Sign in to use this feature.

Years

Between: -

Subjects

remove_circle_outline
remove_circle_outline
remove_circle_outline
remove_circle_outline
remove_circle_outline
remove_circle_outline
remove_circle_outline
remove_circle_outline
remove_circle_outline

Journals

Article Types

Countries / Regions

Search Results (32)

Search Parameters:
Keywords = single vacation

Order results
Result details
Results per page
Select all
Export citation of selected articles as:
13 pages, 666 KB  
Article
Short-Term Sulfurous Balneotherapy and Self-Reported Sleep Quality: An Exploratory Retrospective Real-World Pre–Post Observational Study at Terme di Saturnia (Italy)
by Elisabetta Ferrara, Manela Scaramuzzino, Giuseppe Balice, Giovanna Murmura and Bruna Sinjari
Healthcare 2026, 14(6), 782; https://doi.org/10.3390/healthcare14060782 - 19 Mar 2026
Viewed by 279
Abstract
Background: Sleep disturbances are highly prevalent, affecting approximately 21% of the European population, with chronic insomnia disorder estimated at 6%. Non-pharmacological alternatives to pharmacotherapy are needed. Sulfurous balneotherapy represents a potential intervention, yet real-world evidence remains limited. Objective: To explore changes in self-reported [...] Read more.
Background: Sleep disturbances are highly prevalent, affecting approximately 21% of the European population, with chronic insomnia disorder estimated at 6%. Non-pharmacological alternatives to pharmacotherapy are needed. Sulfurous balneotherapy represents a potential intervention, yet real-world evidence remains limited. Objective: To explore changes in self-reported sleep quality following sulfurous balneotherapy at Terme di Saturnia (Italy). Methods: Retrospective single-arm observational study of 76 participants (mean age 47.3 years, 54% female) undergoing a 7–12-day consecutive balneotherapy cycle with daily sulfurous thermal water immersion sessions (60–90 min/session). The Oviedo Sleep Questionnaire (OSQ) was administered pre- and post-treatment. Participants were stratified by baseline insomnia severity into Group A (OSQ ≥ 22, n = 47) and Group B (OSQ < 22, n = 29). The primary outcome was change in OSQ insomnia score in Group A. Statistical analysis was performed using the Wilcoxon signed-rank test. Results: In Group A, insomnia severity decreased significantly from 26.4 ± 8.3 at baseline to 20.1 ± 7.5 post-treatment (Δ = −6.3, 95% CI: −7.9 to −4.7, p < 0.001, r = 0.54). Sleep satisfaction also improved significantly from 3.2 ± 1.1 to 4.6 ± 1.2 (Δ = +1.4, 95% CI: 1.1–1.7, p < 0.001, r = 0.60). In Group B, no statistically significant changes were observed, consistent with ceiling effects. However, in an open-ended question, 72.4% (21/29; 95% CI: 54.3–85.3) of Group B participants reported enhanced relaxation during the spa stay. Due to the single-arm observational design without control groups, the observed improvements cannot be distinguished from non-specific factors, including the vacation effect, reduced work-related stress, placebo and expectancy responses, regression to the mean, or the effects of warm water immersion itself independent of sulfurous mineral content. Conclusions: This exploratory study documents pre–post improvements in self-reported sleep quality in a cohort undergoing sulfurous balneotherapy during a spa vacation. The absence of control groups and unmeasured confounders precludes causal inferences. Future randomized trials with heated non-mineral water controls are needed to isolate specific therapeutic contributions of sulfurous thermal waters. Full article
(This article belongs to the Special Issue Healthcare Economics, Management, and Innovation for Health Systems)
Show Figures

Figure 1

28 pages, 747 KB  
Article
Optimization Analysis of a Multi-Server Queueing System with Two-Phase Heterogeneous Services and Synchronous Working Vacation Interruptions
by Wei Xu, Linhong Li and Wentao Fan
Mathematics 2026, 14(5), 874; https://doi.org/10.3390/math14050874 - 5 Mar 2026
Viewed by 390
Abstract
Despite extensive research on queueing models in flexible manufacturing systems (FMS), few studies have simultaneously considered the heterogeneity of servers and the impact of synchronous working vacations on system performance. To fill this research gap, this study proposes a novel multi-server queueing model [...] Read more.
Despite extensive research on queueing models in flexible manufacturing systems (FMS), few studies have simultaneously considered the heterogeneity of servers and the impact of synchronous working vacations on system performance. To fill this research gap, this study proposes a novel multi-server queueing model that uniquely integrates two-phase heterogeneous services with synchronous working vacation interruptions. The innovation lies in capturing the complex task processing mechanism where the two-phase service is provided by different servers, and they conduct working vacations synchronously when the system is empty and terminate vacations once the system population reaches a specified threshold. Based on the matrix-analytic approach, this research investigates the stability condition and the stationary distribution of the system. A key numerical finding is the diminishing marginal returns of server numbers, where exceeding an optimal count increases congestion, thereby degrading overall performance. The vacation interruption threshold l is also shown to significantly influence server state allocation. A comparative analysis of three different system configurations, demonstrates that dynamic server number or a vacation interruption threshold adjustment effectively mitigates congestion; and in order to enhance the system clearing capability, when vacations are longer, opting for multiple servers is preferable, whereas a single server is more suitable during shorter vacation periods. For cost optimization, three algorithms (CPSO, JAYA, MLS-JAYA) consistently converge to the same robust optimal solution for server count and vacation rate. Furthermore, to simultaneously minimize waiting time, we apply the MOEA/D algorithm to study the bi-objective optimization problem. Full article
Show Figures

Figure 1

31 pages, 353 KB  
Article
Woman as a Victim—Examples of Discriminatory Provisions in Criminal Law
by Olga Sitarz
Laws 2025, 14(6), 86; https://doi.org/10.3390/laws14060086 - 15 Nov 2025
Viewed by 2135
Abstract
The publication analyses three criminal justice structures prominent in the scientific debate across various countries from the perspective of human rights, with particular emphasis on the principles of gender equality—the order to temporarily vacate the premises shared with the victim, the public-complaint nature [...] Read more.
The publication analyses three criminal justice structures prominent in the scientific debate across various countries from the perspective of human rights, with particular emphasis on the principles of gender equality—the order to temporarily vacate the premises shared with the victim, the public-complaint nature of the offense of rape and the prohibition of mediation in cases of domestic violence. Their shared characteristic is their assumed support for victims of a specific type of criminal offenses, which justifies the premises and scope of these constructs (or the submitted postulates). The analysis has confirmed that all the indicated instruments unreasonably restrict the rights of victims. They are all grounded in a single model of the victim as a person—a weak, powerless woman, unable to decide about herself freely and without coercion. At the same time, it can be argued that they exemplify legal paternalism and systemic gender-based discrimination. Full article
(This article belongs to the Special Issue Law and Gender Justice)
50 pages, 422 KB  
Article
Asymptotic Behavior of the Time-Dependent Solution of the M[X]/G/1 Queuing Model with Feedback and Optional Server Vacations Based on a Single Vacation Policy
by Nuraya Nurahmat and Geni Gupur
Axioms 2025, 14(11), 834; https://doi.org/10.3390/axioms14110834 - 12 Nov 2025
Viewed by 381
Abstract
By using the C0-semigroup theory, we study the asymptotic behavior of the time-dependent solution and the time-dependent indices of the M[X]/G/1 queuing model with feedback and optional server vacations based on a single vacation [...] Read more.
By using the C0-semigroup theory, we study the asymptotic behavior of the time-dependent solution and the time-dependent indices of the M[X]/G/1 queuing model with feedback and optional server vacations based on a single vacation policy. This queuing model is described by infinitely many partial differential equations with integral boundary conditions in an unbounded interval. Under certain conditions, by studying spectrum of the underlying operator of this queuing model on the imaginary axis, we prove that the time-dependent solution of this queuing model strongly converges to its steady-state solution. Next, we prove that the time-dependent queuing length of this queuing system converges to its steady-state queuing length and the time-dependent waiting time of this queuing system converges to its steady-state waiting time as time tends to infinity. Our results extend the steady-state results of this queuing system. Full article
24 pages, 1087 KB  
Article
Performance Analysis and Cost Optimization of the M/M/1/N Queueing System with Working Vacation and Working Breakdown
by Xijuan Yang, Yaqing Zhang, Bo Wang and Xue Jun Li
Mathematics 2025, 13(18), 2980; https://doi.org/10.3390/math13182980 - 15 Sep 2025
Cited by 2 | Viewed by 1784
Abstract
This research advances steady state analysis and cost optimization of the M/M/1/N single vacation queueing system with setup time, working vacation, and working breakdown. The server works at a lower service rate instead of stopping work completely during both the vacation period and [...] Read more.
This research advances steady state analysis and cost optimization of the M/M/1/N single vacation queueing system with setup time, working vacation, and working breakdown. The server works at a lower service rate instead of stopping work completely during both the vacation period and breakdown period—a key distinction from traditional vacation and breakdown strategies, where the server typically halts operations entirely. The setup time exists between the idle period and the regular busy period. The finite quasi birth-and-death process of this queueing system model is established. The stationary probability vector of the system is calculated using the matrix geometric method. Performance measures, such as output variance, availability, throughput rate, and stationary probabilities, are obtained using the theory of the fundamental matrix and covariance matrix. A cost optimization model based on system performance measures is established. The sparrow search algorithm is adopted to solve the cost optimization model. Through numerical experiments, the influences of system parameters on system performance measures and cost optimization function are analyzed, and the efficiency of the sparrow search algorithm for solving the cost optimization model is verified. The experimental results affirm the effectiveness and practicability of the proposed method, which provides a better theoretical basis for the practical application of the queueing system in communication engineering and production systems. Full article
(This article belongs to the Special Issue Advances in Queueing Theory and Applications)
Show Figures

Figure 1

21 pages, 1644 KB  
Article
Fuzzy-Based Control System for Solar-Powered Bulk Service Queueing Model with Vacation
by Radhakrishnan Keerthika, Subramani Palani Niranjan and Sorin Vlase
Appl. Sci. 2025, 15(13), 7547; https://doi.org/10.3390/app15137547 - 4 Jul 2025
Viewed by 853
Abstract
This study proposes a Fuzzy-Based Control System (FBCS) for a Bulk Service Queueing Model with Vacation, designed to optimize service performance by dynamically adjusting system parameters. The queueing model is categorized into three service levels: (A) High Bulk Service, where a large number [...] Read more.
This study proposes a Fuzzy-Based Control System (FBCS) for a Bulk Service Queueing Model with Vacation, designed to optimize service performance by dynamically adjusting system parameters. The queueing model is categorized into three service levels: (A) High Bulk Service, where a large number of arrivals are processed simultaneously; (B) Medium Single Service, where individual packets are handled at a moderate rate; and (C) Low Vacation, where the server takes minimal breaks to maintain efficiency. The Mamdani Inference System (MIS) is implemented to regulate key parameters, such as service rate, bulk size, and vacation duration, based on input variables including queue length, arrival rate, and server utilization. The Mamdani-based fuzzy control mechanism utilizes rule-based reasoning to ensure adaptive decision-making, effectively balancing system performance under varying conditions. By integrating bulk service with a controlled vacation policy, the model achieves an optimal trade-off between processing efficiency and resource utilization. This study examines the effects of fuzzy-based control on key performance metrics, including queue stability, waiting time, and system utilization. The results indicate that the proposed approach enhances operational efficiency and service continuity compared to traditional queueing models. Full article
Show Figures

Figure 1

18 pages, 1048 KB  
Article
Reliability Analysis and Numerical Simulation of Industrial Robot Drive System with Vacation
by Yanling Li, Genqi Xu and Yihui Wang
Axioms 2025, 14(4), 275; https://doi.org/10.3390/axioms14040275 - 4 Apr 2025
Cited by 1 | Viewed by 969
Abstract
With the advancement of science and technology, industrial robots have become indispensable equipment in advanced manufacturing and a critical benchmark for assessing a nation’s manufacturing and technological capabilities. Enhancing the reliability of industrial robots is therefore a pressing priority. This paper investigates the [...] Read more.
With the advancement of science and technology, industrial robots have become indispensable equipment in advanced manufacturing and a critical benchmark for assessing a nation’s manufacturing and technological capabilities. Enhancing the reliability of industrial robots is therefore a pressing priority. This paper investigates the drive system of industrial robots, modeling it as a series system comprising multiple components (n) with a repairman who operates under a single vacation policy. The system assumes that each component’s lifespan follows an exponential distribution, while the repairman’s repair and vacation times adhere to general distributions. Notably, the repairman initiates a vacation at the system’s outset. Using the supplementary variable method, a mathematical model of the system is constructed and formulated within an appropriate Banach space, leading to the derivation of the system’s abstract development equation. Leveraging functional analysis and the C0-semigroup theory of bounded operators, the study examines the system’s adaptability, stability, and key reliability indices. Furthermore, numerical simulations are employed to analyze how system reliability indices vary with parameter values. This work contributes to the field of industrial robot reliability analysis by introducing a novel methodological framework that integrates vacation policies and general distribution assumptions, offering new insights into system behavior and reliability optimization. The findings have significant implications for improving the design and maintenance strategies of industrial robots in real-world applications. Full article
Show Figures

Figure 1

19 pages, 2501 KB  
Article
Cost Optimization in Sintering Process on the Basis of Bulk Queueing System with Diverse Services Modes and Vacation
by Subramani Palani Niranjan, Suthanthira Raj Devi Latha and Sorin Vlase
Mathematics 2024, 12(22), 3535; https://doi.org/10.3390/math12223535 - 12 Nov 2024
Cited by 3 | Viewed by 1435
Abstract
This research investigated a single bulk server queuing model where service modes and server vacations are dependent on the number of clients. The server operates in three different service modes: single service, fixed batch service, and variable batch service. Modes will be determined [...] Read more.
This research investigated a single bulk server queuing model where service modes and server vacations are dependent on the number of clients. The server operates in three different service modes: single service, fixed batch service, and variable batch service. Modes will be determined by queue length. The service starts only when the minimum number of customers, say ‘a’, has accumulated in the queue. At this point, the server selects one of three service modes. Transitions between duty modes are permitted only at the beginning of a duty period. At the end of the service, the server can go on vacation if the queue length drops below ‘a’. When returning from vacation, if threshold ‘a’ is not reached, the server will remain inactive until it is reached. A special technique called the Supplementary Variables Technique (SVT) was used to determine the probability-generating function when estimating the queue size at a given time. Appropriate numerical examples exemplify the method developed in the paper. An optimal cost analysis was performed to set the threshold values for different server modes with the intention of minimizing the aggregate average cost. Full article
(This article belongs to the Special Issue Mathematical Optimization and Control: Methods and Applications)
Show Figures

Figure 1

18 pages, 2664 KB  
Article
Abolishing Single-Use Plastic Water Bottles in Dubai Hotels as a Voluntary Act—Scenarios and Environmental Impacts
by Sameh Al-Shihabi, Ridvan Aydin, Zehra Canan Araci, Fikri Dweiri, Mohammed Obeidat and Mohammad Fayez Al Bataineh
Sustainability 2024, 16(8), 3121; https://doi.org/10.3390/su16083121 - 9 Apr 2024
Viewed by 6487
Abstract
Dubai, a popular vacation spot, has launched an initiative to reduce reliance on single-use plastic water bottles. Tourists in Dubai widely utilize PET (Polyethylene Terephthalate) water bottles, and significant quantities of greenhouse gases (GHG) are released during the production and disposal of PET [...] Read more.
Dubai, a popular vacation spot, has launched an initiative to reduce reliance on single-use plastic water bottles. Tourists in Dubai widely utilize PET (Polyethylene Terephthalate) water bottles, and significant quantities of greenhouse gases (GHG) are released during the production and disposal of PET bottles. In response to Dubai’s initiative, some hotels eliminated PET bottles and substituted them with environmentally favorable alternatives. These hotels are considered adopters of the initiative, while other hotels that might follow are imitators. Thus, innovation diffusion theory (IDT) is used in this work to forecast the transition of hotels to non-PET bottles. The diffusion of this new behavior is simulated using a system dynamic (SD) model, where factors pushing imitators to abolish PET bottles are found using the Delphi method and hotel surveying. Moreover, the importance of each identified factor is found using an analytical hierarchical process (AHP). Since hotels are divided into several categories based on their service quality, the analysis shows that hotels are affected by other hotels in their category or better categories. Using this conceptual understanding, Bass and generalized Bass modeling are used in the SD model to study how imitating hotels will follow the adopters. Best-, average-, and worst-case scenarios are studied to help decision-makers understand what to expect in the future. For the best- and average-case scenarios, the SD simulation shows that all hotels will potentially have abolished PET bottles in 25 years. However, only 16% of hotels will have cancelled PET bottles in 25 years if the worst-case scenario occurs; thus, decision-makers need to intervene to expedite the process. Full article
(This article belongs to the Special Issue Advances in Sustainable Manufacturing and Supply Chains Management)
Show Figures

Figure 1

20 pages, 2256 KB  
Article
Multiple Control Policy in Unreliable Two-Phase Bulk Queueing System with Active Bernoulli Feedback and Vacation
by S. P. Niranjan, S. Devi Latha, Miroslav Mahdal and Krishnasamy Karthik
Mathematics 2024, 12(1), 75; https://doi.org/10.3390/math12010075 - 25 Dec 2023
Cited by 6 | Viewed by 2175
Abstract
In this paper, a bulk arrival and two-phase bulk service with active Bernoulli feedback, vacation, and breakdown is considered. The server provides service in two phases as mandatory according to the general bulk service rule, with minimum bulk size a and [...] Read more.
In this paper, a bulk arrival and two-phase bulk service with active Bernoulli feedback, vacation, and breakdown is considered. The server provides service in two phases as mandatory according to the general bulk service rule, with minimum bulk size a and maximum bulk size b. In the first essential service (FES) completion epoch, if the server fails, with probability δ, then the renewal of the service station is considered. On the other hand, if there is no server failure, with a probability 1δ, then the server switches to a second essential service (SES) in succession. A customer who requires further service as feedback is given priority, and they join the head of the queue with probability β. On the contrary, a customer who does not require feedback leaves the system with a probability 1β. If the queue length is less than a after SES, the server may leave for a single vacation with probability 1β. When the server finds an inadequate number of customers in the queue after vacation completion, the server becomes dormant. After vacation completion, the server requires some time to start service, which is attained by including setup time. The setup time is initiated only when the queue length is at least a. Even after setup time completion, the service process begins only with a queue length ‘N’ (N > b). The novelty of this paper is that it introduces an essential two-phase bulk service, immediate Bernoulli feedback for customers, and renewal service time of the first essential service for the bulk arrival and bulk service queueing model. We aim to develop a model that investigates the probability-generating function of the queue size at any time. Additionally, we analyzed various performance characteristics using numerical examples to demonstrate the model’s effectiveness. An optimum cost analysis was also carried out to minimize the total average cost with appropriate practical applications in existing data transmission and data processing in LTE-A networks using the DRX mechanism. Full article
Show Figures

Figure 1

26 pages, 2319 KB  
Article
Scheduling Parallel Cranes for Unit-Load Automated Storage and Retrieval Systems with Shared Storage
by Rui Xu, Yafang Tuo, Huimin Chen and Jinxue Xu
Systems 2024, 12(1), 3; https://doi.org/10.3390/systems12010003 - 20 Dec 2023
Cited by 3 | Viewed by 3263
Abstract
Motivated by observing real-world instances of multi-aisle automated storage and retrieval systems (AS/RSs) with shared storage, we introduced a new optimization problem called the parallel crane scheduling (PCS) problem. Unlike the single crane scheduling (SCS) problem, the decisions of the PCS problem include [...] Read more.
Motivated by observing real-world instances of multi-aisle automated storage and retrieval systems (AS/RSs) with shared storage, we introduced a new optimization problem called the parallel crane scheduling (PCS) problem. Unlike the single crane scheduling (SCS) problem, the decisions of the PCS problem include not only the request sequencing and storage/retrieval location selection, but also assigning requests to cranes. The PCS problem better reflects the real-life situation, but it is more complex, since these three decisions are interrelated and interact with one another. In this study, since the empty location vacated by any retrieval operation is instantly available, we introduced a new dynamic programming model combined with a mixed-integer linear programming model to describe this complex problem. Considering the feature of location-dependent processing time, we transformed the PCS problem into a variant of the unrelated parallel machine scheduling problem. We developed an apparent tardiness cost-based construction heuristic and an ant colony system algorithm with a problem-specific local optimization. Our experiments demonstrated that the proposed algorithms provide excellent performance, along with the insight that globally scheduling multiple aisles could be considered to reduce the total tardiness when designing an operation scheme for multi-aisle AS/RSs. Full article
(This article belongs to the Section Systems Engineering)
Show Figures

Figure 1

14 pages, 1137 KB  
Article
Analysis of Vacation Fluid M/M/1 Queue in Multi-Phase Random Environment
by Sherif I. Ammar, Yousef F. Alharbi and Yiqiang Q. Zhao
Mathematics 2023, 11(21), 4444; https://doi.org/10.3390/math11214444 - 26 Oct 2023
Cited by 3 | Viewed by 1777
Abstract
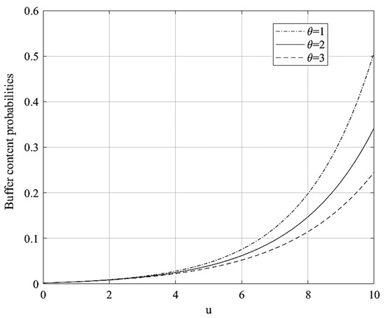
An M/M/1 fluid queue with various vacations is studied in the context of a multi-phase random environment. When the system is in operation (i = 1, 2, …, n), it behaves according to the M/M/1 [...] Read more.
An M/M/1 fluid queue with various vacations is studied in the context of a multi-phase random environment. When the system is in operation (i = 1, 2, …, n), it behaves according to the M/M/1 fluid queue model. However, in any other situation, the system is on vacation, so this leads it to transition into the vacation phase (i = 0). This transition occurs only when there is no data in the system. If the system returns from a vacation and finds it still empty of jobs, it will initiate a new vacation and continue in this pattern until jobs become available in the system, at which point it resumes working. When the vacation phase ends, the probability of the system transitioning to the operational phase is denoted as qi(i = 1, 2, …, n). Subsequently, we derive the stationary probability and analyze the buffer content in relation to the modified Bessel function of the first kind. We utilize the generating function approach and the Laplace–Stieltjes transform to achieve this, enabling us to accomplish our objectives. We provide numerical results to elucidate the overall behavior of the system under consideration. Full article
(This article belongs to the Section D1: Probability and Statistics)
Show Figures

Figure 1

24 pages, 563 KB  
Article
Controlled Arrivals on the Retrial Queueing–Inventory System with an Essential Interruption and Emergency Vacationing Server
by N. Nithya, N. Anbazhagan, S. Amutha, K. Jeganathan, Gi-Cheon Park, Gyanendra Prasad Joshi and Woong Cho
Mathematics 2023, 11(16), 3560; https://doi.org/10.3390/math11163560 - 17 Aug 2023
Cited by 8 | Viewed by 2097
Abstract
In recent times, we have encountered new situations that have imposed restrictions on our ability to visit public places. These changes have affected various aspects of our lives, including limited access to supermarkets, vegetable shops, and other essential establishments. As a response to [...] Read more.
In recent times, we have encountered new situations that have imposed restrictions on our ability to visit public places. These changes have affected various aspects of our lives, including limited access to supermarkets, vegetable shops, and other essential establishments. As a response to these circumstances, we have developed a continuous review retrial queueing–inventory system featuring a single server and controlled customer arrivals. In our system, customers arriving to procure a single item follow a Markovian Arrival Process, while the service time for each customer is modeled by an exponential distribution. Inventories are replenished according to the (s,Q) reordering policy with exponentially distributed lead times. The system controls arrival in the waiting space with setup time. The customers who arrive at a not allowed situation decide to enter an orbit of infinite size with predefined probability. Orbiting customers make retrials to claim a place in the waiting space, and their inter-retrial times are exponentially distributed. The server may experience essential interruption (emergency situation) which arrives according to Poisson process. Then, the server goes for an emergency vacation of a random time which is exponentially distributed. In the steady-state case, the joint probability of the number of customers in orbit and the inventory level has been found, and the Matrix Geometric Method has been used to find the steady-state probability vector. In numerical calculations, the convexity of the system and the impact of F-policy and emergency vacation in the system are discussed. Full article
Show Figures

Figure 1

16 pages, 436 KB  
Article
On Queues with Working Vacation and Interdependence in Arrival and Service Processes
by S Sindhu, Achyutha Krishnamoorthy and Dmitry Kozyrev
Mathematics 2023, 11(10), 2280; https://doi.org/10.3390/math11102280 - 13 May 2023
Cited by 13 | Viewed by 1946
Abstract
In this paper, we consider two queuing models. Model 1 considers a single-server working vacation queuing system with interdependent arrival and service processes. The arrival and service processes evolve by transitions on the product space of two Markovian chains. The transitions in the [...] Read more.
In this paper, we consider two queuing models. Model 1 considers a single-server working vacation queuing system with interdependent arrival and service processes. The arrival and service processes evolve by transitions on the product space of two Markovian chains. The transitions in the two Markov chains in the product space are governed by a semi-Markov rule, with sojourn times in states governed by the exponential distribution. In contrast, in the second model, we consider independent arrival and service processes following phase-type distributions with representation (α,T) of order m and (β,S) of order n, respectively. The service time during normal working is the above indicated phase-type distribution whereas that during working vacation is a phase-type distribution with representation (β,θS), 0<θ<1. The duration of the latter is exponentially distributed. The latter model is already present in the literature and will be briefly described. The main objective is to make a theoretical comparison between the two. Numerical illustrations for the first model are provided. Full article
(This article belongs to the Special Issue Stochastic Modeling and Applied Probability, 2nd Edition)
Show Figures

Figure 1

16 pages, 3089 KB  
Article
Preemptive Priority Markovian Queue Subject to Server Breakdown with Imperfect Coverage and Working Vacation Interruption
by Tzu-Hsin Liu, He-Yao Hsu, Jau-Chuan Ke and Fu-Min Chang
Computation 2023, 11(5), 89; https://doi.org/10.3390/computation11050089 - 27 Apr 2023
Cited by 12 | Viewed by 2613
Abstract
This work considers a preemptive priority queueing system with vacation, where the single server may break down with imperfect coverage. Various combinations of server vacation priority queueing models have been studied by many scholars. A common assumption in these models is that the [...] Read more.
This work considers a preemptive priority queueing system with vacation, where the single server may break down with imperfect coverage. Various combinations of server vacation priority queueing models have been studied by many scholars. A common assumption in these models is that the server will only resume its normal service rate after the vacation is over. However, such speculation is more limited in real-world situations. Hence, in this study, the vacation will be interrupted if a customer waits for service in the system at the moment of completion of service during vacation. The stationary probability distribution is derived by using the probability generating function approach. We also develop varieties of performance measures and provide a simple numerical example to illustrate these measures. Optimization analysis is finally carried out, including cost optimization and tri-object optimization. Full article
Show Figures

Figure 1

Back to TopTop