error_outline You can access the new MDPI.com website here. Explore and share your feedback with us.
 
 
Sign in to use this feature.

Years

Between: -

Subjects

remove_circle_outline
remove_circle_outline
remove_circle_outline
remove_circle_outline
remove_circle_outline
remove_circle_outline
remove_circle_outline
remove_circle_outline
remove_circle_outline

Journals

Article Types

Countries / Regions

Search Results (25)

Search Parameters:
Keywords = simultaneous load rejection

Order results
Result details
Results per page
Select all
Export citation of selected articles as:
14 pages, 2498 KB  
Article
Post–Synthetic Modification of MOF–808 for Mixed Matrix Membranes with High and Stable Ion Separation Capacity
by Bahar Karadeniz, Han-Liang Fang, Yi-Ying He, Qi-Lin Ye, Jun-Yu Chen and Jian Lü
Molecules 2025, 30(23), 4554; https://doi.org/10.3390/molecules30234554 - 26 Nov 2025
Viewed by 523
Abstract
The global clean water crisis is a pressing sustainable development challenge that demands urgent solutions. Membrane separation technology has emerged as a leading approach for seawater desalination, offering great potential to address freshwater scarcity. However, achieving both high water flux and high salt [...] Read more.
The global clean water crisis is a pressing sustainable development challenge that demands urgent solutions. Membrane separation technology has emerged as a leading approach for seawater desalination, offering great potential to address freshwater scarcity. However, achieving both high water flux and high salt rejection in desalination membranes remains a major challenge. Mixed matrix membranes (MMMs), which combine polymer substrates with functional fillers, have shown promise, but their performance is often limited by poor compatibility between the embedded materials and the polymer matrix. In this work, a post-synthetic modification of the metal–organic framework MOF–808 was carried out to improve the interfacial compatibility between the modified MOF–808–SP and polyethersulfone substrate. Remarkably, increasing the loading of MOF–808–SP sustained the membrane selectivity while simultaneously enhancing water flux. This performance contrasts with membranes containing unmodified MOF–808, highlighting the crucial role of improved MOF–polymer compatibility in achieving synergistic separation performance. Full article
(This article belongs to the Special Issue 30th Anniversary of the MOF Concept)
Show Figures

Figure 1

19 pages, 4945 KB  
Article
Covalent Organic Framework-Based Nanomembrane with Co-Immobilized Dual Enzymes for Micropollutant Removal
by Junda Zhao, Guanhua Liu, Xiaobing Zheng, Liya Zhou, Li Ma, Ying He, Xiaoyang Yue and Yanjun Jiang
Nanomaterials 2025, 15(18), 1431; https://doi.org/10.3390/nano15181431 - 18 Sep 2025
Viewed by 789
Abstract
Biocatalytic nanomembranes have emerged as promising platforms for micropollutant remediation, yet their practical application is hindered by limitations in removal efficiency and operational stability. This study presents an innovative approach for fabricating highly stable and efficient biocatalytic nanomembranes through the co-immobilization of horseradish [...] Read more.
Biocatalytic nanomembranes have emerged as promising platforms for micropollutant remediation, yet their practical application is hindered by limitations in removal efficiency and operational stability. This study presents an innovative approach for fabricating highly stable and efficient biocatalytic nanomembranes through the co-immobilization of horseradish peroxidase (HRP) and glucose oxidase (GOx) within a covalent organic framework (COF) nanocrystal. Capitalizing on the dynamic covalent chemistry of COFs during their self-healing and self-crystallization processes, we achieved simultaneous enzyme immobilization and framework formation. This unique confinement strategy preserved enzymatic activity while significantly enhancing stability. HRP/GOx@COF biocatalytic membrane was prepared through the loading of immobilized enzymes (HRP/GOx@COF) onto a macroporous polymeric substrate membrane pre-coated with a polydopamine (PDA) adhesive layer. At HRP and GOx dosages of 4 mg and 4.5 mg, respectively, and a glucose concentration of 5 mM, the removal rate of bisphenol A (BPA) reached 99% through the combined functions of catalysis, adsorption, and rejection. The BPA removal rate of the biocatalytic membrane remained high under both acidic and alkaline conditions. Additionally, the removal rate of dyes with different properties exceeded 88%. The removal efficiencies of doxycycline hydrochloride, 2,4-dichlorophenol, and 8-hydroxyquinoline surpassed 95%. In this study, the enzyme was confined in the ordered and stable COF, which endowed the biocatalytic membrane with good stability and reusability over multiple batch cycles. Full article
(This article belongs to the Section Environmental Nanoscience and Nanotechnology)
Show Figures

Graphical abstract

23 pages, 12506 KB  
Article
Robust Wide-Speed-Range Control of IPMSM with Multi-Axis Coordinated Extended State Observer for Dynamic Performance Enhancement
by Wentao Zhang, Yanchen Zhai, Pengcheng Zhu and Yiwei Liu
Energies 2025, 18(11), 2938; https://doi.org/10.3390/en18112938 - 3 Jun 2025
Viewed by 854
Abstract
Wide-speed regulation control strategies for Interior Permanent Magnet Synchronous Motors (IPMSMs) are widely applied in industrial fields. However, traditional algorithms are prone to being affected by motor parameter mismatches, sensor sampling errors, and other disturbances under complex operating conditions, leading to insufficient robustness. [...] Read more.
Wide-speed regulation control strategies for Interior Permanent Magnet Synchronous Motors (IPMSMs) are widely applied in industrial fields. However, traditional algorithms are prone to being affected by motor parameter mismatches, sensor sampling errors, and other disturbances under complex operating conditions, leading to insufficient robustness. In order to enhance dynamic performance while simultaneously ensuring robustness, we analyzed the limitations of traditional control strategies and, based on this, proposed an improved control framework. A Multi-Axis Coordinated Extended State Observer(MCESO)-based robust control framework was developed for full-speed domain operation, which enhances disturbance rejection capability against parameter uncertainties and abrupt load changes through hierarchical disturbance estimation. Subsequently, the effectiveness and stability of the proposed method were verified through theoretical analysis and simulation studies. Compared with traditional control strategies, this method can effectively observe and compensate for a series of complex issues such as nonlinear disturbances during operation without requiring additional hardware support. Finally, extensive experimental tests were carried out on a 500 W IPMSM dual-motor drive platform. The experimental results demonstrated that, even under harsh operating conditions, the proposed scheme can effectively suppress torque ripple and significantly reduce current harmonics. Full article
(This article belongs to the Section F: Electrical Engineering)
Show Figures

Figure 1

17 pages, 2078 KB  
Article
Adaptive Output Regulation for PMSM Speed Servo System via Time-Varying Internal Model Approach
by Hui Song, Zhaowu Ping, Jiaze Hui, Yunzhi Huang and Jun-Guo Lu
Actuators 2025, 14(3), 158; https://doi.org/10.3390/act14030158 - 20 Mar 2025
Cited by 1 | Viewed by 791
Abstract
This article investigates the adaptive output regulation problem of a permanent magnet synchronous motor (PMSM) speed servo system with unknown time-varying exosystems and aims to achieve multiple objectives including speed tracking, disturbance rejection, and robustness simultaneously. Existing linear or nonlinear internal model designs [...] Read more.
This article investigates the adaptive output regulation problem of a permanent magnet synchronous motor (PMSM) speed servo system with unknown time-varying exosystems and aims to achieve multiple objectives including speed tracking, disturbance rejection, and robustness simultaneously. Existing linear or nonlinear internal model designs are not applicable to the output regulation problem under the time-varying situation. Hence, we first construct a time-varying internal model to transform this control problem into a robust stabilization problem for a time-varying augmented system, and then design a stabilization controller integrating robust control and adaptive control techniques to stabilize this system. Finally, the validity of the proposed approach is verified through simulations and experiments. It is worth mentioning that our approach can achieve high-precision speed tracking of PMSM under parameter uncertainties and load torque disturbance with unknown time-varying frequencies. Full article
(This article belongs to the Special Issue From Theory to Practice: Incremental Nonlinear Control)
Show Figures

Figure 1

16 pages, 3636 KB  
Article
Hydraulic Support Liquid Supply System Adaptive Pump Controlled Pressure Stabilization Control Under Strong Time-Varying Load
by Chao Cao, Kai Gao, Hao Wang, Yanzhao Pan, Zhendong Deng, Haoyan Xu, Di Huang, Xinglong Zhao and Jiyun Zhao
Processes 2024, 12(12), 2774; https://doi.org/10.3390/pr12122774 - 5 Dec 2024
Viewed by 1525
Abstract
The hydraulic support liquid supply system provided power for the hydraulic support, serving as the core to ensure safe support of the coal mining face and to maintain continuous, efficient, and stable advancement of the coal mining operations. The hydraulic support faced complex [...] Read more.
The hydraulic support liquid supply system provided power for the hydraulic support, serving as the core to ensure safe support of the coal mining face and to maintain continuous, efficient, and stable advancement of the coal mining operations. The hydraulic support faced complex loads while operating on the fully mechanized mining face. To meet the requirement of rapidly following the coal mining machine’s movement, numerous actuators of the hydraulic support frequently performed sequential actions, and the liquid demand of the hydraulic support varied strongly over time, causing the hydraulic system to endure constant pressure and flow shocks, making it difficult to ensure the production efficiency and equipment reliability of comprehensive working face. This study analyzed the pressure and flow characteristics of the liquid supply system during the periodic actions of the hydraulic support. To address the strong time-varying load and liquid demand during the simultaneous actions of the hydraulic support, an Extended State Observer (ESO) was designed for observation and compensation. An Active Disturbance Rejection Control (ADRC) method suitable for the configuration of a rapid pump-controlled liquid replenishment and pressure stabilization system was proposed, and a co-simulation model of the mechanical and control systems was developed by comparing indicators such as the pressure fluctuation amplitude and the execution time of the hydraulic support actions. The pressure stabilization control effects of the ADRC method, the PID control method, and the traditional multi-pump coordinated liquid supply mode under typical time-varying conditions were analyzed and compared. A simulation test system was constructed to validate the results, demonstrating that the ADRC rapid fluid replenishment and pressure stabilization control method can suppress load disturbances, reduce the system pressure fluctuation amplitude by 20.8%, and shorten the hydraulic support operation time by 2.6%. Full article
Show Figures

Figure 1

26 pages, 16111 KB  
Article
Active Disturbance Rejection Control Combined with Improved Model Predictive Control for Large-Capacity Hybrid Energy Storage Systems in DC Microgrids
by Xinbo Liu, Jiangsha Chen, Yongbing Suo, Xiaotong Song and Yuntao Ju
Appl. Sci. 2024, 14(19), 8617; https://doi.org/10.3390/app14198617 - 24 Sep 2024
Cited by 3 | Viewed by 2341
Abstract
In DC microgrids, a large-capacity hybrid energy storage system (HESS) is introduced to eliminate variable fluctuations of distributed source powers and load powers. Aiming at improving disturbance immunity and decreasing adjustment time, this paper proposes active disturbance rejection control (ADRC) combined with improved [...] Read more.
In DC microgrids, a large-capacity hybrid energy storage system (HESS) is introduced to eliminate variable fluctuations of distributed source powers and load powers. Aiming at improving disturbance immunity and decreasing adjustment time, this paper proposes active disturbance rejection control (ADRC) combined with improved MPC for n + 1 parallel converters of large-capacity hybrid energy storage systems. ADRC is utilized in outer voltage control loops, and improved MPC is employed in inner current control loops of n battery converters. Droop control is adopted to obtain power distribution between n battery converters, and a DC bus voltage compensator is used to compensate voltage deviations and maintain constant DC bus voltage. The low-pass filter (LPF) is adopted to obtain high-frequency power as the reference for the supercapacitor converter, ADRC is also utilized in the outer power control loop, and MPC is employed in the inner current control loop. Compared with traditional observers, the voltage expansion state observer of the proposed ADRC control is independent of the system model and parameters and consequently has strong disturbance immunity, and significantly reduces voltage overshoots during power fluctuations. The MPC-based inner current control loops of n + 1 converters accelerate current response speed and significantly decrease switching losses. Simulation and experimental results indicate that utilizing the proposed control strategies, large-capacity HESS has stronger anti-interference ability, shorter regulation time, smaller switching loss, and simultaneously maintains the stability of the DC bus voltage. Full article
Show Figures

Figure 1

19 pages, 6194 KB  
Article
Reflux Power Optimization of a Dual-Active Hybrid Full-Bridge Converter Based on Active Disturbance Rejection Control
by Shuang Luo, Guofeng He and Ning Hou
Energies 2024, 17(17), 4299; https://doi.org/10.3390/en17174299 - 28 Aug 2024
Cited by 2 | Viewed by 1361
Abstract
The dual-active hybrid full-bridge (H-FDAB) DC–DC converter has great potential in medium-voltage high-power photovoltaic power station applications by introducing a three-level bridge arm to increase the output voltage range. However, its mathematical model and optimum modulation schemes have not been fully explored. Under [...] Read more.
The dual-active hybrid full-bridge (H-FDAB) DC–DC converter has great potential in medium-voltage high-power photovoltaic power station applications by introducing a three-level bridge arm to increase the output voltage range. However, its mathematical model and optimum modulation schemes have not been fully explored. Under the traditional PI control, the H-FDAB DC–DC converter will produce significant reflux power, which will lead to a decrease in converter efficiency and output voltage fluctuation. On this basis, this paper proposes a reflux power optimization strategy for an H-FDAB DC-DC converter based on active disturbance rejection control (ADRC). Firstly, the structure and power characteristics of the H-FDAB DC–DC converter are analyzed, and the relationship among the reflux power, the transmission power, and the phase shift angle is derived. Secondly, to reduce the complexity of the control calculation, upon the foundation of dual phase-shifting modulation, the Karush–Kuhn–Tucker (KKT) condition is used to solve for the phase shift angle that corresponds to the minimum reflux power. Simultaneously, we develop an ADRC loop utilizing an extended state observer (ESO) for the real-time estimation of system states. We also consider the sudden changes in input voltage, load switching, and transmission power fluctuations caused by reflux power optimization strategies as system disturbances and compensate for them accordingly. Finally, the experiments conclusively validate the designed control strategy’s correctness and feasibility. Full article
Show Figures

Figure 1

16 pages, 6718 KB  
Article
Design and Implementation of Robust H∞ Control for Improving Disturbance Rejection of Grid-Connected Three-Phase PWM Rectifiers
by Naima Ait Ramdane, Adel Rahoui, Boussad Boukais, Mohamed Fouad Benkhoris, Mourad Ait-Ahmed and Ali Djerioui
Energies 2024, 17(9), 2166; https://doi.org/10.3390/en17092166 - 1 May 2024
Cited by 1 | Viewed by 1865
Abstract
In response to the high performance requirements of pulse width modulation (PWM) converters in grid-connected power systems, H-Infinity (H∞) control has attracted significant research interest due to its robustness against parameter variations and external disturbances. In this work, an advanced robust [...] Read more.
In response to the high performance requirements of pulse width modulation (PWM) converters in grid-connected power systems, H-Infinity (H∞) control has attracted significant research interest due to its robustness against parameter variations and external disturbances. In this work, an advanced robust H∞ control is proposed for a grid-connected three-phase PWM rectifier. A two-level control strategy is adopted, where cascaded H∞ controllers are designed to simultaneously regulate the DC bus voltage and input currents even under load disturbances and non-ideal grid conditions. As a result, unit power factor, stable DC bus voltage, and sinusoidal input currents with lower harmonics can be accurately achieved. The design methodology and stability of the proposed controller are verified through a comprehensive analysis. Simulation tests and experimental implementation on a dSPACE 1103 board demonstrate that the proposed control scheme can effectively enhance disturbance rejection performance under various operating conditions. Full article
(This article belongs to the Section F3: Power Electronics)
Show Figures

Figure 1

43 pages, 12314 KB  
Article
Optimum Fractional Tilt Based Cascaded Frequency Stabilization with MLC Algorithm for Multi-Microgrid Assimilating Electric Vehicles
by Abdullah M. Noman, Mokhtar Aly, Mohammed H. Alqahtani, Sulaiman Z. Almutairi, Ali S. Aljumah, Mohamed Ebeed and Emad A. Mohamed
Fractal Fract. 2024, 8(3), 132; https://doi.org/10.3390/fractalfract8030132 - 23 Feb 2024
Cited by 14 | Viewed by 2897
Abstract
An important issue in interconnected microgrids (MGs) is the realization of balance between the generation side and the demand side. Imbalanced generation and load demands lead to security, power quality, and reliability issues. The load frequency control (LFC) is accountable for regulating MG [...] Read more.
An important issue in interconnected microgrids (MGs) is the realization of balance between the generation side and the demand side. Imbalanced generation and load demands lead to security, power quality, and reliability issues. The load frequency control (LFC) is accountable for regulating MG frequency against generation/load disturbances. This paper proposed an optimized fractional order (FO) LFC scheme with cascaded outer and inner control loops. The proposed controller is based on a cascaded one plus tilt derivative (1+TD) in the outer loop and an FO tilt integrator-derivative with a filter (FOTIDF) in the inner loop, forming the cascaded (1+TD/FOTIDF) controller. The proposed 1+TD/FOTIDF achieves better disturbance rejection compared with traditional LFC methods. The proposed 1+TD/FOTIDF scheme is optimally designed using a modified version of the liver cancer optimization algorithm (MLCA). In this paper, a new modified liver cancer optimization algorithm (MLCA) is proposed to overcome the shortcomings of the standard Liver cancer optimization algorithm (LCA), which contains the early convergence to local optima and the debility of its exploration process. The proposed MLCA is based on three improvement mechanisms, including chaotic mutation (CM), quasi-oppositional based learning (QOBL), and the fitness distance balance (FDB). The proposed MLCA method simultaneously adjusts and selects the best 1+TD/FOTIDF parameters to achieve the best control performance of MGs. Obtained results are compared to other designed FOTID, TI/FOTID, and TD/FOTID controllers. Moreover, the contribution of electric vehicles and the high penetration of renewables are considered with power system parameter uncertainty to test the stability of the proposed 1+TD/FOTIDF LFC technique. The obtained results under different possible load/generation disturbance scenarios confirm a superior response and improved performance of the proposed 1+TD/FOTIDF and the proposed MLCA-based optimized LFC controller. Full article
(This article belongs to the Special Issue Fractional Modelling, Analysis and Control for Power System)
Show Figures

Figure 1

14 pages, 1717 KB  
Article
A Novel Chitosan Composite Biomaterial with Drug Eluting Capacity for Maxillary Bone Regeneration
by Barbara Giordano-Kelhoffer, Raquel Rodríguez-Gonzalez, Marina Perpiñan-Blasco, Jenifer O. Buitrago, Begoña M. Bosch and Roman A. Perez
Materials 2023, 16(2), 685; https://doi.org/10.3390/ma16020685 - 10 Jan 2023
Cited by 11 | Viewed by 2873
Abstract
Bone grafting is one of the most commonly performed treatments for bone healing or repair. Autografts, grafts from the same patient, are the most frequently used bone grafts because they can provide osteogenic cells and growth factors at the site of the implant [...] Read more.
Bone grafting is one of the most commonly performed treatments for bone healing or repair. Autografts, grafts from the same patient, are the most frequently used bone grafts because they can provide osteogenic cells and growth factors at the site of the implant with reduced risk of rejection or transfer of diseases. Nevertheless, this type of graft presents some drawbacks, such as pain, risk of infection, and limited availability. For this reason, synthetic bone grafts are among the main proposals in regenerative medicine. This branch of medicine is based on the development of new biomaterials with the goal of increasing bone healing capacity and, more specifically in dentistry, they aim at simultaneously preventing or eliminating bacterial infections. The use of fibers made of chitosan (CS) and hydroxyapatite (HA) loaded with an antibiotic (doxycycline, DX) and fabricated with the help of an injection pump is presented as a new strategy for improving maxillary bone regeneration. In vitro characterization of the DX controlled released from the fibers was quantified after mixing different amounts of HA (10–75%). The 1% CS concentration was stable, easy to manipulate and exhibited adequate cuttability and pH parameters. The hydroxyapatite concentration dictated the combined fast and controlled release profile of CSHA50DX. Our findings demonstrate that the CS-HA-DX complex may be a promising candidate graft material for enhancing bone tissue regeneration in dental clinical practice. Full article
(This article belongs to the Section Biomaterials)
Show Figures

Figure 1

15 pages, 5712 KB  
Article
Adaptive Sensorless PI+Passivity-Based Control of a Boost Converter Supplying an Unknown CPL
by Sebastián Riffo, Walter Gil-González, Oscar Danilo Montoya, Carlos Restrepo and Javier Muñoz
Mathematics 2022, 10(22), 4321; https://doi.org/10.3390/math10224321 - 17 Nov 2022
Cited by 13 | Viewed by 2416
Abstract
This paper presents an adaptive control to stabilize the output voltage of a DC–DC boost converter that feeds an unknown constant power load (CPL). The proposed controller employs passivity-based control (PBC), which assigns a desired system energy to compensate for the negative impedance [...] Read more.
This paper presents an adaptive control to stabilize the output voltage of a DC–DC boost converter that feeds an unknown constant power load (CPL). The proposed controller employs passivity-based control (PBC), which assigns a desired system energy to compensate for the negative impedance that may be generated by a CPL. A proportional-integral (PI) action that maintains a passive output is added to the PBC to impose the desired damping and enhance disturbance rejection behavior, thus forming a PI+PBC control. In addition, the proposed controller includes two estimators, i.e., immersion and invariance (I&I), and disturbance observer (DO), in order to estimate CPL and supply voltage for the converter, respectively. These observers become the proposed controller for an adaptive, sensorless PI+PBC control. Phase portrait analysis and experimental results have validated the robustness and effectiveness of the adaptive proposed control approach. These results show that the proposed controller adequately regulates the output voltage of the DC–DC boost converter under variations of the input voltage and CPL simultaneously. Full article
(This article belongs to the Special Issue Dynamic Modeling and Simulation for Control Systems)
Show Figures

Figure 1

36 pages, 8901 KB  
Article
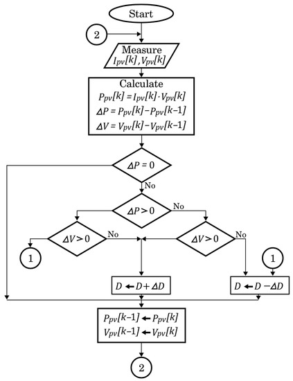
DC Motor Drive Powered by Solar Photovoltaic Energy: An FPGA-Based Active Disturbance Rejection Control Approach
by Esteban Guerrero-Ramirez, Alberto Martinez-Barbosa, Marco Antonio Contreras-Ordaz, Gerardo Guerrero-Ramirez, Enrique Guzman-Ramirez, Jorge Luis Barahona-Avalos and Manuel Adam-Medina
Energies 2022, 15(18), 6595; https://doi.org/10.3390/en15186595 - 9 Sep 2022
Cited by 13 | Viewed by 3952
Abstract
This paper presents an experimental platform for regulating the DC motor angular speed powered by photovoltaic cells. The experimental platform comprises an Eco Green Energy EGE-260P-60 solar panel, DC/DC SEPIC converter, DC bus, DC/DC buck converter, DC motor and Nexys 4 board with [...] Read more.
This paper presents an experimental platform for regulating the DC motor angular speed powered by photovoltaic cells. The experimental platform comprises an Eco Green Energy EGE-260P-60 solar panel, DC/DC SEPIC converter, DC bus, DC/DC buck converter, DC motor and Nexys 4 board with an Artix-7 100T FPGA. The DC/DC SEPIC converter is used for harvesting the maximum amount of energy from the PV cells using the perturb and observe algorithm to track the maximum power point. The DC/DC buck converter is used as the motor drive using the active disturbance rejection control to regulate the angular speed of the DC motor. In addition, the FPGA architecture design is presented using a hierarchical top-down methodology with the VHDL hardware description language and Xilinx System Generator tool. The software takes advantage of the FPGA’s concurrency to simultaneously evaluate the different processes, which is the main reason for choosing this digital device. Several tests were performed on the platform such as irradiance changes, DC bus variations, DC motor connection and load torque variations applied in the motor shaft. The results indicate that the maximum power is obtained from the photovoltaic cells, establishing the minimum operating conditions. In addition, the control approach estimates and cancels the effects of disturbances caused by variations in the environmental conditions, photovoltaic system, DC bus, and load changes in order to regulate DC motor speed. Full article
(This article belongs to the Section A2: Solar Energy and Photovoltaic Systems)
Show Figures

Figure 1

17 pages, 4932 KB  
Article
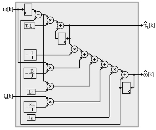
A Practical Disturbance Rejection Control Scheme for Permanent Magnet Synchronous Motors
by Kanat Suleimenov and Ton Duc Do
Symmetry 2022, 14(9), 1873; https://doi.org/10.3390/sym14091873 - 8 Sep 2022
Cited by 6 | Viewed by 2807
Abstract
This paper proposes a novel disturbance rejection control scheme for permanent magnet synchronous motor (PMSM) drives. Based on the framework of modified disturbance observer (DOB)-based control, the final topology of the proposed disturbance rejection proportional–integral (DR-PI) controller includes a pre-filter and a controller [...] Read more.
This paper proposes a novel disturbance rejection control scheme for permanent magnet synchronous motor (PMSM) drives. Based on the framework of modified disturbance observer (DOB)-based control, the final topology of the proposed disturbance rejection proportional–integral (DR-PI) controller includes a pre-filter and a controller in a proportional–integral (PI) form. The proposed DR-PI control scheme is practical with a straightforward gain tuning rule. Note that the gain selection method is the main issue of not only conventional PI controllers but also advanced methods such as DOB-based controllers. In addition, by starting from the framework of modified DOB, this paper also proves that the PI controller with an pre-filter possesses a disturbance rejection ability similar to a DOB-based control method. To the best of our knowledge, this is the first time that such a simple and effective PI controller is designed for the speed control of PMSMs as well as theoretically proven to have a perfect disturbance rejection ability. This paper shows the steps of selecting the parameters of the proposed controller in terms of the parameters of a desired plant model, disturbance observer and compensator. Hence, unlike a traditional DOB case, in this approach, one can simultaneously tune the controller and observer at the same time. The appearance of the pre-filter from the modified DOB scheme solves an overshoot problem, thus the general motor operation is significantly improved, which is validated by experiments. The experimental evidence under two scenarios of load torque change and speed change prove the effectiveness of the proposed method compared to conventional PI and DOB control (DOBC) schemes. All the experiments were implemented on a 300 W PMSM of a setup manufactured by Lucas-Nuelle GmbH with a digital signal processor. Full article
Show Figures

Figure 1

23 pages, 4561 KB  
Article
Experimental Characterization of Transitory Functioning Regimes of a Biomass Stirling Micro-CHP
by Ștefan-Dominic Voronca, Monica Siroux and George Darie
Energies 2022, 15(15), 5547; https://doi.org/10.3390/en15155547 - 30 Jul 2022
Cited by 3 | Viewed by 2356
Abstract
Micro-cogeneration (micro-combined heat and power) is a technology that simultaneously produces decentralized thermal and electrical energy with a power of less than 50 kWel. This technology consists of using the waste heat generated by a thermodynamic process to meet the heating [...] Read more.
Micro-cogeneration (micro-combined heat and power) is a technology that simultaneously produces decentralized thermal and electrical energy with a power of less than 50 kWel. This technology consists of using the waste heat generated by a thermodynamic process to meet the heating and hot water demands of buildings. The use of biomass as a fuel offers important advantages: use of a renewable energy, carbon neutrality, availability, and low cost. Furthermore, the analysis and optimization of hybrid energy systems, which include existing micro-cogeneration systems powered by renewable energy, is a scientific challenge needing experimental characterization of such micro-cogeneration systems. In this context, a biomass Stirling micro-CHP unit (μCHP), was tested to characterize its energy performance. A dynamic model based on these experimental investigations was developed to evaluate its thermal power output and energy efficiencies. The dependence of the nominal load on the water flow rate of the consumer and the inlet temperature of the fluid heated by the cogeneration system was studied. Results showed that the flow rate of the heat transfer fluid rejecting heat from the μCHP unit influences the temperature of the heat transfer fluid exiting the μCHP to supply domestic hot water to the user, which, if too high, will prompt the self-guarding mechanism of the machine. Full article
Show Figures

Figure 1

27 pages, 3051 KB  
Article
A Robust Dynamic Control Strategy for Standalone PV System under Variable Load and Environmental Conditions
by Waqas Anjum, Abdul Rashid Husain, Junaidi Abdul Aziz, Syed Muhammad Fasih ur Rehman, Muhammad Paend Bakht and Hasan Alqaraghuli
Sustainability 2022, 14(8), 4601; https://doi.org/10.3390/su14084601 - 12 Apr 2022
Cited by 11 | Viewed by 2685
Abstract
Dual-stage standalone photovoltaic (PV) systems suffer from stability, reliability issues, and their efficiency to deliver maximum power is greatly affected by changing environmental conditions. A hybrid back-stepping control (BSC) is a good candidate for maximum power point tracking (MPPT) however, there are eminent [...] Read more.
Dual-stage standalone photovoltaic (PV) systems suffer from stability, reliability issues, and their efficiency to deliver maximum power is greatly affected by changing environmental conditions. A hybrid back-stepping control (BSC) is a good candidate for maximum power point tracking (MPPT) however, there are eminent steady-state oscillations in the PV output due to BSC’s recursive nature. The issue can be addressed by proposing a hybrid integral back-stepping control (IBSC) algorithm where the proposed integral action significantly reduces the steady-state oscillations in the PV array output under varying temperature and solar irradiance level. Simultaneously, at the AC stage, the primary challenge is to reduce both the steady-state tracking error and total harmonic distortion (THD) at the output of VSI, resulting from the load parameter variations. Although the conventional sliding mode control (SMC) is robust to parameter variations, however, it is discontinuous in nature and inherit over-conservative gain design. In order to address this issue, a dynamic disturbance rejection strategy based on super twisting control (STC) has been proposed where a higher order sliding mode observer is designed to estimate the effect of load disturbances as a lumped parameter which is then rejected by the newly designed control law to achieve the desired VSI tracking performance. The proposed control strategy has been validated via MATLAB Simulink where the system reaches the steady-state in 0.005 s and gives a DC–DC conversion efficiency of 99.85% at the peak solar irradiation level. The AC stage steady-state error is minimized to 0 V whereas, THD is limited to 0.07% and 0.11% for linear and non-linear loads, respectively. Full article
(This article belongs to the Special Issue Electric Power Systems towards Sustainability)
Show Figures

Figure 1

Back to TopTop