Sign in to use this feature.

Years

Between: -

Subjects

remove_circle_outline
remove_circle_outline
remove_circle_outline
remove_circle_outline
remove_circle_outline
remove_circle_outline
remove_circle_outline
remove_circle_outline
remove_circle_outline

Journals

remove_circle_outline
remove_circle_outline
remove_circle_outline
remove_circle_outline
remove_circle_outline
remove_circle_outline

Article Types

Countries / Regions

remove_circle_outline
remove_circle_outline
remove_circle_outline
remove_circle_outline
remove_circle_outline

Search Results (1,414)

Search Parameters:
Keywords = soil temperature conductivity

Order results
Result details
Results per page
Select all
Export citation of selected articles as:
19 pages, 3954 KB  
Article
Characteristics of Long-Term Soil Respiration Variability in a Temperate Deciduous Broadleaf Forest
by Minyoung Lee, Dongmin Seo, Jeongsoo Park, Hoyeon Won and Jaeseok Lee
Forests 2025, 16(11), 1720; https://doi.org/10.3390/f16111720 (registering DOI) - 12 Nov 2025
Abstract
As climate change accelerates, environmental factors are expected to fluctuate as well. To gain insight into soil respiration (Rs) dynamics, it is essential to conduct long-term measurements of Rs alongside environmental variations. To this end, we examined Rs associated with environmental variables from [...] Read more.
As climate change accelerates, environmental factors are expected to fluctuate as well. To gain insight into soil respiration (Rs) dynamics, it is essential to conduct long-term measurements of Rs alongside environmental variations. To this end, we examined Rs associated with environmental variables from 2018 to 2024 at a site located on Mt. Jeombong, which is situated in a temperate deciduous broadleaf forest. The interannual variation in Rs was not explained by soil temperature but was primarily associated with rainfall regimes. The mean Rs for April–November was substantially different during the study period and was strongly correlated with cumulative rainfall at all measurement points (R2 = 0.68–0.94). These variations were largely attributed to changes in autotrophic respiration (Ra). Furthermore, Rs differed significantly between nearby measurement points (p < 0.05), despite their proximity within a 100 m by 100 m plot, apparently reflecting point-level differences in responses of Rs to environmental drivers that were likely modulated by uneven litter accumulation. Overall, at our site located in temperate deciduous forests, Rs primarily fluctuates as a result of rainfall variation, and Rs variations are strongly influenced by the heterogeneity in the litter deposition. Full article
(This article belongs to the Special Issue The Role of Forests in Carbon Cycles, Sequestration, and Storage)
Show Figures

Figure 1

32 pages, 11093 KB  
Article
picoSMMS: Development and Validation of a Low-Cost and Open-Source Soil Moisture Monitoring Station
by Veethahavya Kootanoor Sheshadrivasan, Jakub Langhammer, Lena Scheiffele, Jakob Terschlüsen and Till Francke
Sensors 2025, 25(22), 6907; https://doi.org/10.3390/s25226907 (registering DOI) - 12 Nov 2025
Abstract
Soil moisture exhibits high spatio-temporal variability that necessitates dense monitoring networks, yet the cost of commercial sensors often limits widespread deployment. Despite the mass production of low-cost capacitive soil moisture sensors driven by IoT applications, significant gaps remain in their robust characterisation and [...] Read more.
Soil moisture exhibits high spatio-temporal variability that necessitates dense monitoring networks, yet the cost of commercial sensors often limits widespread deployment. Despite the mass production of low-cost capacitive soil moisture sensors driven by IoT applications, significant gaps remain in their robust characterisation and in the availability of open-source, reproducible monitoring systems. This study pursues two primary objectives: (1) to develop an open-source, low-cost, off-grid soil moisture monitoring station (picoSMMS) and (2) to conduct a sensor-unit-specific calibration of a popular low-cost capacitive soil moisture sensor (LCSMS; DFRobot SEN0193) by relating its raw output to bulk static relative dielectric permittivity (ϵs), with the additional aim of transferring technological gains from consumer electronics to hydrological monitoring while fostering community-driven improvements. The picoSMMS was built using readily available consumer electronics and programmed in MicroPython. Laboratory calibration followed standardised protocols using reference media spanning permittivities from 1.0 (air) to approximately 80.0 (water) under non-conducting, non-relaxing conditions at 25 ± 1 °C with temperature-dependency characterisation. Models were developed relating the sensor’s output and temperature to ϵs. Within the target permittivity range (2.5–35.5), the LCSMS achieved a mean absolute error of 1.29 ± 1.07, corresponding to an absolute error of 0.02 ± 0.01 in volumetric water content (VWC). Benchmarking revealed that the LCSMS is competitive with the ML2 ThetaProbe, and outperforms the PR2/6 ProfileProbe, but is less accurate than the SMT100. Notably, applying the air–water normalisation procedure to benchmark sensors significantly improved their performance, particularly for the ML2 ThetaProbe and PR2/6 ProfileProbe. A brief field deployment demonstrated the picoSMMS’s ability to closely track co-located HydraProbe sensors. Important limitations include the following: inter-sensor variability assessment was limited by the small sensor ensemble (only two units), and with a larger sample size, the LCSMS may exhibit greater variability, potentially resulting in larger prediction errors; the characterisation was conducted under non-saline conditions and may not apply to peat or high-clay soils; the calibration is best suited for the target permittivity range (2.5–35.5) typical of mineral soils; and the brief field deployment was insufficient for long-term validation. Future work should assess inter-sensor variability across larger sensor populations, characterise the LCSMS under varying salinity, and conduct long-term field validation. Full article
(This article belongs to the Section Environmental Sensing)
Show Figures

Figure 1

14 pages, 2749 KB  
Article
Forest Strata and Abiotic Factors Primarily Regulate Understory Species Richness Rather than Forest Type in a Temperate Forest of South Korea
by Jun-Hyuk Woo, Min-Ki Lee, Jung-Hwa Chun and Chang-Bae Lee
Biology 2025, 14(11), 1565; https://doi.org/10.3390/biology14111565 - 7 Nov 2025
Viewed by 185
Abstract
The understory vegetation forms an important ecosystem by providing habitat, cycling nutrients, and contributing to community diversity. However, previous studies have focused on identifying mechanisms between understory herbaceous diversity and abiotic factors. This study conducted a comprehensive analysis of the effects of abiotic [...] Read more.
The understory vegetation forms an important ecosystem by providing habitat, cycling nutrients, and contributing to community diversity. However, previous studies have focused on identifying mechanisms between understory herbaceous diversity and abiotic factors. This study conducted a comprehensive analysis of the effects of abiotic factors (topography, climate, and soil) and biotic factors (species richness and individuals by forest strata), as well as stand age, on understory species richness. Also, we analyzed the effects of seven different forest types in the sampled plots. The most important factors were selected through a multimodel inference test and then applied to piecewise structural equation models on total, woody and herbaceous understory plants. In the total model, elevation-associated temperature had positive effects, respectively. In the woody model, overstory species richness has an indirect positive effect on woody understory plants through the midstory species richness. In the herbaceous model, total phosphorus and elevation-associated temperature had a positive effect on herbaceous understory plants. Therefore, this study indicates that woody species richness controlled by biotic factors and herbaceous species richness controlled by abiotic factors. Our study suggests that woody and herbaceous species richness are regulated by different mechanisms, highlighting the need for distinct management methodologies to enhance plant diversity in forest ecosystems. Full article
(This article belongs to the Section Ecology)
Show Figures

Figure 1

19 pages, 4489 KB  
Article
Soil Nutrient Variability Analysis of Typical Planting Patterns in Agricultural Reclamation Areas of the Southern Dianchi Lake Basin
by Zhuojun Miao, Junen Wu, Lei Zhao, Feng Cheng and Yuchen Zhang
Agronomy 2025, 15(11), 2566; https://doi.org/10.3390/agronomy15112566 - 7 Nov 2025
Viewed by 329
Abstract
This study investigates the effects of typical planting patterns on soil nutrient accumulation and associated environmental impacts in agricultural reclamation areas of the southern Dianchi Lake Basin. Taking the cut flower cultivation area in Dahewei Village, Jinning District, Yunnan Province, as the research [...] Read more.
This study investigates the effects of typical planting patterns on soil nutrient accumulation and associated environmental impacts in agricultural reclamation areas of the southern Dianchi Lake Basin. Taking the cut flower cultivation area in Dahewei Village, Jinning District, Yunnan Province, as the research site, we compared soil physicochemical properties, nutrient contents, and their correlations with environmental factors under open-field and greenhouse cultivation, and analyzed the characteristics of soil fertility changes and non-point-source pollution risks in greenhouses. We found that greenhouse cultivation is associated with altered soil physicochemical properties, including smaller aggregate sizes, increased soil moisture content (from 30.15% to 32.20%), elevated pH values (from 7.11 to 7.23), and 79% higher electrical conductivity compared to open-field conditions (620.82 vs. 347.60 μS cm−1, p < 0.01). Compared with open-field systems, greenhouse cultivation exhibited greater nutrient accumulation, particularly for total nitrogen (TN) and available potassium (AK) in the 0–10 cm topsoil layer, demonstrating pronounced surface enrichment. Additionally, greenhouse conditions showed weaker correlations between soil nutrients and meteorological factors but stronger inter-nutrient coupling. Enhanced soil moisture and temperature conditions were associated with reduced nutrient leaching but simultaneously increased surface nutrient enrichment and salinization risks. These findings provide quantitative evidence for precision fertilization strategies, optimized irrigation management, and targeted soil health interventions in intensive greenhouse systems. The results have practical applications for preventing surface nutrient accumulation and long-term salinization in protected agriculture. Full article
(This article belongs to the Section Agroecology Innovation: Achieving System Resilience)
Show Figures

Figure 1

13 pages, 1835 KB  
Article
The Sprayed Application of Recombinantly Expressed CpRap2.4A Confers Protective Activity Against Heat Stress in Nicotiana tabacum
by Diobel González-Stewart, Francisco Guillén-Chable, Miguel Ángel Herrera-Alamillo, Roberth Armando Us Santamaría, José Luis Andrade, Anne C. Gschaedler Mathis, Enrique Castaño, Luis Joel Figueroa-Yáñez and Luis Carlos Rodríguez-Zapata
Crops 2025, 5(6), 80; https://doi.org/10.3390/crops5060080 - 6 Nov 2025
Viewed by 99
Abstract
Drastic changes in temperature, salinity of soils and drought are some of the most studied abiotic stressors in important crops. Plants have developed various biochemical mechanisms to counteract these conditions. Transcription factors play a significant role in regulating stress responses. Previously, in our [...] Read more.
Drastic changes in temperature, salinity of soils and drought are some of the most studied abiotic stressors in important crops. Plants have developed various biochemical mechanisms to counteract these conditions. Transcription factors play a significant role in regulating stress responses. Previously, in our lab, it was identified that the CpRap2.4a protein, which belongs to the AP2/ERF superfamily, is related to the response to abiotic stress from extreme temperature, and confers thermal tolerance to Carica papaya CV. This study presents a randomized experimental strategy for the analysis of the physiological and biochemical responses of Nicotiana tabacum plants subjected to heat stress, and how the foliar application of the recombinantly expressed CpRap2.4a can modulate beneficial responses. Plants subjected to heat stress present a healthier physiology, as clearly shown by biochemical parameters. Moreover, physiological parameters also suggest an improvement of heat tolerance compared with the control group. Scanning electron microscopy suggests that stomatal aperture and conductance are the key mechanisms for how recombinantly expressed CpRap2.4a can act as a regulatory player to heat stress. Full article
(This article belongs to the Topic Applications of Biotechnology in Food and Agriculture)
Show Figures

Figure 1

22 pages, 5383 KB  
Article
Thermo-Mechanical Coupling Model for Energy Piles: Dynamic Interface Behavior and Sustainable Design Implications
by Chunyu Cui, Zhongren Liu, Jinghang Liu and Yang You
Buildings 2025, 15(21), 3984; https://doi.org/10.3390/buildings15213984 - 4 Nov 2025
Viewed by 259
Abstract
This study introduces an advanced temperature variation model for the pile–soil interface of single energy piles, developed through extensive numerical simulations across diverse operating conditions. Unlike existing models, it explicitly accounts for thermal interactions at the interface by adopting uniform material properties and [...] Read more.
This study introduces an advanced temperature variation model for the pile–soil interface of single energy piles, developed through extensive numerical simulations across diverse operating conditions. Unlike existing models, it explicitly accounts for thermal interactions at the interface by adopting uniform material properties and initial temperatures, enabling precise heat transfer predictions. An iterative algorithm based on the load transfer method quantifies the pile’s thermo-mechanical response to temperature fluctuations, demonstrating significantly improved accuracy in settlement prediction compared to conventional methods. Validation against two field case studies demonstrates the model’s robustness across varied geotechnical contexts. Parameter analysis identifies soil thermal conductivity and load transfer characteristics as critical factors influencing pile behavior, thereby facilitating design optimization. This approach enhances energy pile efficiency by up to 20%, promoting the utilization of renewable geothermal energy and reducing carbon emissions in infrastructure projects, thus contributing to sustainable geotechnical engineering practices. Full article
(This article belongs to the Section Building Energy, Physics, Environment, and Systems)
Show Figures

Figure 1

21 pages, 7507 KB  
Article
Exploring Multi-Scale Synergies, Trade-Offs, and Driving Mechanisms of Ecosystem Services in Arid Regions: A Case Study of the Ili River Valley
by Ruyi Pan, Junjie Yan, Hongbo Ling and Qianqian Xia
Land 2025, 14(11), 2166; https://doi.org/10.3390/land14112166 - 30 Oct 2025
Viewed by 345
Abstract
Understanding the interactions among ecosystem services (ESs) and their spatiotemporal dynamics is pivotal for sustainable ecosystem management, particularly in arid regions where water scarcity imposes significant constraints. This study focuses on the Ili River Valley, a representative arid region, to investigate the evolution [...] Read more.
Understanding the interactions among ecosystem services (ESs) and their spatiotemporal dynamics is pivotal for sustainable ecosystem management, particularly in arid regions where water scarcity imposes significant constraints. This study focuses on the Ili River Valley, a representative arid region, to investigate the evolution of ESs, their trade-offs and synergies, and the underlying driving mechanisms from a water-resource-constrained perspective. We assessed five key ESs—soil retention (SR), habitat quality (HQ), water purification (WP), carbon sequestration (CS), and water yield (WY)—utilizing multi-source remote sensing and statistical data spanning 2000 to 2020. Employing the Integrated Valuation of Ecosystem Services and Tradeoffs (InVEST) model, Spearman correlation analysis, Geographically Weighted Regression (GWR), and the Geodetector method, we conducted a comprehensive analysis at both sub-watershed and 500 m grid scales. Our findings reveal that, except for SR and WP, the remaining three ESs exhibited an overall increasing trend over the two-decade period. Trade-off relationships predominantly characterize the ESs in the Ili River Valley; however, these interactions vary temporally and across spatial scales. Natural factors, including precipitation, temperature, and soil moisture, primarily drive WY, CS, and SR, whereas anthropogenic factors significantly influence HQ and WP. Moreover, the impact of these driving factors exhibits notable differences across spatial scales. The study underscores the necessity for ES management strategies tailored to specific regional characteristics, accounting for scale-dependent variations and the dual influences of natural and human factors. Such strategies are essential for formulating region-specific conservation and restoration policies, providing a scientific foundation for sustainable development in ecologically vulnerable arid regions. Full article
Show Figures

Figure 1

14 pages, 692 KB  
Article
From Feedstock to Function: How Pyrolysis and Oxidation Shape Biochar Performance in Soil–Plant Interactions
by Mohammad Ghorbani, Elnaz Amirahmadi, Jaroslav Bernas and Jan Bárta
Plants 2025, 14(21), 3278; https://doi.org/10.3390/plants14213278 - 27 Oct 2025
Viewed by 334
Abstract
Nutrient losses through leaching and low nutrient use efficiency are major challenges limiting crop productivity and causing environmental pollution. Biochar has been widely studied as a soil amendment to improve nutrient retention; however, the combined effects of pyrolysis temperature and post-production oxidation on [...] Read more.
Nutrient losses through leaching and low nutrient use efficiency are major challenges limiting crop productivity and causing environmental pollution. Biochar has been widely studied as a soil amendment to improve nutrient retention; however, the combined effects of pyrolysis temperature and post-production oxidation on soil nutrient dynamics and plant performance remain unclear. In this study, wheat straw and wood residue biochars were produced at two pyrolysis temperatures (350 and 450 °C) and subsequently modified by hydrogen peroxide (H2O2) oxidation to enhance surface functionality. A pot experiment with fava bean (Vicia faba L.) was conducted to evaluate the effects of pristine and oxidized biochars on soil chemical properties, nutrient leaching, and plant nutrient uptake. Results showed that pristine biochars increased soil pH from 6.82 (control) to 8.73–9.12 and EC from 2.15 to 3.06–4.71 dS m−1, with wheat straw biochars having stronger alkalizing effects. In contrast, oxidized biochars decreased soil pH to 5.62–5.93 due to the introduction of oxygen-containing functional groups. All biochars reduced NO3-N, NH4+-N, and PO43−-P leaching, with the most pronounced reductions observed in oxidized wheat straw biochar produced at 450 °C (O-BWS450). Improved nutrient retention translated into higher plant nutrient uptake: fava bean plants grown in O-BWS450-amended soil achieved the greatest N (6.71%) and P (3.89%) uptake, significantly higher than the control. These findings highlight the potential of oxidation-modified biochars, particularly wheat straw biochar produced at moderate pyrolysis temperature, to improve soil nutrient conservation and enhance crop nutrition simultaneously. Such modifications represent a promising approach for developing biochar-based soil amendments that promote sustainable nutrient management. Full article
(This article belongs to the Section Plant–Soil Interactions)
Show Figures

Figure 1

24 pages, 3687 KB  
Article
Role of Illumination and Light Colour Temperature in the Preference Behaviour of Weaned Piglets
by Sven Götz, Klaus Reiter, Monika Wensch-Dorendorf, Eberhard von Borell and Camille M. C. Raoult
Animals 2025, 15(21), 3116; https://doi.org/10.3390/ani15213116 - 27 Oct 2025
Viewed by 347
Abstract
This study investigated the preference behaviour of 24 four-week-old weaned piglets under different lighting conditions (0 lux with 0 Kelvin vs. 80 lux with 3000 Kelvin vs. 6500 Kelvin). Two trials with 12 piglets each were conducted over five weeks in a room [...] Read more.
This study investigated the preference behaviour of 24 four-week-old weaned piglets under different lighting conditions (0 lux with 0 Kelvin vs. 80 lux with 3000 Kelvin vs. 6500 Kelvin). Two trials with 12 piglets each were conducted over five weeks in a room with four interconnected pens, allowing free movement between the pens. Pens A and B were nearly dark (~0 lux), while pen C (80 lux, 3000 Kelvin) and pen D (80 lux, 6500 Kelvin) were illuminated. On three days in weeks 1, 3 and 5, behaviour (lying, eating and activity) was recorded using video observations and a 5 min time sampling method. Cleanliness was also monitored daily. In the first week, piglets in the first batch preferred the darkened pens, whereas piglets in the second batch preferred illuminated pens, especially when the colour temperature was 3000 Kelvin. By the third week, piglets in the second batch now preferred darker areas. In the fifth week, the piglets spent more time in the dark in the mornings and evenings but showed no preference for colour temperature. The darkened pens remained mostly clean, whereas pen D, which had a light colour temperature of 6500 Kelvin, was the most soiled. The results show that piglet behaviour changes with age and the time of day, suggesting that lighting concepts can be adapted to improve both animal welfare and pen hygiene. Full article
(This article belongs to the Special Issue Advances in Swine Housing, Health and Welfare)
Show Figures

Figure 1

26 pages, 2709 KB  
Article
Exploratory Flux Pulses and Emerging Trade-Offs in a Semi-Arid Lettuce Experiment: Plant and Nitrogen Effects on GHG and NH3 Emissions
by Andreas M. Savvides, George Themistokleous, Katerina Philippou, Maria Panagiotou and Michalis Omirou
Horticulturae 2025, 11(11), 1287; https://doi.org/10.3390/horticulturae11111287 - 26 Oct 2025
Viewed by 512
Abstract
Agriculture significantly contributes to greenhouse gas (GHG) emissions, yet fluxes from irrigated semi-arid systems remain poorly quantified. This study investigates CO2, CH4, N2O, and NH3 fluxes in a short-term lettuce experiment under semi-arid conditions. The objective [...] Read more.
Agriculture significantly contributes to greenhouse gas (GHG) emissions, yet fluxes from irrigated semi-arid systems remain poorly quantified. This study investigates CO2, CH4, N2O, and NH3 fluxes in a short-term lettuce experiment under semi-arid conditions. The objective was to quantify flux variability and identify key environmental and management drivers. High-frequency soil gas flux measurements were conducted under three treatments: irrigated soil (I), irrigated soil with plants (IP), and irrigated soil with plants plus NH4NO3 fertilizer (IPF). Environmental factors, including solar radiation, soil temperature, water-filled pore space, and relative projected leaf area, were monitored. A Random Forest model identified main flux determinants. Fluxes varied with plant function, growth, and fertilization. IP exhibited net CO2 uptake through photosynthesis, whereas I and IPF showed net CO2 emissions from soil respiration and fertilizer-induced disruption of plant function, respectively. CH4 uptake occurred across treatments but decreased with plant presence. Fertilization in IPF triggered episodic N2O (EF = 0.1%) and NH3 emissions (EF = 0.97%) linked to nitrogen input. Vegetated semi-arid soils can act as CO2 sinks when nitrogen is optimally managed. Excess or poorly timed nitrogen delays CO2 uptake and increases reactive nitrogen losses. Methanotrophic activity drives CH4 dynamics and is influenced by plants and fertilization. Maintaining crop vigor and applying precision nitrogen management are essential to optimize productivity while mitigating GHG and NH3 emissions in semi-arid lettuce cultivation. Full article
(This article belongs to the Section Vegetable Production Systems)
Show Figures

Figure 1

18 pages, 9127 KB  
Article
Frost Heave Characteristics of Lined Canals with Sand-Gravel Replacement in Seasonally Frozen Regions
by Xinjian Fan, Fei Ye, Li Qin, Yupei Yan, Lirong Wang and Jiafang Wei
Sustainability 2025, 17(21), 9432; https://doi.org/10.3390/su17219432 - 23 Oct 2025
Viewed by 303
Abstract
To address the frost heave damage issue of the trapezoidal lined canals in seasonally frozen regions and further ensure the stable operation of canals while reducing operation and maintenance costs, this study conducted a gradient sand-gravel cushion replacement experiment on the main canal [...] Read more.
To address the frost heave damage issue of the trapezoidal lined canals in seasonally frozen regions and further ensure the stable operation of canals while reducing operation and maintenance costs, this study conducted a gradient sand-gravel cushion replacement experiment on the main canal of the Jingdian Irrigation District, China. For the experiment, east–west and north–south-oriented canal sections were selected, with frost heave meters and soil temperature-humidity meters installed. Dynamic changes in canal ground temperature, moisture content, and frost heave were monitored over two full freeze–thaw cycles. The results indicate the following: (1) The variation of ground temperature lags behind air temperature by 2–3 days; the ground temperature change on the canal slope is more pronounced than that at the canal bottom; and for the east–west-oriented canal, the ground temperature on the sunny slope is higher than that on the shady slope, while the ground temperatures on the two slopes of the north–south-oriented canal are similar. (2) The moisture content of the east–west-oriented canal changes drastically during the freezing period, showing a decreasing trend in the early freezing stage and a significant increasing trend in the thawing stage, whereas the moisture content of the north–south-oriented canal fluctuates slightly. (3) Canals with different orientations exhibit spatial differences in frost heave due to variations in solar radiation distribution. (4) The frost heave is negatively correlated with ground temperature, and its variation lags behind ground temperature by 1–2 days. (5) Increasing the replacement thickness of sand-gravel can significantly reduce the frost heave, with a reduction rate exceeding 50%. Under the action of freeze–thaw cycles, canals with gradient sand-gravel exhibit remarkable anti-frost effects. Thus, for trapezoidal lined canals in seasonally frozen regions, a gradient replacement scheme is recommended: For east–west canals, the replacement thickness is 40–100 cm for shady slopes and 30–70 cm for sunny slopes; for north–south canals, the replacement thickness is 30–70 cm for both slopes. In conclusion, gradient sand-gravel replacement is an effective anti-frost heave measure, providing a theoretical basis for the design of sand-gravel replacement for lined canals in seasonally frozen regions. Full article
(This article belongs to the Section Green Building)
Show Figures

Figure 1

17 pages, 5044 KB  
Article
Optimizing Soil Hydrothermal Parameters Through Furrow Mulching to Achieve High Potato Yield and Water Productivity
by Caixia Huang, Zhixiang Dong, Juhua Ma, Xiaohu Yuan, Zeyi Wang and Liangliang Hu
Agronomy 2025, 15(11), 2444; https://doi.org/10.3390/agronomy15112444 - 22 Oct 2025
Viewed by 280
Abstract
This study reports a field experiment conducted from 2020 to 2021 to examine the influence of changes in the moisture and temperature of soil on the potato yield under the mulching-based modes of ZM (flat planting with straw partial mulching), HM (high ridge [...] Read more.
This study reports a field experiment conducted from 2020 to 2021 to examine the influence of changes in the moisture and temperature of soil on the potato yield under the mulching-based modes of ZM (flat planting with straw partial mulching), HM (high ridge straw with partial mulching) and PM (flat planting with local plastic film mulching) planting, with the traditional open-field flat crop (CK) used as the control. The results showed that compared with CK, the average tuber yield increased by 38.68% under the PM treatment, 36.91% under the HM treatment, and 23.37% under the ZM treatment over two growing seasons. At the same time, the HM treatment increased tuber yield by 13.69%, large tuber percentage by 0.40%, and water use efficiency (WUE) by 15.31% compared with the ZM treatment. Across two growing seasons, the soil water storage capacity in the 0–180 cm soil layer was significantly enhanced by the potato mulching treatments compared to the CK. Specifically, the HM treatment increased it by an average of 43.04 mm, the ZM treatment by 36.71 mm, and the PM treatment by 24.63 mm. Compared with CK, the PM treatment increased the average soil temperature by 1.23 °C, while the HM and ZM treatments decreased it by 1.42 °C and 2.10 °C, respectively. Furthermore, partial straw mulching enhanced soil organic carbon content relative to both CK and PM treatments, with the HM treatment exhibiting a greater increase than the ZM treatment. Therefore, the HM treatment represents a cultivation model that enhances yields and efficiency and is well-suited to the green and sustainable development of dryland farming in Northwest China. Full article
Show Figures

Figure 1

21 pages, 4254 KB  
Article
Effects of Straw Return on Soil Physicochemical Properties and Microbial Communities in a Cold-Region Alkaline Farmland
by Wei Zhang, Jinghong Wang, Aman Khan, Guinan Shen, Dan Wei and Weidong Wang
Agronomy 2025, 15(10), 2433; https://doi.org/10.3390/agronomy15102433 - 21 Oct 2025
Viewed by 406
Abstract
Straw return is crucial for sustainable agriculture, but its efficiency is limited by low temperatures in cold regions, especially in saline-alkali soils. This study investigates the degradation process of maize straw and the response of soil properties and microbial communities during the winter [...] Read more.
Straw return is crucial for sustainable agriculture, but its efficiency is limited by low temperatures in cold regions, especially in saline-alkali soils. This study investigates the degradation process of maize straw and the response of soil properties and microbial communities during the winter low-temperature period in the alkaline farmland of Anda, China. A two-year field experiment with straw return (SR) and no return (NR) treatments was conducted. Straw degradation rates and structural changes (as observed via scanning electron microscope, SEM) were monitored. Soil physicochemical properties and enzyme activities were analyzed. Microbial community composition was characterized using 16S rRNA and ITS sequencing. The cumulative straw degradation rate over two years reached 94.81%, with 18.33% occurring in the first winter freeze–thaw period. Freeze–thaw cycles significantly damaged the straw structure, facilitating microbial colonization. Straw return significantly improved soil properties after winter, increasing field water capacity (3.45%), content of large aggregates (6.57%), available nutrients (P 38.17 mg/kg, K 191.93 mg/kg), and organic carbon fractions compared to NR. Microbial analysis revealed that low temperatures filtered the community, enriching cold-tolerant taxa like Pseudogymnoascus, Penicillium, and Pedobacter, which are crucial for lignocellulose decomposition under cold conditions. The winter period plays a significant role in initiating straw degradation in cold regions. Straw return mitigates the adverse effects of winter freezing on soil quality and promotes the development of a cold-adapted microbial consortium, thereby enhancing the sustainability of alkaline farmland ecosystems in Northeast China. Full article
(This article belongs to the Section Soil and Plant Nutrition)
Show Figures

Figure 1

18 pages, 3684 KB  
Article
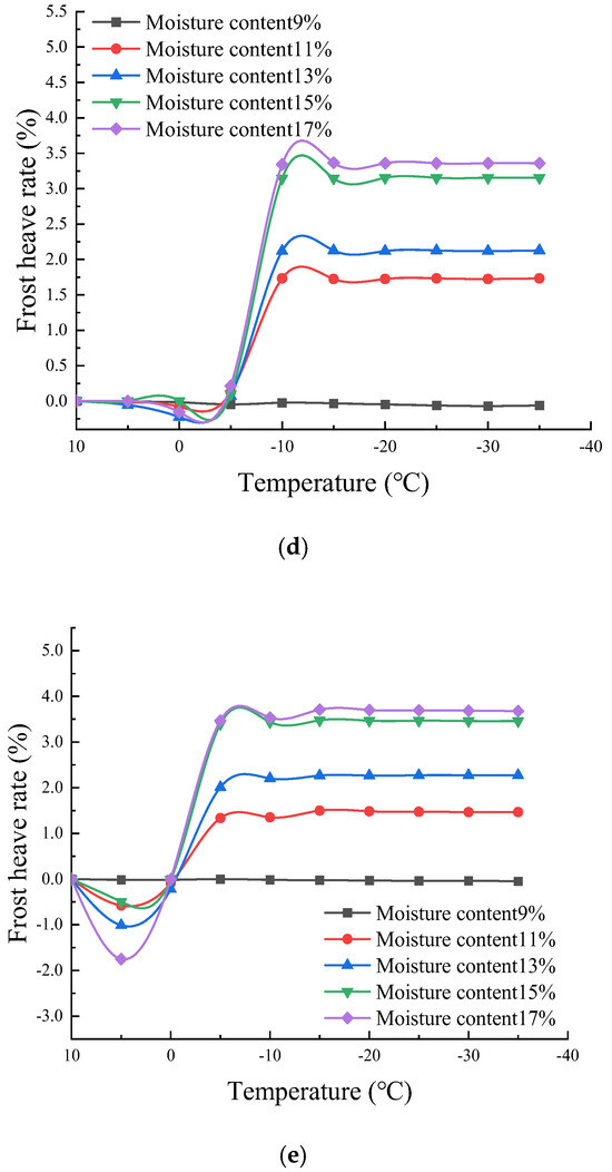
Study on Frost Heaving Characteristics of Sulfate-Bearing Sand in Seasonally Frozen Regions
by Kaixiang Yang, Qianwang Pan, Kai Ding and Xuansheng Cheng
Appl. Sci. 2025, 15(20), 11228; https://doi.org/10.3390/app152011228 - 20 Oct 2025
Viewed by 290
Abstract
With the Longzhong Water Conservation and Ecological Water Supply and Storage Reservoir Project (Upper Yellow River) as the engineering background, this study selected sulfate sandy soil from Jingtai County (Baiyin City, Gansu Province, the project area) as the test soil to explore the [...] Read more.
With the Longzhong Water Conservation and Ecological Water Supply and Storage Reservoir Project (Upper Yellow River) as the engineering background, this study selected sulfate sandy soil from Jingtai County (Baiyin City, Gansu Province, the project area) as the test soil to explore the effects of moisture content and salt content on the frost heave characteristics of sulfate sandy soil in seasonal frozen soil areas, and to avoid engineering problems caused by its frost heave deformation. Indoor freeze–thaw experiments and data analysis were conducted; water and salt content gradients were set in line with the actual engineering conditions, and indoor unidirectional freezing frost heave tests were carried out to simulate the natural freeze–thaw environment. The test results show that temperature is a key factor regulating soil frost heave: the frost heave rate varies in an “S-shaped” pattern with decreasing temperature (slightly decreasing at 10~0 °C, increasing rapidly at 0~−10 °C with the most significant growth at 0~−5 °C, and stabilizing below −10 °C). Under constant compaction, the frost heave rate increases parabolically with moisture content (the growth rate slows down after 15% and stabilizes at 17%) and linearly with salt content (with a small increment). Based on the test data, a frost heave rate prediction model considering moisture content and salt content was established; the correlation between the calculated values of the model and the measured values is strong (R2 > 0.92), which can provide a reference for predicting the frost heave rate of such sulfate sandy soil. The key conclusions are as follows: The frost heave of the soil is dominated by temperature and moisture content (the effect of salt content is secondary); the temperature range of 0~−5 °C is the critical period for engineering frost heave prevention. This study provides technical support for the frost heave prevention design of the Longzhong Reservoir and similar engineering projects in seasonal frozen soil areas of Northwest China. Full article
Show Figures

Figure 1

17 pages, 2912 KB  
Article
Environmental Influences on Growth and Secondary Metabolite Accumulation in Eleutherococcus sessiliflorus Across Korean Cultivation Sites
by Yonghwan Son, Dong Hwan Lee, Jun Hyuk Jang, Hyun-Jun Kim and Ji Ah Kim
Plants 2025, 14(20), 3175; https://doi.org/10.3390/plants14203175 - 16 Oct 2025
Viewed by 269
Abstract
Eleutherococcus sessiliflorus is a medicinal shrub widely used in East Asian traditional medicine, yet field-based studies on environmental influences remain limited. In this study, branches from 26 cultivation sites across South Korea were analyzed for relationships among growth traits, soil and climatic conditions, [...] Read more.
Eleutherococcus sessiliflorus is a medicinal shrub widely used in East Asian traditional medicine, yet field-based studies on environmental influences remain limited. In this study, branches from 26 cultivation sites across South Korea were analyzed for relationships among growth traits, soil and climatic conditions, and two major compounds, chlorogenic acid (CGA) and eleutheroside E (EleuE). Growth traits varied widely, with plant height ranging from 1.06 to 4.20 m. CGA content was relatively stable across sites (0.292–0.708 mg/g), while EleuE showed greater variability (0.038–0.264 mg/g). The combined content of CGA and EleuE showed a weak positive correlation with thorn density (r = 0.236, p = 0.037). Plant height and basal diameter were positively correlated with temperature indices (annual average temperature r = 0.410, p < 0.001; annual maximum temperature r = 0.341, p = 0.002), whereas thorn density decreased with soil electrical conductivity, potassium, and magnesium but increased with sand and precipitation. Principal component analysis and correlation networks highlighted distinct clusters separating growth traits from EleuE–environment associations. These findings demonstrate that growth performance in E. sessiliflorus is strongly influenced by thermal regimes, while EleuE accumulation responds to soil texture and light availability, providing an empirical foundation for site-specific cultivation strategies and standardized quality management. Full article
(This article belongs to the Section Plant Physiology and Metabolism)
Show Figures

Figure 1

Back to TopTop