Exploring Multi-Scale Synergies, Trade-Offs, and Driving Mechanisms of Ecosystem Services in Arid Regions: A Case Study of the Ili River Valley
Abstract
1. Introduction
2. Materials and Methods
2.1. Study Area
2.2. Data Sources and Research Processes
2.3. Dual-Scale Assessment of Ecosystem Services
2.4. Spatiotemporal Quantification of Ecosystem Service Trade-Offs and Synergies
2.4.1. Correlation Analysis Among Ecosystem Services
2.4.2. Geographically Weighted Regression
2.5. Geodetector
3. Results
3.1. Temporal and Spatial Changes of Ecosystem Services
3.2. ESs Trade-Offs and Synergy
3.2.1. Correlation Analysis
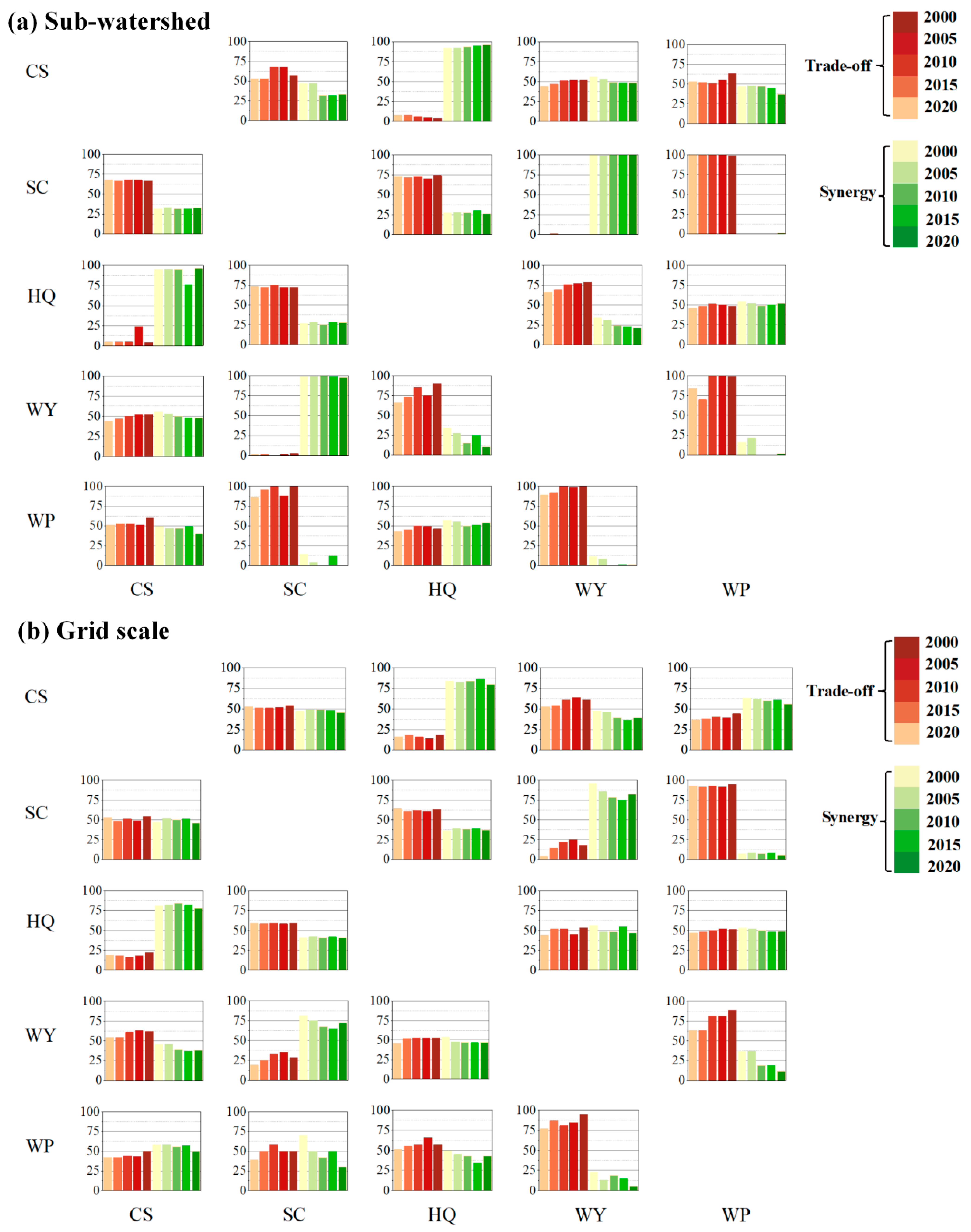
3.2.2. Spatial Trade-Offs and Synergy
3.3. Detection of Driving Factors
4. Discussion
4.1. The Spatial-Temporal Dynamic Relationship Between ESs
4.2. Analysis of Driving Mechanism
4.3. Management Implications
4.3.1. Spatial Zoning Management and Differentiated Regulation
4.3.2. Multi-Objective Coupling Optimization Mechanism
4.3.3. Ecological Compensation Mechanisms and Policy Innovation
4.4. Limitations
5. Conclusions
Supplementary Materials
Author Contributions
Funding
Data Availability Statement
Conflicts of Interest
References
- Watson, L.; Straatsma, M.W.; Wanders, N.; Verstegen, J.A.; de Jong, S.M.; Karssenberg, D. Global ecosystem service values in climate class transitions. Environ. Res. Lett. 2020, 15, 024008. [Google Scholar] [CrossRef]
- Diaz, S.; Settele, J.; Brondizio, E.S.; Ngo, H.T.; Agard, J.; Arneth, A.; Balvanera, P.; Brauman, K.A.; Butchart, S.H.M.; Chan, K.M.A.; et al. Pervasive human-driven decline of life on Earth points to the need for transformative change. Science 2019, 366, 1327. [Google Scholar] [CrossRef]
- Pan, Y.; Birdsey, R.A.; Fang, J.; Houghton, R.; Kauppi, P.E.; Kurz, W.A.; Phillips, O.L.; Shvidenko, A.; Lewis, S.L.; Canadell, J.G.; et al. A Large and Persistent Carbon Sink in the World’s Forests. Science 2011, 333, 988–993. [Google Scholar] [CrossRef]
- Lyu, X.; Li, X.; Dang, D.; Dou, H.; Wang, K.; Gong, J.; Wang, H.; Liu, S. A Perspective on the Impact of Grassland Degradation on Ecosystem Services for the Purpose of Sustainable Management. Remote Sens. 2022, 14, 5120. [Google Scholar] [CrossRef]
- Polasky, S.; Tallis, H.; Reyers, B. Setting the bar: Standards for ecosystem services. Proc. Natl. Acad. Sci. USA 2015, 112, 7356–7361. [Google Scholar] [CrossRef] [PubMed]
- Bennett, E.M.; Peterson, G.D.; Gordon, L.J. Understanding relationships among multiple ecosystem services. Ecol. Lett. 2009, 12, 1394–1404. [Google Scholar] [CrossRef]
- Cord, A.F.; Bartkowski, B.; Beckmann, M.; Dittrich, A.; Hermans-Neumann, K.; Kaim, A.; Lienhoop, N.; Locher-Krause, K.; Priess, J.; Schroeter-Schlaack, C.; et al. Towards systematic analyses of ecosystem service trade-offs and synergies: Main concepts, methods and the road ahead. Ecosyst. Serv. 2017, 28, 264–272. [Google Scholar] [CrossRef]
- Wu, X.; Yan, Z.; Yang, H.; Wang, S.; Zhang, H.; Shen, Y.; Song, S.; Liu, Y.; Guo, Y.; Yang, D.; et al. Ecological restoration in the Yellow River Basin enhances hydropower potential. Nat. Commun. 2025, 16, 2566. [Google Scholar] [CrossRef]
- Wang, Z.; Xu, M.; Penny, G.; Hu, H.; Zhang, X.; Tian, S. Impact of revegetation and agricultural intensification on water storage variation in the Yellow River Basin. J. Hydrol. 2024, 635, 131218. [Google Scholar] [CrossRef]
- Ling, Y.; Yang, Y.; Xu, J.; Wang, L.; Wang, Z.; Sun, Y.; Yao, C.; Wang, Y. Impacts of urbanization on the supply and demand relationship of typical ecosystem services in Beijing-Tianjin-Hebei region. Acta Ecol. Sin. 2023, 43, 5289–5304. [Google Scholar]
- Lan, Y.; Sun, T.; Li, W. Trade-offs and synergies of farmland ecosystem services in Loess Plateau: A case study of Longdong Region, Northwest China. Trans. Chin. Soc. Agric. Eng. 2023, 39, 236–244. [Google Scholar]
- Chen, W.; Chi, G. Ecosystem services trade-offs and synergies in China, 2000-2015. Int. J. Environ. Sci. Technol. 2023, 20, 3221–3236. [Google Scholar] [CrossRef]
- Guo, Z.; Liu, Y.; Zhang, L.; Feng, C.; Chen, Y. Research progress and prospect of ecosystem services. J. Environ. Eng. Technol. 2022, 12, 928–936. [Google Scholar]
- Yi, H. Ecosystem Services Valuation and Research Methodology for Mapping Ecosystem Services: Concepts, Trends, Issues, and Applications. J. Korean Geogr. Soc. 2022, 57, 189–208. [Google Scholar] [CrossRef]
- Huang, Y.; Wu, J. Spatial and temporal driving mechanisms of ecosystem service trade-off/synergy in national key urban agglomerations: A case study of the Yangtze River Delta urban agglomeration in China. Ecol. Indic. 2023, 154, 110800. [Google Scholar] [CrossRef]
- Baskent, E.Z.; Kaspar, J. Exploring the effects of management intensification on multiple ecosystem services in an ecosystem management context. For. Ecol. Manag. 2022, 518, 120299. [Google Scholar] [CrossRef]
- Gong, X.J.; Chang, C.C. Correlation and trade-off analysis of ecosystem service value and human activity intensity: A case study of Changsha, China. Environ. Dev. Sustain. 2025, 27, 3081–3102. [Google Scholar] [CrossRef]
- Harris, L.R.; Defeo, O. Sandy shore ecosystem services, ecological infrastructure, and bundles: New insights and perspectives. Ecosyst. Serv. 2022, 57, 101477. [Google Scholar] [CrossRef]
- Liu, Q.; Du, G.; Liu, H. A Quantitative Study on the Identification of Ecosystem Services: Providing and Connecting Areas and Their Impact on Ecosystem Service Assessment. Sustainability 2022, 14, 7904. [Google Scholar] [CrossRef]
- Su, B.; Liu, M. Study on extra services of integrated agricultural landscapes: A case study conducted on the Costal Bench Terrace System. Ecol. Indic. 2022, 145, 109634. [Google Scholar] [CrossRef]
- Wei, Y.; Song, B.; Wang, Y. Designing cross-region ecological compensation scheme by integrating habitat maintenance services production and consumption-A case study of Jing-Jin-Ji region. J. Environ. Manag. 2022, 311, 114820. [Google Scholar] [CrossRef]
- Pan, R.Y.; Yan, J.J.; Xia, Q.Q.; Jin, X.F. Enhancing Ecological Security in Ili River Valley: Comprehensive Approach. Water 2024, 16, 1867. [Google Scholar] [CrossRef]
- Min, Y.F.; Huang, W.L.; Ma, M.J.; Zhang, Y.N. Simulations in the Topography Effects of Tianshan Mountains on an Extreme Precipitation Event in the Ili River Valley, China. Atmosphere 2021, 12, 750. [Google Scholar] [CrossRef]
- Shi, M.J.; Wu, H.Q.; Fan, X.; Jia, H.T.; Dong, T.; He, P.X.; Baqa, M.F.; Jiang, P.G. Trade-Offs and Synergies of Multiple Ecosystem Services for Different Land Use Scenarios in the Yili River Valley, China. Sustainability 2021, 13, 1577. [Google Scholar] [CrossRef]
- Zhao, L.Y.; Yang, J.Z.; Sun, W.D.; Yu, H.; Xing, Y.; Chen, D.; Ma, X.; Wang, T.; Wang, C. Study on evaluation and analysis of geological environment of mines in Ili Valley and ecological restoration countermeasures. Remote Sens. Nat. Resour. 2024, 36, 23–30. [Google Scholar]
- Yang, Y.H.; Chen, Y.N.; Li, W.H.; Chen, Y.P. Distribution of soil organic carbon under different vegetation zones in the Ili River Valley, Xinjiang. J. Geogr. Sci. 2010, 20, 729–740. [Google Scholar] [CrossRef]
- Wu, J.H.; Wang, H.W.; Wang, C.; Huang, X.; Wei, J.X.; Wang, Z.G.; Zhang, C.; Chen, B.; Yiming, Y.; Lei, C.; et al. Zoning and spatial resilience: Land use and food security in the Ili River Valley, China. Land Use Policy 2025, 157, 19. [Google Scholar] [CrossRef]
- Zhao, T.; Pan, J.H.; Bi, F. Can human activities enhance the trade-off intensity of ecosystem services in arid inland river basins? Taking the Taolai River asin as an example. Sci. Total Environ. 2023, 861, 13. [Google Scholar] [CrossRef] [PubMed]
- Karimi, J.D.; Corstanje, R.; Harris, J.A. Bundling ecosystem services at a high resolution in the UK: Trade-offs and synergies in urban landscapes. Landsc. Ecol. 2021, 36, 1817–1835. [Google Scholar] [CrossRef]
- Stout, D.T.; Walsh, T.C.; Burian, S.J. Ecosystem services from rainwater harvesting in India. Urban Water J. 2017, 14, 561–573. [Google Scholar] [CrossRef]
- Hu, X.S.; Hong, W.; Qiu, R.Z.; Hong, T.; Chen, C.; Wu, C.Z. Geographic variations of ecosystem service intensity in Fuzhou City, China. Sci. Total Environ. 2015, 512, 215–226. [Google Scholar] [CrossRef] [PubMed]
- Wang, J.F.; Li, X.H.; Christakos, G.; Liao, Y.L.; Zhang, T.; Gu, X.; Zheng, X.Y. Geographical Detectors-Based Health Risk Assessment and its Application in the Neural Tube Defects Study of the Heshun Region, China. Int. J. Geogr. Inf. Sci. 2010, 24, 107–127. [Google Scholar] [CrossRef]
- Yuan, W.R.; Chen, L.K.; Chen, H.X.; Deng, S.F.; Ji, H.; Liang, F.S. Assessing habitat quality at Poyang Lake based on InVEST and Geodetector modeling. Ecol. Evol. 2023, 13, e10759. [Google Scholar] [CrossRef]
- Zhang, Y.; Song, C.L.; Ji, L.; Liu, Y.Q.; Xiao, J.; Cao, X.Y.; Zhou, Y.Y. Cause and effect of N/P ratio decline with eutrophication aggravation in shallow lakes. Sci. Total Environ. 2018, 627, 1294–1302. [Google Scholar] [CrossRef]
- Shen, J.; Li, S.; Wang, H.; Wu, S.; Liang, Z.; Zhang, Y.; Wei, F.; Li, S.; Ma, L.; Wang, Y.; et al. Understanding the spatial relationships and drivers of ecosystem service supply-demand mismatches towards spatially-targeted management of social-ecological system. J. Clean. Prod. 2023, 406, 136882. [Google Scholar] [CrossRef]
- Rodriguez, B.C.; Palma-Torres, V.M.; Castanenda, T.E.; Codtiyeng, S.K.; Castillo, J.F.; Sasi, A.P.V.; Tercero, M.U.; Andrada, R.T., II. Drivers and impacts of land use and land cover changes on ecosystem services provided by the watersheds in the Philippines: A systematic literature review. Int. For. Rev. 2023, 25, 473–490. [Google Scholar] [CrossRef]
- Schirpke, U.; Tasser, E.; Borsky, S.; Braun, M.; Eitzinger, J.; Gaube, V.; Getzner, M.; Glatzel, S.; Gschwantner, T.; Kirchner, M.; et al. Past and future impacts of land-use changes on ecosystem services in Austria. J. Environ. Manag. 2023, 345, 118728. [Google Scholar] [CrossRef] [PubMed]
- Deng, Y.-Y.; Wang, D.; Xu, H. Trade-offs and synergies relationships of ecosystem services and their socio-ecological driving factors under different spatial scales in Shaoguan City, Guangdong, China. Ying Yong Sheng Tai Xue Bao J. Appl. Ecol. 2023, 34, 3073–3084. [Google Scholar] [CrossRef]
- Hu, X.; Zhao, J.; Wang, B.; Gao, C. Changes of spatial synergies or trade-offs of ecosystem services in Heihe River Basin. Chin. J. Ecol. 2022, 41, 580–588. [Google Scholar]
- Su, B.; Liu, M. An ecosystem service trade-off management framework based on key ecosystem services. Ecol. Indic. 2023, 154, 110894. [Google Scholar] [CrossRef]
- Zhu, C.; Zhong, S.; Long, Y.; Yan, D. Spatiotemporal variation of ecosystem services and their drivers in the Yellow River Basin, China. Chin. J. Ecol. 2023, 42, 2502–2513. [Google Scholar]
- Liu, W.; Zhan, J.; Zhao, F.; Wang, C.; Zhang, F.; Teng, Y.; Chu, X.; Kumi, M.A. Spatio-temporal variations of ecosystem services and their drivers in the Pearl River Delta, China. J. Clean. Prod. 2022, 337, 130466. [Google Scholar] [CrossRef]
- Mashizi, A.K.; Sharafatmandrad, M. Dry forests conservation: A comprehensive approach linking ecosystem services to ecological drivers and sustainable management. Glob. Ecol. Conserv. 2023, 47, e02652. [Google Scholar] [CrossRef]
- Makovnikova, J.; Kolosta, S.; Flaska, F.; Palka, B. Factors Influencing the Spatial Distribution of Regulating Agro-Ecosystem Services in Agriculture Soils: A Case Study of Slovakia. Agriculture 2023, 13, 970. [Google Scholar] [CrossRef]
- Birkhofer, K.; Bird, T.; Alfeus, M.; Arvidsson, F.; Buxton, M.; Djoudi, E.A.; Fabiano, E.; Kasinda, E.; Machekano, H.; Mpofu, P.; et al. Smallholder agriculture in African dryland agroecosystems has limited impact on trophic group composition, but affects arthropod provision of ecosystem services. Agric. Ecosyst. Environ. 2024, 363, 108860. [Google Scholar] [CrossRef]
- Petrosillo, I.; Valente, D.; Scavuzzo, C.M.; Selvan, T. Land degradation pattern and ecosystem services. Front. Environ. Sci. 2023, 11, 1137768. [Google Scholar] [CrossRef]
- Fang, Z.; Ding, T.; Chen, J.; Xue, S.; Zhou, Q.; Wang, Y.; Wang, Y.; Huang, Z.; Yang, S. Impacts of land use/land cover changes on ecosystem services in ecologically fragile regions. Sci. Total Environ. 2022, 831, 154967. [Google Scholar] [CrossRef] [PubMed]
- Petit, S.; Landis, D.A. Landscape-scale management for biodiversity and ecosystem services. Agric. Ecosyst. Environ. 2023, 347, 108370. [Google Scholar] [CrossRef]
- Zhuang, X.; Wang, X. Study on Estuarine Wetland Restoration Based on Ecosystem Services Theory: A Case Study of Blue Bay Initiative of Quanzhou. Chin. Landsc. Archit. 2023, 39, 114–119. [Google Scholar]
- Variations of Habitat Quality and Its Response of Landscape Dynamic in the Three Gorges Reservoir Area, China. Int. J. Environ. Res. Public Health 2022, 19, 3594. [CrossRef]
- Wu, L.L.; Sun, C.G.; Fan, F.L. Estimating the Characteristic Spatiotemporal Variation in Habitat Quality Using the InVEST Model-A Case Study from Guangdong-Hong Kong-Macao Greater Bay Area. Remote Sens. 2021, 13, 1008. [Google Scholar] [CrossRef]
- Liu, C.; Liu, D.H.; Li, P.; Li, X.X.; Liu, Z.H.; Zhao, Y.N. Assessment of occupation of natural habitat by urban expansion and its impact on crucial ecosystem services in China’s coastal zone. Ecol. Indic. 2023, 154, 110682. [Google Scholar] [CrossRef]
- Makkonen, M.; Huttunen, S.; Primmer, E.; Repo, A.; Hildén, M. Policy coherence in climate change mitigation: An ecosystem service approach to forests as carbon sinks and bioenergy sources. For. Policy Econ. 2015, 50, 153–162. [Google Scholar] [CrossRef]
- Robert, M.; Saugier, B. Contribution of terrestrial ecosystems to carbon sequestration. Comptes Rendus Geosci. 2003, 335, 577–595. [Google Scholar] [CrossRef]
- Gebre, A.B.; Birhane, E.; Gebresamuel, G.; Hadgu, K.M.; Norgrove, L. Woody species diversity and carbon stock under different land use types at Gergera watershed in eastern Tigray, Ethiopia. Agrofor. Syst. 2019, 93, 1191–1203. [Google Scholar] [CrossRef]
- Adelisardou, F.; Zhao, W.; Chow, R.; Mederly, P.; Minkina, T.; Schou, J.S. Spatiotemporal change detection of carbon storage and sequestration in an arid ecosystem by integrating Google Earth Engine and InVEST (the Jiroft plain, Iran). Int. J. Environ. Sci. Technol. 2022, 19, 5929–5944. [Google Scholar] [CrossRef]
- Uri, N.D. An evaluation of the economic benefits and costs of conservation tillage. Environ. Geol. 2000, 39, 238–248. [Google Scholar] [CrossRef]
- Vanwalleghem, T.; Gomez, J.A.; Amate, J.I.; de Molina, M.G.; Vanderlinden, K.; Guzman, G.; Laguna, A.; Giraldez, J.V. Impact of historical land use and soil management change on soil erosion and agricultural sustainability during the Anthropocene. Anthropocene 2017, 17, 13–29. [Google Scholar] [CrossRef]
- Bashie, A.L.; Ayankukwa, A.U.; Owojoku, O.D.; Nicholas, O.G.; Ishoro, A.P.; Christiana, U.A. Predicting Environmental Covariates of Soil Organic Matter at Sub-Regional Scale for Sustainable Agricultural Development in Southeast Nigeria. Pol. J. Environ. Stud. 2025, 34, 2011–2021. [Google Scholar] [CrossRef]







| Disclaimer/Publisher’s Note: The statements, opinions and data contained in all publications are solely those of the individual author(s) and contributor(s) and not of MDPI and/or the editor(s). MDPI and/or the editor(s) disclaim responsibility for any injury to people or property resulting from any ideas, methods, instructions or products referred to in the content. | 
© 2025 by the authors. Licensee MDPI, Basel, Switzerland. This article is an open access article distributed under the terms and conditions of the Creative Commons Attribution (CC BY) license (https://creativecommons.org/licenses/by/4.0/).
Share and Cite
Pan, R.; Yan, J.; Ling, H.; Xia, Q. Exploring Multi-Scale Synergies, Trade-Offs, and Driving Mechanisms of Ecosystem Services in Arid Regions: A Case Study of the Ili River Valley. Land 2025, 14, 2166. https://doi.org/10.3390/land14112166
Pan R, Yan J, Ling H, Xia Q. Exploring Multi-Scale Synergies, Trade-Offs, and Driving Mechanisms of Ecosystem Services in Arid Regions: A Case Study of the Ili River Valley. Land. 2025; 14(11):2166. https://doi.org/10.3390/land14112166
Chicago/Turabian StylePan, Ruyi, Junjie Yan, Hongbo Ling, and Qianqian Xia. 2025. "Exploring Multi-Scale Synergies, Trade-Offs, and Driving Mechanisms of Ecosystem Services in Arid Regions: A Case Study of the Ili River Valley" Land 14, no. 11: 2166. https://doi.org/10.3390/land14112166
APA StylePan, R., Yan, J., Ling, H., & Xia, Q. (2025). Exploring Multi-Scale Synergies, Trade-Offs, and Driving Mechanisms of Ecosystem Services in Arid Regions: A Case Study of the Ili River Valley. Land, 14(11), 2166. https://doi.org/10.3390/land14112166
 
        


