Effects of Oil Removal and Saturation on Core Integrity in Jimsar Shale Cores
Abstract
1. Introduction
2. Materials and Methods
2.1. Samples and Equipment
2.2. Experimental Design
3. Results
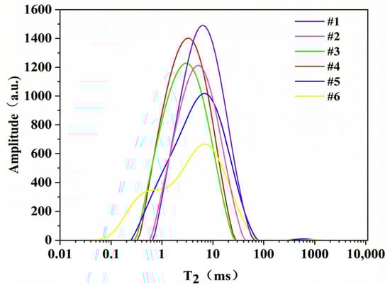
3.1. Initial Core Characterization
3.2. Effectiveness of Oil Removal
3.3. Effectiveness of Oil Saturation
3.4. Impact on Petrophysical Properties
3.5. Microstructural Changes Visualized by CT
4. Discussions
4.1. Interpretation of Saturation Efficacy and Heterogeneity
4.2. Mechanisms of Petrophysical Property Alteration
4.3. Synthesis on Microstructural Evolution and Its Implications
4.4. Practical Implications for Core Preparation
5. Conclusions
- (1)
- Implementing oil-washing and saturation treatments while discerning their influence on core samples serves as a prerequisite for subsequent experimentation. The oil-washing and saturation processes substantially reconfigure microstructural arrangements, pore permeability profiles, and fluid distributions, which are factors exerting direct consequences on ensuing experimental outcomes.
- (2)
- High-temperature and high-pressure oil-washing demonstrates pronounced effectiveness, while saturation efficiency is contingent upon initial core conditions. Post-treatment analysis reveals an average mass reduction of 2.46% in core specimens, accompanied by a 73.75% average decrease in T2 spectral peak areas. Superior pore-throat development correlates with enhanced petrophysical properties and more effective saturation, whereas bound water presence adversely impacts saturation performance.
- (3)
- Oil-washing profoundly modifies petrophysical parameters. Post-treatment drying yields an average 3.21-fold porosity enhancement and 2.16-fold permeability augmentation, although isolated reductions occur. These anomalies are attributed to thermo-mechanically induced microfractures during processing, though potential pore-throat obstruction via particle migration remains plausible.
- (4)
- During oil-washing, preferential evacuation of hydrocarbons occurs in macroscopic pores, with residual oil predominantly localized within microscopic voids—manifested as leftward migration of T2 spectral peaks. Under elevated temperatures and pressures, microfracture proliferation emerges, with synergistic fracture-channel effects impelling crude oil displacement into finer capillaries. This phenomenon generates T2 spectral signatures in previously quiescent regions.
Author Contributions
Funding
Data Availability Statement
Conflicts of Interest
References
- Zhang, G.; Zhou, Z.; Cui, C.; Zhang, J.; Wang, J. Characterization of Pore Structure and Fluid Mobility of Shale Reservoirs. ACS Omega 2024, 9, 37724–37736. [Google Scholar] [CrossRef] [PubMed]
- Cao, Y.; Wu, Q.; Jin, Z.; Zhu, R. Characterization of Microstructures in Lacustrine Organic-Rich Shale Using Micro-CT Images: Qingshankou Formation in Songliao Basin. Energies 2022, 15, 6712. [Google Scholar] [CrossRef]
- Li, S.; Sun, J.; Gao, Y.; Liu, D.; Zhang, Z.; Ma, P. Flow Characterization in Fractured Shale Oil Matrices Using Advanced Nuclear Magnetic Resonance Techniques. Processes 2024, 12, 879. [Google Scholar] [CrossRef]
- Sun, N.; He, W.; Zhong, J.; Gao, J.; Sheng, P. Lithofacies and Shale Oil Potential of Fine-Grained Sedimentary Rocks in Lacustrine Basin (Upper Cretaceous Qingshankou Formation, Songliao Basin, Northeast China). Minerals 2023, 13, 385. [Google Scholar] [CrossRef]
- Wang, F.; Zhang, Y.; Li, X.; Han, X. Study on a New Rock Fracability Evaluation Model of Shale Gas Reservoir. Geofluids 2020, 2020, 1–11. [Google Scholar] [CrossRef]
- Zhang, L.; Li, B.; Jiang, S.; Xiao, D.; Lu, S.; Zhang, Y.; Gong, C.; Chen, L. Heterogeneity Characterization of the Lower Silurian Longmaxi Marine Shale in the Pengshui Area, South China. Int. J. Coal Geol. 2018, 195, 250–266. [Google Scholar] [CrossRef]
- Wu, F.; Dai, J.; Shi, L.; Fan, L.; Guan, Y.; Li, Y.; Wang, Q.; Chen, C. An Experiment-Based Study of Formation Damage Using a Microetching Model Displacement Method. Micromachines 2022, 13, 270. [Google Scholar] [CrossRef] [PubMed]
- Kang, Y.; Xu, C.; You, L.; Yu, H.; Zhang, B. Comprehensive Evaluation of Formation Damage Induced by Working Fluid Loss in Fractured Tight Gas Reservoir. J. Nat. Gas Sci. Eng. 2014, 18, 353–359. [Google Scholar] [CrossRef]
- Xu, C.; Kang, Y.; You, Z.; Chen, M. Review on Formation Damage Mechanisms and Processes in Shale Gas Reservoir: Known and to Be Known. J. Nat. Gas Sci. Eng. 2016, 36, 1208–1219. [Google Scholar] [CrossRef]
- Zhang, L.; Zhou, F.; Zhang, S.; Li, Z.; Wang, J.; Wang, Y. Evaluation of Permeability Damage Caused by Drilling and Fracturing Fluids in Tight Low Permeability Sandstone Reservoirs. J. Pet. Sci. Eng. 2019, 175, 1122–1135. [Google Scholar] [CrossRef]
- Wang, Z.; Qiu, Y.; Guo, P.; Du, J.; Liu, H.; Hu, Y.; Zeng, F. Experimental Investigation of the Damage Mechanisms of Drilling Mud in Fractured Tight Gas Reservoir. J. Energy Resour. Technol. 2019, 141, 092907. [Google Scholar] [CrossRef]
- Zhao, H.; Zheng, J.; Zhang, Z.; Qin, H.; Wang, C.; Zhu, J.; Chen, A.; Chen, L.; Liu, P.; Yang, W.; et al. Research Progress and Prospects of Oil Saturation Evaluation Methods in Shale Oil Reservoirs. Processes 2024, 12, 2421. [Google Scholar] [CrossRef]
- Liu, Y.; Wang, C.; Liu, Z.; Wang, H.; Liu, Y. A Logging Method for Evaluating Oil-Bearing Property of Jimsar Shale Oil: Case Study of Sag in Junggar Basin. Nat. Gas Geosci. 2021, 32, 1084–1092. [Google Scholar]
- Yan, W.; Zhang, Z.; Chen, L.; Zhao, Z.; Wang, W. New Evaluating Method of Oil Saturation in Gulong Shale Based on NMR Technique. Pet. Geol. Oilfield Dev. Daqing 2021, 40, 78–86. [Google Scholar]
- Kadkhodaie, A.; Rezaee, R. A New Correlation for Water Saturation Calculation in Gas Shale Reservoirs Based on Compensation of Kerogen-Clay Conductivity. J. Pet. Sci. Eng. 2016, 146, 932–939. [Google Scholar] [CrossRef]
- Qin, Y.; Zhang, G.; Luo, C.; Zhang, J.; Wang, Z. Two-Dimensional NMR Characteristics of Jimsar Shale Oil Reservoir. J. Cent. South. Univ. 2022, 53, 3387–3400. [Google Scholar] [CrossRef]
- Zeng, J.B.; Zheng, Q.W.; Xie, X.Q.; Yang, F.; Cheng, L.; Xia, Y. New method of saturation calculation based on NMR experiment and application. Prog. Geophys. 2023, 38, 1228–1237. [Google Scholar] [CrossRef]
- He, X.; Luo, Q.; Jiang, Z.; Qiu, Z.; Luo, J.; Li, Y.; Deng, Y. Control of Complex Lithofacies on the Shale Oil Potential in Saline Lacustrine Basins of the Jimsar Sag, NW China: Coupling Mechanisms and Conceptual Models. J. Asian Earth Sci. 2024, 266, 106135. [Google Scholar] [CrossRef]
- SY/T 5385-2007; Calculus of Porosity and Fluid Saturation of Rock in Laboratory. National Development and Reform Commission of China. Petroleum Industry Press: Beijing, China, 2007. Available online: https://std.samr.gov.cn/hb/search/stdHBDetailed?id=5DDA8BA2053918DEE05397BE0A0A95A7 (accessed on 28 December 2025).











| Sample | Length (cm) | Diameter (cm) | Initial State |
|---|---|---|---|
| #1 | 6.98 | 2.50 | Evicted cores display localized mottled-band seepage of sepia crude oil with persistent pinhead-sized bubbling, exhibiting ~70% oil saturation. |
| #2 | 6.92 | 2.39 | |
| #3 | 7.02 | 2.43 | Samples exhibit mottled/banded sepia crude seepage with saturation nearing 60%. |
| #4 | 7.02 | 2.37 | |
| #5 | 6.94 | 2.30 | Sporadic pinhead-dimension gas bubbles surface locally with oil saturation plateauing at ~15%. |
| #6 | 6.97 | 2.36 | Intercalated fractures/cleaved planes show oxidized brown crude residues with oil saturation up to ~30%. |
Disclaimer/Publisher’s Note: The statements, opinions and data contained in all publications are solely those of the individual author(s) and contributor(s) and not of MDPI and/or the editor(s). MDPI and/or the editor(s) disclaim responsibility for any injury to people or property resulting from any ideas, methods, instructions or products referred to in the content. |
© 2026 by the authors. Licensee MDPI, Basel, Switzerland. This article is an open access article distributed under the terms and conditions of the Creative Commons Attribution (CC BY) license.
Share and Cite
Lu, L.; Qu, H.; Chu, Y.; Yang, M.; Wang, H.; Zhou, F.; Zhang, J. Effects of Oil Removal and Saturation on Core Integrity in Jimsar Shale Cores. Processes 2026, 14, 246. https://doi.org/10.3390/pr14020246
Lu L, Qu H, Chu Y, Yang M, Wang H, Zhou F, Zhang J. Effects of Oil Removal and Saturation on Core Integrity in Jimsar Shale Cores. Processes. 2026; 14(2):246. https://doi.org/10.3390/pr14020246
Chicago/Turabian StyleLu, Linmao, Hongyan Qu, Yanjie Chu, Mingyuan Yang, Hongzhou Wang, Fujian Zhou, and Jun Zhang. 2026. "Effects of Oil Removal and Saturation on Core Integrity in Jimsar Shale Cores" Processes 14, no. 2: 246. https://doi.org/10.3390/pr14020246
APA StyleLu, L., Qu, H., Chu, Y., Yang, M., Wang, H., Zhou, F., & Zhang, J. (2026). Effects of Oil Removal and Saturation on Core Integrity in Jimsar Shale Cores. Processes, 14(2), 246. https://doi.org/10.3390/pr14020246

