Next Article in Journal
Single Image-Based Reflection Removal via Dual-Stream Multi-Column Reversible Encoding
Previous Article in Journal
Research on the Morphological Composition and Recovery Possibilities of Selectively Collected Plastics and Metals—A Case Study
 
 
Font Type:
Arial Georgia Verdana
Font Size:
Aa Aa Aa
Line Spacing:
Column Width:
Background:
Article

Study on Frost Heaving Characteristics of Sulfate-Bearing Sand in Seasonally Frozen Regions

1
Gansu Water Conservancy Engineering Geology Construction Co., Ltd., Lanzhou 730030, China
2
Key Laboratory of Disaster Prevention and Mitigation in Civil Engineering of Gansu Province, Lanzhou University of Technology, Lanzhou 730050, China
*
Author to whom correspondence should be addressed.
Appl. Sci. 2025, 15(20), 11228; https://doi.org/10.3390/app152011228
Submission received: 13 September 2025 / Revised: 16 October 2025 / Accepted: 17 October 2025 / Published: 20 October 2025

Abstract

With the Longzhong Water Conservation and Ecological Water Supply and Storage Reservoir Project (Upper Yellow River) as the engineering background, this study selected sulfate sandy soil from Jingtai County (Baiyin City, Gansu Province, the project area) as the test soil to explore the effects of moisture content and salt content on the frost heave characteristics of sulfate sandy soil in seasonal frozen soil areas, and to avoid engineering problems caused by its frost heave deformation. Indoor freeze–thaw experiments and data analysis were conducted; water and salt content gradients were set in line with the actual engineering conditions, and indoor unidirectional freezing frost heave tests were carried out to simulate the natural freeze–thaw environment. The test results show that temperature is a key factor regulating soil frost heave: the frost heave rate varies in an “S-shaped” pattern with decreasing temperature (slightly decreasing at 10~0 °C, increasing rapidly at 0~−10 °C with the most significant growth at 0~−5 °C, and stabilizing below −10 °C). Under constant compaction, the frost heave rate increases parabolically with moisture content (the growth rate slows down after 15% and stabilizes at 17%) and linearly with salt content (with a small increment). Based on the test data, a frost heave rate prediction model considering moisture content and salt content was established; the correlation between the calculated values of the model and the measured values is strong (R2 > 0.92), which can provide a reference for predicting the frost heave rate of such sulfate sandy soil. The key conclusions are as follows: The frost heave of the soil is dominated by temperature and moisture content (the effect of salt content is secondary); the temperature range of 0~−5 °C is the critical period for engineering frost heave prevention. This study provides technical support for the frost heave prevention design of the Longzhong Reservoir and similar engineering projects in seasonal frozen soil areas of Northwest China.

1. Introduction

With the rapid development of western China, the number of engineering projects in seasonal frozen soil areas—such as the Longzhong Water Conservation and Ecological Water Supply and Storage Reservoir Project in the upper reaches of the Yellow River—has increased significantly. However, the safety risks caused by frost heave and salt heave of sulfate soil (the dominant soil type in such projects) have become increasingly prominent. In the seasonal frozen soil areas of northwest China, extensively distributed sulfate soil undergoes water–salt migration and phase changes within the soil due to variations in regional ambient temperature, leading to severe frost heave and salt heave. These phenomena pose major safety hazards to infrastructure such as transportation routes and oil pipelines [1,2]. Among various types of saline soils, sulfate soil causes the most widespread engineering damage. Therefore, investigating the frost heave and salt heave characteristics of sulfate sandy soil is of great significance for ensuring the safety of engineering construction in seasonal frozen soil areas of western China.
The frost heave and salt heave processes of sulfate soil involve complex physical and chemical phenomena, including heat and mass transfer as well as crystalline deformation of the soil. Scholars have conducted extensive in-depth research on the underlying mechanisms: Shen et al. [3] used mercury intrusion porosimetry, scanning electron microscopy, and laser particle size analysis to explore the microstructural characteristics of saline soils with different compaction degrees after freeze–thaw cycles; Wan et al. [4] combined experiments with crystal theoretical analysis to clarify the effect of sodium sulfate crystallization the freezing point of saline soil, as well as the temperature-dependent relationships between salt expansion force, frost heave force, and temperature; Liu et al. [5] found through laboratory experiments that in fine-grained sulfate-contaminated soil, both water and salt migrate toward the colder end, forming large amounts of ice crystals and salt crystals, which ultimately result in significant soil deformation. Zhang et al. [6] further studied the effects of temperature and salt content on soil water freezing and salt crystallization via unidirectional freezing tests, and established a kinetic model for ice-water phase transition crystallization based on water activity; Wang et al. [7] identified three stages of vertical deformation in frozen soil (adjustment stage, rapid deformation stage, and slow deformation stage) by analyzing the laws of water–salt migration in sulfate-contaminated soil. Lai et al. [8] reviewed the physical and mechanical properties of saline soil in cold regions and the mechanisms of water–salt migration, proposing a thermo-hydro-saline coupled model and a thermo-hydro-saline-mechanical coupled model, whose validity was verified by experimental data; Zhang et al. [9] comprehensively analyzed the coupled mechanisms of water–salt migration, ice-water phase transition, salt crystallization-dissolution, and frost heave deformation in saturated saline soil under different conditions, and established a corresponding thermo-hydro-saline-mechanical coupled mathematical model; Zhang et al. [10] also incorporated gas-phase dynamics into their research, developing a water-heat-salinity-mechanics model that accounts for the effects of vapor flow. However, these mechanism-focused studies primarily target fine-grained sulfate soil or soils in non-seasonal frozen soil areas, with little attention paid to sulfate sandy soil. Characterized by high sand content (>70%), sulfate sandy soil differs from fine-grained soil in terms of pore water retention capacity and the interaction between salt crystallization and ice lenses, leading to unique frost heave and salt heave mechanisms that remain unclear.
Frost heave and salt heave of saline soil are influenced by multiple factors, but existing research on sulfate sandy soil has obvious limitations. Regarding soil particle gradation: Wang et al. [11] found through temperature-controlled cooling experiments that the fine-grained content in sulfate sandy soil exerts a non-monotonic effect on its freezing characteristics and salt expansion; Zhang et al. [12] confirmed via unidirectional freezing tests that fine particle content has a significant impact on both salt expansion and frost heave, and exhibits a positive correlation with soil expansion temperature. Regarding the effects of salt and temperature: Yu et al. [13], using Lanzhou loess as the research object, found that at a fixed salt concentration, the degree of salt expansion increases with decreasing temperature; at a fixed temperature, the degree of salt expansion increases with increasing sodium sulfate content; Zhang et al. [14], focusing on sulfate saline soil from Ningxia, found that water content, salt concentration, and compaction degree all affect the salt-frost heave characteristics of the soil; Ying et al. [15] revealed through freezing deformation tests that the salt expansion and frost heave of saline soil exhibit a cumulative effect as temperature decreases, and the total deformation conforms to the equilibrium principle of salt expansion and frost heave; Wu et al. [16] further clarified the coupled relationship between water content and salinity in highly saturated salt-bearing fine sandy soil through data fitting. However, these studies either focus on fine-grained soil or non-sandy sulfate soil, or only address the effects of single factors. Few studies involve the synergistic effect of water and salt content during the frost heave and salt heave processes of sulfate sandy soil in seasonal frozen soil areas of northwest China.
In terms of model development, scholars have made many attempts, but the applicability of existing models to sulfate sandy soil in the study area is insufficient. Lu et al. [17] determined the crystallization temperature range of saline soil and established a computational model for water–heat–salt interactions during the cooling process; Sun et al. [18] established a model for predicting the freezing temperature of sodium sulfate saline soil, and verified the model’s accuracy through laboratory freezing experiments; Zhou et al. [19] investigated the effects of salt content and water content on the characteristic temperature and frost heave deformation of sulfate-contaminated soil, and proposed a calculation model for freezing temperature. However, these models either target non-sandy soil or rely on linear empirical relationships, failing to capture the nonlinear interaction between water–salt content and frost heave rate in sulfate sandy soil of the study area. Even some engineering-related studies (e.g., the pipe–soil interaction model under frost heave proposed by Huang et al. [20], the research on frost heave and thaw settlement of soil layers in the Sanya Estuary Channel conducted by Wu et al. [21], and the quasi-steady frost heave rate model considering overburden pressure proposed by Chen et al. [22]) mostly focus on other soil types or engineering scenarios, and cannot provide direct theoretical support for sulfate sandy soil engineering in seasonal frozen soil areas of northwest China.
In conclusion, although scholars at home and abroad have made considerable progress in researching the mechanisms, influencing factors, and model development of frost heave and salt heave in saline soil, research specifically targeting sulfate sandy soil in seasonal frozen soil areas of northwest China remains limited. Currently, key issues—such as the unique frost heave and salt heave mechanisms of sulfate sandy soil in this region, the quantitative description of the synergistic effect of water and salt content, and the development of applicable quantitative models—have not been resolved, resulting in a disconnect between basic research and engineering practice. To fill these gaps, this study takes sulfate sandy soil collected from the Longzhong Water Conservation and Ecological Water Supply and Storage Reservoir Project as the research object, and conducts systematic freeze–thaw tests under controlled water content and salt content conditions. The objectives are to: (1) reveal the unique coupled frost heave-salt-heave mechanism of this soil, with a particular focus on the interaction law between salt crystallization and ice lenses in sandy pores; (2) establish a quantitative quadratic coupling model between water–salt content and frost heave rate, overcoming the limitations of existing linear models; (3) propose engineering-applicable parameters (e.g., maximum allowable water and salt content for frost heave control). This study can bridge the gap between basic research on saline soil and regional engineering needs, providing theoretical support and experimental data for infrastructure construction in seasonal frozen soil areas of northwest China.

2. Basic Parameters and Test Scheme of Soil Samples

2.1. The Basic Parameters of the Soil Sample

This article is centered on the Longzhong Water Conservation and Ecological Water Supply and Storage Reservoir Project in the Upper Reaches of the Yellow River. The project is located in Jingtai County, Baiyin City, Gansu Province. The soil sample for testing was collected from the bottom of Pile No. 4 water reservoir at a depth of 1.2 m within the project site. Thoroughly homogenize the soil sample to ensure uniform distribution of the initial salt content throughout the substrate. Ultimately, the soil sample was positioned within a sealed testing chamber for the experiment. By JTG3430-2020 Road Geotechnical Testing Procedure, fundamental physical property tests were performed on the soil sample. The particle size gradation curve derived from the screening test is illustrated in Figure 1.
As illustrated in Figure 1, the particle size predominantly ranges from 2 to 0.075, with the coefficient of uniformity and curvature coefficient for the experimental soil sample calculated as follows:
C u = d 60 d 10
C c = ( d 30 ) 2 d 10 × d 60
where C u represents the coefficient of uniformity for the test soil sample, C c denotes the coefficient of curvature for the same sample, and d 10 , d 30 , and d 60 refer to the characteristic particle sizes (mm). These sizes correspond to the mass percentages of soil particles with diameters less than each respective size—10%, 30%, and 60%—of the total soil mass as depicted on the particle size distribution curve.
Based on the aforementioned formula, the coefficient of uniformity for the test soil sample, denoted as C u , has been determined to be 9.29, and the curvature coefficient, denoted as C c , is measured at 0.61. The tested soil sample failed to satisfy the conditions of C u > 5 and C c = 1~3 concurrently. The project’s foundation soil is a poorly graded medium-grained sand, posing challenges to compaction. Determine the salt content of the test soil sample. The results of the test are presented in Table 1.
As illustrated in Table 1, the predominant anions present in the tested soil sample are S O 4 2 , while the primary cations identified are K + and N a + . The concentration of soluble salts is measured at 0.12%.
To ascertain the optimal moisture content and maximum dry density of the tested soil sample, a light compaction test was conducted, with the resulting compaction test curve illustrated in Figure 2. As illustrated in Figure 2, the optimal moisture content ω 0 and maximum dry density ρ m a x of the tested soil samples are determined to be 14.4% and 2.23 g/cm3, respectively.

2.2. Frost Heave Test Scheme

Refer to relevant literature and standards [23], employing a self-designed frost heave testing protocol, this study examined the vertical frost heave characteristics of reconstructed sand under varying conditions of water content, salt concentration, and temperature. The primary apparatus necessary for the experiment is outlined as follows:
(1)
Electric drying oven: the temperature range is between +10 °C and +300 °C during normal operation, and the temperature fluctuation is ±1 °C.
(2)
Refrigerator: The standard operating temperature range is from +10 °C to −40 °C, with a permissible temperature fluctuation of ±0.1 °C, thereby ensuring compliance with the temperature requirements under extreme local weather conditions.
(3)
Organic glass barrel: Inside diameter—62.50 mm, height—129.05 mm, wall thickness—3.70 mm;
(4)
Three-axis instrument compactor: Diameter—61.8 mm;
(5)
Percentage table: The range is 50 mm, and the accuracy is 0.01 mm;
(6)
Temperature sensor;
(7)
Electronic balance: The measuring range is 5 kg, and the accuracy is 0.01 g.
The primary experimental apparatus and instruments are illustrated in Figure 3.
Based on field soil test results, the average initial dry density of undisturbed soil samples is 1.79 g/cm3. To investigate the influence of water content and salt concentration, the frost heave rate of sulfate sandy soil in seasonal frozen soil areas, the compaction degree of test specimens was kept consistent: the dry density was controlled at 1.80 g/cm3 (consistent with the in situ compaction standard of engineering projects) by the dry density control method. According to the maximum dry density and optimum moisture content obtained from compaction tests, soil samples were prepared with five water content gradients (9%, 11%, 13%, 15%, and 17%) and five salt concentration gradients (0%, 1%, 2%, 3%, and 4%). Prior to sample preparation, the original soil was desalinated: it was immersed in distilled water for several hours and stirred uniformly with a stirring rod; after soil sedimentation, the water was replaced, and the soaking-stirring process was repeated 3–5 times until the total salt content approached 0%. The desalinated soil was then dried and ground for subsequent sample preparation.
Before sample preparation, a uniform layer of Vaseline was applied to the inner wall of the organic glass barrel to reduce friction between the barrel wall and the soil sample during vertical deformation. The pre-calculated amounts of distilled water and salt were fully mixed with the desalinated soil, and the mixture was divided into five equal parts, which were layered into the organic glass barrel (five layers in total). Each layer was roughened before adding the next to avoid stratification and ensure sample integrity; additionally, the mass of soil in each layer was strictly controlled to be identical. Finally, a soil-cutting knife was used to smooth the specimen surface, and a lightweight thin aluminum sheet (diameter: 62 mm) was placed on top of the specimen—this ensures uniform surface deformation during frost heaving and improves the measurement accuracy of the dial gauge.
This experiment was conducted as a closed system without external water supply, and the following design considerations guided this choice: The core objective of this stage of the study was to isolate and quantify the independent and synergistic effects of initial water content and salt concentration frost heave—excluding the interference of variable external water supply (e.g., groundwater seepage, surface water infiltration) which varies significantly across field sites. By controlling the initial water–salt environment and eliminating external water input, we could more accurately establish the quantitative relationship between initial soil properties and frost heave characteristics, laying a foundation for subsequent studies on water–salt migration under dynamic water supply conditions. To ensure a closed environment, a layer of plastic film was sealed on the specimen surface; an additional layer of thermal insulation material was wrapped around the organic glass barrel to ensure uniform internal temperature changes in the specimen during frost heaving. After sample preparation, the specimen was allowed to stand for 24 h to ensure full water–salt equilibration before the formal frost heave test. The detailed experimental protocol is presented in Table 2.
As illustrated in Table 2, the prepared test blocks with varying water and salt contents were placed in the refrigerator. A temperature sensor was inserted into each test block to monitor its temperature, and a dial gauge (percentage table) was installed to measure frost heave deformation. The refrigerator temperature was first adjusted to 10 °C, and the system was left undisturbed to stabilize. Stabilization was confirmed when two criteria were simultaneously met: (1) the dial gauge readings remained constant within a range of ±0.01 mm for 30 consecutive minutes, and (2) the temperature displayed by the sensor fluctuated within ±0.1 °C over 60 consecutive minutes. This stabilization process was maintained for a total of 12 h to ensure equilibrium, after which the dial gauge reading was recorded.
The same stabilization protocol was applied at each subsequent target temperature (10 °C, 5 °C, 0 °C, −5 °C, −10 °C, −15 °C, −20 °C, −25 °C, −30 °C, and −35 °C). After adjusting the refrigerator to the next target temperature, the system was allowed to stand until both the dial gauge and temperature sensor readings met the aforementioned stability criteria. Only then were the frost heave data recorded.
The frost heave characteristics of the soil are reflected by the frost heave rate, and the frost heave rate of the test block is calculated according to the Highway Geotechnical Test Regulations.
η f = Δ h H f × 100 %
where η f refers to the frost heave rate of the sample (%), Δ h refers to the axial frost heave deformation of the sample during the test (mm), H f refers to the freezing depth, and the initial sample height of the frost heave test is used in this test (mm).

3. Analysis of Frost Heave Test Results

3.1. The Influence of Temperature on Frost Heave Law

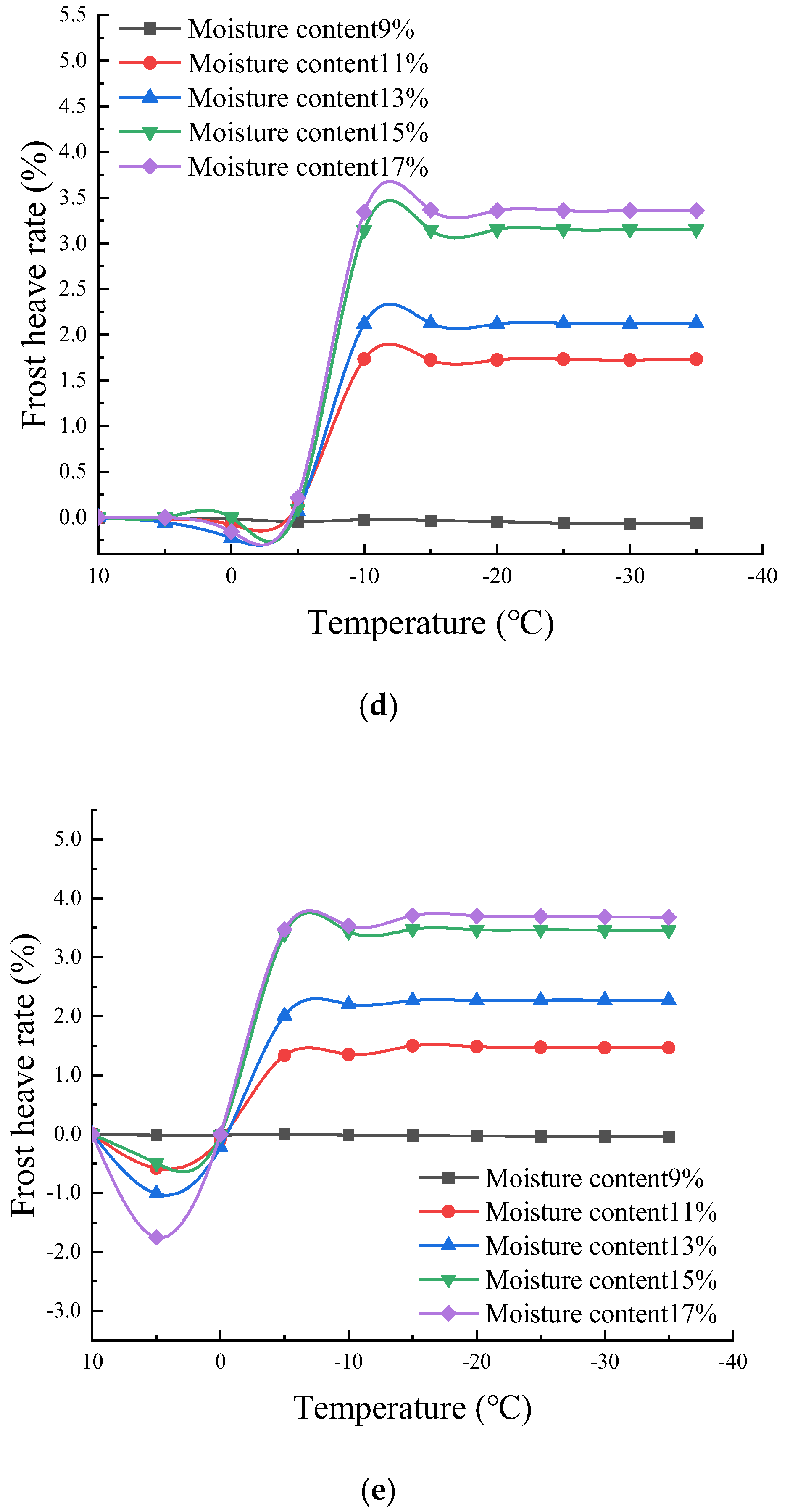
To explore the influence of temperature on the frost heave characteristics of saline sandy soil under different moisture contents, the author selected the lowest temperature of −35 °C through design experiments and considering the environmental impact of local extreme climates. Considering the soluble salt content of the local saline soil, the frost heave rate of sulfate sand with different water content at 0%, 1.0%, 2.0%, 3.0%, and 4.0%, and other conditions was observed, as shown in Figure 4.
As shown in Figure 4, with the decrease in temperature, the frost heave rate of sulfate sandy soil first decreases, then increases, and finally stabilizes. Specifically, the frost heave rate shows a slight downward trend between 10 °C and 0 °C; the largest increase in frost heave rate occurs between 0 °C and −10 °C; and the frost heave rate stabilizes between −10 °C and −35 °C, with the most significant increase observed in the 0 °C to −5 °C range. This variation pattern is directly related to the synergistic effect of water freezing and salt crystallization, as well as the competitive mechanism of soil shrinkage due to cold [4,6,18].
In the temperature range of 10 °C to 0 °C, the temperature has not yet reached the freezing point of the soil’s pore water. Due to the presence of salts, the actual freezing point of pore water is lower than 0 °C (a common physical phenomenon: adding soluble salts to pure water lowers its freezing point, and the higher the salt concentration, the greater the freezing point depression). Therefore, no significant freezing expansion of water occurs in the soil during this stage; the soil only undergoes shrinkage due to temperature reduction. Meanwhile, some salts begin to crystallize slowly, but the amount of crystallization is limited, and the volume expansion effect of crystallization is insufficient to offset the soil’s cold-induced shrinkage. As a result, the overall performance shows a slight decrease in frost heave rate.
When entering the 0 °C to −10 °C range, the temperature drops below the freezing point of pore water, causing a large amount of water to freeze and form ice crystals (water expands by approximately 9% in volume when freezing into ice). At the same time, as water freezes, salts migrate and concentrate, accelerating the crystallization rate (the precipitation rate of sulfate crystals increases significantly with decreasing temperature at low temperatures). Ice crystals and salt crystals jointly fill the soil pores, and the combined volume expansion effect far exceeds the inhibitory effect of soil cold shrinkage, leading to a rapid increase in frost heave rate. This is the stage where the synergistic effect of water freezing and salt crystallization is the strongest, and also the stage where frost heave is most significant.
When the temperature drops below −10 °C, most of the freezable free water in the soil has basically frozen; at the same time, the crystallization process of soluble salts tends to reach saturation (the salt concentration in pore water increases to the solubility limit at this temperature, and further cooling only causes minimal changes in crystal density). Therefore, the total volume of ice crystals and salt crystals no longer increases significantly with decreasing temperature, and the frost heave rate stabilizes accordingly.

3.2. The Influence of Water Content on Frost Heave Law

To study the influence of moisture content on the frost heave of sulfate sandy soil, the lowest temperature of −35 °C was selected as the test environment temperature, considering the most unfavorable environment, and the variation in frost heave rate of saline sand with moisture content under different salt contents was observed, as shown in Figure 5.
As shown in Figure 5, with the increase in water content, the frost heave rate of sulfate sandy soil generally increases first and then stabilizes. Under an ambient temperature of −35 °C, with a fixed salt content, the frost heave rate increases with the increase in water content, and stabilizes when the water content reaches 15%. Among the samples, the one with a water content of 17% has the highest frost heave rate, while the sample with a water content of 9% has the lowest. The differences between samples with different salt contents are as follows: at a low water content (9%), the difference in frost heave rate among the five groups of samples is only 0.23%; when approaching saturated water content (17%), the difference expands to 1.38%. Additionally, the frost heave rate of the sample with a 4.0% salt content shows the most significant change (approximately 0.41%) with increasing water content, while the sample with 0% salt content shows the smallest change (approximately 0.25%).
This phenomenon is closely related to the freezeability of pore water and the intensity of the salt–ice interaction. When the water content is 9%, it is lower than the soil’s initial frost heave water content (9~11%). At this point, pore water can only fill part of the soil pores, and the volume of ice crystals formed after freezing is insufficient to fill the entire pore space. Meanwhile, the limited water also restricts the migration and crystallization of salts. As a result, the frost heave effect is weak, and the differences between samples with different salt contents are small.
When the water content increases to 17% (close to the saturated state), the abundant pore water provides sufficient material basis for ice crystal formation, and the volume expansion of a large number of ice crystals directly drives the displacement of soil particles. At the same time, during the freezing process, water carries salts to migrate toward the freezing front, causing salts to concentrate and crystallize in large quantities in the pores. The crystallization expansion rate of sulfate crystals (e.g., sodium sulfate decahydrate) is much higher than that of ice crystals, forming a synergistic expansion effect with ice crystals and significantly enhancing the frost heave effect. Among the samples, the one with a 4.0% salt content shows the most significant change, precisely because the synergistic effect of salt crystallization and ice expansion is the strongest at this concentration; in contrast, the salt-free sample only relies on ice expansion, resulting in a smaller variation range. When the water content exceeds 15%, the soil pores are completely filled with ice crystals and salt crystals, and the additional water cannot enter the pore system to participate in freezing or crystallization processes. Therefore, the frost heave rate stabilizes.

3.3. Effect of Salt Content on Frost Heave Law

In order to study the effect of salt content on the frost heave law of sulfate sandy soil, the temperature of −35 °C in the most unfavorable environment was also selected as the test environment temperature, and combined with the soluble salt content of Jingtai saline sand soil obtained by the above detection, the variation law of frost heave rate of saline sand with salt content under different water contents in five groups was studied, as shown in Figure 6.
As shown in Figure 6, the frost heave rate of sulfate sandy soil changes minimally with increasing salt content under low salt conditions, indicating that water content exerts a more significant influence on frost heave than salt content for this soil type. With increasing salt content, the frost heave rate increases across all five groups of saline soils. Specifically, the frost heave rates of soils with 17% and 15% water content increase by 1.38% and 1.31%, respectively, whereas that of the 9% water content group increases by no more than 0.2%—a negligible change.
This pattern arises because higher water content enhances salt solubility in the soil. During frost heave, in addition to water freezing into ice crystals, the migration of unfrozen water and precipitation of salt crystals (e.g., sodium sulfate decahydrate) jointly fill soil pores. Once pores reach saturation, further liquid migration toward particle contact surfaces promotes additional ice and salt crystallization, expanding interparticle contacts and disrupting the soil’s internal structure, thereby amplifying frost heave. At low water content (9%), however, limited solubility restricts salt crystallization, and ice formation alone fails to fill soil pores—explaining why frost heave remains nearly unchanged despite increasing salt content.
Notably, this water-dominated frost heave behavior aligns with observations in other sulfate-rich soils, such as those in the Qinghai–Tibet Plateau, where water content similarly emerges as the primary driver of frost heave when salt content exceeds 2% (a common threshold for sulfate soils). In contrast, for chloride-rich saline soils (e.g., in the Hetao Plain), salt content often plays a more prominent role due to the lower crystallization expansion rate of chloride salts compared to sulfates, which reduces their reliance on water availability. Additionally, in seasonally frozen regions with loamy soils (e.g., Northeast China), the critical water content for significant frost heave is typically higher (18–22%) than in our sandy soil samples, reflecting the influence of soil texture on pore structure and water-holding capacity. These comparisons highlight that while the “water-dominated” trend in our sulfate sandy soil is consistent with broader patterns in sulfate-rich systems, its specific thresholds (e.g., 15% water content for stabilization) are shaped by local factors like soil texture and salt type.

4. Comprehensive Influence Model of Frost Heave Rate

According to the curves of the influence of moisture content and salt content on the frost heave rate of soil obtained in Figure 5 and Figure 6, it can be seen that the influence of moisture content on soil frost heave rate can be approximately expressed by a quadratic polynomial function, and the influence law of salt content on soil frost heave rate can be expressed by a primary function, so the variation law of frost heave rate of sulfate sandy soil with moisture content and salt content in seasonal frozen soil areas can be expressed by Equation (4):
Z = a x 2 + b x + c y + d
In the formula, Z is the frost heave rate of the soil predicted by the model (%), x is the soil moisture content (%), y is the soil salt content (%), a, b, c are the weighting coefficients of moisture content and salinity, and d is the calculation coefficient.
According to Equation (4), a large number of data obtained from the experiment are fitted nonlinearly, combined with the Levenberg–Marquardt optimization algorithm and the global optimization algorithm, and the fitting parameters in the above formula are obtained through optimization calculation, as shown in Table 3.
According to the fitting parameters in Table 3, the correlation coefficient R of the fitting model is 0.9179, which proves that the fitting results have a good correlation with the measured data. Then, the weighting coefficients and calculation coefficients of moisture content and salinity obtained by fitting Table 3 are brought into Equation (4), and the variation law of frost heave rate with moisture content and salt content of sulfate sandy soil can be expressed by Equation (5):
Z = 0.04234 · x 2 + 1.46409 · x + 0.17118 · y 9.94632
Combined with Equation (5) and the measured data, the variation law of frost heave rate with moisture content and salt content of sulfate sandy soil is represented in Figure 7.
It can be seen from Figure 7 in the nonlinear fitting surface that the surface changes rapidly with the moisture content, and with the change in salt content is relatively flat, it is proved that the moisture content has a greater influence on the frost heave rate of sulfate sandy soil, while the salt content has less influence on the frost heave rate, which is also in line with the objective physical phenomenon. To illustrate the effect of data fitting more intuitively, Figure 8 plots the fitting curve of moisture content with frost heave rate when the salt content is fixed, and the measured value of the experiment.
Figure 8 shows the measured values and fitted curves of the frost heave rate of sulfate sandy soil with a moisture content of 0%, 1.0%, 2.0%, 3.0%, and 4.0% salinity, respectively. It can be seen from Figure 8 that the fitting curve of frost heave rate with moisture content is similar to the measured value under the condition that the soil salt content is fixed, which indicates that the fitting effect of the data model is better. Therefore, Equation (4) can accurately express the relationship between the frost heave rate of sulfate sandy soil with the change in moisture content and salt content. Comparing the fitting curves under different salt contents, it can be seen that the growth trend of the above five fitting curves is similar, and with the increase in moisture content, the growth rate of the frost heave rate curve is gradually flattened, and the frost heave rate reaches the maximum when the moisture content is 17%, and the growth rate of the fitting curve is close to 0, indicating that the soil is close to saturation when the saline sand soil reaches 17%.

5. Conclusions

(1)
Temperature plays a crucial role in the frost heave of sulfate sandy soil, and with the decrease in temperature, the frost heave rate of sulfate sandy soil shows an “S” shape. The expansion temperature of sulfate sandy soil is between 0 and −5 °C (this interval corresponds to the peak frost heave risk period for engineering structures in the study area, i.e., the Longzhong Water Conservation and Ecological Water Supply and Storage Reservoir Project), and the expansion temperature is mainly affected by the salt content. The frost heave rate of sulfate sandy soil increases the most at 0~−10 °C, and after −10 °C, the frost heave rate gradually tends to be stable. This finding can guide the timing of frost heave prevention measures for local projects (e.g., strengthening insulation of pipeline foundations or reservoir embankments during the 0~−5 °C period to avoid sudden frost heave damage).
(2)
When the degree of compaction is certain and the salt content is the same, the frost heave rate of sulfate sandy soil increases parabolically with the moisture content, and the growth trend slows down when the moisture content is 15%, while when the moisture content is 17%, the frost heave rate tends to be stable. For soil samples with different salt contents, the frost heave rate differs slightly at low moisture content, and the initial frost heave moisture content of sulfate sandy soil is between 9 and 11%. This threshold provides a direct basis for engineering practice: when backfilling sulfate sandy soil (e.g., for road subgrades or reservoir berms), controlling the moisture content below 15% can effectively reduce frost heave deformation, and avoiding moisture content lower than 9% (to prevent excessive porosity and subsequent water absorption leading to delayed frost heave) helps optimize compaction construction parameters.
(3)
When the moisture content is the same, the frost heave rate of sulfate sandy soil increases linearly with the salt content, but the increment is small. Comparative analysis shows that the influence of moisture content on frost heave rate is greater than that of salt content, and frost heave rate is affected by the coupling of water and salt. For engineering sites with high sulfate content (e.g., saline soil areas in Northwest China), this conclusion suggests that prioritizing moisture control (e.g., setting up drainage systems to reduce groundwater infiltration) is more efficient than salt reduction measures (e.g., chemical) for mitigating frost heave, which can lower engineering costs while ensuring safety.
(4)
Combined with the optimization calculation of the Levenberg–Marquardt method and global optimization method, a numerical prediction model of frost heave rate for sulfate sandy soil (considering moisture and salt content) was established. Comparison with a large number of experimental data confirms good correlation between the model and measured values. This model can be directly applied to pre-construction frost heave risk assessment for similar projects (e.g., oil pipelines or irrigation canals in seasonal frozen regions of Northwest China), enabling rapid prediction of frost heave deformation based on-site soil moisture and salt content tests, and supporting the design of anti-frost heave structures (e.g., determining the thickness of insulation layers).
(5)
This study has several limitations to be addressed in subsequent research: experiments were conducted under laboratory constant-temperature freezing conditions, which differ from on-site non-uniform temperature gradients; only single freeze–thaw cycles were considered, without accounting for the cumulative effect of multiple cycles; soil samples were limited to the Longzhong area, and the prediction model does not include factors like engineering overburden pressure. To address these limitations, future research will focus on simulating on-site temperature gradients, conducting multi-cycle freeze–thaw tests, verifying the model’s applicability across regions, and incorporating key factors (e.g., overburden pressure) into the model to better align with engineering practice.

Author Contributions

Conceptualization, K.Y., Q.P. and K.D.; Methodology, K.Y. and K.D.; Software, K.Y.; Validation, Q.P.; Formal analysis, Q.P.; Investigation, K.D.; Resources, Q.P.; Data curation, Q.P.; Writing—original draft, K.Y.; Writing—review & editing, X.C.; Visualization, X.C.; Supervision, X.C.; Funding acquisition, X.C. All authors have read and agreed to the published version of the manuscript.

Funding

This research received no external funding.

Institutional Review Board Statement

Not applicable.

Informed Consent Statement

Not applicable.

Data Availability Statement

The original contributions presented in the study are included in the article, further inquiries can be directed to the corresponding author/s.

Conflicts of Interest

Author Kaixiang Yang was employed by the company Gansu Water Conservancy Engineering Geology Construction Co., Ltd. The remaining authors declare that the research was conducted in the absence of any commercial or financial relationships that could be construed as a potential conflict of interest.

References

  1. Ma, Q.; Lai, Y.; Zhang, M. Freezing-thawing behaviour of saline soil with various anti-saline measures. Eur. J. Environ. Civ. Eng. 2016, 23, 1178–1202. [Google Scholar] [CrossRef]
  2. Zhang, S.; Zhang, J.; Gui, Y.; Chen, W.; Dai, Z. Deformation properties of coarse-grained sulfate saline soil under the freeze-thaw-precipitation cycle. Cold Reg. Sci. Technol. 2020, 177, 103121. [Google Scholar] [CrossRef]
  3. Shen, J.; Wang, Q.; Chen, Y.; Han, Y.; Zhang, X.; Liu, Y. Evolution process of the microstructure of saline soil with different compaction degrees during freeze-thaw cycles. Eng. Geol. 2022, 304, 106699. [Google Scholar] [CrossRef]
  4. Wan, X.; Hu, Q.; Liao, M. Salt crystallization in cold sulfate saline soil. Cold Reg. Sci. Technol. 2017, 137, 36–47. [Google Scholar] [CrossRef]
  5. Liu, H.; Chai, M.; Ma, Y. Study on the mechanism of salt frost heaving in fine grained sulfuric acid saline soil under freeze-thaw cycles. Adv. Geosci. 2023, 13, 569–582. [Google Scholar] [CrossRef]
  6. Zhang, J.; Lai, Y.; Zhao, Y.; Li, S. Study on the mechanism of crystallization deformation of sulfate saline soil during the unidirectional freezing process. Permafr. Periglac. Process. 2021, 32, 102–118. [Google Scholar] [CrossRef]
  7. Wang, J.; Zhang, W.; Tang, L. Frost heaving and hysteresis effect of sulfate saline soil affected by water and salt transport. J. Yangtze River Sci. Res. Inst. 2021, 38, 108–115. [Google Scholar] [CrossRef]
  8. Lai, Y.; You, Z.; Zhang, J. Constitutive models and salt migration mechanisms of saline frozen soil and the-state-of-the-practice countermeasures in cold regions. Res. Cold Arid. Reg. 2021, 13, 1–17. [Google Scholar]
  9. Zhang, J.; Lai, Y.; Li, S.; Zhang, M.; You, Z.; Liang, T. Numerical study on the spatial-temporal distribution of solute and salt accumulation in saturated sulfate saline soil during freezing-thawing processes: Mechanism and feedback. Adv. Water Resour. 2023, 177, 104461. [Google Scholar] [CrossRef]
  10. Zhang, X.; Zhai, E.; Wu, Y.; Sun, D.; Lu, Y. Theoretical and numerical analyses on hydro-thermal-salt-mechanical interaction of unsaturated salinized soil subjected to typical unidirectional freezing process. Int. J. Geomech. 2021, 21, 04021104. [Google Scholar] [CrossRef]
  11. Wang, X.; Zhang, S.; Zhao, K. Salt expansion characteristics and analysis model of coarse-grained sulfate saline soil embankment fill material with increasing fines content. Rock Soil Mech. 2022, 43, 2191–2202. [Google Scholar] [CrossRef]
  12. Zhang, S.; Zhang, C.; Wang, X.; Zhao, Y. Analysis of the Influence of Mud Content on the Engineering Characteristics of Sand Sulfate Saline Soil. J. Zhengzhou Univ. 2024, 45, 98–106. [Google Scholar] [CrossRef]
  13. Yu, T.; Wu, Y.; Si, P.; Zhang, L.; Kong, L.; Pu, Z. Experimental study of salt-frost heave characteristics of fine-grained sodium sulfate saline soil. J. Glaciol. Geocryol. 2019, 41, 407–415. [Google Scholar] [CrossRef]
  14. Zhang, W.; Yang, S.; Ma, J.; Qian, X. Experimental study on salt expansion and frost heaving characteristics of sulfate saline soil under the condition of unilateral cooling. Chin. J. Undergr. Space Eng. 2019, 15, 1017–1023. [Google Scholar]
  15. Ying, S.; Zhou, F.; Wen, T.; Wang, S.; Cao, Y. Salt expansion and frost heave in cooling sulfate saline soil. J. Yangtze River Sci. Res. Inst. 2021, 38, 116–122. [Google Scholar] [CrossRef]
  16. Wu, Y.; Wang, N.; Pan, G.; Li, T. Study on the frost heaving characteristics of fine sand with high salinity in northern Qinghai. J. Glaciol. Geocryol. 2018, 40, 307–313. [Google Scholar]
  17. Lu, J.; Wan, X.; Liu, L.; Li, S.; Yan, Z.; Qiu, E.; Wu, S. Water-heat-salt interaction of sodium sulfate saline soil during a cooling process. J. Harbin Inst. Technol. 2022, 54, 126–134. [Google Scholar] [CrossRef]
  18. Sun, L.; Chai, M.; Li, W.; Song, Y.; Li, M. Modeling and verification of freezing temperature for sodium sulfate saline soil. J. Glaciol. Geocryol. 2024, 46, 211–220. [Google Scholar] [CrossRef]
  19. Zhou, F.; Zhou, Z.; Zhao, W.; Yuan, H. Feature temperature and salt frost heave characteristics of sulfate saline soil in cold and arid regions. China J. Highw. Transp. 2023, 36, 58–67. [Google Scholar] [CrossRef]
  20. Huang, L.; Sheng, Y.; Chen, L.; Peng, E.; Huang, X.; Zhang, X. Sensitivity Analysis of Pipe–Soil Interaction Influencing Factors under Frost Heaving. Atmosphere 2023, 14, 469. [Google Scholar] [CrossRef]
  21. Wu, X.; Hu, J.; Shi, J.; Xiang, H.; Xia, J. Study on Frost Heave and Thaw Settlement Characteristics of Sanya Estuary Channel Soil Layer. Appl. Sci. 2024, 14, 9761. [Google Scholar] [CrossRef]
  22. Chen, L.; Zhang, X. A Quasi-Steady Model for Estimating the Rate of Frost Heave When Subjected to Overburden Pressure. Water 2024, 16, 2542. [Google Scholar] [CrossRef]
  23. Cao, L. Study of water-thermal characteristics and frost heave process monitoring in the roadbed of cutting section in seasonally frozen soil regions. J. Glaciol. Geocryol. 2017, 39, 1065–1074. [Google Scholar] [CrossRef]
Figure 1. Particle size gradation curve.
Figure 1. Particle size gradation curve.
Applsci 15 11228 g001
Figure 2. Compaction test curve.
Figure 2. Compaction test curve.
Applsci 15 11228 g002
Figure 3. Test instruments and equipment. (a) Electric drying oven. (b) Percentage table. (c) Organic glass barrel. (d) Refrigerator. (e) Three-axis instrument compactor. (f) Anhydrous sodium sulfate.
Figure 3. Test instruments and equipment. (a) Electric drying oven. (b) Percentage table. (c) Organic glass barrel. (d) Refrigerator. (e) Three-axis instrument compactor. (f) Anhydrous sodium sulfate.
Applsci 15 11228 g003
Figure 4. Variation curves of frost heave rate with temperature under different moisture contents. (a) Salt content 0%. (b) Salt content 1.0%. (c) Salt content 2.0%. (d) Salt content 3.0%. (e) Salt content 4.0%.
Figure 4. Variation curves of frost heave rate with temperature under different moisture contents. (a) Salt content 0%. (b) Salt content 1.0%. (c) Salt content 2.0%. (d) Salt content 3.0%. (e) Salt content 4.0%.
Applsci 15 11228 g004aApplsci 15 11228 g004b
Figure 5. Variation in frost heave rate of sulfate sandy soil with water content under different salt content.
Figure 5. Variation in frost heave rate of sulfate sandy soil with water content under different salt content.
Applsci 15 11228 g005
Figure 6. Variation in frost heave rate of sulfate sandy soil with salt content under different water contents.
Figure 6. Variation in frost heave rate of sulfate sandy soil with salt content under different water contents.
Applsci 15 11228 g006
Figure 7. Comparison between the measured value and the fitted value.
Figure 7. Comparison between the measured value and the fitted value.
Applsci 15 11228 g007
Figure 8. Comparison of the measured value of frost heave rate with moisture content and the fitting curve. (a) Salt content 0%. (b) Salt content 1.0%. (c) Salt content 2.0%. (d) Salt content 3.0%. (e) Salt content 4.0%.
Figure 8. Comparison of the measured value of frost heave rate with moisture content and the fitting curve. (a) Salt content 0%. (b) Salt content 1.0%. (c) Salt content 2.0%. (d) Salt content 3.0%. (e) Salt content 4.0%.
Applsci 15 11228 g008aApplsci 15 11228 g008b
Table 1. The ion content of soluble salt in soil samples.
Table 1. The ion content of soluble salt in soil samples.
Sampling Depth/mMoisture Content/%Anion Content/(g·kg−1)
C O 3 2 H C O 3 S O 4 2 C l
1.2 m7.00.0390.2530.3130.111
PH valueTotal soluble salt/(g·kg−1)cation content/(g·kg−1)
C a 2 + M g 2 + K + + N a +
7.781.20.1080.0400.297
Table 2. Test plan.
Table 2. Test plan.
Experimental Group NumberSalt Content/%Moisture Content/%Temperature/℃
10910, 5, 0, −5, −10,
−15, −20, −25,
−30, −35
211
313
415
517
61910, 5, 0, −5, −10,
−15, −20, −25,
−30, −35
711
813
915
1017
112910, 5, 0, −5, −10,
−15, −20, −25,
−30, −35
1211
1313
1415
1517
163910, 5, 0, −5, −10,
−15, −20, −25,
−30, −35
1711
1813
1915
2017
214910, 5, 0, −5, −10,
−15, −20, −25,
−30, −35
2211
2313
2415
2517
Table 3. Fitting parameters.
Table 3. Fitting parameters.
abcdCorrelation Coefficient
−0.042341.464090.17118−9.946320.9179
Disclaimer/Publisher’s Note: The statements, opinions and data contained in all publications are solely those of the individual author(s) and contributor(s) and not of MDPI and/or the editor(s). MDPI and/or the editor(s) disclaim responsibility for any injury to people or property resulting from any ideas, methods, instructions or products referred to in the content.

Share and Cite

MDPI and ACS Style

Yang, K.; Pan, Q.; Ding, K.; Cheng, X. Study on Frost Heaving Characteristics of Sulfate-Bearing Sand in Seasonally Frozen Regions. Appl. Sci. 2025, 15, 11228. https://doi.org/10.3390/app152011228

AMA Style

Yang K, Pan Q, Ding K, Cheng X. Study on Frost Heaving Characteristics of Sulfate-Bearing Sand in Seasonally Frozen Regions. Applied Sciences. 2025; 15(20):11228. https://doi.org/10.3390/app152011228

Chicago/Turabian Style

Yang, Kaixiang, Qianwang Pan, Kai Ding, and Xuansheng Cheng. 2025. "Study on Frost Heaving Characteristics of Sulfate-Bearing Sand in Seasonally Frozen Regions" Applied Sciences 15, no. 20: 11228. https://doi.org/10.3390/app152011228

APA Style

Yang, K., Pan, Q., Ding, K., & Cheng, X. (2025). Study on Frost Heaving Characteristics of Sulfate-Bearing Sand in Seasonally Frozen Regions. Applied Sciences, 15(20), 11228. https://doi.org/10.3390/app152011228

Note that from the first issue of 2016, this journal uses article numbers instead of page numbers. See further details here.

Article Metrics

Back to TopTop