Abstract
An M/M/1 fluid queue with various vacations is studied in the context of a multi-phase random environment. When the system is in operation (i = 1, 2, …, n), it behaves according to the M/M/1 fluid queue model. However, in any other situation, the system is on vacation, so this leads it to transition into the vacation phase (i = 0). This transition occurs only when there is no data in the system. If the system returns from a vacation and finds it still empty of jobs, it will initiate a new vacation and continue in this pattern until jobs become available in the system, at which point it resumes working. When the vacation phase ends, the probability of the system transitioning to the operational phase is denoted as (i = 1, 2, …, n). Subsequently, we derive the stationary probability and analyze the buffer content in relation to the modified Bessel function of the first kind. We utilize the generating function approach and the Laplace–Stieltjes transform to achieve this, enabling us to accomplish our objectives. We provide numerical results to elucidate the overall behavior of the system under consideration.
Keywords:
vacation; fluid single server queue; generating functions; buffer content; random environment MSC:
60K20; 68M20; 90B22
1. Introduction
Recently, there has been a noticeable surge in interest in the study behavior of queueing systems, especially in the context of fluid queueing systems. This heightened interest is attributed to the fact that these systems have relevance in numerous everyday applications. They find applications in various domains such as production engineering, traffic management for high-speed networks, modern telecommunications, data distribution networks, and manufacturing systems, among many others.
Due to the existence of a significant number of systems exhibiting fluid queueing system behavior, a multitude of researchers have embarked on the quest to explain the behavior of these systems and develop methods to manage them. A fluid queue, which operates as an input–output process, involves a continuous flow of fluid entering and leaving a buffer, which functions as a storage device, at varying rates controlled by an external stochastic environment. The rates of fluid that enters and exits from the buffer are determined by this environment. Fluid queues serve as a suitable mathematical tool for modeling a wide range of systems, including packet video and voice systems with or without background data, traffic shaping, computer networks encompassing call admission control and TCP modeling, as well as production and inventory systems, among others. For additional information, readers may refer to sources such as [1,2,3,4,5,6,7].
The tremendous revolution in the development of communication networks, production systems, and other systems has given rise to the emergence and dissemination of various concepts that have accompanied this progress, such as vacations and catastrophes. One clear example of this trend is the increase in the number of people going on vacation. As a result of these innovations, there has been a surge of interest in researching the behavior of fluid queueing systems, with the aim of integrating novel concepts (such as disasters and vacations) and understanding how these factors influence the behavior of these systems. This research enables us to better comprehend and design various applications in our daily lives that are related to queueing systems. Previous work on fluid queueing models can be categorized into two groups to provide readers with a clearer understanding of the topic. The first category explores the traditional fluid queueing systems, while the second category focuses on the fluid queueing systems that incorporate vacations. In the context of our article, we will concentrate on studies related to the fluid vacation queue. In [8], the authors described a fluid system adjusted by the M/M/1/N queue with vacations. They derived the Laplace transform for the stationary buffer content. The same authors who contributed to [8] also investigated the stationary behavior of a fluid model in [9]. This model was executed using the M/M/1 queue and included single exponential vacations. The buffer content distribution was determined by solving a straightforward quadratic equation. In [10], a tandem fluid model controlled by the M/M/1 vacation queue was examined. By finding the minimally positive solution to an essential quadratic equation, they characterized the stationary distribution of the buffer content based on the Laplace transformation. In [11], the authors explored a fluid model controlled by the M/G/1 queue with multiple exponential vacations. The formula for the mean buffer content was provided using the Laplace transform approach. The authors in [12] considered a fluid queue controlled by the M/M/1 queue, including working vacations and vacation interruptions. They acquired the stationary distribution of the queue length and determined the average stationary buffer content and the stationary probability of having an empty buffer. In [13], the fluid model controlled by the M/M/c queue in conjunction with the working vacation queue was investigated. The authors used the Laplace transform to determine the stationary distribution of the queue length, as well as the probabilities of the mean and empty buffer content. In [14], the stationary buffer content distribution for an M/M/1-based fluid queue with repeated exponential vacations was obtained using the probability generating function approach in relation to a modified form of the Bessel function of the first type. This distribution accounts for multiple vacations. The authors in [15] examined a fluid model controlled by the M/PH/1 queue with numerous exponential vacations. Their work was based on the matrix analytical approach and Laplace transformation. The authors successfully derived the steady-state distribution Laplace transform of the buffer content, along with the stationary probability of having an empty buffer. In [16], a discussion on fluid queue stationary analysis was presented, focusing on the M/M/1 queueing model subjected to Bernoulli schedule-controlled vacations and vacation interruptions. The authors utilized the matrix geometric approach in the Laplacian domain to formulate an explicit equation for the stationary probabilities of the buffer content. In [17], the equilibrium conditions for customer queues within the M/M/1 queue with vacation interruptions and working vacations was explored. The authors discussed equilibrium strategies for customers and the stationary behavior of customers. The authors of [18] introduced a fluid queueing model in their work, controlled by the M/M/1/N queue affected by working vacations. They achieved this by creating an explicit equation for buffer content distribution using the Laplace transform and generating function approaches, based on the modified Bessel function of the first type. In [19], the authors illustrated a fluid queue controlled by a multi-server queue featuring working vacations and vacation interruptions. Using the matrix geometric structure of the Laplace transform, they calculated the steady-state distribution of fluid buffer queue mean. In [20], a fluid model was investigated which was formulated with an M/M/1 queue subjected to working. The authors expressed the buffer content distribution based on a modified Bessel function of the first type, utilizing continuous fraction and generating function approaches. Impatience was also incorporated as a component in this system in reference [20], as discussed in their subsequent work in [21], since they presented a formula for the buffer content distribution based on the modified Bessel function of the first type, derived using the same approaches as presented in [22]. The authors in [23] delved into a fluid model directed by an M/M/1 queue with working vacations and unfavorable customer policies. They determined the average fluid quantity in the buffer and the probability of the buffer being empty for this fluid queue using the Laplace transform approach. The authors in [24] suggested that a fluid model performed with a queue length procedure of a working vacation queue, along with the PH service distribution, could be utilized. The authors in [25] referred to a fluid model that included a working vacation approach, where the working vacation period and the busy period alternated throughout the model. In addition, they discussed equilibrium methods in both fully observable and almost observable cases, considering individual profit and societal benefits measured in units of time. In [6], the authors presented a multi-server fluid queueing system that considered working vacations and server outages. Using the matrix geometric solution approach, they calculated the steady-state distribution of the fluid buffer content distribution. In [26], the authors described the equilibrium behavior of consumers and the socially ideal threshold approach for a fluid model with two different forms of simultaneous clients and unreliable servers. They derived equilibrium methods for both fully observable and partially observable scenarios.
Recently, Ammar [27] delved into the stationary behavior of the buffer content distribution in a fluid queue controlled by the M/M/1 queue within a given random environment. His focus was on how this distribution behaves in the presence of catastrophic events.
Conversely, the study of queueing systems in unpredictable environments has attracted the attention of a significant number of scholars due to its myriad applications across various facets of our lives. To gain insights into the numerous phenomena occurring in our daily lives, including industrial systems, transportation networks, and financial systems, many researchers have dedicated their efforts to understanding the behavior of queueing systems. This focus arises from the versatility and applicability of queueing systems within random environments. One distinguishing feature of queues in random environments is their variable rates depending on the current stage of consideration. As a result, these systems are inherently complex, making the task of analyzing their behavior exceedingly challenging.
The proliferation of studies related to queueing systems is attributed to the increasing interest in researching queueing systems within random environments. This surge in interest has led to an extensive body of literature dedicated to investigating the behavior of complex systems. Consequently, we will only focus on discussing the papers that are directly relevant to the subject matter of our current paper, which pertains to vacation queueing systems in a random environment.
In [28], the authors examined the unreliable M/M/1 retrial queue operating within a given random environment, employing matrix analytic techniques. The researchers reported on both the stability assessment and the calculation of the steady-state distribution of the orbit’s size. In [29], the authors investigated an M/G/1 queue with multiple vacations and vacation interruptions in a random setting, utilizing the supplemental variable approach. They concluded their study by determining the distributions of the service status and queue length under steady-state conditions. Ref. [30] focused on the steady-state behavior of the M/G/1 vacation queue within a provided random environment, employing the supplementary variable approach. They derived distributions for the size of the stationary system and some performance measures and introduced a new strategy for the system’s vacations. In [31], the authors discussed a discrete time queue with vacations within random environment formulations, utilizing the extra variable approach. They provided probability generating functions for the stationary sojourn time distribution and the stationary queue length distribution. Additionally, they demonstrated that the discrete time equivalent of the queue with vacations in the random environment could be used as an approximation.
Expanding on their previous work in [31], the same authors considered a GI/M/1 queue with vacations and multiple phases of service in [32]. They successfully determined the distributions of both the stationary waiting time and the stationary system size, employing a matrix geometric solution approach and a semi-Markov procedure. In [22], the study delved into the M/M/1 queue with vacations in a random environment. The probability generating function technique was employed to determine the steady-state queue length and other performance metrics. In [33], the author derived the stationary sojourn time distribution, the stationary system size distribution, and an explanation of the stochastic decomposition feature for an M/G/1 queue with vacations and multiple phases of operation, using the supplementary variables strategy. All these results were obtained for the queue, and the stochastic decomposition feature was also explained. In [34], the author explored a single-server queueing system with geometric abandonments and server breakdowns for use in a multi-phase randomization scenario. According to this model, server breakdowns can only occur when the server is actively processing consumers. The study constructed the steady-state distribution and various output metrics using techniques based on matrix geometry and probability generating functions.
This article demonstrates the real-world applicability of the proposed system through various examples from everyday life. The system in question finds numerous engineering applications, including but not limited to multibody systems, automobiles, precision machinery, and weaponry.
For instance, consider a flexible manufacturing facility primarily employed in production systems to manufacture items based on customer specifications. Once customer backorders become unavailable, the manufacturing plant transitions to producing items from a stock range. This transition can be likened to the server going on vacation. During this vacation period, customers cannot access the facility. The facility continues to take these “vacations” until it identifies at least one customer order awaiting processing at the conclusion of each vacation. The operation is exhaustive because of the expense of switching between make-to-stock and make-to-order.
The service capacity of the facility is determined based on the number of orders, primarily to manage the significant personnel costs. Order quantities often exhibit cyclical patterns. Suppose during a specific period, the order quantity is divided into n distinct levels, each with a corresponding probability represented as the ith level (i = 1, 2, …, n). If the order quantity falls within the ith level, it corresponds to a specific order arrival rate and the facility’s service rate.
Another scenario to consider is in a production system where the server frequently takes breaks, particularly when there are no pending tasks to handle. The server resumes service as soon as it returns from vacation and continues if there are customers waiting for service. The rate of service performance may be influenced by factors such as the operator’s experience, environmental conditions, and access speed.
As a final example, in a computer network, jobs can be divided into different classes, enabling quality of service support. The different classes of tasks may necessitate varying service rates, and there may be natural differences in the arrival rates of data, audio, and video packets. The system under investigation can be applied to model these diverse scenarios effectively.
The motivation behind this paper stems from a variety of sources. Firstly, the proposed system exhibits numerous practical applications in everyday life, some of which have been previously discussed. Secondly, there is a notable absence of literature addressing the specific subject matter of this study. To the best of our knowledge, this article marks the first attempt to provide an analytical stationary solution for the presented system, shedding light on its behavior.
In this article, we have structured the content as follows: In Section 2, we introduce the system under investigation. Section 3 presents the derivation of the stationary probabilities for the fluid queueing system under study. To elucidate the general behavior of the fluid queueing system, Section 4 includes numerical examples. Finally, Section 5 offers our conclusion.
2. Description of System and Fluid Queue
In the given research, we explore a fluid M/M/1 vacation queueing system within a multi-phase random environment. The following are the fundamental presumptions of the proposed system:
- (1)
- The system consists of n phases, with n operational phases denoted as i,i = 1, …, n, and a vacation phase i = 0. During the operational phases, the system behaves as a standard M/M/1 queue, with arrival rate and rate of the service .
- (2)
- When there are no customers in the system, and all services have been provided, the system enters the vacation phase (i = 0). The duration of each vacation is exponentially distributed with a mean of 1/θ. The system remains in the vacation phase if no new customers arrive, and arrivals during the vacation phase follow a Poisson process with a rate of .
- (3)
- Direct transitions between operational stages are not allowed during system operation. Instead, the system transitions from the vacation phase to an operational phase i with a probability , and it remains in that phase until the next vacation occurs.
- (4)
- Suppose that shows the customer number in the given system [0, 1, 2, …] and let denote the state of system at any time t [1, 2, …, n: operating phase; 0: vacation phase].
In addition to this, it is illustrated that the stochastic process indicates the Markov chain along the state space where
Let be the buffer content at time . This is a non-negative random variable, and the buffer content cannot decrease when the buffer is empty. That is,
This indicates that the buffer content rises linearly with rate if the background queueing system is not empty, the system is functioning, and the system is experiencing a consistent busy period. However, the buffer content is linearly reduced along with a rate of r0 < 0, while the background system is empty and in the vacation phase.
The 3-D procedure clearly denotes a moving M/M/1 vacation queue in a random environment under the constraint of stability, and it is represented as
where represents the probability of the background queueing model being in the state For further details, readers may refer to [32].
Suppose that and shows the system’s transient state probability at server state i and the m denotes the customers number.
While the given process is stable, we could write this as the following:
The buffer’s content has a stationary distribution, and this function is given by the following:
The fluid queueing system’s differential difference equations are supplied by the following standard arguments:
For vacation phase ,
and for i = 1, 2,… n,
Here, denotes the symbol of Kronecker. Subjected to boundary conditions, we obtain
For determing the constant a which represents the , adding the equations in (1)–(3) gives the following:
By integrating (5) from the 0 to ∞ gives the following:
Noting the following:
By utilizing the boundary condition that is displayed by (4), we attain the following:
By simplifying, we obtain the following:
Consequently, the constant a is explicitly expressed as the following:
Here, is provided in Liu and Li [22].
3. Stationary Probability Analysis
We analyze the fluid model stationary probabilities that are obtained by utilizing the generating function approach and the LT in this section.
3.1. Evaluation of
By defining the probability generating function for the probabilities of a transient state as given below:
By utilizing the system of equations, we obtain a linear differential equation.
The differential equation solution can easily be attained as the following:
It is widely understood that if and , then
Here, the above metioned Bessel function of the first type form is denoted as Im(.). Comparing the coefficients of on both sides of (10), we obtain for and the following:
The above equation holds for by its left-hand side for being substituted with 0.
By applying for we obtain the following:
Using (10) in (9) makes working much easier and produces an elegant expression for the as follows:
for m = 1, 2, 3, …, i = 1, 2, …, n. Therefore, is represented in terms of
3.2. Evaluation of
For determining the , we would utilize the Laplace transformation. We provide the equation after obtaining the Laplace transforms of the system in (2).
By iteration, we obtain the following:
On the inversion, we obtain the following:
where ∗ represents the convolution. Therefore, has been represented in the terms of for It has displayed that is provided in the form of . So, we are required to evaluate .
3.3. Evaluation of
Using the system of Equation (1)’s Laplace transforms, we can derive the following:
From (14), for the value of we obtain the following:
Utilizing (18) in (17) gives the following results after extensive mathematical manipulations:
On the process of inversion, we obtain an explicit expression for the as follows:
As a result, the fluid vacation queueing system’s stationary probabilities are all computed explicitly.
3.4. Buffer Content Distribution
The stationary content of the buffer in the fluid queue under analysis is provided by the following:
Taking the Laplace transform of (20) yields the following:
where
By inversion, we obtain the following:
where has been given by Equation (19).
3.5. Mean Buffer Content
We consider the following:
The result of (9)’s Laplace transform is as follows:
At the and from the above equation, we obtain the following:
By rewriting (18) as we have, the following:
So, we obtain the following:
By substituting (24) in (22) and doing some algebraic manipulations, we reach the following:
Let represent the Laplace transformation of the distribution of the buffer content realized as follows:
From Equation (25), we obtain the following:
The mean buffer content is provided by the following:
Hence, through the given derivatives of Equation (26) in relation to and by letting the to 0, we obtained the mean buffer content in and r″.
4. Numerical Results
The distribution of the buffer content in the stationary state for the proposed system has been determined as outlined in the preceding sections. Building upon the insights gleaned from the previous sections, this section delves into an explanation of how various factors impact the overall behavior of the system under consideration. The forthcoming graphics will illustrate how different parameters, such as the vacation rate and the fluid net input rate to the buffer content distribution, exert visible influences on the behavior of the system. For illustrative purposes, we assume n = 2, implying the presence of two operational phases and a vacation phase, without loss of generality. Numerical calculations are employed to clarify the effects of various parameters, utilizing the formula F(u). The value of a is determined during these numerical calculations based on the value of .
The MATLAB built-in command “quad” is employed for the numerical evaluation of the integrals with an error tolerance of 10−6. This assessment is achieved through recursive adaptive Simpson quadrature and is applied to the convolution term, which is expressed in terms of infinite sums, transformations, and Bessel functions as outlined in the previously mentioned formulas.
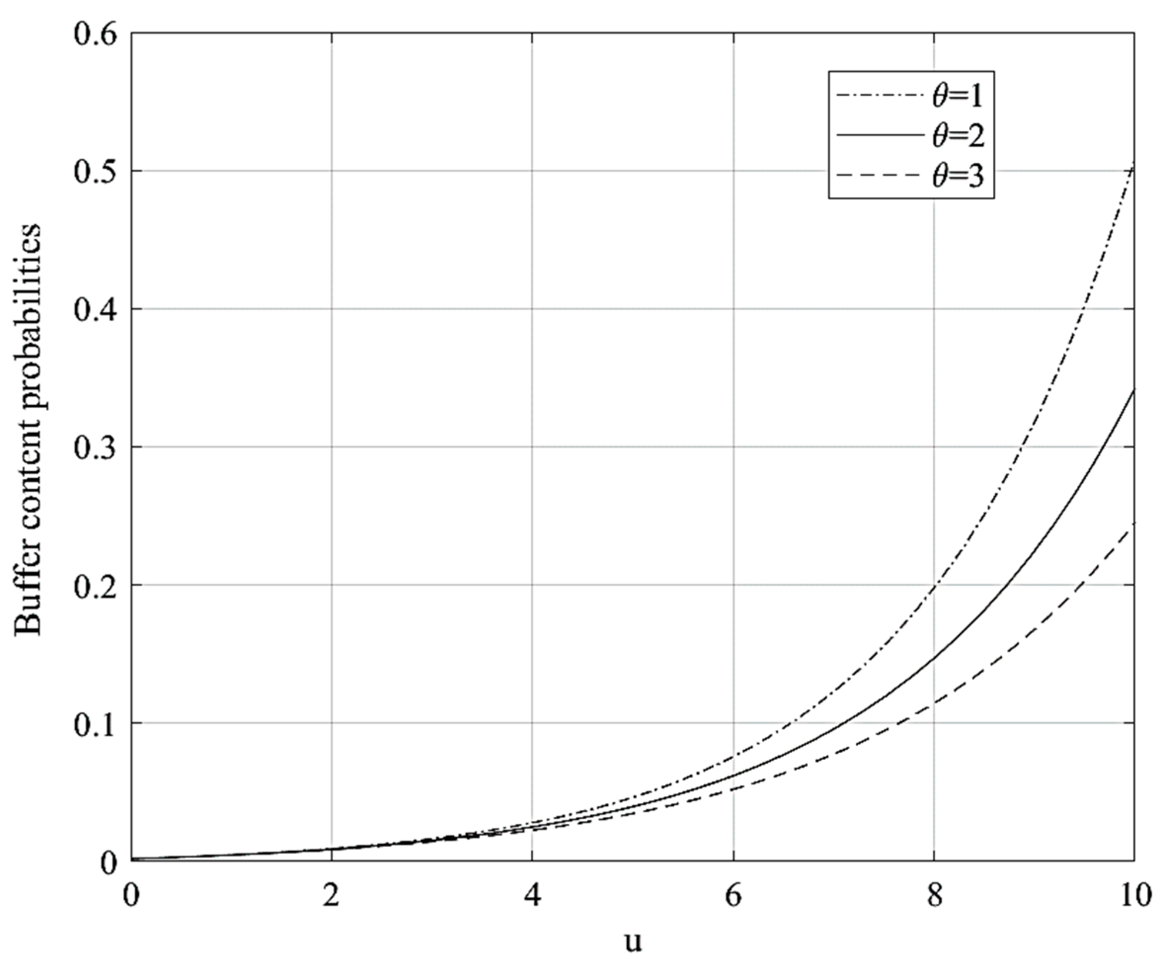
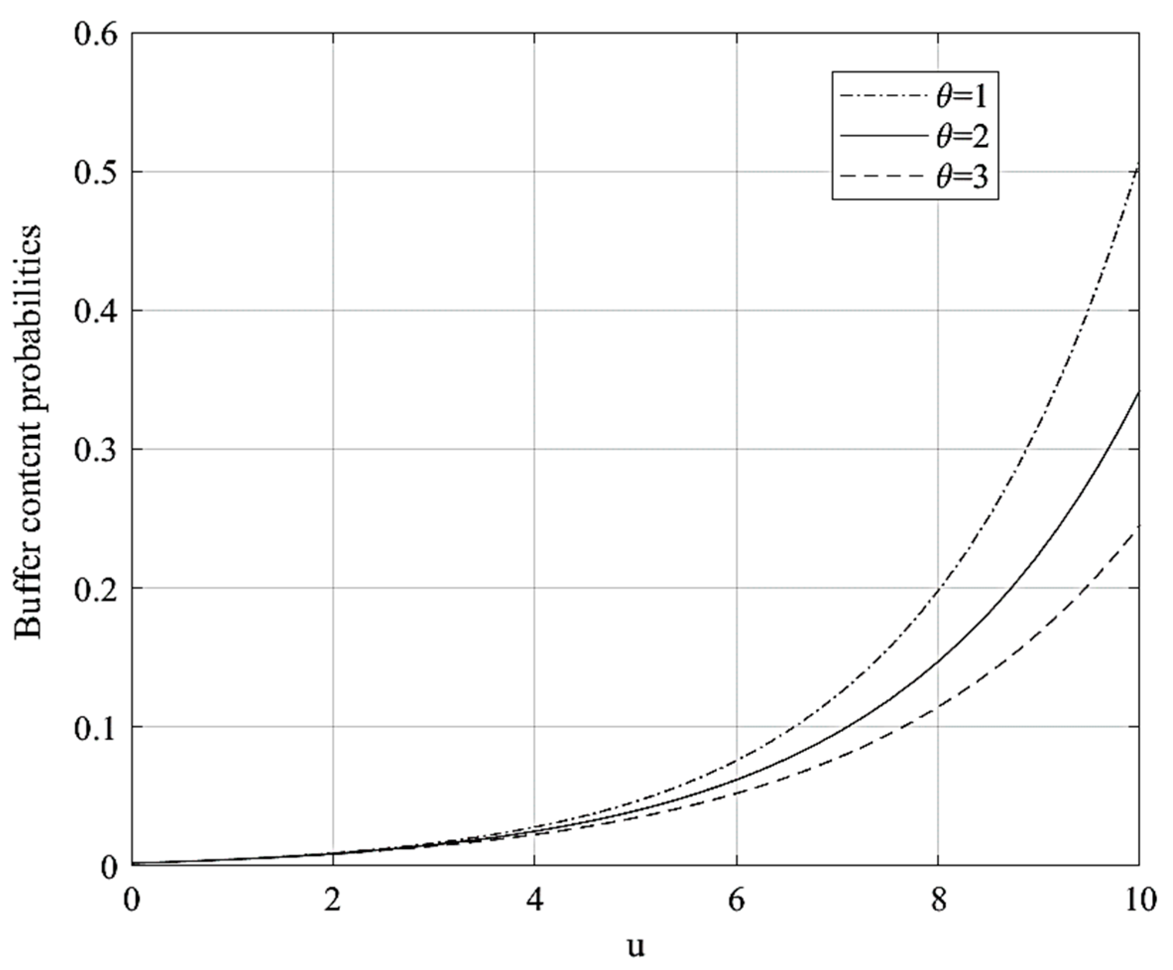
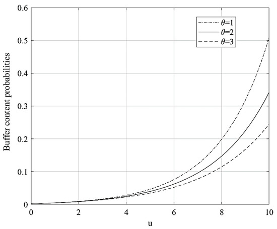
Figure 1 represents the impacts of the vacation rate on the F(u) for various values of the , where , , , , , , , and As depicted in Figure 1, the θ vacation rate exerts a noteworthy influence on the behavior of the buffer content distribution. It is evident that an increase in the vacation rate results in a substantial reduction in the buffer content distribution. Additionally, the buffer content distribution typically exhibits an upward trend as u is increased.
Figure 1.
Illustrates the effect of vacation rate on F(u).
The influence that the fluid’s total net input rate has on the distribution of the buffer’s content can be seen in Figure 2. Thus, the plots of F(u) versus the buffer content u are represented in Figure 2 for r0 and r, respectively, where , , , ,, , , and The behavior of the buffer content distribution is evidently influenced by the net input rates’ values, since the increase in r and the absolute values of r0 lead to a notable decrease in the values of F(u). Consequently, any alterations to these rates lead to a different behavior of F(u).
Figure 2.
The buffer content material with a variety of the net input rates. (a) Effect of r on F(u). (b) Effect of r0 on F(u).
The behavior of the buffer content distribution is evidently influenced by the values of the net input rates, as indicated by the increase in r and the absolute values of r0. These factors contribute to a significant reduction in the values of F(u). Consequently, any modifications to these rates result in an altered behavior of F(u).
Figure 3 represents the rates of the arrvial and service impacts on the F(u), where , , , and It is noteworthy that alterations in the service and arrival rates have a substantial impact on F(u). Specifically, the distribution of the buffer content experiences a significant increase as the values of the arrival and service rates rise.
Figure 3.
The buffer content with a diversity of λi and μi.
Furthermore, the influence of on F(u) is presented in Table 1. As demonstrated in Table 1, F(u) values are provided for various values, and as anticipated, the table distinctly illustrates that an increase in the rate of arrival during the vacation phase leads to an augmentation in the buffer content. This observation reinforces the proposed hypothesis that variations in the arrival and service rates at any stage can exert a substantial impact on the overall behavior of the system.
Table 1.
Effect of on F(u).
5. Conclusions
A multi-phase random environment has been employed to conduct research on the M/M/1 fluid vacation queueing system, utilizing the Laplace–Stieltjes transform and the generating function approach. Stationary probabilities are employed to represent the distribution of the buffer content. Furthermore, the stationary probabilities of the state for the background queueing model are explicitly expressed in terms of the modified Bessel function of the first kind. The significance of this research lies in the presentation of novel formulas that did not previously exist, given that the proposed system had not been investigated before. To illustrate the influence of various factors on the behavior of the proposed system, numerous numerical examples have been presented. These numerical examples serve to demonstrate the suitability of the proposed approach for modeling real-world scenarios.
Author Contributions
S.I.A.: Conceptualization, Data curation, Software, Formal analysis, Writing—original draft. Y.F.A.: Conceptualization, Data curation, Software, Formal analysis, Writing—review editing. Y.Q.Z.: Conceptualization, Software, Formal analysis, Writing—original draft. All authors have read and agreed to the published version of the manuscript.
Funding
The Deputyship for Research & Innovation, “Ministry of Education in Saudi Arabia” for funding this research work through the project number: 445-9-474.
Data Availability Statement
The data used to support the findings of this study are included within the article.
Acknowledgments
The authors extend their appreciation to the Deputyship for Research & Innovation, “Ministry of Education in Saudi Arabia” for funding this research work through the project number: 445-9-474.
Conflicts of Interest
The authors declare no conflict of interest.
References
- Anick, D.; Mitra, D.; Sondhi, M.M. Stochastic theory of a data-handling system with multiple sources. Bell Syst. Tech. J. 1982, 61, 1871–1894. [Google Scholar] [CrossRef]
- Bekker, R.; Mandjes, M. A fluid model for a relay node in an ad hoc network: The case of heavy-tailed input. Math. Methods Oper. Res. 2009, 70, 357–384. [Google Scholar] [CrossRef][Green Version]
- Elwalid, A.I.; Mitra, D. Analysis and design of rate-based congestion control of high speed networks, I: Stochastic fluid models, access regulation. Queueing Syst. Theory Appl. 1991, 9, 29–63. [Google Scholar] [CrossRef]
- Knessl, C.; Morrison, J.A. Heavy traffic analysis of a data-handling system with many resources. SIAM J. Appl. Math. 1991, 51, 187–213. [Google Scholar] [CrossRef]
- Latouche, G.; Taylor, P. A stochastic fluid model for an ad-hoc mobile network. Queueing Syst. 2009, 63, 109–129. [Google Scholar] [CrossRef]
- Seenivasan, M.; Pattabiraman, K.; Indumathi, M. The Stationary investigation on multi-server fluid queueing model with unreliable server. In Advances in Fluid Dynamics, Lecture Notes in Mechanical Engineering; Rushi Kumar, B., Sivaraj, R., Prakash, J., Eds.; Springer: Singapore, 2021. [Google Scholar]
- Stern, T.E.; Elwalid, A.I. Analysis of separable Markov-modulated rate models for information-handling systems. Adv. Appl. Probab. 1991, 23, 105–139. [Google Scholar] [CrossRef]
- Mao, B.; Wang, F.; Tian, N. Fluid model driven by an M/M/1/N queue with multiple exponential vacations. J. Inf. Comput. Sci. 2010, 6, 1809–1816. [Google Scholar] [CrossRef]
- Mao, B.; Wang, F.; Tian, N. Fluid model driven by an M/M/1 queue with multiple exponential vacations. In Proceedings of the 2010 Second International Conference on Information Technology and Computer Science, Kiev, Ukraine, 24–25 July 2010; pp. 112–115. [Google Scholar]
- Wang, F.; Mao, B. Tandem fluid model driven by an M/M/1 vacation queue. J. Inf. Comput. Sci. 2010, 7, 2959–2966. [Google Scholar]
- Mao, B.W.; Wang, F.W.; Tian, N.S. Fluid model driven by an M/G/1 queue with multiple exponential vacations. Appl. Math. Comput. 2011, 218, 4041–4048. [Google Scholar] [CrossRef]
- Xu, X.; Guo, H.; Zhao, Y.; Geng, J. The fluid model driven by the M/M/1 queue with working vacations and vacation interruption. J. Comput. Inf. Syst. 2012, 8, 7643–7651. [Google Scholar]
- Xu, X.; Geng, J.; Liu, M.; Guo, H. Stationary analysis for the fluid model driven by the M/M/c working vacation queue. J. Math. Anal. Appl. 2013, 403, 423–433. [Google Scholar] [CrossRef]
- Ammar, S.I. Analysis of an M/M/1 driven fluid queue with multiple exponential vacations. Appl. Math. Comput. 2014, 227, 329–334. [Google Scholar] [CrossRef]
- Mao, B.; Wang, F.; Zhao, H. Fluid model fed by an M/PH/1 queue with multiple vacations. ICIC Express Lett. 2015, 9, 2795–2800. [Google Scholar]
- Vijayashree, K.V.; Anjuka, A. Fluid queue driven by an M/M/1 queue subject to bernoulli-schedule-controlled vacation and vacation Interruption. Adv. Oper. Res. 2016, 2016, 1–12. [Google Scholar]
- Li, K.; Wang, J.; Ren, Y.; Chang, J. Equilibrium joining strategies in M/M/1 Queues with working vacation and vacation interruptions. RAIRO—Oper. Res. 2016, 50, 451–471. [Google Scholar] [CrossRef]
- Vijayashree, K.V.; Anjuka, A. Fluid queue modulated by an M/M/1/N queue subject to multiple exponential working vacation. Qual. Technol. Quant. Manag. 2017, 113, 153–162. [Google Scholar]
- Yu, S.; Liu, Z.; Wu, J. Fluid queue driven by a multi-server queue with multiple vacations and vacation interruption. RAIRO—Oper. Res. 2017, 51, 931–944. [Google Scholar] [CrossRef]
- Vijayashree, K.V.; Anjuka, A. Stationary analysis of a fluid queue driven by an M/M/1 queue with working vacation. Qual. Technol. Quant. Manag. 2018, 15, 187–208. [Google Scholar] [CrossRef]
- Vijayashree, K.V.; Anjuka, A. Fluid queue driven by an M/M/1 queue subject to working vacation and impatience. In Computational Intelligence, Cyber Security and Computational Models. Models and Techniques for Intelligent Systems and Automation. ICC3 2017, Communications in Computer and Information Science; Ganapathi, G., Subramaniam, A., Graña, M., Balusamy, S., Natarajan, R., Ramanathan, P., Eds.; Springer: Singapore, 2018; p. 844. [Google Scholar]
- Li, J.; Liu, L. Performance analysis of a complex queueing system with vacations in random environment. Adv. Mech. Eng. 2017, 9, 1687814017714167. [Google Scholar] [CrossRef]
- Xu, X.; Wang, X.; Song, X.; Li, X. Fluid model modulated by an M/M/1 working vacation queue with negative customer. Acta Math. Appl. Sin. Engl. Ser. 2018, 34, 404–415. [Google Scholar] [CrossRef]
- Liu, J.; Xu, X.; Wang, S.; Yue, D. Equilibrium analysis of the fluid model with two types of parallel customers and breakdowns. Commun. Stat.—Theory Methods 2021, 50, 5792–5805. [Google Scholar] [CrossRef]
- Wang, S.; Xu, X. Equilibrium strategies of the fluid queue with working vacation. Oper. Res. 2019, 21, 1211–1228. [Google Scholar] [CrossRef]
- Xu, X.; Wang, H. Analysis of fluid model modulated by an M/PH/1 working vacation Queue. J. Syst. Sci. Syst. Eng. 2019, 28, 132–140. [Google Scholar] [CrossRef]
- Ammar, S.I. Fluid M/M/1 catastrophic queue in a random environment. RAIRO-Oper. Res. 2021, 55, 2677–2690. [Google Scholar] [CrossRef]
- Cordeiro, J.; Kharoufeh, J. The unreliable M/M/1 retrial queue in a random environment. Stoch Models 2012, 28, 29–48. [Google Scholar] [CrossRef]
- Krishnamoorthy, A.; Sivadasan, J.; Lakshmy, B. On an M/G/1 queue with vacation in random environment. In Information Technologies and Mathematical Modelling—Queueing Theory and Applications, ITMM 2015, Communications in Computer and Information Science; Dudin, A., Nazarov, A., Yakupov, R., Eds.; Springer: Berlin/Heidelberg, Germany, 2015; p. 564. [Google Scholar]
- Li, J.; Liu, L. On an M/G/1 queue in random environment with Min(N, V) policy. RAIRO-Oper. Res. 2018, 52, 61–77. [Google Scholar] [CrossRef]
- Li, J.; Liu, L. On the discrete-time Geo/G/1 queue with vacations in random environment. Discret. Dyn. Nat. Soc. 2016, 2016, 4029415. [Google Scholar] [CrossRef]
- Li, J.; Liu, L. On the GI/M/1 queue with vacations and multiple service phases. Math. Probl. Eng. 2017, 2017, 3246934. [Google Scholar] [CrossRef]
- Li, J.; Liu, L.; Jiang, T. Analysis of an M/G/1 queue with vacations and multiple phases of operation. Math. Methods Oper. Res. 2018, 87, 51–72. [Google Scholar] [CrossRef]
- Jiang, T.; Xin, B.; Chang, B.; Liu, L. Analysis of a queueing system in random environment with an unreliable server and geometric abandonments. RAIRO-Oper. Res. 2018, 52, 903–922. [Google Scholar] [CrossRef]
Disclaimer/Publisher’s Note: The statements, opinions and data contained in all publications are solely those of the individual author(s) and contributor(s) and not of MDPI and/or the editor(s). MDPI and/or the editor(s) disclaim responsibility for any injury to people or property resulting from any ideas, methods, instructions or products referred to in the content. |
© 2023 by the authors. Licensee MDPI, Basel, Switzerland. This article is an open access article distributed under the terms and conditions of the Creative Commons Attribution (CC BY) license (https://creativecommons.org/licenses/by/4.0/).


