSBL still has the disadvantage of relatively large computation complexity caused by high dimensional matrix operations. In view of this, two operations are implemented for low complexity. One is reducing the matrix dimension of BSBL by approximation, generating a method named BSBL-APPR, and the other is embedding the generalized approximate message passing (GAMB) technique into BSBL so as to decompose matrix operations into vector or scale operations, named BSBL-GAMP. Moreover, BSBL is able to suppress temporal correlation and handle wideband sources easily. Extensive simulation results are presented to prove the superiority of BSBL over other state-of-the-art algorithms. Full article
(This article belongs to the Section Communications)
Show Figures

Figure 1

17 pages, 3375 KB  
Article
Robust Sparse Bayesian Two-Dimensional Direction-of-Arrival Estimation with Gain-Phase Errors
by Xu Jin, Xuhu Wang, Yujun Hou, Siyuan Hao, Xinjie Wang, Zhenhua Xu and Qunfei Zhang
Sensors 2023, 23(23), 9422; https://doi.org/10.3390/s23239422 - 26 Nov 2023
Viewed by 1871
Abstract
To reduce the influence of gain-phase errors and improve the performance of direction-of-arrival (DOA) estimation, a robust sparse Bayesian two-dimensional (2D) DOA estimation method with gain-phase errors is proposed for L-shaped sensor arrays. The proposed method introduces an auxiliary angle to transform the [...] Read more.
To reduce the influence of gain-phase errors and improve the performance of direction-of-arrival (DOA) estimation, a robust sparse Bayesian two-dimensional (2D) DOA estimation method with gain-phase errors is proposed for L-shaped sensor arrays. The proposed method introduces an auxiliary angle to transform the 2D DOA estimation problem into two 1D angle estimation problems. A sparse representation model with gain-phase errors is constructed using the diagonal element vector of the cross-correlation covariance matrix of two submatrices of the L-shaped sensor array. The expectation maximization algorithm derives unknown parameter expression, which is used for iterative operations to obtain off-grid and signal precision. Using these parameters, a new spatial spectral function is constructed to estimate the auxiliary angle. The obtained auxiliary angle is substituted into a sparse representation model with gain and phase errors, and then the sparse Bayesian learning method is used to estimate the elevation angle of the incident signal. Finally, according to the relationship of the three angles, the azimuth angle can be estimated. The simulation results show that the proposed method can effectively realize the automatic matching of the azimuth and elevation angles of the incident signal, and improves the accuracy of DOA estimation and angular resolution. Full article
(This article belongs to the Section Electronic Sensors)
Show Figures

Figure 1

22 pages, 6530 KB  
Article
Infant Cry Signal Diagnostic System Using Deep Learning and Fused Features
by Yara Zayed, Ahmad Hasasneh and Chakib Tadj
Diagnostics 2023, 13(12), 2107; https://doi.org/10.3390/diagnostics13122107 - 19 Jun 2023
Cited by 25 | Viewed by 6515
Abstract
Early diagnosis of medical conditions in infants is crucial for ensuring timely and effective treatment. However, infants are unable to verbalize their symptoms, making it difficult for healthcare professionals to accurately diagnose their conditions. Crying is often the only way for infants to [...] Read more.
Early diagnosis of medical conditions in infants is crucial for ensuring timely and effective treatment. However, infants are unable to verbalize their symptoms, making it difficult for healthcare professionals to accurately diagnose their conditions. Crying is often the only way for infants to communicate their needs and discomfort. In this paper, we propose a medical diagnostic system for interpreting infants’ cry audio signals (CAS) using a combination of different audio domain features and deep learning (DL) algorithms. The proposed system utilizes a dataset of labeled audio signals from infants with specific pathologies. The dataset includes two infant pathologies with high mortality rates, neonatal respiratory distress syndrome (RDS), sepsis, and crying. The system employed the harmonic ratio (HR) as a prosodic feature, the Gammatone frequency cepstral coefficients (GFCCs) as a cepstral feature, and image-based features through the spectrogram which are extracted using a convolution neural network (CNN) pretrained model and fused with the other features to benefit multiple domains in improving the classification rate and the accuracy of the model. The different combination of the fused features is then fed into multiple machine learning algorithms including random forest (RF), support vector machine (SVM), and deep neural network (DNN) models. The evaluation of the system using the accuracy, precision, recall, F1-score, confusion matrix, and receiver operating characteristic (ROC) curve, showed promising results for the early diagnosis of medical conditions in infants based on the crying signals only, where the system achieved the highest accuracy of 97.50% using the combination of the spectrogram, HR, and GFCC through the deep learning process. The finding demonstrated the importance of fusing different audio features, especially the spectrogram, through the learning process rather than a simple concatenation and the use of deep learning algorithms in extracting sparsely represented features that can be used later on in the classification problem, which improves the separation between different infants’ pathologies. The results outperformed the published benchmark paper by improving the classification problem to be multiclassification (RDS, sepsis, and healthy), investigating a new type of feature, which is the spectrogram, using a new feature fusion technique, which is fusion, through the learning process using the deep learning model. Full article
(This article belongs to the Section Machine Learning and Artificial Intelligence in Diagnostics)
Show Figures

Figure 1

12 pages, 2790 KB  
Article
Solution Method for Systems of Nonlinear Fractional Differential Equations Using Third Kind Chebyshev Wavelets
by Sadiye Nergis Tural Polat and Arzu Turan Dincel
Axioms 2023, 12(6), 546; https://doi.org/10.3390/axioms12060546 - 31 May 2023
Cited by 12 | Viewed by 1906
Abstract
Chebyshev Wavelets of the third kind are proposed in this study to solve nonlinear systems of FDEs. The main goal of the method is to convert the nonlinear FDE into a nonlinear system of algebraic equations that can be easily solved using matrix [...] Read more.
Chebyshev Wavelets of the third kind are proposed in this study to solve nonlinear systems of FDEs. The main goal of the method is to convert the nonlinear FDE into a nonlinear system of algebraic equations that can be easily solved using matrix methods. In order to achieve this, we first generate the operational matrices for the fractional integration using third kind Chebyshev Wavelets and block-pulse functions (BPF) for function approximation. Since the obtained operational matrices are sparse, the obtained numerical method is fast and computationally efficient. The original nonlinear FDE is transformed into a system of algebraic equations in a vector-matrix form using the obtained operational matrices. The collocation points are then used to solve the system of algebraic equations. Numerical results for various examples and comparisons are presented. Full article
(This article belongs to the Special Issue Advances in Theory and Applications of Chaotic and Nonlinear Dynamics)
Show Figures

Figure 1

13 pages, 1158 KB  
Article
Decoding Algorithms and HW Strategies to Mitigate Uncertainties in a PCM-Based Analog Encoder for Compressed Sensing
by Carmine Paolino, Alessio Antolini, Francesco Zavalloni, Andrea Lico, Eleonora Franchi Scarselli, Mauro Mangia, Alex Marchioni, Fabio Pareschi, Gianluca Setti, Riccardo Rovatti, Mattia Luigi Torres, Marcella Carissimi and Marco Pasotti
J. Low Power Electron. Appl. 2023, 13(1), 17; https://doi.org/10.3390/jlpea13010017 - 13 Feb 2023
Cited by 4 | Viewed by 3325
Abstract
Analog In-Memory computing (AIMC) is a novel paradigm looking for solutions to prevent the unnecessary transfer of data by distributing computation within memory elements. One such operation is matrix-vector multiplication (MVM), a workhorse of many fields ranging from linear regression to Deep Learning. [...] Read more.
Analog In-Memory computing (AIMC) is a novel paradigm looking for solutions to prevent the unnecessary transfer of data by distributing computation within memory elements. One such operation is matrix-vector multiplication (MVM), a workhorse of many fields ranging from linear regression to Deep Learning. The same concept can be readily applied to the encoding stage in Compressed Sensing (CS) systems, where an MVM operation maps input signals into compressed measurements. With a focus on an encoder built on top of a Phase-Change Memory (PCM) AIMC platform, the effects of device non-idealities, namely programming spread and drift over time, are observed in terms of the reconstruction quality obtained for synthetic signals, sparse in the Discrete Cosine Transform (DCT) domain. PCM devices are simulated using statistical models summarizing the properties experimentally observed in an AIMC prototype, designed in a 90 nm STMicroelectronics technology. Different families of decoders are tested, and tradeoffs in terms of encoding energy are analyzed. Furthermore, the benefits of a hardware drift compensation strategy are also observed, highlighting its necessity to prevent the need for a complete reprogramming of the entire analog array. The results show >30 dB average reconstruction quality for mid-range conductances and a suitably selected decoder right after programming. Additionally, the hardware drift compensation strategy enables robust performance even when different drift conditions are tested. Full article
Show Figures

Figure 1

30 pages, 56743 KB  
Article
Fault Diagnosis of Rotating Machinery Based on Two-Stage Compressed Sensing
by Xianglong You, Jiacheng Li, Zhongwei Deng, Kai Zhang and Hang Yuan
Machines 2023, 11(2), 242; https://doi.org/10.3390/machines11020242 - 6 Feb 2023
Cited by 11 | Viewed by 2955
Abstract
Intelligent on-site fault diagnosis and professional vibration analysis are essential for the safety and stability of rotating machinery operation. This paper represents a fault diagnosis scheme based on two-stage compressed sensing for triaxial vibration data, which realizes fault diagnosis for rotating machinery based [...] Read more.
Intelligent on-site fault diagnosis and professional vibration analysis are essential for the safety and stability of rotating machinery operation. This paper represents a fault diagnosis scheme based on two-stage compressed sensing for triaxial vibration data, which realizes fault diagnosis for rotating machinery based on compressed data and data reconstruction for professional vibration analysis. In the 1st stage, the triaxial vibration signals are compressed using a pre-designed hybrid measurement matrix; these compressed data can be used both for time-frequency transform and for vibration data reconstruction. In the 2nd stage, the frequency spectra of the triaxial vibration signals are fused and further compressed using another pre-designed joint measurement matrix, which inhibits the high-frequency noises simultaneously. Finally, the fused spectra are employed as feature vectors in sparse-representation-based classification, where the proposed batch matching pursuit (BMP) algorithm is utilized to calculate the sparse vectors. The two-stage compression scheme and the BMP algorithm minimize the computational cost of on-site fault diagnosis, which is suitable for edge computing platforms. Meanwhile, the compressed vibration data can be reconstructed, which provides evidence for professional vibration analysis. The method proposed in this study is validated by two practical case studies, in which the accuracies are 99.73% and 96.70%, respectively. Full article
Show Figures

Figure 1

26 pages, 1041 KB  
Article
Improving Data Sparsity in Recommender Systems Using Matrix Regeneration with Item Features
by Sang-Min Choi, Dongwoo Lee, Kiyoung Jang, Chihyun Park and Suwon Lee
Mathematics 2023, 11(2), 292; https://doi.org/10.3390/math11020292 - 5 Jan 2023
Cited by 19 | Viewed by 7206
Abstract
With the development of the Web, users spend more time accessing information that they seek. As a result, recommendation systems have emerged to provide users with preferred contents by filtering abundant information, along with providing means of exposing search results to users more [...] Read more.
With the development of the Web, users spend more time accessing information that they seek. As a result, recommendation systems have emerged to provide users with preferred contents by filtering abundant information, along with providing means of exposing search results to users more effectively. These recommendation systems operate based on the user reactions to items or on the various user or item features. It is known that recommendation results based on sparse datasets are less reliable because recommender systems operate according to user responses. Thus, we propose a method to improve the dataset sparsity and increase the accuracy of the prediction results by using item features with user responses. A method based on the content-based filtering concept is proposed to extract category rates from the user–item matrix according to the user preferences and to organize these into vectors. Thereafter, we present a method to filter the user–item matrix using the extracted vectors and to regenerate the input matrix for collaborative filtering (CF). We compare the prediction results of our approach and conventional CF using the mean absolute error and root mean square error. Moreover, we calculate the sparsity of the regenerated matrix and the existing input matrix, and demonstrate that the regenerated matrix is more dense than the existing one. By computing the Jaccard similarity between the item sets in the regenerated and existing matrices, we verify the matrix distinctions. The results of the proposed methods confirm that if the regenerated matrix is used as the CF input, a denser matrix with higher predictive accuracy can be constructed than when using conventional methods. The validity of the proposed method was verified by analyzing the effect of the input matrix composed of high average ratings on the CF prediction performance. The low sparsity and high prediction accuracy of the proposed method are verified by comparisons with the results by conventional methods. Improvements of approximately 16% based on K-nearest neighbor and 15% based on singular value decomposition, and a three times improvement in the sparsity based on regenerated and original matrices are obtained. We propose a matrix reconstruction method that can improve the performance of recommendations. Full article
(This article belongs to the Section E1: Mathematics and Computer Science)
Show Figures

Figure 1

11 pages, 500 KB  
Article
Mapping and Optimization Method of SpMV on Multi-DSP Accelerator
by Sheng Liu, Yasong Cao and Shuwei Sun
Electronics 2022, 11(22), 3699; https://doi.org/10.3390/electronics11223699 - 11 Nov 2022
Cited by 4 | Viewed by 2383
Abstract
Sparse matrix-vector multiplication (SpMV) solves the product of a sparse matrix and dense vector, and the sparseness of a sparse matrix is often more than 90%. Usually, the sparse matrix is compressed to save storage resources, but this causes irregular access to dense [...] Read more.
Sparse matrix-vector multiplication (SpMV) solves the product of a sparse matrix and dense vector, and the sparseness of a sparse matrix is often more than 90%. Usually, the sparse matrix is compressed to save storage resources, but this causes irregular access to dense vectors in the algorithm, which takes a lot of time and degrades the SpMV performance of the system. In this study, we design a dedicated channel in the DMA to implement an indirect memory access process to speed up the SpMV operation. On this basis, we propose six SpMV algorithm schemes and map them to optimize the performance of SpMV. The results show that the M processor’s SpMV performance reached 6.88 GFLOPS. Besides, the average performance of the HPCG benchmark is 2.8 GFLOPS. Full article
(This article belongs to the Special Issue High-Performance Computing and Its Applications)
Show Figures

Figure 1

21 pages, 530 KB  
Article
Sparsity-Based Two-Dimensional DOA Estimation for Co-Prime Planar Array via Enhanced Matrix Completion
by Donghe Liu, Yongbo Zhao and Tingxiao Zhang
Remote Sens. 2022, 14(19), 4690; https://doi.org/10.3390/rs14194690 - 20 Sep 2022
Cited by 8 | Viewed by 2764
Abstract
In this paper, the two-dimensional (2-D) direction-of-arrival (DOA) estimation problem is explored for the sum-difference co-array (SDCA) generated by the virtual aperture expansion of co-prime planar arrays (CPPA). Since the SDCA has holes, this usually causes the maximum virtual aperture of CPPA to [...] Read more.
In this paper, the two-dimensional (2-D) direction-of-arrival (DOA) estimation problem is explored for the sum-difference co-array (SDCA) generated by the virtual aperture expansion of co-prime planar arrays (CPPA). Since the SDCA has holes, this usually causes the maximum virtual aperture of CPPA to be unavailable. To address this issue, we propose a complex-valued, sparse matrix recovery-based 2-D DOA estimation algorithm for CPPA via enhanced matrix completion. First, we extract the difference co-arrays (DCA) from SDCA and construct the co-array interpolation model via nuclear norm minimization to initialize the virtual uniform rectangular array (URA) that does not contain the entire rows and columns of holes. Then, we utilize the shift-invariance structure of the virtual URA to construct the enhanced matrix with a two-fold Hankel structure to fill the remaining empty elements. More importantly, we apply the alternating direction method of the multipliers (ADMM) framework to solve the enhanced matrix completion model. To reduce the computational complexity of the traditional vector-form, sparse recovery algorithm caused by the Kronecker product operation between dictionary matrices, we derive a complex-valued sparse matrix-recovery model based on the fast iterative shrinkage-thresholding (FISTA) method. Finally, simulation results demonstrate the effectiveness of the proposed algorithm. Full article
(This article belongs to the Special Issue Radar High-Speed Target Detection, Tracking, Imaging and Recognition)
Show Figures

Graphical abstract

18 pages, 4375 KB  
Article
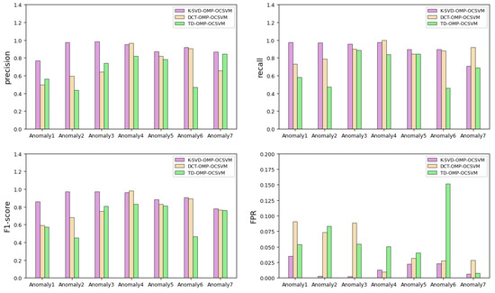
Anomaly Detection in Satellite Telemetry Data Using a Sparse Feature-Based Method
by Jiahui He, Zhijun Cheng and Bo Guo
Sensors 2022, 22(17), 6358; https://doi.org/10.3390/s22176358 - 24 Aug 2022
Cited by 28 | Viewed by 9037
Abstract
Anomaly detection based on telemetry data is a major issue in satellite health monitoring which can identify unusual or unexpected events, helping to avoid serious accidents and ensure the safety and reliability of operations. In recent years, sparse representation techniques have received an [...] Read more.
Anomaly detection based on telemetry data is a major issue in satellite health monitoring which can identify unusual or unexpected events, helping to avoid serious accidents and ensure the safety and reliability of operations. In recent years, sparse representation techniques have received an increasing amount of interest in anomaly detection, although its applications in satellites are still being explored. In this paper, a novel sparse feature-based anomaly detection method (SFAD) is proposed to identify hybrid anomalies in telemetry. First, a telemetry data dictionary and the corresponding sparse matrix are obtained through K-means Singular Value Decomposition (K-SVD) algorithms, then sparse features are defined from the sparse matrix containing the local dynamics and co-occurrence relations in the multivariate telemetry time series. Finally, lower-dimensional sparse features vectors are input to a one-class support vector machine (OCSVM) to detect anomalies in telemetry. Case analysis based on satellite antenna telemetry data shows that the detection precision, F1-score and FPR of the proposed method are improved compared with other existing multivariate anomaly detection methods, illustrating the good effectiveness of this method. Full article
(This article belongs to the Section Remote Sensors)
Show Figures

Figure 1

26 pages, 5375 KB  
Article
AAQAL: A Machine Learning-Based Tool for Performance Optimization of Parallel SPMV Computations Using Block CSR
by Muhammad Ahmed, Sardar Usman, Nehad Ali Shah, M. Usman Ashraf, Ahmed Mohammed Alghamdi, Adel A. Bahadded and Khalid Ali Almarhabi
Appl. Sci. 2022, 12(14), 7073; https://doi.org/10.3390/app12147073 - 13 Jul 2022
Cited by 11 | Viewed by 3586
Abstract
The sparse matrix–vector product (SpMV), considered one of the seven dwarfs (numerical methods of significance), is essential in high-performance real-world scientific and analytical applications requiring solution of large sparse linear equation systems, where SpMV is a key computing operation. As the sparsity patterns [...] Read more.
The sparse matrix–vector product (SpMV), considered one of the seven dwarfs (numerical methods of significance), is essential in high-performance real-world scientific and analytical applications requiring solution of large sparse linear equation systems, where SpMV is a key computing operation. As the sparsity patterns of sparse matrices are unknown before runtime, we used machine learning-based performance optimization of the SpMV kernel by exploiting the structure of the sparse matrices using the Block Compressed Sparse Row (BCSR) storage format. As the structure of sparse matrices varies across application domains, optimizing the block size is important for reducing the overall execution time. Manual allocation of block sizes is error prone and time consuming. Thus, we propose AAQAL, a data-driven, machine learning-based tool that automates the process of data distribution and selection of near-optimal block sizes based on the structure of the matrix. We trained and tested the tool using different machine learning methods—decision tree, random forest, gradient boosting, ridge regressor, and AdaBoost—and nearly 700 real-world matrices from 43 application domains, including computer vision, robotics, and computational fluid dynamics. AAQAL achieved 93.47% of the maximum attainable performance with a substantial difference compared to in practice manual or random selection of block sizes. This is the first attempt at exploiting matrix structure using BCSR, to select optimal block sizes for the SpMV computations using machine learning techniques. Full article
(This article belongs to the Special Issue Applied and Innovative Computational Intelligence Systems)
Show Figures

Figure 1

Back to TopTop