Sign in to use this feature.

Years

Between: -

Subjects

remove_circle_outline
remove_circle_outline
remove_circle_outline
remove_circle_outline
remove_circle_outline
remove_circle_outline
remove_circle_outline
remove_circle_outline
remove_circle_outline

Journals

remove_circle_outline
remove_circle_outline
remove_circle_outline
remove_circle_outline
remove_circle_outline
remove_circle_outline

Article Types

Countries / Regions

remove_circle_outline
remove_circle_outline
remove_circle_outline
remove_circle_outline
remove_circle_outline

Search Results (810)

Search Parameters:
Keywords = solar fluid

Order results
Result details
Results per page
Select all
Export citation of selected articles as:
37 pages, 46714 KB  
Review
Parabolic Dish Collectors for Concentrated Solar Power: A Comprehensive Review on Their Subsystems and Overall Integration
by Judit García-Ferrero, Rosa Pilar Merchán Corral, Jesús Alberto Moctezuma-Hernández, David Pérez-Gallego, Simin Anvari, Julian González-Ayala, Antonio Calvo-Hernández, José Miguel Mateos Roco, María Jesús Santos and Alejandro Medina
Energies 2025, 18(24), 6596; https://doi.org/10.3390/en18246596 (registering DOI) - 17 Dec 2025
Abstract
Parabolic dish collectors (PDCs) focus solar radiation onto a small area, minimizing the heat-loss area of the solar receiver and improving the heating of the working fluid. This fluid usually drives a Stirling-like or micro-gas turbine (Brayton-like) power generator. PDCs, initially intended for [...] Read more.
Parabolic dish collectors (PDCs) focus solar radiation onto a small area, minimizing the heat-loss area of the solar receiver and improving the heating of the working fluid. This fluid usually drives a Stirling-like or micro-gas turbine (Brayton-like) power generator. PDCs, initially intended for small-capacity applications, are well-suited for electricity and heat generation in remote rural areas, working alone and/or as parabolic dish arrays. PDCs have received considerable attention among solar thermal collectors due to their high concentration ratios and the high temperatures they achieve. However, nowadays, they are the least developed and least commissioned among concentrated solar power configurations, lacking a well-established technology. This review aims to compile the evolution of research on PDCs over recent years from a global perspective and is mainly focused on the subsystems constituting a PDC plant, their integration, and overall system optimisation, thereby addressing a gap in the current literature. Methodological tools used in the field are comprehensively revised, and recent related projects are summarized. Some innovative and promising applications are also highlighted. Full article
(This article belongs to the Special Issue Solar Energy Conversion and Storage Technologies)
Show Figures

Figure 1

37 pages, 1516 KB  
Review
Organic Rankine Cycle System Review: Thermodynamic Configurations, Working Fluids, and Future Challenges in Low-Temperature Power Generation
by Felix Donate Sánchez, Javier Barba Salvador and Carmen Mata Montes
Energies 2025, 18(24), 6561; https://doi.org/10.3390/en18246561 - 15 Dec 2025
Abstract
In the context of the zero-carbon transition, this article provides a comprehensive review of Organic Rankine Cycle (ORC) technologies for low-grade heat recovery and conversion to power. It surveys a wide range of renewable and waste heat sources—including geothermal, solar thermal, biomass, internal [...] Read more.
In the context of the zero-carbon transition, this article provides a comprehensive review of Organic Rankine Cycle (ORC) technologies for low-grade heat recovery and conversion to power. It surveys a wide range of renewable and waste heat sources—including geothermal, solar thermal, biomass, internal combustion engine exhaust, and industrial process heat—and discusses the integration of ORC systems to enhance energy recovery and thermal efficiency. The analysis examines various configurations, from basic and regenerative cycles to advanced transcritical and supercritical designs, cascaded systems, and multi-source integration, evaluating their thermodynamic performance for different heat source profiles. A critical focus is placed on working fluid selection, where the landscape is being reshaped by stringent regulatory frameworks such as the EU F-Gas regulation, driving a shift towards low-GWP hydrofluoroolefins, natural refrigerants, and tailored zeotropic mixtures. The review benchmarks ORC against competing technologies such as the Kalina cycle, Stirling engines, and thermoelectric generators, highlighting relative performance characteristics. Furthermore, it identifies key trends, including the move beyond single-source applications toward integrated hybrid systems and the use of multi-objective optimization to balance thermodynamic, economic, and environmental criteria, despite persistent challenges related to computational cost and real-time control. Key findings confirm that ORC systems significantly improve low-grade heat utilization and overall thermal efficiency, positioning them as vital components for integrated zero-carbon power plants. The study concludes that synergistically optimizing ORC design, refrigerant choice in line with regulations, and system integration strategies is crucial for maximizing energy recovery and supporting the broader zero-carbon energy transition. Full article
(This article belongs to the Section J: Thermal Management)
Show Figures

Figure 1

17 pages, 2672 KB  
Communication
CFD and Thermal Simulations of Molten Salt Thermal Storage Heat Exchanger System
by Alon Davidy
Energy Storage Appl. 2025, 2(4), 17; https://doi.org/10.3390/esa2040017 - 9 Dec 2025
Viewed by 201
Abstract
Molten salt heat exchangers are crucial components in systems requiring high-temperature heat transfer and energy storage, especially in renewable energy and advanced nuclear technologies. Their ability to operate efficiently at high temperatures while offering significant energy storage capacity makes them highly valuable in [...] Read more.
Molten salt heat exchangers are crucial components in systems requiring high-temperature heat transfer and energy storage, especially in renewable energy and advanced nuclear technologies. Their ability to operate efficiently at high temperatures while offering significant energy storage capacity makes them highly valuable in modern energy systems. They have high thermal stability. In the framework of this research, a computational fluid dynamics (CFD) simulation model of the HITEC molten salt cooling system has been developed. HITEC molten salt is a specialized heat transfer and thermal energy storage medium primarily used in industrial processes and solar thermal power plants. It is a eutectic blend of sodium nitrate, sodium nitrite, and potassium nitrate. COMSOL multi-physics code has been employed in this research. It simultaneously solves the fluid flow, energy, and heat conduction transport equations. Two cases have been investigated in this paper: a water flowing velocity of 1 [m/s] and a water flowing velocity of 10 [m/s]. The results indicate that the maximal surface temperature of the Crofer®22 H reached 441.2 °C in the first case. The maximal surface temperature of the Crofer®22 H reached 500 °C in the second case. Crofer®22 H alloy provides excellent steam oxidation, high corrosion resistance, and thermal creep resistance. The proposed HITEC molten thermal system may be applied in the oil and gas industries and in power plants (such as the Organic Rankine Cycle). Full article
Show Figures

Figure 1

22 pages, 4416 KB  
Article
A Numerical Case Study on the Design of a Multi-Porosity Heat Exchanger for VRF Air Conditioning Applications
by Hela Guesmi and Hacen Dhahri
Processes 2025, 13(12), 3892; https://doi.org/10.3390/pr13123892 - 2 Dec 2025
Viewed by 215
Abstract
This study proposes a novel multi-porous heat exchanger (MPHEX) as a passive, sustainable alternative to variable refrigerant flow (VRF) air conditioning systems, addressing the growing environmental burden of cooling demand. Through high-fidelity Lattice Boltzmann Method simulations of coupled heat and fluid transport, the [...] Read more.
This study proposes a novel multi-porous heat exchanger (MPHEX) as a passive, sustainable alternative to variable refrigerant flow (VRF) air conditioning systems, addressing the growing environmental burden of cooling demand. Through high-fidelity Lattice Boltzmann Method simulations of coupled heat and fluid transport, the MPHEX design is optimized to minimize exergy destruction. A case study for Tunisian conditions demonstrates that permeability optimization, when combined with solar-assisted preheating, reduces total exergy destruction by over 60% and increases the coefficient of performance (COP) by up to 20%, all while eliminating active mechanical regulation. The numerical results confirm strong experimental feasibility, positioning the MPHEX as a scalable, low-energy, and low-maintenance cooling solution for sun-rich regions. Full article
Show Figures

Figure 1

21 pages, 2428 KB  
Article
A Performance and Environmental Impact Study on a Combined Cycle Power Plant with a Bottoming ORC Unit
by Dan-Teodor Bălănescu, Vlad-Mario Homutescu and Marius-Vasile Atanasiu
Clean Technol. 2025, 7(4), 106; https://doi.org/10.3390/cleantechnol7040106 - 1 Dec 2025
Viewed by 334
Abstract
The depletion of fossil fuel reserves and the pollution produced by fuel combustion are major concerns in the energy generation sector. Due to this, waste heat recovery has become a stringent objective in this domain. The current study pursues this objective with regard [...] Read more.
The depletion of fossil fuel reserves and the pollution produced by fuel combustion are major concerns in the energy generation sector. Due to this, waste heat recovery has become a stringent objective in this domain. The current study pursues this objective with regard to gas–steam combined cycle power plants, which are currently viewed as the most advanced technology in fossil fuel power generation. The proposed solution for waste heat recovery is to add an organic Rankine cycle (ORC) power system to the gas–steam combined cycle power plant with a Solar Centaur 40 gas turbine, produced by Solar Turbines, a Caterpillar Company (San Diego, CA, USA). The ORC power system is placed along the path of the flue gas, downstream of the heat recovery steam generator of the combined cycle power plant. R1336mzz (Z), R1233zd (E), and R601a were investigated as working fluids. The performance of the ORC system was analyzed as a function of the degree of superheat. The superheating process was proven to be disadvantageous since it led to performance deterioration. The numerical study showed that the overall efficiency of the combined cycle power plant increased up to 0.014 (1.4%) as a consequence of adding the ORC system, which itself achieves a maximum efficiency of 0.133 (13.3%). The annual fuel (natural gas) savings achievable under these conditions were roughly estimated at 398,185 Nm3/year, equating to annual fuel cost savings of approximately 269,000 EUR/year and an 810 t/year reduction in CO2 emissions. Full article
Show Figures

Figure 1

19 pages, 3433 KB  
Article
A Novel Dynamic Ampacity Assessment Method for Direct Burial Cables Based on an Electro-Thermal-Fluid Multiphysics Coupling Model
by Wenlong Zhang and Ziwei Ma
Energies 2025, 18(23), 6271; https://doi.org/10.3390/en18236271 - 28 Nov 2025
Viewed by 209
Abstract
Traditional ampacity evaluation methods for direct burial cables, like the correction factor method and the IEC 60287 analytical method, suffer from large calculation errors when dealing with complex installation environments. This paper investigated the influence of multiple environmental factors and proximity effects on [...] Read more.
Traditional ampacity evaluation methods for direct burial cables, like the correction factor method and the IEC 60287 analytical method, suffer from large calculation errors when dealing with complex installation environments. This paper investigated the influence of multiple environmental factors and proximity effects on the ampacity of 35 kV YJLV22-26/35 3 × 400 mm2 direct burial cables using an electro-thermal-fluid coupling FEM model. The results indicate that when accounting for surface temperature and burial depth, the correction factor method may overestimate ampacity by up to 7%, while the analytical method may underestimate it by up to 24%. When soil thermal resistance variations are considered, the correction factor method could overestimate ampacity by 14%, whereas the analytical method may underestimate it by 10%. Due to neglecting solar radiation and air convection effects, these two methods can introduce calculation errors of 23% and 34%, respectively. The ampacity of multi-circuit parallel configurations increases with greater circuit spacing. Based on FEM simulation results, a new dynamic ampacity evaluation method has been proposed that comprehensively considers multiple environmental variables including ambient temperature, burial depth, soil thermal resistivity, solar radiation intensity, wind speed, the number of parallel circuits, and circuit spacing. This method can be directly applied to guide engineering design. Full article
Show Figures

Figure 1

32 pages, 14943 KB  
Article
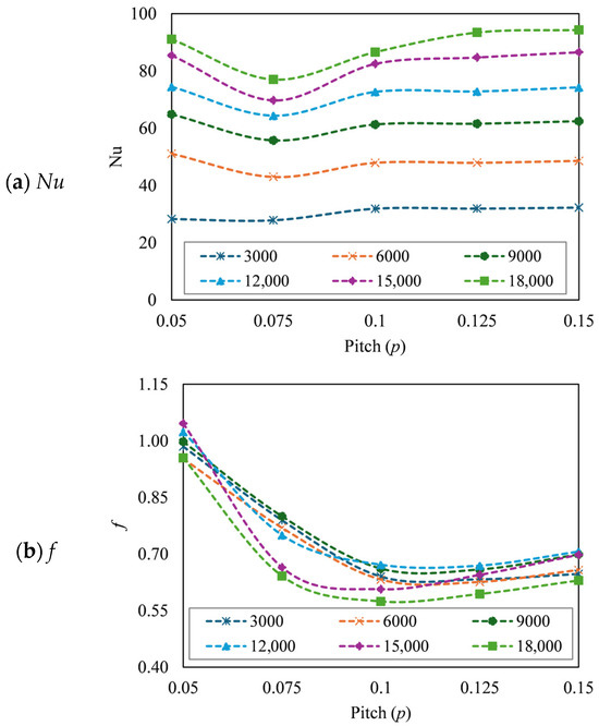
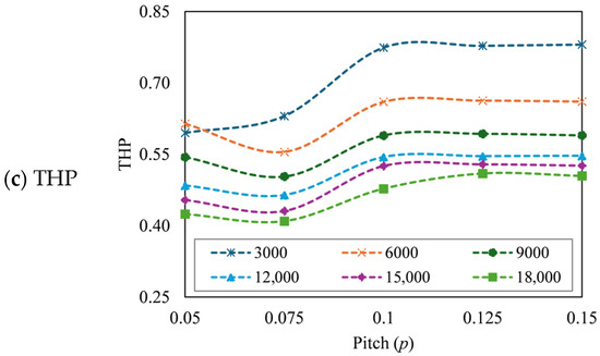
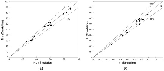
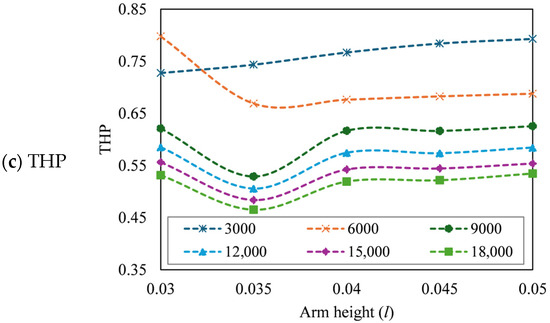
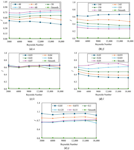
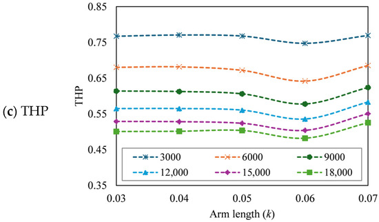
Effect of Subducting Baffle Structure in Solar Air Heaters: A CFD Insight into Thermo-Hydraulic Performance
by Beno Wincy Winsly, Prince Abraham Benjamin, Murugan Paradesi Chockalingam, Joseph Sekhar Santhappan, Rajendran Prabakaran and Sung Chul Kim
Energies 2025, 18(23), 6223; https://doi.org/10.3390/en18236223 - 27 Nov 2025
Viewed by 206
Abstract
Numerical analysis is an economically viable method for improving the performance of a thermal system without many trials. The numerical analysis reported in this paper serves to clarify the extent to which a newly designed subducting baffling structure impacts the performance of a [...] Read more.
Numerical analysis is an economically viable method for improving the performance of a thermal system without many trials. The numerical analysis reported in this paper serves to clarify the extent to which a newly designed subducting baffling structure impacts the performance of a solar air heater (SAH). The performance of different baffle shapes is evaluated through a two-dimensional Computational Fluid Dynamics (CFD) simulation in terms of the thermal (Nu), hydraulic (f), and thermo-hydraulic (THP) performances of the SAH. Moreover, the study is performed with different Reynolds numbers (Re) varying from 3000 to 18,000. The study investigates the parameters arm length (k), arm height (l), pitch (p), pitch angle (α), and arm angle (β) within the ranges of 40–60°, 140–160°, 0.03–0.07 m, 0.03–0.05 m, and 0.05–0.15 m, respectively. The results demonstrate that the assistance of a subducting baffle structure is more effective than a smooth arrangement. The SAH shows a maximum Nu and f of 101.23 and 0.97, respectively. The system with the best performance has revealed the highest THP of 0.798. The greatest intensification of heat transfer (Nu/Nus) and friction loss (f/fs) are 2.58 and 87.76, respectively. Full article
(This article belongs to the Section A: Sustainable Energy)
Show Figures

Figure 1

26 pages, 8885 KB  
Article
Wind-Induced Stability Identification and Safety Grade Catastrophe Evaluation of a Dish Concentrating Solar Thermal Power System
by Hongyan Zuo, Yuhao Su, Jingwei Liang, Guohai Jia, Mang Chen, Duzhong Nie and Jiaqiang E
Energies 2025, 18(23), 6088; https://doi.org/10.3390/en18236088 - 21 Nov 2025
Viewed by 203
Abstract
To avoid the problem of wind-induced resonance damage in a dish concentrating solar thermal power system (DCSTPS), a fluid dynamics model and a finite element analysis model of the DCSTPS were established separately. The wind load was mapped onto the surface of the [...] Read more.
To avoid the problem of wind-induced resonance damage in a dish concentrating solar thermal power system (DCSTPS), a fluid dynamics model and a finite element analysis model of the DCSTPS were established separately. The wind load was mapped onto the surface of the concentrator of the DCSTPS using the sequential coupling method, and the static analysis and modal analysis of the DCSTPS were established based on the fluid–structure coupling (FSC) method and the validity of the established model was verified. Based on the results, it can be concluded that the upper edge of the dish solar concentrator (DSC) of the DCSTPS and the three cantilever beams near the Stirling generator are the most vulnerable to being damaged, the DCSTPS will not experience strong resonance phenomena, and effects of the FSC will decrease the natural frequencies of each order. The results of the safety grade catastrophe evaluation of the DCSTPS showed that the safety grade of the DCSTPS was 0.2586 and 0.2819 under case 1 (α = 30°, β = 90°) and case 2 (α = 60°, β = 90°), where it was found that the membership value of the moment load was low, resulting in the stress on the connection seat of the altitude angle and the steering device of the base approaching the allowable stress of the material. Full article
(This article belongs to the Special Issue Solar Energy Utilization Toward Sustainable Urban Futures)
Show Figures

Figure 1

21 pages, 18140 KB  
Article
Effect of Formation Flight on Flight Endurance Performance of Solar-Powered UAV
by Cili Qiang and Zhijin Wang
Symmetry 2025, 17(11), 1997; https://doi.org/10.3390/sym17111997 - 18 Nov 2025
Viewed by 256
Abstract
Traditional solar-powered unmanned aerial vehicles (SUAVs) universally adopt ultra-high aspect ratio designs to enhance aerodynamic efficiency, which unfortunately leads to significant issues such as reduced structural reliability and poor resistance to atmospheric disturbances. In contrast, SUAVs with low aspect ratios suffer from inferior [...] Read more.
Traditional solar-powered unmanned aerial vehicles (SUAVs) universally adopt ultra-high aspect ratio designs to enhance aerodynamic efficiency, which unfortunately leads to significant issues such as reduced structural reliability and poor resistance to atmospheric disturbances. In contrast, SUAVs with low aspect ratios suffer from inferior aerodynamic efficiency, making it challenging to achieve long-endurance flight. This study addresses the endurance performance of low-aspect-ratio SUAVs by proposing and demonstrating a formation flight strategy to improve their cruise efficiency. To investigate the endurance characteristics of SUAVs, an energy model was established, encompassing solar cell power generation, battery energy storage, avionics, and propulsion systems. Computational fluid dynamics (CFD) simulations and surrogate modeling techniques were employed to develop a proxy model correlating formation parameters with lift and drag characteristics. Using this surrogate model, the formation parameters were optimized to minimize cruise power consumption. Energy simulations were subsequently conducted for both solo and formation flight scenarios. The results indicate that the optimized formation configuration achieved a 15% increase in maximum lift-to-drag ratio. Energy simulation results indicate that the endurance performance of SUAVs under formation flight is enhanced by 92.7%, 43.3%, and 18.8% at latitudes of 45° N, 50° N, and 60° N, respectively. These findings confirm the feasibility of using formation flight to enable sustained operation for small SUAVs. Full article
(This article belongs to the Special Issue Symmetry and Asymmetry in Dynamics and Control of Biomimetic Robots)
Show Figures

Figure 1

32 pages, 14094 KB  
Article
A Framework for Optimizing Biomimetic Opaque Ventilated Façades Using CFD and Machine Learning
by Ahmed Alyahya, Simon Lannon and Wassim Jabi
Buildings 2025, 15(22), 4130; https://doi.org/10.3390/buildings15224130 - 17 Nov 2025
Viewed by 445
Abstract
This paper addresses the challenge of improving the thermal performance of building envelopes in hot arid climates by identifying optimal configurations for biomimetic opaque ventilated façade (OVF) designs. To overcome the complexity of parameter interactions in such systems, a multi-objective optimization framework is [...] Read more.
This paper addresses the challenge of improving the thermal performance of building envelopes in hot arid climates by identifying optimal configurations for biomimetic opaque ventilated façade (OVF) designs. To overcome the complexity of parameter interactions in such systems, a multi-objective optimization framework is developed using computational fluid dynamics (CFD) simulations integrated with parametric modeling and machine learning surrogate models. A central contribution of this research is the application of machine learning-based surrogate models to predict CFD simulation outcomes with high accuracy. This predictive capability enables the rapid generation and evaluation of thousands of façade design alternatives without the need for full-scale CFD runs, significantly reducing computational effort and time. The proposed workflow establishes a direct connection between parameterized biomimetic geometries and thermal performance indicators, allowing for a comprehensive exploration of the design space through automated optimization. The optimization process relies on response surface modeling to approximate system behavior and evaluate design performance across multiple objectives. The final results reveal that the computationally optimized biomimetic façades achieved superior thermal performance compared to the initial bio-inspired design. To validate and extend the findings, additional simulations were carried out to evaluate the performance of selected designs under varying wind conditions and solar exposures. The larger wide mound configuration consistently performed best, offering a strong balance across the defined objectives. This solution was then applied to three-floor and five-floor commercial buildings in Riyadh, Saudi Arabia, where it showed a clear reduction in the average inner skin surface temperature of the OVF. The design proved suitable for construction with conventional methods and could be integrated into a range of architectural styles without major changes to the façade. These results reinforce the potential of combining biomimetic design strategies with computational optimization to develop high-performance façade systems for hot desert climates. The novelty of this work lies in combining biomimetic design principles with machine learning-driven optimization to systematically explore the design space and identify configurations that balance thermal efficiency with material economy. Full article
(This article belongs to the Section Building Energy, Physics, Environment, and Systems)
Show Figures

Figure 1

18 pages, 3660 KB  
Article
Study on the Effect of a Splitter-Blade Runner on the Flexibility Improvement of Existing Francis Turbine Units
by Chi Lu, Heng Zhang, Zhengwei Wang, Yijing Lv and Baig Mirza Umar
Energies 2025, 18(22), 5978; https://doi.org/10.3390/en18225978 - 14 Nov 2025
Viewed by 317
Abstract
The transition toward renewable-dominated power systems is increasingly constrained by the shortage of flexible regulation resources. Hydropower, with its rapid response and strong load-adjustment capability, remains a cornerstone for enabling large-scale integration of intermittent wind and solar energy. Splitter-blade runners are widely employed [...] Read more.
The transition toward renewable-dominated power systems is increasingly constrained by the shortage of flexible regulation resources. Hydropower, with its rapid response and strong load-adjustment capability, remains a cornerstone for enabling large-scale integration of intermittent wind and solar energy. Splitter-blade runners are widely employed in medium- and high-head conventional hydropower plants and pumped-storage stations due to their broad high-efficiency operating range and superior stability. In this study, based on a runner replacement project at an existing hydropower station, refined computational fluid dynamics (CFD) simulations were carried out to design a splitter-blade runner under strict dimensional constraints. The optimized runner expanded the unit’s stable operating range from 50–100% to 0–100% rated power, while also improving overall efficiency and reducing pressure pulsations. The optimized splitter-blade runner improved efficiency by 1–2%, reduced pressure pulsations in the draft tube by ≈25%, and decreased the runner radial force by ≈12% compared with the baseline configuration. Importantly, this work demonstrates for the first time that splitter-blade runners can be successfully applied at head ranges below 100 m, thereby extending their applicability beyond traditional limits. The results provide both theoretical and practical guidance for flexibility retrofits of existing Francis turbine units in China, offering a feasible pathway to support the adaptability of future renewable energy systems. Full article
Show Figures

Figure 1

24 pages, 5647 KB  
Article
Thermal Performance Assessment of Heat Storage Unit by Investigating Different Fins Configurations
by Atif Shazad, Maaz Akhtar, Ahmad Hussain, Naser Alsaleh and Barun Haldar
Energies 2025, 18(22), 5920; https://doi.org/10.3390/en18225920 - 10 Nov 2025
Viewed by 391
Abstract
Energy shortage is a significant global concern due to the heavy reliance of industrial and residential sectors on energy. As fossil fuels diminish, there is a pressing shift towards alternative energy sources such as solar and wind. However, the intermittent nature of these [...] Read more.
Energy shortage is a significant global concern due to the heavy reliance of industrial and residential sectors on energy. As fossil fuels diminish, there is a pressing shift towards alternative energy sources such as solar and wind. However, the intermittent nature of these renewable resources, such as the absence of solar energy at night, necessitates robust energy storage solutions. This study focuses on enhancing the performance of a thermal storage unit by employing multiple fin configuration with solar salt (NaNO3-KNO3) as a phase change material (PCM) and Duratherm 630 as a heat transfer fluid (HTF). Notably, W-shaped and trapezoidal fins achieved reductions in melting time from 162 min to 84 min and 97 min, respectively, while rectangular fins were the least effective, albeit still reducing melting time to 143 min. Reduction in thermal gradients due to well-developed thermal mixing significantly reduced phase transition duration. Impact of fins geometries on localized vortexes generation within the unit was identified. W-shaped and trapezoidal fins were notably efficacious because of greater heat transfer area and better heat distribution through conduction and convection. Full article
(This article belongs to the Section A: Sustainable Energy)
Show Figures

Figure 1

30 pages, 9730 KB  
Review
Urban Wind as a Pathway to Positive Energy Districts
by Krzysztof Sornek, Anna Herzyk, Maksymilian Homa, Flaviu Mihai Frigura-Iliasa and Mihaela Frigura-Iliasa
Energies 2025, 18(22), 5897; https://doi.org/10.3390/en18225897 - 9 Nov 2025
Viewed by 742
Abstract
The increasing demand for decarbonized urban environments has intensified interest in integrating renewable energy systems within cities. This review investigates the potential of urban wind energy as a promising technology in the development of Positive Energy Districts, supporting the transition toward climate-neutral urban [...] Read more.
The increasing demand for decarbonized urban environments has intensified interest in integrating renewable energy systems within cities. This review investigates the potential of urban wind energy as a promising technology in the development of Positive Energy Districts, supporting the transition toward climate-neutral urban areas. A systematic analysis of recent literature is presented, covering methodologies for urban wind resource assessment, including Geographic Information Systems (GIS)-based mapping, wind tunnel experiments, and Computational Fluid Dynamics simulations. The study also reviews available small-scale wind technologies, with emphasis on building-integrated wind turbines, and evaluates their contribution to local energy self-sufficiency. The integration of urban wind systems with energy storage, Power-to-Heat solutions, and smart district networks is discussed within the PED framework. Despite technical, economic, and social challenges, such as low wind speeds, turbulence, and public acceptance, urban wind energy offers temporal complementarity to solar power and can enhance district-level energy resilience. The review identifies key technological and methodological gaps and proposes strategic directions for optimizing urban wind deployment in future sustainable city planning. Full article
(This article belongs to the Special Issue Advances in Power System and Green Energy)
Show Figures

Figure 1

18 pages, 4181 KB  
Article
Numerical Investigation of a New Segmented Annular Ring Tube for Heat Transfer Enhancement in Solar Water Heating Systems
by Mohamed Said Kahaleras, Sabbah Ataya, Lina Chouichi, Yacine Karmi, Omar Reffas, Issam Bousba, Abdessalam Otmani and Haithem Boumediri
Energies 2025, 18(21), 5831; https://doi.org/10.3390/en18215831 - 5 Nov 2025
Viewed by 340
Abstract
This study presents a numerical investigation of a parabolic trough absorber tube equipped with a novel Angularly Segmented Ring Turbulator (ASRT), designed to enhance heat transfer through periodic flow disturbance and improved wall–fluid interaction. The proposed ASRT geometry consists of segmented annular rings [...] Read more.
This study presents a numerical investigation of a parabolic trough absorber tube equipped with a novel Angularly Segmented Ring Turbulator (ASRT), designed to enhance heat transfer through periodic flow disturbance and improved wall–fluid interaction. The proposed ASRT geometry consists of segmented annular rings arranged along the tube length, characterized by two key parameters: the number of angular segments per ring (Nr = 4, 6, 8) and the angular spacing of each segment (α = 20° and 40°). Three dimensional simulations were performed using the finite volume method under turbulent flow conditions, with Reynolds numbers ranging from 3300 to 11,000. A non-uniform solar heat flux, obtained via Monte Carlo Ray Tracing (MCRT), was applied as a boundary condition at the outer wall to replicate realistic solar concentration. The results reveal that the ASRT significantly improves convective heat transfer, with the Nusselt number ratio Nu/Nus reaching up to 3.7 for α = 20° and Nr = 8. This enhancement is accompanied by a moderate rise in the friction factor ratio f/fs, reaching approximately 7.5 at Re = 3300, indicating efficient turbulence promotion with acceptable hydraulic penalties. The Performance Evaluation Criterion (PEC) ranges from 1.7 to 1.9, confirming the superiority of ASRT over the smooth tube. Full article
Show Figures

Figure 1

17 pages, 6089 KB  
Article
Numerical Simulation Analysis of the Temperature Field of Molten Salt Linear Fresnel Collector
by Linggang Kong, Yuan Niu, Duojin Fan, Minsen Shi and Ziyi Zheng
Energies 2025, 18(21), 5815; https://doi.org/10.3390/en18215815 - 4 Nov 2025
Viewed by 379
Abstract
A complex operating environment and high operating temperature lead to the uneven temperature field distribution of key components of the molten salt Linear Fresnel collector in a way that compromises the collector’s safety and stability. To investigate the influence of different working conditions [...] Read more.
A complex operating environment and high operating temperature lead to the uneven temperature field distribution of key components of the molten salt Linear Fresnel collector in a way that compromises the collector’s safety and stability. To investigate the influence of different working conditions on the temperature field of the molten salt Linear Fresnel collector under multi-physical field conditions, this study develops a three-dimensional numerical model based on ANSYS that integrates the loading of solar radiation and thermal–fluid coupling, compares and verifies the accuracy of the model through the collector field data of the actual operation, and systematically analyzes the distribution characteristics of the receiver tube and outlet temperature field and its rule of change. The results show that temperatures of the receiver tube and exit during operation exhibit pronounced non-uniform distribution characteristics, in which the inlet flow rate of the molten salt and intensity of solar irradiation have the most critical influence on the temperature distribution throughout the receiver tube and its exit, and the heat transfer temperature difference between the molten salt and heat conduit wall is reduced as the inlet temperature raises, which makes the receiver tube and molten salt outlet temperature gradient slightly reduced. This study not only supplements and improves the numerical simulation study of the molten salt Linear Fresnel collector under complex working conditions but also reveals the distribution law of the temperature field between the receiver tube and the outlet, which provides adequate numerical support for the safe and stable operation of the collector. Full article
Show Figures

Figure 1

Back to TopTop