Sign in to use this feature.

Years

Between: -

Subjects

remove_circle_outline
remove_circle_outline
remove_circle_outline
remove_circle_outline
remove_circle_outline
remove_circle_outline
remove_circle_outline
remove_circle_outline
remove_circle_outline

Journals

remove_circle_outline
remove_circle_outline
remove_circle_outline
remove_circle_outline

Article Types

Countries / Regions

remove_circle_outline
remove_circle_outline
remove_circle_outline

Search Results (797)

Search Parameters:
Keywords = shale rock

Order results
Result details
Results per page
Select all
Export citation of selected articles as:
28 pages, 2701 KB  
Article
The Impact of Diagenesis on the Reservoir Properties of the Carboniferous Sandstones of Western Pomerania (NW Poland)
by Aleksandra Kozłowska
Minerals 2026, 16(1), 101; https://doi.org/10.3390/min16010101 - 20 Jan 2026
Abstract
The aim of the study is to assess the effect of diagenesis on the reservoir properties of Carboniferous sandstones in Western Pomerania (NW Poland). The research focuses on Mississippian (Łobżonka Shale, Gozd Arkose, and Drzewiany Sandstone formations) and Pennsylvanian (Wolin, Rega, and Dziwna [...] Read more.
The aim of the study is to assess the effect of diagenesis on the reservoir properties of Carboniferous sandstones in Western Pomerania (NW Poland). The research focuses on Mississippian (Łobżonka Shale, Gozd Arkose, and Drzewiany Sandstone formations) and Pennsylvanian (Wolin, Rega, and Dziwna formations) rocks. A comparative analysis of the sandstones in the individual formations was carried out. The sandstone samples taken from 13 deep boreholes were studied petrographically (using a polarizing microscope, cathodoluminescence, and a scanning electron microscope), and petrophysical features were measured. The Carboniferous sandstones are represented mainly by quartz arenites ranging from very fine- to medium-grained and arkosic and lithic arenites from fine- to coarse-grained. The main diagenetic processes that affected the porosity and permeability of quartz arenites were compaction and cementation. Compaction reduced the primary porosity by an average of about 60% and cementation by about 40% in the Pennsylvanian sandstones. Primary porosity of arkosic and lithic arenites was affected mainly by compaction, cementation, and dissolution. Arkosic arenites have lost an average of 80% of their primary porosity as a result of mechanical compaction. The porosity of these sandstones increased due to the dissolution of mainly feldspar grains and the formation of secondary porosity. Among the Mississippian sandstones, quartz arenites of the Łobżonka Shale Formation exhibit unfavorable reservoir properties (porosity approx. 1%, impermeable). The volcaniclastic arkosic and lithic arenites of the Gozd Arkose Formation have poor reservoir qualities (porosity usually around 5%, mostly impermeable). The quartz arenites of the Drzewiany Sandstone Formation show the best reservoir properties (porosity of about 18%, permeability up to 1000 mD). The Pennsylvanian sandstones, quartz arenites of the Wolin and Rega formations, are characterized by good reservoir qualities (porosity approx. 10%, permeability up to 200 mD), while the Dziwna Formation sandstones show worse properties (porosity approx. 10%, often impermeable). Full article
(This article belongs to the Section Mineral Exploration Methods and Applications)
22 pages, 3607 KB  
Article
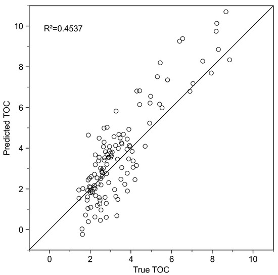
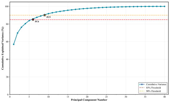
A Feature Engineering and XGBoost Framework for Prediction of TOC from Conventional Logs in the Dongying Depression, Bohai Bay Basin
by Zexi Zhao, Guoyun Zhong, Fan Diao, Peng Ding and Jianfeng He
Geosciences 2026, 16(1), 44; https://doi.org/10.3390/geosciences16010044 - 19 Jan 2026
Abstract
Total organic carbon (TOC) is a critical parameter for evaluating shale source rock quality and hydrocarbon generation potential. However, accurate TOC estimation from conventional well logs remains challenging, especially in data-limited geological settings. This study proposes an optimized XGBoost model for TOC prediction [...] Read more.
Total organic carbon (TOC) is a critical parameter for evaluating shale source rock quality and hydrocarbon generation potential. However, accurate TOC estimation from conventional well logs remains challenging, especially in data-limited geological settings. This study proposes an optimized XGBoost model for TOC prediction using conventional logging data from the Shahejie Formation in the Dongying Depression, Bohai Bay Basin, China. We systematically transform four standard logs—resistivity, acoustic transit time, density, and neutron porosity—into 165 candidate features through multi-scale smoothing, statistical derivation, interaction term creation, and spectral transformation. A two-stage feature selection process, combining univariate filtering and recursive feature elimination and further refined by principal component analysis, identifies ten optimal predictors. The model hyperparameters are optimized via Bayesian search within the Optuna framework to minimize cross-validation error. The optimized model achieves an R2 of 0.9395, with a Mean Absolute Error (MAE) of 0.3392, a Root Mean Squared Error (RMSE) of 0.4259, and a Normalized Root Mean Squared Error (NRMSE) of 0.0604 on the test set, demonstrating excellent predictive accuracy and generalization capability. This study provides a reliable and interpretable methodology for TOC characterization, offering a valuable reference for source rock evaluation in analogous shale formations and sedimentary basins. Full article
Show Figures

Figure 1

27 pages, 6130 KB  
Article
Poisson’s Ratio as the Master Variable: A Single-Parameter Energy-Conscious Model (PNE-BI) for Diagnosing Brittle–Ductile Transition in Deep Shales
by Bo Gao, Jiping Wang, Binhui Li, Junhui Li, Jun Feng, Hongmei Shao, Lu Liu, Xi Cao, Tangyu Wang and Junli Zhao
Sustainability 2026, 18(2), 985; https://doi.org/10.3390/su18020985 - 18 Jan 2026
Viewed by 61
Abstract
As shale gas development extends into deeper formations, the unclear brittle-ductile transition (BDT) mechanism and low fracturing efficiency have emerged as critical bottlenecks, posing challenges to the sustainable and economical utilization of this clean energy resource. This study, focusing on the Liangshang Formation [...] Read more.
As shale gas development extends into deeper formations, the unclear brittle-ductile transition (BDT) mechanism and low fracturing efficiency have emerged as critical bottlenecks, posing challenges to the sustainable and economical utilization of this clean energy resource. This study, focusing on the Liangshang Formation shale of Sichuan Basin’s Pingye-1 Well, pioneers a paradigm shift by identifying Poisson’s ratio (ν) as the master variable governing this transition. Triaxial tests reveal that ν systematically increases with depth, directly regulating the failure mode shift from brittle fracture to ductile flow. Building on this, we innovatively propose the Poisson’s Ratio-regulated Energy-based Brittleness Index (PNE-BI) model. This model achieves a decoupled diagnosis of BDT by quantifying how ν intrinsically orchestrates the energy redistribution between elastic storage and plastic dissipation, utilizing ν as the sole governing variable to regulate energy weighting for rapid and accurate distinction between brittle, transitional, and ductile states. Experiments confirm the ν-dominated energy evolution: Low ν rocks favor elastic energy accumulation, while high ν rocks (>0.22) exhibit a dramatic 1520% surge in plastic dissipation, dominating energy consumption (35.9%) and confirming that ν enhances ductility by reducing intergranular sliding barriers. Compared to traditional multi-variable models, the PNE-BI model utilizes ν values readily obtained from conventional well logs, providing a transformative field-ready tool that significantly reduces the experimental footprint and promotes resource efficiency. It guides toughened fracturing fluid design in ductile zones to suppress premature closure and optimizes injection rates in brittle zones to prevent fracture runaway, thereby enhancing operational longevity and minimizing environmental impact. This work offers a groundbreaking and sustainable solution for boosting the efficiency of mid-deep shale gas development, contributing directly to more responsible and cleaner energy extraction. Full article
(This article belongs to the Section Energy Sustainability)
Show Figures

Figure 1

14 pages, 3133 KB  
Article
Three-Dimensional Modeling of Full-Diameter Micro–Nano Digital Rock Core Based on CT Scanning
by Changyuan Xia, Jingfu Shan, Yueli Li, Guowen Liu, Huanshan Shi, Penghui Zhao and Zhixue Sun
Processes 2026, 14(2), 337; https://doi.org/10.3390/pr14020337 - 18 Jan 2026
Viewed by 117
Abstract
Characterizing tight reservoirs is challenging due to the complex pore structure and strong heterogeneity at various scales. Current digital rock physics often struggles to reconcile high-resolution imaging with representative sample sizes, and 3D digital cores are frequently used primarily as visualization tools rather [...] Read more.
Characterizing tight reservoirs is challenging due to the complex pore structure and strong heterogeneity at various scales. Current digital rock physics often struggles to reconcile high-resolution imaging with representative sample sizes, and 3D digital cores are frequently used primarily as visualization tools rather than predictive, computable platforms. Thus, a clear methodological gap persists: high-resolution models typically lack macroscopic geological features, while existing 3D digital models are seldom leveraged for quantitative, predictive analysis. This study, based on a full-diameter core sample of a single lithology (gray-black shale), aims to bridge this gap by developing an integrated workflow to construct a high-fidelity, computable 3D model that connects the micro–nano to the macroscopic scale. The core was scanned using high-resolution X-ray computed tomography (CT) at 0.4 μm resolution. The raw CT images were processed through a dedicated pipeline to mitigate artifacts and noise, followed by segmentation using Otsu’s algorithm and region-growing techniques in Avizo 9.0 to isolate minerals, pores, and the matrix. The segmented model was converted into an unstructured tetrahedral finite element mesh within ANSYS 2024 Workbench, with quality control (aspect ratio ≤ 3; skewness ≤ 0.4), enabling mechanical property assignment and simulation. The digital core model was rigorously validated against physical laboratory measurements, showing excellent agreement with relative errors below 5% for key properties, including porosity (4.52% vs. 4.615%), permeability (0.0186 mD vs. 0.0192 mD), and elastic modulus (38.2 GPa vs. 39.5 GPa). Pore network analysis quantified the poor connectivity of the tight reservoir, revealing an average coordination number of 2.8 and a pore throat radius distribution of 0.05–0.32 μm. The presented workflow successfully creates a quantitatively validated “digital twin” of a full-diameter core. It provides a tangible solution to the scale-representativeness trade-off and transitions digital core analysis from a visualization tool to a computable platform for predicting key reservoir properties, such as permeability and elastic modulus, through numerical simulation, offering a robust technical means for the accurate evaluation of tight reservoirs. Full article
(This article belongs to the Section Energy Systems)
Show Figures

Figure 1

24 pages, 5500 KB  
Article
Spatiotemporal Differentiation Characteristics and Meteorological Driving Mechanisms of Soil Moisture in Soil–Rock Combination Controlled by Microtopography in Hilly and Gully Regions
by Linfu Liu, Xiaoyu Dong, Fucang Qin and Yan Sheng
Sustainability 2026, 18(2), 959; https://doi.org/10.3390/su18020959 - 17 Jan 2026
Viewed by 187
Abstract
Soil erosion in the hilly and gully region of the middle reaches of the Yellow River is severe, threatening regional ecological security and the water–sediment balance of the Yellow River. The area features fragmented topography and significant spatial heterogeneity in soil thickness, forming [...] Read more.
Soil erosion in the hilly and gully region of the middle reaches of the Yellow River is severe, threatening regional ecological security and the water–sediment balance of the Yellow River. The area features fragmented topography and significant spatial heterogeneity in soil thickness, forming a unique binary “soil–rock” structural system. The soil in the study area is characterized by silt-based loess, and the underlying bedrock is an interbedded Jurassic-Cretaceous sandstone and sandy shale. It has strong weathering, well-developed fissures, and good permeability, rather than dense impermeable rock layers. However, the spatiotemporal differentiation mechanism of soil moisture in this system remains unclear. This study focuses on the typical hilly and gully region—the Geqiugou watershed. Through field investigations, soil thickness sampling, multi-scale soil moisture monitoring, and analysis of meteorological data, it systematically examines the cascade relationships among microtopography, soil–rock combinations, soil moisture, and meteorological drivers. The results show that: (1) Based on the field survey of 323 sampling points in the study area, it was found that soil samples with a thickness of less than 50 cm accounted for 85%, which constituted the main structure of soil thickness in the region. Macrotopographic units control the spatial differentiation of soil thickness, forming a complete thickness gradient from erosional units (e.g., Gully and Furrow) to depositional units (e.g., Gently sloped terrace). Based on this, five typical soil–rock combination types with soil thicknesses of 10 cm, 30 cm, 50 cm, 70 cm, and 90 cm were identified. (2) Soil–rock combination structures regulate the vertical distribution and seasonal dynamics of soil moisture. In thin-layer combinations, soil moisture is primarily retained within the shallow soil profile with higher dynamics, whereas in thick-layer combinations, under conditions of substantial rainfall, moisture can percolate deeply and become notably stored within the fractured bedrock, sometimes exceeding the moisture content in the overlying soil. (3) The response of soil moisture to precipitation is hierarchical: light rain events only affect the surface layer, whereas heavy rainfall can infiltrate to depths below 70 cm. Under intense rainfall, the soil–rock interface acts as a rapid infiltration pathway. (4) The influence of meteorological drivers on soil moisture exhibits vertical differentiation and is significantly modulated by soil–rock combination types. This study reveals the critical role of microtopography-controlled soil–rock combination structures in the spatiotemporal differentiation of soil moisture, providing a scientific basis for the precise implementation of soil and water conservation measures and ecological restoration in the region. Full article
Show Figures

Figure 1

15 pages, 4513 KB  
Article
Effects of Oil Removal and Saturation on Core Integrity in Jimsar Shale Cores
by Linmao Lu, Hongyan Qu, Yanjie Chu, Mingyuan Yang, Hongzhou Wang, Fujian Zhou and Jun Zhang
Processes 2026, 14(2), 246; https://doi.org/10.3390/pr14020246 - 10 Jan 2026
Viewed by 171
Abstract
The shale oil reservoir is characterized by ultra-low porosity and permeability and multi-scale strong heterogeneity. During the sampling process of downhole cores, the rocks can easily be affected by drilling fluid contamination, mechanical stress damage, and other factors, altering the original distribution of [...] Read more.
The shale oil reservoir is characterized by ultra-low porosity and permeability and multi-scale strong heterogeneity. During the sampling process of downhole cores, the rocks can easily be affected by drilling fluid contamination, mechanical stress damage, and other factors, altering the original distribution of oil–water and the characteristics of pore structures. Oil removal and oil saturation are critical steps in core pre-treatment, yet the mechanism of its impact on cores has not been systematically studied. This research focuses on oil removal in six cores from the Jimsar shale oil reservoir with different oil saturations. The necessity and effectiveness of the oil removal saturation and its impact on the microstructure of the cores were systematically evaluated by employing nuclear magnetic resonance (NMR), CT scanning, and permeability testing methods. The results indicate that there are significant differences in fluid composition, pore structure, and wettability among downhole cores, making oil removal saturation treatment a necessary prerequisite for subsequent experiments. High-temperature and high-pressure oil removal shows significant effectiveness, with an average core weight reduction of 2.46% and average reduction in T2 peak area of 73.75%. The efficacy of oil saturation is influenced by the initial pore-throat distribution in the cores. The oil removal process significantly alters petrophysical parameters, with an average increase in porosity of 3.21 times and permeability rising by an average of 2.16 times, although individual variations exist. Microstructural analysis demonstrates that the oil removal process preferentially removes crude oil from larger pores, while residual oil is mainly distributed in smaller pores, indicated by a left shift in T2 peak values. Meanwhile, high-temperature and high-pressure conditions induce microfracture development, promoting the migration of crude oil into smaller pores. This research reveals the complex impact mechanism of the oil removal saturation process on shale cores, providing a theoretical basis for accurately evaluating shale reservoir characteristics and optimizing experimental design. Full article
Show Figures

Figure 1

22 pages, 12191 KB  
Article
Study on the Synergistic Bearing Capacity Characteristics and Deformation and Damage Laws of Rock–Coal Combinations with Different Lithologies
by Lei Han, Shouqian Sheng, Dawei Yin, Faxin Li, Fan Feng and Xiao Qu
Appl. Sci. 2026, 16(1), 328; https://doi.org/10.3390/app16010328 - 29 Dec 2025
Viewed by 160
Abstract
Ensuring the stability of underground structure engineering in deep coal mines is the key to the successful exploitation of deep geothermal resources in coal mines. Therefore, this paper carried out mechanical tests on rock–coal combinations under different rock properties and studied their stress–strain [...] Read more.
Ensuring the stability of underground structure engineering in deep coal mines is the key to the successful exploitation of deep geothermal resources in coal mines. Therefore, this paper carried out mechanical tests on rock–coal combinations under different rock properties and studied their stress–strain laws, energy and acoustic emission evolution laws, as well as deformation and failure laws. The main conclusions are as follows: (1) The strength of rock–coal assemblages mainly depends on the strength of coal samples far from the interface, and coal samples are the main bearing bodies in the process of uniaxial compression. (2) Because oil shale has a relatively low strength and large deformations, the rock property of relatively large deformations can improve the ability of the combinations to convert external energy into elastic energy. (3) The acoustic emission energy rate signals of rock–coal combinations can be divided into three stages: quiet, active, and sudden increase. The acoustic emission energy rate signals of limestone–coal and sandstone–coal assemblages are of the “lone-shock” type, while the acoustic emission energy rate signals of oil shale coal assemblages are of the “Multi-peak” type. (4) When oil shale with a relatively low strength and large deformations occurs, both the rock sample and coal sample of the combination appear to have deformation localization zones, and the deformation localization zones in the rock sample and coal sample run through the rock–coal interface, which eventually leads to the failure of both the rock sample and coal sample of the combination. These relevant research results help ensure the safe utilization of geothermal resources in deep coal mines and promote the global energy structure in accelerating the transformation to low-carbon and clean energy. Full article
(This article belongs to the Special Issue Reservoir Stimulation in Deep Geothermal Reservoir)
Show Figures

Figure 1

17 pages, 4057 KB  
Article
Comprehensive Modeling of CO2 Sequestration in Syderiai Deep Saline Aquifer: Insights into Leakage, Geo-Mechanical Changes, and Geo-Chemical Impacts
by Shankar Lal Dangi, Shruti Malik, Ravi Sharma and Mayur Pal
Appl. Sci. 2026, 16(1), 167; https://doi.org/10.3390/app16010167 - 23 Dec 2025
Viewed by 308
Abstract
This paper presents a comprehensive study on the feasibility and implications of a CO2 injection simulation in the Syderiai deep saline aquifer of Lithuania, focusing on leakage, geo-mechanical aspects, and geo-chemical aspects. The Syderiai aquifer, characterized by its sandstone formation covered by [...] Read more.
This paper presents a comprehensive study on the feasibility and implications of a CO2 injection simulation in the Syderiai deep saline aquifer of Lithuania, focusing on leakage, geo-mechanical aspects, and geo-chemical aspects. The Syderiai aquifer, characterized by its sandstone formation covered by shaly rocks, is considered a potential site for CO2 geological storage in Lithuania. Using 3D mechanistic models developed in T-navigator software, we conducted extensive simulations to analyze CO2 storage behavior and associated impacts. The leakage study examines various scenarios to assess the impact of fracture permeability, layer-wise heterogeneity, and fracture position on CO2 injection and leakage volumes. Results indicate that while fracture permeability influences CO2 migration dynamics, its impact on both free and dissolved CO2 leakage volumes is minimal, highlighting that leakage behavior is more dependent on the presence of fractures than their permeability. Geo-mechanical analysis reveals the effects of CO2 injection on the bulk modulus and shear modulus of sandstone and shale formations, highlighting changes in compaction and cementation. The geo-chemical study was performed using TOUGHREACT software V4.13-OMP to investigate the distribution of pH, porosity change, and free CO2 over 1000-years following 10-year CO2 injection. Results demonstrate the acidifying effect of CO2 injection and its implications for the caprock–reservoir interface over time. The findings offer valuable perspectives on the feasibility and consequences of CO2 geological storage in the Syderiai deep saline aquifer, highlighting the importance of incorporating leakage, geo-mechanical aspects, and geo-chemical aspects for implementing efficient CO2 storage. Full article
Show Figures

Figure 1

21 pages, 5888 KB  
Article
Characteristics of Pore–Throat Structures and Impact on Sealing Capacity in the Roof of Chang 73 Shale Oil Reservoir, Ordos Basin
by Wenhao Jia, Guichao Du, Congsheng Bian, Wei Dang, Jin Dong, Hao Wang, Lin Zhu, Yifan Wen and Boyan Pan
Minerals 2026, 16(1), 12; https://doi.org/10.3390/min16010012 - 23 Dec 2025
Viewed by 333
Abstract
In shale oil accumulation, the sealing capacity of roof strata is a key factor controlling hydrocarbon retention, primarily governed by pore–throat structures. This study examines the Chang 73 sub-member roof in the Ordos Basin using core and drilling samples, combined with SEM, [...] Read more.
In shale oil accumulation, the sealing capacity of roof strata is a key factor controlling hydrocarbon retention, primarily governed by pore–throat structures. This study examines the Chang 73 sub-member roof in the Ordos Basin using core and drilling samples, combined with SEM, mercury intrusion porosimetry, nitrogen adsorption, and breakthrough pressure tests. The roof rocks are dense and mainly composed of mudstone, silty mudstone, and argillaceous siltstone, which can be further classified into clay-rich and felsic-rich types. The pore system includes organic matter pores, dissolution pores, intergranular pores, clay interlayer pores, intercrystalline pores, and microfractures. Pores are dominated by mesopores (4–10 nm), with few macropores, and display slit-like, plate-, and wedge-shaped morphologies. Breakthrough pressure averages above 20 MPa, reflecting strong sealing capacity. Although dissolution of felsic minerals generates secondary porosity that may weaken sealing, the overall complex pore–throat system, reinforced by compaction and cementation of clay minerals, forms a dense fabric and favorable sealing conditions. These features restrict hydrocarbon migration and enhance the sealing performance of the Chang 73 shale oil roof. Full article
Show Figures

Figure 1

18 pages, 3232 KB  
Article
A Comparison of Generation–Retention–Expulsion in Felsic and Carbonate Laminated Shale by Semi-Open Thermal Pyrolysis: Implications for Shale Oil Exploration
by Quansheng Guan, Xiaoping Liu, Changwei Chen, Xianzheng Zhao, Fengming Jin, Wenya Jiang, Xiugang Pu, Biao Sun, Tian Liu, Zuxian Hua, Wendi Peng and Gaohang Jia
Geosciences 2026, 16(1), 9; https://doi.org/10.3390/geosciences16010009 - 22 Dec 2025
Viewed by 166
Abstract
Paleogene lacustrine shale is a key source rock for large oil reserves in China and a major target for shale oil exploration. However, differences in the chemical characteristics of felsic and carbonate shales during burial and thermal evolution remain poorly understood. This study [...] Read more.
Paleogene lacustrine shale is a key source rock for large oil reserves in China and a major target for shale oil exploration. However, differences in the chemical characteristics of felsic and carbonate shales during burial and thermal evolution remain poorly understood. This study evaluates hydrocarbon generation and expulsion efficiency in these shale types using pyrolysis experiments on lower Paleocene Kongdian Formation samples (Type I) from the Eastern China Sedimentary Basin. Results show that felsic shale has higher hydrocarbon generation capacity than carbonate shale. During pyrolysis, carbonate shale retained ~119 mg/g more oil but expelled 184 mg/g less than felsic shale. Felsic shale reached peak oil generation and retention faster but with lower retention efficiency. The larger volume of residual hydrocarbons in felsic shale facilitated earlier expulsion onset, higher yields of gaseous hydrocarbons, and superior gas expulsion efficiency. While both shales exhibited similar thermal evolution trends for hydrocarbon gases, methane proportions and gas-oil ratios (GOR) differed significantly. Carbon loss was comparable during the oil window, but felsic shale lost more carbon overall. At higher temperatures, n-alkanes in residual oil decreased sharply, with lighter oil retained at advanced maturity, increasing GOR and reducing heavy hydrocarbons. These findings demonstrate the effective hydrocarbon potential of medium-high TOC felsic and carbonate shales. Full article
Show Figures

Figure 1

23 pages, 6829 KB  
Article
Pore Structure and the Multifractal Characteristics of Shale Before and After Extraction: A Case Study of the Triassic Yanchang Formation in the Ordos Basin
by Zhengwei Xu, Honggang Xin, Zhitao Wang, Shengbin Feng, Wenzhong Ma, Liwen Zhu, Huifei Tao, Lewei Hao and Xiaofeng Ma
Minerals 2025, 15(12), 1324; https://doi.org/10.3390/min15121324 - 18 Dec 2025
Viewed by 338
Abstract
The shale oil reservoirs of Member 7 of the Triassic Yanchang Formation in the Longdong Area of the Ordos Basin have attracted widespread attention due to their unique geological characteristics and enormous development potential. As the core factor controlling reservoir storage capacity and [...] Read more.
The shale oil reservoirs of Member 7 of the Triassic Yanchang Formation in the Longdong Area of the Ordos Basin have attracted widespread attention due to their unique geological characteristics and enormous development potential. As the core factor controlling reservoir storage capacity and hydrocarbon flow efficiency, the precise characterization and quantitative analysis of pore structure are the prerequisite and key for reservoir evaluation and development plan optimization. All samples selected in this study were collected from the shale of Member 7 of the Triassic Yanchang Formation and were classified into two categories: medium-organic-rich shales (total organic carbon, TOC: 2–6%; TOC refers to the total organic carbon content in rocks, indicating organic matter abundance; unit: %) and high-organic-rich shales (TOC: >6%). The mineral composition and organic geochemical parameters of the shale were determined via X-ray diffraction (XRD) and Rock-Eval pyrolysis experiments, respectively. Meanwhile, pore structure characteristics were analyzed by combining low-temperature nitrogen adsorption–desorption experiments before and after extraction, and multifractal analysis was used to systematically investigate the differences in pore heterogeneity of shale and their influencing factors. The results show that the specific surface area (SSA) and total pore volume (TPV) of shale increased after extraction, while the change in average pore diameter (APD) varied. Multifractal analysis indicates that the micropores of shale both before and after extraction exhibit significant multifractal characteristics; after extraction, pore connectivity is improved, but the changes in pore heterogeneity are inconsistent. The pore connectivity of shale first increases and then decreases with the increase in TOC content and pyrolysis parameter S2 content. The better the pore connectivity of shale, the lower the content of light-component saturated hydrocarbons and the relatively higher the content of heavy-component resins in the extractable organic matter (EOM). Brittle minerals can provide a rigid framework to inhibit compaction and are prone to forming natural microfractures under tectonic stress, thereby promoting pore connectivity. In contrast, clay minerals, due to their plasticity, are prone to deformation and filling pore throats during compaction, thus reducing pore connectivity. This study provides a theoretical basis for the evaluation and development of shale reservoirs in the Longdong Area. Full article
(This article belongs to the Special Issue Natural and Induced Diagenesis in Clastic Rock)
Show Figures

Figure 1

20 pages, 4502 KB  
Article
Transforming Waste into Value: The Role of Recovered Carbon Fibre and Oil Shale Ash in Enhancing Cement-Based Structural Composites
by Regina Kalpokaitė-Dičkuvienė, Inga Stasiulaitiene, Arūnas Baltušnikas and Samy Yousef
Materials 2025, 18(24), 5636; https://doi.org/10.3390/ma18245636 - 15 Dec 2025
Viewed by 357
Abstract
Economic and technological factors necessitate the use of alternative fuels during oil shale combustion, a process that generates substantial amounts of solid waste with varying ash compositions. This study evaluates the potential of two such waste materials: (i) fly ash derived from the [...] Read more.
Economic and technological factors necessitate the use of alternative fuels during oil shale combustion, a process that generates substantial amounts of solid waste with varying ash compositions. This study evaluates the potential of two such waste materials: (i) fly ash derived from the combustion of oil shale (a fine particulate residue from burning crushed shale rock, sometimes combined with biomass), and (ii) short carbon fibres recovered from the pyrolysis (a process of decomposing materials at high temperatures in the absence of oxygen) of waste wind turbine blades. Oil shale ash from two different sources was investigated as a partial cement replacement, while recycled short carbon fibres (rCFs) were incorporated to enhance the functional properties of mortar composites. Results showed that carbonate-rich ash promoted the formation of higher amounts of monocarboaluminate (a crystalline hydration product in cement chemistry), leading to a refined pore structure and increased volumes of reaction products—primarily calcium silicate hydrates (C–S–H, critical compounds for cement strength). The findings indicate that the mineralogical composition of the modified binder (the mixture that holds solid particles together in mortar), rather than the fibre content, is the dominant factor in achieving a dense microstructure. This, in turn, enhances resistance to water ingress and improves mechanical performance under long-term hydration and freeze–thaw exposure. Life cycle assessment (LCA, a method to evaluate environmental impacts across a product’s lifespan) further demonstrated that combining complex binders with rCFs can significantly reduce the environmental impacts of cement production, particularly in terms of global warming potential (−4225 kg CO2 eq), terrestrial ecotoxicity (−1651 kg 1,4-DCB), human non-carcinogenic toxicity (−2280 kg 1,4-DCB), and fossil resource scarcity (−422 kg oil eq). Overall, the integrative use of OSA and rCF presents a sustainable alternative to conventional cement, aligning with principles of waste recovery and reuse, while providing a foundation for the development of next-generation binder systems. Full article
(This article belongs to the Special Issue Advances in Waste Materials’ Valorization)
Show Figures

Figure 1

21 pages, 6332 KB  
Article
Torsional Stick–Slip Modeling and Mitigation in Horizontal Wells Considering Non-Newtonian Drilling Fluid Damping and BHA Configuration
by Xueyin Han, Botao Lin, Fanhua Meng, Xuefeng Song and Zhibin Li
Processes 2025, 13(12), 4051; https://doi.org/10.3390/pr13124051 - 15 Dec 2025
Viewed by 379
Abstract
Stick–slip vibration leads to accelerated wear of drilling tools and downhole tool failures, particularly in long horizontal sections. Existing drill-string dynamics models and control or digital-twin frameworks have significantly improved our understanding and mitigation of stick–slip, but most of them adopt simplified Newtonian [...] Read more.
Stick–slip vibration leads to accelerated wear of drilling tools and downhole tool failures, particularly in long horizontal sections. Existing drill-string dynamics models and control or digital-twin frameworks have significantly improved our understanding and mitigation of stick–slip, but most of them adopt simplified Newtonian or linear viscous damping and low-degree-of-freedom representations of the drill-string–fluid–BHA system, which can under-represent the influence of non-Newtonian oil-based drilling fluids and detailed BHA design in long horizontal wells. In this study, an n-degree-of-freedom torsional stick–slip vibration model for horizontal wells is developed that explicitly incorporates Herschel–Bulkley non-Newtonian rheological damping of the drilling fluid, distributed friction between the horizontal section and drill string, and bit–rock interaction. The model is implemented in a computational program and calibrated and validated against stick–slip field measurements from four shale-gas horizontal wells in the Luzhou area, showing good agreement in stick–slip frequency and peak angular velocity. Using the Stick–Slip Index (SSI) as a quantitative metric, the influences of rotary table speed, weight on bit (WOB), and bottom-hole assembly (BHA) configuration on stick–slip vibration in a representative case well are systematically analyzed. The results indicate that increasing rotary speed from 64 to 144 r/min progressively reduces stick–slip severity and eliminates it at 144 r/min, reducing WOB from 150 to 60 kN weakens and eventually removes stick–slip at the expense of penetration rate, drill collar length has a non-monotonic impact on SSI with potential high-frequency vibrations at longer lengths, and increasing heavy-weight drill pipe (HWDP) length from 47 to 107 m consistently intensifies stick–slip. Based on these simulations, SSI-based stick–slip severity charts are constructed to provide quantitative guidance for drilling parameter optimization and BHA configuration in field operations. Full article
(This article belongs to the Section Process Control and Monitoring)
Show Figures

Figure 1

19 pages, 12894 KB  
Article
Study on Rainfall-Induced Rock Weathering and the Mechanism of Its Related Landslides
by Ya Chu Chiu, Chen Yu Liu, Yu Lin Tsai and Hsin Chieh Lin
Water 2025, 17(24), 3556; https://doi.org/10.3390/w17243556 - 15 Dec 2025
Viewed by 473
Abstract
The primary strata of western Taiwan are Cenozoic sedimentary rocks. Characterized by low cementation and high porosity, these rocks exhibit a pronounced wetting–softening effect. Long-term exposure to warm, humid tropical and subtropical climates significantly degrades their engineering geological properties due to weathering. This [...] Read more.
The primary strata of western Taiwan are Cenozoic sedimentary rocks. Characterized by low cementation and high porosity, these rocks exhibit a pronounced wetting–softening effect. Long-term exposure to warm, humid tropical and subtropical climates significantly degrades their engineering geological properties due to weathering. This study, based on a sandstone-shale interbedded highway slope in central Taiwan that has repeatedly collapsed, investigated the slope’s failure mechanism using remote-sensing image interpretation of previous landslides, surface geological surveys, kinematic analysis, photogrammetric mapping, laboratory artificial weathering experiments, and Distinct Element Method (DEM) simulations. The study revealed that the fundamental cause of collapse on this type of oblique-slope interbedded sandstone-shale is the sliding and toppling of sandstone blocks, driven by weathering and erosion of the shale. Based on artificial weathering experiments, the strength loss rate of the shale in the Kuantaoshan Sandstone Member of the Kueichulin Formation after weathering is 6.6 times that of the sandstone. The estimated collapse area from the two-dimensional Distinct Element Method analysis is consistent with the actual value from the photogrammetric model. This type of landslide caused by rock weathering always forms stepped surface where sandstone overhangs above shale. A shale erosion amount of 0.78–0.91 of the spacing of the joint approximately parallel to the slope surface was found to be the critical erosion before collapse and can serve as the early warning indicator. Full article
Show Figures

Figure 1

17 pages, 9615 KB  
Article
Organic Matter Enrichment and Reservoir Nanopore Characteristics of Marine Shales: A Case Study of the Permian Shales in the Kaijiang–Liangping Trough
by Xinrui Yang, Liangjun Xu, Huilin Li, Mingkai Zhang, Sirui Liu, Lu Xu, Dongxi Liu, Tong Xia and Jia Wang
Nanomaterials 2025, 15(24), 1870; https://doi.org/10.3390/nano15241870 - 12 Dec 2025
Viewed by 325
Abstract
To clarify the organic matter enrichment regularity of Permian shales in the Kaijiang–Liangping Trough, as well as the differential characteristics of their reservoir lithology, mineral assemblage, and nanopore structure—and thereby provide a geological basis for the exploration and development of Permian marine shales [...] Read more.
To clarify the organic matter enrichment regularity of Permian shales in the Kaijiang–Liangping Trough, as well as the differential characteristics of their reservoir lithology, mineral assemblage, and nanopore structure—and thereby provide a geological basis for the exploration and development of Permian marine shales in the eastern Sichuan Basin—core samples from different depths of the Wujiaping Formation and Dalong Formation in Well DY-1H were analyzed using a series of micro–nano technical research methods, including whole-rock X-ray diffraction, major/trace element analysis, conventional porosity-permeability measurement, high-pressure mercury intrusion porosimetry, nitrogen adsorption, and field emission scanning electron microscopy. Research finds that the Dalong Formation shale contains Type I organic matter with high abundance, whereas the Wujiaping Formation shale is dominated by Type II2 organic matter. The Wujiaping Formation experienced stronger terrigenous input and higher weathering intensity, while the Dalong Formation was deposited under persistently anoxic conditions, in contrast to the frequent oxic–anoxic alternations in the Wujiaping Formation. Paleoproductivity indicators suggest higher productivity in the Dalong Formation than in the Wujiaping Formation. Mo/TOC ratios below 4.5 indicate deposition in a strongly restricted water body. Enrichment factors of multiple elements further support the enhanced paleoproductivity of the Dalong Formation. The Dalong Formation shale has higher contents of quartz and carbonate minerals, while the Wujiaping Formation shale has a higher content of clay minerals. The Wujiaping Formation shale is more developed with inorganic micropores, whereas the Dalong Formation shale is characterized by more developed organic nanopores. During the sedimentary period of the Dalong Formation shale, the paleoproductivity was high, the sedimentary waterbody had high reducibility and restriction, and the reservoir was well-developed with nanopores. The Dalong Formation is a more favorable interval for Permian shale gas exploration and development in the Kaijiang–Liangping Trough. Full article
(This article belongs to the Special Issue Nanopores and Nanostructures in Tight Reservoir Rocks)
Show Figures

Figure 1

Back to TopTop