Sign in to use this feature.

Years

Between: -

Subjects

remove_circle_outline
remove_circle_outline
remove_circle_outline
remove_circle_outline
remove_circle_outline
remove_circle_outline
remove_circle_outline
remove_circle_outline
remove_circle_outline

Journals

remove_circle_outline
remove_circle_outline
remove_circle_outline
remove_circle_outline
remove_circle_outline
remove_circle_outline
remove_circle_outline
remove_circle_outline
remove_circle_outline
remove_circle_outline
remove_circle_outline
remove_circle_outline
remove_circle_outline
remove_circle_outline
remove_circle_outline
remove_circle_outline
remove_circle_outline

Article Types

Countries / Regions

remove_circle_outline
remove_circle_outline
remove_circle_outline
remove_circle_outline
remove_circle_outline
remove_circle_outline
remove_circle_outline
remove_circle_outline

Search Results (3,265)

Search Parameters:
Keywords = solar utility

Order results
Result details
Results per page
Select all
Export citation of selected articles as:
19 pages, 2878 KB  
Article
Effect of Mn Rate on Structural, Optical and Electrical Properties in LiCo1−xMnxO2 (x = 0.5; 0.7) Compounds
by Miftah Ali Bin Yazeed, Moufida Krimi, Abdulrahman Alsawi, Mohamed Houcine Dhaou, Abdelfattah Mahmoud and Abdallah Ben Rhaiem
Inorganics 2026, 14(1), 19; https://doi.org/10.3390/inorganics14010019 (registering DOI) - 30 Dec 2025
Abstract
The compounds LiCo1−xMnxO2 (x = 0.5, 0.7) were synthesized via the solid-state method and exhibited crystallization in the cubic spinel structure (space group Fd-3m). UV–Vis spectroscopy reveals strong visible-light absorption and a reduction in the indirect optical band [...] Read more.
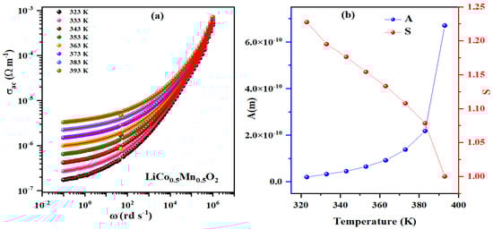
The compounds LiCo1−xMnxO2 (x = 0.5, 0.7) were synthesized via the solid-state method and exhibited crystallization in the cubic spinel structure (space group Fd-3m). UV–Vis spectroscopy reveals strong visible-light absorption and a reduction in the indirect optical band gap from 1.85 eV (x = 0.5) to 1.60 eV (x = 0.7) with increasing Mn content, which is consistent with semiconducting behavior. This narrowing arises from Mn3+/Mn4+ mixed valence, which introduces mid-gap states and enhances Co/Mn 3d–O 2p orbital hybridization within the spinel framework. In contrast, the Urbach energy increases from 0.55 eV to 0.65 eV, indicating greater structural and energetic disorder in the Mn-rich composition which is attributed to the Jahn–Teller distortions and valence heterogeneity associated with Mn3+. Impedance and dielectric modulus analyses confirm two distinct non-Debye relaxation processes related to grains and grain boundaries. AC conductivity is governed by the Correlated Barrier Hopping (CBH) model, with bipolaron hopping identified as the dominant conduction mechanism. The x = 0.7 sample displays significantly enhanced conductivity due to increased Mn3+/Mn4+ mixed valence, lattice expansion, efficient 3D electronic connectivity of the spinel lattice, and reduced interfacial resistance. These findings highlight the potential of these two spinels compounds as narrow-gap semiconductors for optoelectronic applications including visible-light photodetectors, photocatalysts, and solar absorber layers extending their utility beyond conventional battery cathodes. Full article
(This article belongs to the Special Issue Advanced Inorganic Semiconductor Materials, 4th Edition)
Show Figures

Figure 1

23 pages, 535 KB  
Article
Local Adaptive Solar Energy Governance: A Case Study of Lin’an District, China
by Zhe Jin and Jijiang He
Sustainability 2026, 18(1), 356; https://doi.org/10.3390/su18010356 (registering DOI) - 29 Dec 2025
Abstract
This paper examines how county-level government in China formulates and implements solar photovoltaic (PV) policies through an adaptive-governance lens, using Lin’an District (Hangzhou) as a case study. Drawing on multi-level policy document analysis and 30 semi-structured interviews with government officials, developers, grid actors [...] Read more.
This paper examines how county-level government in China formulates and implements solar photovoltaic (PV) policies through an adaptive-governance lens, using Lin’an District (Hangzhou) as a case study. Drawing on multi-level policy document analysis and 30 semi-structured interviews with government officials, developers, grid actors and experts, we identify three stages of local PV development (rooftop diffusion; rapid utility-scale expansion; and market-oriented regulatory adjustment). Key governance innovations include a district PV task force, an industry alliance, and a dual acceptance safety mechanism that together accelerated deployment while managing technical and political risks. We show how adaptive governance operates within an authoritarian, hierarchical system by combining top-down targets with bottom-up development and stakeholder coordination. The findings illuminate practical trade-offs between market liberalization and regulatory control, and provide transferable lessons for other developing countries pursuing decentralized renewable energy transitions. Full article
Show Figures

Figure 1

29 pages, 3214 KB  
Article
Robust Voltage Control in Distribution Networks via CVaR-Based Bayesian Optimization
by Ye-Ning Tian
Electronics 2026, 15(1), 154; https://doi.org/10.3390/electronics15010154 (registering DOI) - 29 Dec 2025
Abstract
The rapid proliferation of distributed solar photovoltaic systems has intensified voltage fluctuations and uncertainty in distribution networks. Traditional Volt/VAR control strategies often struggle with robustness against extreme scenarios and impose high communication overheads. To address these challenges, this paper proposes a Bayesian Evolutionary [...] Read more.
The rapid proliferation of distributed solar photovoltaic systems has intensified voltage fluctuations and uncertainty in distribution networks. Traditional Volt/VAR control strategies often struggle with robustness against extreme scenarios and impose high communication overheads. To address these challenges, this paper proposes a Bayesian Evolutionary Optimization with Conditional Value at Risk (BEO-CVaR) framework for optimizing Volt/VAR control rules. This novel approach integrates Conditional Value at Risk (CVaR) into the objective function to explicitly mitigate tail risks arising from grid uncertainties. Furthermore, it employs Bayesian Evolutionary Optimization (BEO) utilizing Gaussian process surrogate modeling to efficiently solve the computationally expensive, black-box optimization problem. Validation on a standard IEEE test feeder demonstrates that BEO-CVaR achieves superior voltage regulation, strict adherence to safety standards, and significantly reduced communication requirements compared to conventional decentralized strategies. Additionally, the framework’s scalability and robustness are verified through extensive experiments across varying dimensions of decision spaces, confirming its effectiveness in complex multi-inverter coordination scenarios. Full article
Show Figures

Figure 1

43 pages, 5874 KB  
Review
Photocatalytic Degradation of Antibiotics Using Nanomaterials: Mechanisms, Applications, and Future Perspectives
by Jianwei Liu, Hongwei Ruan, Pengfei Duan, Peng Shao, Yang Zhou, Ying Wang, Yudi Chen, Zhiyong Yan and Yang Liu
Nanomaterials 2026, 16(1), 49; https://doi.org/10.3390/nano16010049 (registering DOI) - 29 Dec 2025
Abstract
Widespread antibiotic residues in aquatic environments pose escalating threats to ecological stability and human health, highlighting the urgent demand for effective remediation strategies. In recent years, photocatalytic technology based on advanced nanomaterials has emerged as a sustainable and efficient strategy for antibiotic degradation, [...] Read more.
Widespread antibiotic residues in aquatic environments pose escalating threats to ecological stability and human health, highlighting the urgent demand for effective remediation strategies. In recent years, photocatalytic technology based on advanced nanomaterials has emerged as a sustainable and efficient strategy for antibiotic degradation, enabling the effective utilization of solar energy for environmental remediation. This review provides an in-depth discussion of six representative categories of photocatalytic nanomaterials that have demonstrated remarkable performance in antibiotic degradation, including metal oxide-based systems with defect engineering and hollow architectures, bismuth-based semiconductors with narrow band gaps and heterojunction designs, silver-based plasmonic composites with enhanced light harvesting, metal–organic frameworks (MOFs) featuring tunable porosity and hybrid interfaces, carbon-based materials such as g-C3N4 and biochar that facilitate charge transfer and adsorption, and emerging MXene–semiconductor hybrids exhibiting exceptional conductivity and interfacial activity. The photocatalytic performance of these nanomaterials is compared in terms of degradation efficiency, recyclability, and visible-light response to evaluate their suitability for antibiotic degradation. Beyond parent compound removal, we emphasize transformation products, mineralization, and post-treatment toxicity evolution as critical metrics for assessing true detoxification and environmental risk. In addition, the incorporation of artificial intelligence into photocatalyst design, mechanistic modeling, and process optimization is highlighted as a promising direction for accelerating material innovation and advancing toward scalable, safe, and sustainable photocatalytic applications. Full article
(This article belongs to the Section Energy and Catalysis)
Show Figures

Figure 1

21 pages, 65310 KB  
Article
The Effect of Electromagnetic Pulse Attacks on USB Camera Performance
by Gang Wei, Lei Shu, Wei Lin, Xing Yang, Ru Han, Kailiang Li and Kai Huang
J. Sens. Actuator Netw. 2026, 15(1), 4; https://doi.org/10.3390/jsan15010004 - 29 Dec 2025
Abstract
The camera is a core device for modern surveillance and data collection, widely used in various fields including security, transportation, and healthcare. However, their widespread deployment has proportionally escalated associated security risks. This paper initially examines the current state of research on attack [...] Read more.
The camera is a core device for modern surveillance and data collection, widely used in various fields including security, transportation, and healthcare. However, their widespread deployment has proportionally escalated associated security risks. This paper initially examines the current state of research on attack methods targeting camera systems, providing a comprehensive review of various attack techniques and their security implications. Subsequently, we focus on a specific attack method against universal serial bus (USB) cameras, known as electromagnetic pulse (EMP) attacks, which utilize EMP to prevent the system from detecting the cameras. We simulated EMP attacks using a solar insecticidal lamp (which generates EMP by releasing high-voltage pulses) and a commercially available EMP generator. The performance of the cameras under various conditions was evaluated by adjusting the number of filtering magnetic rings on the USB cable and the distance between the camera and the interference source. The results demonstrate that some USB cameras are vulnerable to EMP attacks. Although EMP attacks might not invariably cause image distortion or permanent damage, their covert nature can lead to false detection of system failures, data security, and system maintenance. Based on these findings, it is recommended to determine the optimal number of shielding rings for cameras or their safe distance from EMP sources through the experimental approach outlined in this study, thereby enhancing the security and resilience of USB camera enabled systems in specific scenarios. Full article
Show Figures

Figure 1

18 pages, 4605 KB  
Article
Modeling of Drought-Induced Crop Yield Loss Based on Solar-Induced Chlorophyll Fluorescence by Machine Learning Methods
by Han Hu, Minxue Zheng, Yue Niu, Qiu Shen, Qinyao Ren and Yanlin You
Atmosphere 2026, 17(1), 42; https://doi.org/10.3390/atmos17010042 - 28 Dec 2025
Abstract
Against the accelerating backdrop of global warming, drought-induced crop yield loss not only causes direct economic losses but may also disrupt the dynamic balance of food production and consumption, ultimately threatening global food security. In order to quantify drought-induced crop yield loss for [...] Read more.
Against the accelerating backdrop of global warming, drought-induced crop yield loss not only causes direct economic losses but may also disrupt the dynamic balance of food production and consumption, ultimately threatening global food security. In order to quantify drought-induced crop yield loss for safeguarding national food security, this study developed a model for evaluating drought-induced yield reduction in winter wheat by integrating solar-induced chlorophyll fluorescence (SIF), vegetation indices (VIs), and meteorological data. The results demonstrated that the following: (1) SIF could effectively capture interannual fluctuations in winter wheat yield and serve as a reliable quantitative indicator of yield variation. (2) Utilizing vegetation data such as SIF and the near-infrared reflectance of vegetation (NIRv), the developed models could directly quantify drought-induced yield losses in winter wheat based on normalized anomalies of vegetation and meteorological variables, without the need for additional auxiliary data or complex computations. Among all variable combinations tested, SIF demonstrated superior performance, yielding the most accurate predictions. (3) Both random forest (RF) and extreme gradient boosting (XGBoost) algorithms had similar performance in evaluating drought-induced yield loss. The results highlighted the advantages of combining the normalized anomaly of multiple sources of data as inputs in stress-induced crop yield loss evaluation, which was helpful for quick monitoring and early warning of the crop yield loss in the major grain production region. Full article
(This article belongs to the Section Biometeorology and Bioclimatology)
35 pages, 7939 KB  
Article
Techno-Enviro-Economic Assessment of Long-Term Strategic Capacity Expansion for Dubai’s Clean Energy Future Using PLEXOS
by Ahmed Yousry and Mutasim Nour
Energies 2026, 19(1), 173; https://doi.org/10.3390/en19010173 - 28 Dec 2025
Viewed by 25
Abstract
With global energy systems shifting toward sustainable solutions, Dubai faces the challenge of meeting rising energy needs while minimizing environmental impacts. This study explores long-term (LT) strategic planning for Dubai’s power sector through a techno-environmental–economic lens. Using PLEXOS® modelling software (Version 9.20.0001) [...] Read more.
With global energy systems shifting toward sustainable solutions, Dubai faces the challenge of meeting rising energy needs while minimizing environmental impacts. This study explores long-term (LT) strategic planning for Dubai’s power sector through a techno-environmental–economic lens. Using PLEXOS® modelling software (Version 9.20.0001) and official data from Dubai’s main utility provider, a comprehensive model examines medium- and LT energy pathways. The analysis identifies solar photovoltaic (PV) technology as central to achieving Dubai’s goal of 100% clean energy by 2050. It also highlights the need to cut emissions from natural gas (NG) infrastructure, targeting a goal of 14.5% retirement of NG energy generation capacities by the mid-century. Achieving zero-emission goals will require complementary technologies such as carbon capture (CC), nuclear energy, and energy storage as part of a broader decarbonization strategy. This study further assesses the economic effects of climate policy, showing that moderate carbon pricing could increase the Levelized Cost of Energy (LCOE) by an average of 6% across the forecast horizon. These findings offer valuable guidance for decision-makers and stakeholders, particularly the Dubai Electricity and Water Authority (DEWA), in advancing a carbon-neutral energy system. By 2050, Dubai’s total installed generation capacity is projected to reach 53.3 GW, reflecting the scale of transformation needed to meet its clean energy ambitions. Full article
(This article belongs to the Special Issue Policy and Economic Analysis of Energy Systems: 2nd Edition)
Show Figures

Figure 1

22 pages, 1376 KB  
Article
Who Gets a Piece of the [Solar] PIE? An Exploratory Analysis of Participation, Inclusivity, and Equity in Halifax, Nova Scotia’s Solar Energy Transition
by Myah Shantz and Chad Walker
Energies 2026, 19(1), 168; https://doi.org/10.3390/en19010168 - 28 Dec 2025
Viewed by 38
Abstract
Solar energy continues to grow rapidly worldwide. Yet in the context of a ‘just transition’, recent research has found stark disparities in adoption across communities and sociodemographic groups. In Canada, where all levels of government have shown support for solar adoption, there is [...] Read more.
Solar energy continues to grow rapidly worldwide. Yet in the context of a ‘just transition’, recent research has found stark disparities in adoption across communities and sociodemographic groups. In Canada, where all levels of government have shown support for solar adoption, there is a clear lack of equity-centered research. For example, we can find no research that assesses the kinds of people that have invested in or developed solar PV. To begin to address this gap, we present the results from a pilot study set in the Halifax Regional Municipality (HRM), Nova Scotia—a municipality that has developed a novel financing support program called Solar City. This exploratory work focuses on analyzing the levels of participation, equity, and barriers experienced among homeowners who have adopted residential rooftop solar—via both Solar City and other non-local programs. After utilizing aerial imagery to locate a sample of solar installations in the HRM (n = 1315), we shared surveys that asked residents for their sociodemographic information as well as the barriers faced in the adoption of solar. We then compared the sociodemographic information to municipal-level characteristics provided by Statistics Canada. We center our analyses around variables such as age, education, gender, and income. Our paper closes with a discussion and conclusion which we hope will inform future research and practice around equitable pathways towards a just solar energy transition—in Halifax and beyond. Full article
(This article belongs to the Special Issue Studies in Renewable Energy Production and Distribution)
29 pages, 5660 KB  
Review
Survey of Polymer Self-Healing Mechanisms in Perovskite Solar Cells
by Hayeon Lee, Zachary Lewis, Lars Christensen, Jianbo Gao and Dawen Li
Polymers 2026, 18(1), 69; https://doi.org/10.3390/polym18010069 - 26 Dec 2025
Viewed by 279
Abstract
Perovskite solar cells (PSCs) have emerged as a rising next-generational photovoltaic technology due to low fabrication costs through solution processing as compared to traditional silicon solar cells and high-power conversion efficiency. However, the poor long-term operational stability due to environmental and mechanical degradation [...] Read more.
Perovskite solar cells (PSCs) have emerged as a rising next-generational photovoltaic technology due to low fabrication costs through solution processing as compared to traditional silicon solar cells and high-power conversion efficiency. However, the poor long-term operational stability due to environmental and mechanical degradation remains a hindrance to commercialization. Herein, self-healing polymer additives are utilized by researchers to enhance the photovoltaic performance of PSCs by enabling self-restorative behavior from physical damage or chemical degradation. This review explores the design and application of self-healing polymers in both flexible and rigid PSCs, contrasting the two main reversible bonding mechanisms: physical bonds, such as hydrogen bonds, and chemical bonds, such as dynamic covalent disulfide bonds. Physical bonds provide passive healing at ambient conditions; meanwhile, chemical bonds offer a stronger restoration under external stimuli such as heat or light. These polymers are exceptionally effective at mitigating mechanical stress and cracks in flexible PSCs and combating moisture-induced degradation in rigid PSCs. The applications of self-healing polymers are categorized based on substrate type, healing mechanism, and perovskite composition, with the benefits and limitations of each approach highlighted. Additionally, the review explores the potential of multifunctional self-healing polymers to passivate defects at the grain boundaries and on surface of perovskite films, thereby enhancing the overall photovoltaic performance. Full article
Show Figures

Figure 1

29 pages, 2033 KB  
Article
Study on the Economic Benefits of Gas–Wind–Solar Power Alliance Under Gas Peaking Mode
by Fuping Wang
Energies 2026, 19(1), 125; https://doi.org/10.3390/en19010125 - 25 Dec 2025
Viewed by 143
Abstract
Accelerating the integration of wind and solar power is essential for achieving China’s “Dual Carbon” goals, but their inherent intermittency poses significant challenges for grid stability and renewable energy utilization. This study addresses these challenges by proposing a comprehensive economic benefit optimization model [...] Read more.
Accelerating the integration of wind and solar power is essential for achieving China’s “Dual Carbon” goals, but their inherent intermittency poses significant challenges for grid stability and renewable energy utilization. This study addresses these challenges by proposing a comprehensive economic benefit optimization model for a combined gas–wind–solar power generation system under a natural gas peaking mode. The model systematically incorporates multidimensional economic indicators—including generation revenue, green certificate revenue, curtailment losses, and carbon emission costs—while accounting for operational constraints and the fluctuating nature of renewables. Simulation results show that the hybrid system achieves a total economic benefit of 9.97 million yuan, with operating costs at 20% of income and curtailment plus carbon penalty costs below 2%. Compared to single-source generation, the hybrid approach reduces wind and solar curtailment by over 90%, and maintains high channel utilization. Sensitivity analysis reveals that lower gas prices and higher green certificate prices significantly enhance both renewable energy integration and economic returns, while balanced output scenarios maximize system benefits. This research provides a quantitative assessment of the economic and environmental outcomes of a gas–wind–solar complementary system, offering practical insights to maximize renewable energy utilization and support China’s low-carbon energy transition. Full article
Show Figures

Figure 1

24 pages, 1377 KB  
Systematic Review
Perception and Challenges of Solar Energy Adoption in the United States: A Systematic Review for Future Directions
by Jiwnath Ghimire, Dorcas Plange-Rhule and Elizabeth Smith
Sustainability 2026, 18(1), 227; https://doi.org/10.3390/su18010227 - 25 Dec 2025
Viewed by 285
Abstract
Despite growing technological and economic viability, the adoption of solar energy in the United States remains low. This research synthesizes 96 peer-reviewed publications from 2000 to 2024 to investigate how public perceptions, user psychology, institutional setups, and socioeconomic contexts shape solar energy adoption [...] Read more.
Despite growing technological and economic viability, the adoption of solar energy in the United States remains low. This research synthesizes 96 peer-reviewed publications from 2000 to 2024 to investigate how public perceptions, user psychology, institutional setups, and socioeconomic contexts shape solar energy adoption decisions in the United States. Drawing on a PRISMA systematic review of publications gathered from Scopus and Web of Science databases, the study reveals that solar adoption is influenced not only by environmental concern and perceived economic benefits but also by institutional trust, social norms, cognitive biases, and demographic characteristics. Key findings highlight that while higher income and education levels enable adoption, marginalized communities face persistent barriers, including institutional distrust, limited awareness, and constrained access to financing. Residential rooftop solar projects receive higher public approval than utility-scale developments, with agrivoltaics systems emerging as a promising middle ground. This review identifies critical gaps in public awareness and institutional credibility, calling for integrated policy responses that combine financial incentives with inclusive engagement strategies. By emphasizing the socio-behavioral dimensions of energy transitions, it offers actionable insights for policymakers, energy planners, and researchers aiming to broaden solar accessibility and equity. It underscores the need for future research on identity-driven adoption behavior, participatory energy planning, and depoliticized communication to bridge the intention-action gap and accelerate the just transition to solar energy. Full article
(This article belongs to the Special Issue Sustainable Energy: Addressing Issues Related to Renewable Energy)
Show Figures

Figure 1

17 pages, 4348 KB  
Article
Assessment and Operational Strategies for Renewable Energy Integration in the Northeast China Power Grid Using Long-Term Sequential Power Balance Simulation
by Xihai Guo, Linsong Ge, Xiangyu Ma and Jianjian Shen
Energies 2026, 19(1), 93; https://doi.org/10.3390/en19010093 - 24 Dec 2025
Viewed by 121
Abstract
The rapid development of renewable energy has highlighted the issue of its accommodation, which has become a critical challenge for power grids with high renewable energy penetration. Accurately assessing a grid’s renewable energy accommodation capability is essential for ensuring power grid operational security, [...] Read more.
The rapid development of renewable energy has highlighted the issue of its accommodation, which has become a critical challenge for power grids with high renewable energy penetration. Accurately assessing a grid’s renewable energy accommodation capability is essential for ensuring power grid operational security, as well as for the rational planning and efficient operation of renewable energy sources and adjustable power resources. This paper adopts a long-term chronological power balance simulation approach, integrating the dynamic balance among multiple types of power sources, loads, and outbound transmission. Dispatch schemes suitable for different types of power sources, including hydropower, thermal power, wind power, solar power, and nuclear power, were designed based on their operational characteristics. Key operational constraints, such as output limits, staged water levels, pumping/generation modes of pumped storage, and nuclear power regulation duration, were considered. A refined analysis model for renewable energy accommodation in regional power grids was constructed, aiming to maximize the total accommodated renewable energy electricity. Using actual data from the Northeast China Power Grid in 2024, the model was validated, showing results largely consistent with actual accommodation conditions. Analysis based on next-year forecast data indicated that the renewable energy utilization rate is expected to decline to 90.6%, with the proportion of curtailment due to insufficient peaking capacity and grid constraints expanding to 8:2. Sensitivity analysis revealed a clear correlation between the renewable energy utilization rate and the scale of newly installed renewable capacity and energy storage. It is recommended to control the expansion of new renewable energy installations while increasing the construction of flexible power sources such as pumped storage and other energy storage technologies. Full article
(This article belongs to the Special Issue Enhancing Renewable Energy Integration with Flexible Power Sources)
Show Figures

Figure 1

29 pages, 2653 KB  
Article
GreenMind: A Scalable DRL Framework for Predictive Dispatch and Load Balancing in Hybrid Renewable Energy Systems
by Ahmed Alwakeel and Mohammed Alwakeel
Systems 2026, 14(1), 12; https://doi.org/10.3390/systems14010012 - 22 Dec 2025
Viewed by 170
Abstract
The increasing deployment of hybrid renewable energy systems has introduced significant challenges in optimal energy dispatch and load balancing due to the intrinsic stochasticity and temporal variability of renewable sources, along with the multi-dimensional optimization requirements of simultaneously achieving economic efficiency, grid stability, [...] Read more.
The increasing deployment of hybrid renewable energy systems has introduced significant challenges in optimal energy dispatch and load balancing due to the intrinsic stochasticity and temporal variability of renewable sources, along with the multi-dimensional optimization requirements of simultaneously achieving economic efficiency, grid stability, and environmental sustainability. This paper presents GreenMind, a scalable Deep Reinforcement Learning framework designed to address these challenges through a hierarchical multi-agent architecture coupled with Long Short-Term Memory (LSTM) networks for predictive energy management. The framework employs specialized agents responsible for generation dispatch, storage management, load balancing, and grid interaction, achieving an average decision accuracy of 94.7% through coordinated decision-making enabled by hierarchical communication mechanisms. The integrated LSTM-based forecasting module delivers high predictive accuracy, achieving a 2.7% Mean Absolute Percentage Error for one-hour-ahead forecasting of solar generation, wind power, and load demand, enabling proactive rather than reactive control. A multi-objective reward formulation effectively balances economic, technical, and environmental objectives, resulting in 18.3% operational cost reduction, 23.7% improvement in energy efficiency, and 31.2% enhancement in load balancing accuracy compared to state-of-the-art baseline methods. Extensive validation using synthetic datasets representing diverse hybrid renewable energy configurations over long operational horizons confirms the practical viability of the framework, with 19.6% average cost reduction, 97.7% system availability, and 28.6% carbon emission reduction. The scalability analysis demonstrates near-linear computational growth, with performance degradation remaining below 9% for systems ranging from residential microgrids to utility-scale installations with 2000 controllable units. Overall, the results demonstrate that GreenMind provides a scalable, robust, and practically deployable solution for predictive energy dispatch and load balancing in hybrid renewable energy systems. Full article
(This article belongs to the Special Issue Technological Innovation Systems and Energy Transitions)
Show Figures

Figure 1

22 pages, 7988 KB  
Article
Utilization of Plastic Waste in Concrete Pavement
by Nancy Sakr and Mohamed AbouZeid
Processes 2026, 14(1), 38; https://doi.org/10.3390/pr14010038 - 22 Dec 2025
Viewed by 175
Abstract
The incorporation of utilized plastic waste into concrete mix designs for precast pavement applications presents a highly efficacious strategy, yielding demonstrably superior mechanical properties. High-density polyethylene (HDPE) is the proposed type of plastic in this study. It demonstrates remarkable performance and durability characteristics. [...] Read more.
The incorporation of utilized plastic waste into concrete mix designs for precast pavement applications presents a highly efficacious strategy, yielding demonstrably superior mechanical properties. High-density polyethylene (HDPE) is the proposed type of plastic in this study. It demonstrates remarkable performance and durability characteristics. The methodology not only significantly curtails landfill waste and incineration but also contributes to a reduction in energy consumption within the concrete sector, thereby establishing itself as a definitive sustainable solution that addresses environmental, economic, and societal imperatives. The optimal incorporation ratio for the recycled plastic within concrete matrices is determined to fall between 10% and 15%, as this range facilitates the attainment of the most desirable material properties. This study specifically focuses on plastic waste and the incorporation of recycled plastic into concrete materials. The emphasis on plastic is due to its material properties, which are particularly well-suited for concrete applications. Experimental tests are conducted on recycled concrete in comparison with the conventional concrete. The results demonstrate high mechanical properties to the recycled concrete. The novelty of this research is the type of plastic used in the concrete mix. Although most of the worldwide applications use Polyethylene Terephthalate (PET), HDPE showed exceeding properties and performance. Two important factors that influence the architectural aspect of construction materials are the heat island effect and the solar reflective index. These factors affect the energy absorption and emissivity rates of construction materials. The embodied carbon in the concrete mix impacts environmental and energy consumption rates, which directly relate to climate change, one of the Sustainable Development Goals (SDGs). Full article
Show Figures

Figure 1

12 pages, 1274 KB  
Article
An Experimentally Benchmarked Optical Study on Absorption Enhancement in Nanostructured a-Si/PbS Quantum Dot Tandem Solar Cells
by Qinqian Jiang and Zeyu Li
Nanomaterials 2026, 16(1), 12; https://doi.org/10.3390/nano16010012 - 21 Dec 2025
Viewed by 253
Abstract
Tandem solar cells offer a promising route to surpass single-junction efficiency limits. The amorphous silicon (a-Si)/lead sulfide quantum dot (PbS QD) configuration is a strong candidate for broadband solar spectrum utilization. Planar devices with this material combination suffer from significant optical losses, making [...] Read more.
Tandem solar cells offer a promising route to surpass single-junction efficiency limits. The amorphous silicon (a-Si)/lead sulfide quantum dot (PbS QD) configuration is a strong candidate for broadband solar spectrum utilization. Planar devices with this material combination suffer from significant optical losses, making advanced light management essential. To address this, we propose a novel experimentally guided nanostructure design. Our proposed method utilizes nanostructures to increase the optical path length by diffracting light to off-normal directions and employs graded-index material stacks to suppress surface reflectance. This work establishes a clear design pathway and provides valuable insights into alternative light management strategies for the future commercialization of these tandem solar cells. Full article
Show Figures

Figure 1

Back to TopTop