A Robust Dynamic Control Strategy for Standalone PV System under Variable Load and Environmental Conditions
Abstract
:1. Introduction
- At the DC stage, the proposed algorithm accurately tracks the MPP, and the MPPT efficiency remains at at the peak solar irradiation level;
- At the AC stage, the controller is model-independent, and only the output voltage measurement is required to implement the proposed dynamic STC;
- The HOSMO proposed is finite-time convergent and gives robust estimates of system states and accumulates the effects of load disturbances as a lumped parameter. The concept of lumped disturbance rejection enhances the effectiveness of the control law.
2. DC–DC Stage Modeling
3. Integral Back-Stepping Controller Design for DC Stage
4. AC Stage Inverter Modeling
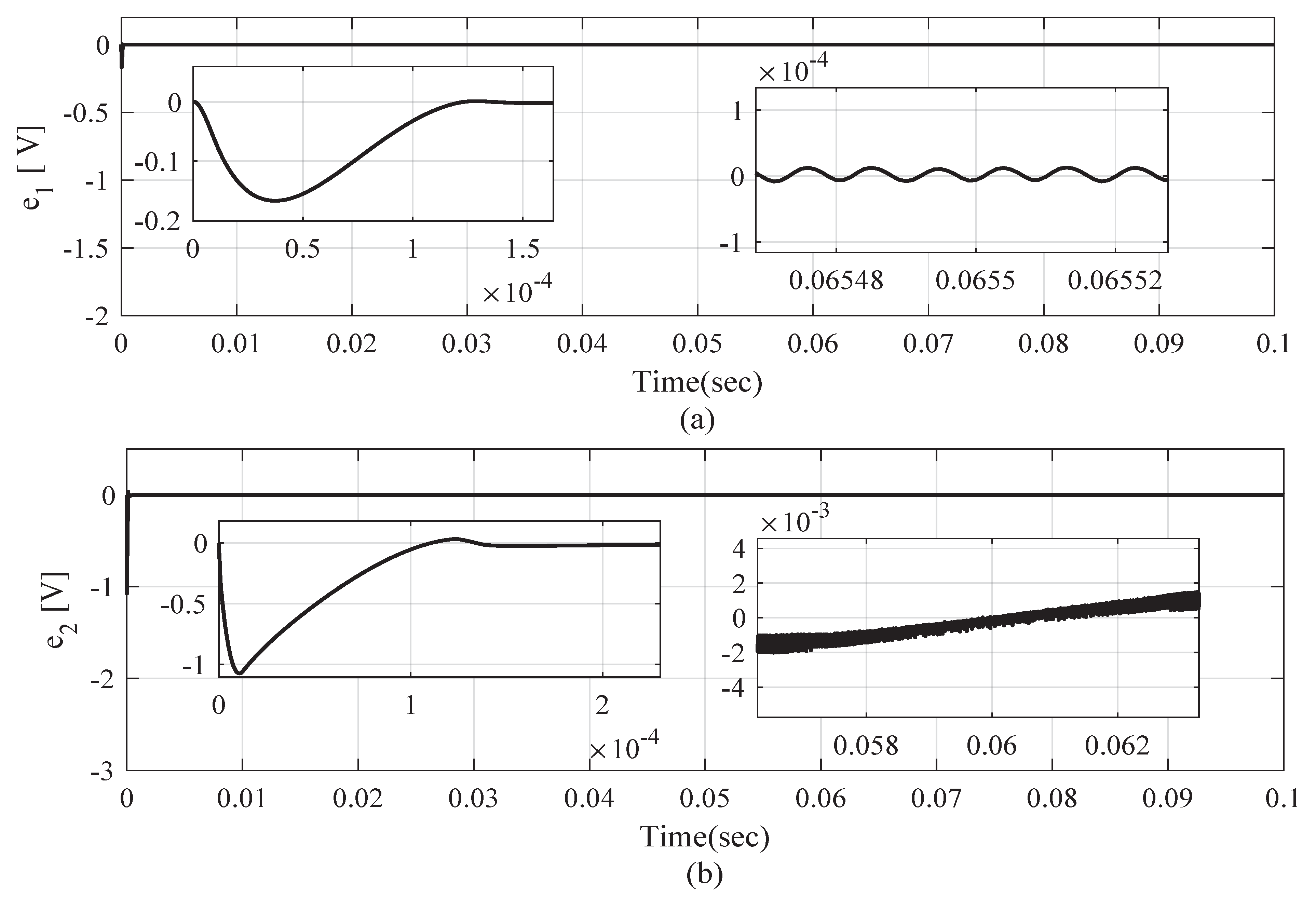
5. Super Twisting Controller Design for AC Stage
6. Simulation Results and Discussion
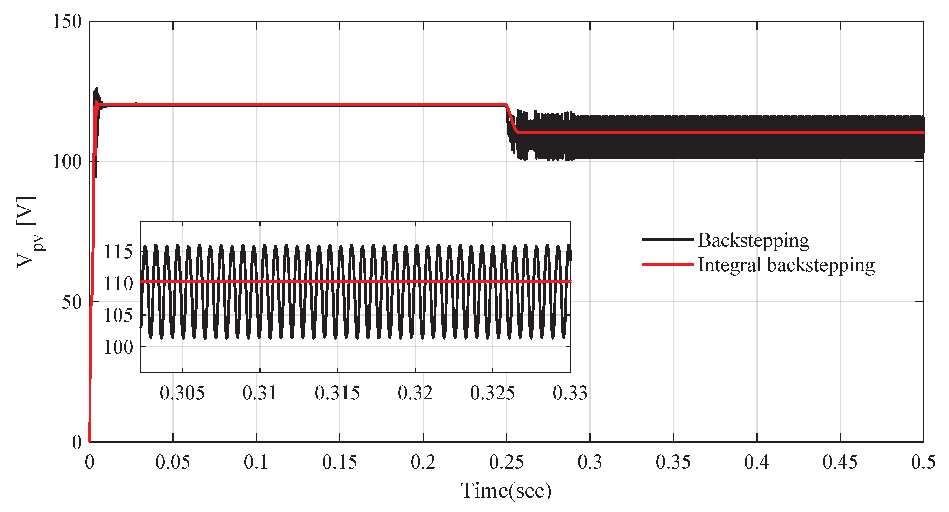
6.1. Performance Evaluation with Varying Environmental Temperature
6.2. Performance Evaluation with Varying Solar Irradiation Level
6.3. VSI Performance for the Entire Solar Irradiation Profile
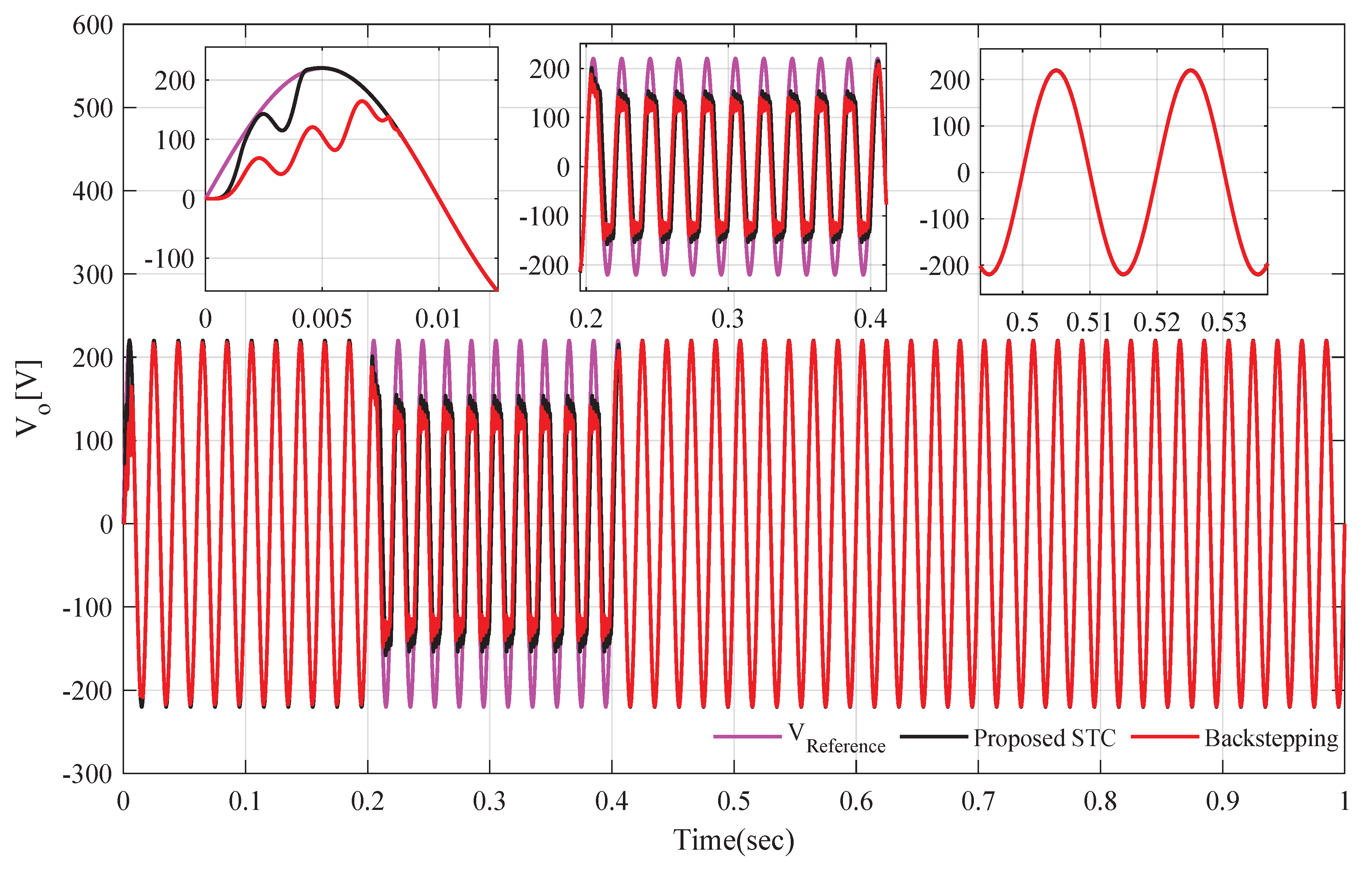
6.4. Case 1: STC Performance Analysis for Linear and Non-Linear Loads
6.5. Case 2: THD Analysis
7. Conclusions
Author Contributions
Funding
Data Availability Statement
Acknowledgments
Conflicts of Interest
Appendix A. Stability Analysis
Sliding Surface Convergence
References
- Andrychowicz, M. Optimization of distribution systems by using RES allocation and grid development. In Proceedings of the 2018 15th International Conference on the European Energy Market (EEM), Lodz, Poland, 27–29 June 2018. [Google Scholar] [CrossRef]
- Ahmed, M.; Abdelrahem, M.; Kennel, R. Highly efficient and robust grid connected photovoltaic system based model predictive control with Kalman filtering capability. Sustainability 2020, 12, 4542. [Google Scholar] [CrossRef]
- Bollipo, R.B.; Mikkili, S.; Bonthagorla, P.K. Critical Review on PV MPPT Techniques: Classical, Intelligent and Optimisation. IET Renew. Power Gener. 2020, 14, 1433–1452. [Google Scholar] [CrossRef]
- Alam, A.; Verma, P.; Tariq, M.; Sarwar, A.; Alamri, B.; Zahra, N.; Urooj, S. Jellyfish search optimization algorithm for mpp tracking of pv system. Sustainability 2021, 13, 1736. [Google Scholar] [CrossRef]
- Fei, J.; Zhu, Y. Adaptive fuzzy sliding control of single-phase PV grid-connected inverter. PLoS ONE 2017, 12, e0182916. [Google Scholar] [CrossRef] [Green Version]
- Andrychowicz, M. Res and es integration in combination with distribution grid development using milp. Energies 2021, 14, 383. [Google Scholar] [CrossRef]
- Chaibi, Y.; Salhi, M.; El-Jouni, A. Sliding mode controllers for standalone PV systems: Modeling and approach of control. Int. J. Photoenergy 2019, 2019, 5092078. [Google Scholar] [CrossRef] [Green Version]
- Iftikhar, R.; Ahmad, I.; Arsalan, M.; Naz, N.; Ali, N.; Armghan, H. MPPT for photovoltaic system using nonlinear controller. Int. J. Photoenergy 2018, 2018, 6979723. [Google Scholar] [CrossRef] [Green Version]
- Femia, N.; Petrone, G.; Spagnuolo, G.; Vitelli, M. Optimization of perturb and observe maximum power point tracking method. IEEE Trans. Power Electron. 2005, 20, 963–973. [Google Scholar] [CrossRef]
- Faraji, R.; Rouholamini, A.; Naji, H.R.; Fadaeinedjad, R.; Chavoshian, M.R. FPGA-based real time incremental conductance maximum power point tracking controller for photovoltaic systems. IET Power Electron. 2014, 7, 1294–1304. [Google Scholar] [CrossRef]
- Fang, Y.; Zhu, Y.; Fei, J. Adaptive intelligent sliding mode control of a photovoltaic grid-connected inverter. Appl. Sci. 2018, 8, 1756. [Google Scholar] [CrossRef] [Green Version]
- De Brito, M.A.G.; Galotto, L.; Sampaio, L.P.; De Azevedo Melo, G.; Canesin, C.A. Evaluation of the main MPPT techniques for photovoltaic applications. IEEE Trans. Ind. Electron. 2013, 60, 1156–1167. [Google Scholar] [CrossRef]
- Mostafa, M.R.; Saad, N.H.; El-sattar, A.A. Tracking the maximum power point of PV array by sliding mode control method. Ain Shams Eng. J. 2020, 11, 119–131. [Google Scholar] [CrossRef]
- Na, W.; Chen, P.; Kim, J. An improvement of a fuzzy logic-controlled maximum power point tracking algorithm for photovoltic applications. Appl. Sci. 2017, 7, 326. [Google Scholar] [CrossRef]
- Elobaid, L.M.; Abdelsalam, A.K.; Zakzouk, E.E. Artificial neural network-based photovoltaic maximum power point tracking techniques: A survey. IET Renew. Power Gener. 2015, 9, 1043–1063. [Google Scholar] [CrossRef]
- Kalibatien, D.; Miliauskait, J. A Hybrid Systematic Review Approach on Complexity Issues in Data-Driven Fuzzy Inference Systems Development. Informatica 2021, 32, 85–118. [Google Scholar] [CrossRef]
- Ben Smida, M.; Sakly, A. Genetic based algorithm for maximum power point tracking (MPPT) for grid connected PV systems operating under partial shaded conditions. In Proceedings of the 7th International Conference on Modelling, Identification and Control (ICMIC) 2015, Sousse, Tunisia, 18–20 December 2015. [Google Scholar] [CrossRef]
- Mohanty, S.; Subudhi, B.; Ray, P.K. A new MPPT design using grey Wolf optimization technique for photovoltaic system under partial shading conditions. IEEE Trans. Sustain. Energy 2016, 7, 181–188. [Google Scholar] [CrossRef]
- Sundareswaran, K.; Vigneshkumar, V.; Sankar, P.; Simon, S.P.; Srinivasa Rao Nayak, P.; Palani, S. Development of an Improved P&O Algorithm Assisted Through a Colony of Foraging Ants for MPPT in PV System. IEEE Trans. Ind. Inform. 2016, 12, 187–200. [Google Scholar] [CrossRef]
- Eltamaly, A.M.; Al-Saud, M.S.; Abo-Khalil, A.G. Performance improvement of PV systems’ maximum power point tracker based on a scanning PSO particle strategy. Sustainability 2020, 12, 1185. [Google Scholar] [CrossRef] [Green Version]
- Eltamaly, A.M. A novel musical chairs algorithm applied for MPPT of PV systems. Renew. Sustain. Energy Rev. 2021, 146, 111135. [Google Scholar] [CrossRef]
- Ali, H.G.; Arbos, R.V.; Herrera, J.; Tobón, A.; Peláez-Restrepo, J. Non-linear sliding mode controller for photovoltaic panels with maximum power point tracking. Processes 2020, 8, 108. [Google Scholar] [CrossRef] [Green Version]
- Diouri, O.; Es-Sbai, N.; Errahimi, F.; Gaga, A.; Alaoui, C. Modeling and Design of Single-Phase PV Inverter with MPPT Algorithm Applied to the Boost Converter Using Back-Stepping Control in Standalone Mode. Int. J. Photoenergy 2019, 2019, 7021578. [Google Scholar] [CrossRef]
- Ajangnay, M.O.; Alsokhiry, F.; Adam, G.P.; Alabdulwahab, A. Back-stepping Control of Off-Grid PV Inverter. In Proceedings of the 9th International Conference on Renewable Energy Research and Applications, ICRERA 2020, Glasgow, UK, 27–30 September 2020; pp. 384–389. [Google Scholar]
- Huang, J.; Xu, D.; Yan, W.; Ge, L.; Yuan, X. Nonlinear Control of Back-to-Back VSC-HVDC System via Command-Filter Backstepping. J. Control Sci. Eng. 2017, 2017, 7410392. [Google Scholar] [CrossRef]
- Xu, D.; Dai, Y.; Yang, C.; Yan, X. Adaptive fuzzy sliding mode command-filtered backstepping control for islanded PV microgrid with energy storage system. J. Frankl. Inst. 2019, 356, 1880–1898. [Google Scholar] [CrossRef]
- El Malah, M.; Ba-Razzouk, A.; Abdelmounim, E.; Madark, M. Integral backstepping based nonlinear control for maximum power point tracking and unity power factor of a grid connected hybrid wind-photovoltaic system. Indones. J. Electr. Eng. Inform. 2020, 8, 706–722. [Google Scholar] [CrossRef]
- Ali, K.; Khan, Q.; Ullah, S.; Khan, I.; Khan, L. Nonlinear robust integral backstepping based MPPT control for stand-alone photovoltaic system. PLoS ONE 2020, 15, e0231749. [Google Scholar] [CrossRef]
- Ozdemir, A.; Yazici, I.; Erdem, Z. Model-reference sliding mode control of a three-phase four-leg voltage source inverter for stand-alone distributed generation systems. Turk. J. Electr. Eng. Comput. Sci. 2015, 23, 1817–1833. [Google Scholar] [CrossRef] [Green Version]
- Kumar, N.; Saha, T.K.; Dey, J. Sliding mode control, implementation and performance analysis of standalone PV fed dual inverter. Sol. Energy 2017, 155, 1178–1187. [Google Scholar] [CrossRef]
- Wang, Z.; Li, S.; Yang, J.; Li, Q. Current sensorless sliding mode control for direct current-alternating current inverter with load variations via a USDO approach. IET Power Electron. 2018, 11, 1389–1398. [Google Scholar] [CrossRef]
- Benchouia, M.T.; Ghadbane, I.; Golea, A.; Srairi, K.; Benbouzid, M.H. Design and implementation of sliding mode and PI controllers based control for three phase shunt active power filter. Energy Procedia 2014, 50, 504–511. [Google Scholar] [CrossRef] [Green Version]
- Li, Z.; Member, S.; Zang, C.; Zeng, P.; Yu, H. Control of A Grid-Forming Inverter Based on Sliding Mode and Mixed H 2 /H-infinity Control. IEEE Trans. Ind. Electron. 2017, 64, 3862–3872. [Google Scholar] [CrossRef]
- Pichan, M.; Rastegar, H. Sliding-mode control of four-leg inverter with fixed switching frequency for uninterruptible power supply applications. IEEE Trans. Ind. Electron. 2017, 64, 6805–6814. [Google Scholar] [CrossRef]
- Lauria, D.; Coppola, M. Design and control of an advanced PV inverter. Sol. Energy 2014, 110, 533–542. [Google Scholar] [CrossRef]
- Kamal, S.; Moreno, J.A.; Chalanga, A.; Bandyopadhyay, B.; Fridman, L.M. Continuous terminal sliding-mode controller. Automatica 2016, 69, 308–314. [Google Scholar] [CrossRef]
- Guo, B.; Su, M.; Sun, Y.; Wang, H.; Dan, H.; Tang, Z.; Cheng, B. A Robust Second-Order Sliding Mode Control for Single-Phase Photovoltaic Grid-Connected Voltage Source Inverter. IEEE Access 2019, 7, 53202–53212. [Google Scholar] [CrossRef]
- Pizzo, A.D.; Noia, L.P.D.; Meo, S. Super Twisting Sliding Mode control of Smart inverters grid- connected for PV Applications. In Proceedings of the 6th International Conference on Renewable Energy Research and Applications, San Diego, CA, USA, 5–8 November 2017; Volume 5, pp. 793–796. [Google Scholar]
- Fei, J.; Zhu, Y.; Hua, M. Disturbance observer based fuzzy sliding mode control of PV grid connected inverter. IEEE Access 2018, 6, 18–22. [Google Scholar] [CrossRef]
- Zhu, Y.; Fei, J. Adaptive Global Fast Terminal Sliding Mode Control of Gridconnected Photovoltaic System Using Fuzzy Neural Network Approach. IEEE Access 2017, 5, 109–112. [Google Scholar]
- Wang, C.; Ohsumi, A.; Djurovic, I. Model Predictive Control of Quasi-Z-Source Four-Leg Inverter. IEEE Trans. Ind. Electron. 2016, 63, 1404–1407. [Google Scholar] [CrossRef]
- Komurcugil, H.; Altin, N.; Ozdemir, S.; Sefa, I. An extended lyapunov-function-based control strategy for single-phase UPS inverters. IEEE Trans. Power Electron. 2015, 30, 3976–3983. [Google Scholar] [CrossRef]
- Moreno, J.A. Lyapunov function for Levant’s Second Order Differentiator. Proc. IEEE Conf. Decis. Control 2012, 2, 6448–6453. [Google Scholar] [CrossRef]























| Array Data | Values | 
|---|---|
| No of parallel strings | 1 | 
| No. series connected modules per string | 4 | 
| Maximum power of PV array | 976 W | 
| Voltage of PV array at maximum power point | 120 V | 
| Current of PV array at maximum power point | 8 A | 
| Symbol | Description | Values | 
|---|---|---|
| Input Capacitance | 47 | |
| Boost inductance | 3.3 mH | |
| output Capacitance | 100 | |
| Boost load resistor | 100 | |
| IGBT switching frequency | 15 K Hz | |
| T | Environment temperature | 25 C | 
| Sampling time | 1 × s | 
| Description | Symbol | Values | 
|---|---|---|
| Reference Voltage | ||
| Inductance | L | H | 
| Capacitance | C | F | 
| Nominal linear load | R | |
| Non-linear load | 0.32 , 18 , 3200 F | 
| Description | Symbol | Values | 
|---|---|---|
| Controller gain | 40 | |
| Controller gain | 200 | |
| Sliding constant | 7.5 × | |
| PWM swithing frequency | 15,000 | 
| References | [31] | [5] | [42] | [39] | Proposed | 
|---|---|---|---|---|---|
| Standalone (SA)/grid connected (GC) | SA | GC | SA | GC+SA | SA | 
| AC stage controller type | SMC | ASMC | Lyapunov | FL+SMC | STC | 
| Observer based | Yes | No | No | yes | Yes | 
| Input power source | Battery | PV | Battery | PV | PV | 
| Output voltage frequency (Hz) | 50 | 50 | 50 | 50 | 50 | 
| Voltage tracking error (V) | 0.7 | 0.9 | 0 | 2 | 0 | 
| THD linear load | 0.8 | 0.03 | 0.13 | 0.12 | 0.07 | 
| THD non-linear load | 1.5 | - | 0.09 | - | 0.11 | 
| System Robustness | Fair | Fair | Favorable | Fair | Favorable | 
| Publisher’s Note: MDPI stays neutral with regard to jurisdictional claims in published maps and institutional affiliations. | 
© 2022 by the authors. Licensee MDPI, Basel, Switzerland. This article is an open access article distributed under the terms and conditions of the Creative Commons Attribution (CC BY) license (https://creativecommons.org/licenses/by/4.0/).
Share and Cite
Anjum, W.; Husain, A.R.; Abdul Aziz, J.; Fasih ur Rehman, S.M.; Bakht, M.P.; Alqaraghuli, H. A Robust Dynamic Control Strategy for Standalone PV System under Variable Load and Environmental Conditions. Sustainability 2022, 14, 4601. https://doi.org/10.3390/su14084601
Anjum W, Husain AR, Abdul Aziz J, Fasih ur Rehman SM, Bakht MP, Alqaraghuli H. A Robust Dynamic Control Strategy for Standalone PV System under Variable Load and Environmental Conditions. Sustainability. 2022; 14(8):4601. https://doi.org/10.3390/su14084601
Chicago/Turabian StyleAnjum, Waqas, Abdul Rashid Husain, Junaidi Abdul Aziz, Syed Muhammad Fasih ur Rehman, Muhammad Paend Bakht, and Hasan Alqaraghuli. 2022. "A Robust Dynamic Control Strategy for Standalone PV System under Variable Load and Environmental Conditions" Sustainability 14, no. 8: 4601. https://doi.org/10.3390/su14084601
APA StyleAnjum, W., Husain, A. R., Abdul Aziz, J., Fasih ur Rehman, S. M., Bakht, M. P., & Alqaraghuli, H. (2022). A Robust Dynamic Control Strategy for Standalone PV System under Variable Load and Environmental Conditions. Sustainability, 14(8), 4601. https://doi.org/10.3390/su14084601
 
         
                                                

 
       