Sign in to use this feature.

Years

Between: -

Subjects

remove_circle_outline
remove_circle_outline
remove_circle_outline
remove_circle_outline
remove_circle_outline
remove_circle_outline
remove_circle_outline
remove_circle_outline
remove_circle_outline

Journals

Article Types

Countries / Regions

remove_circle_outline
remove_circle_outline
remove_circle_outline
remove_circle_outline
remove_circle_outline
remove_circle_outline

Search Results (403)

Search Parameters:
Keywords = seismic station

Order results
Result details
Results per page
Select all
Export citation of selected articles as:
16 pages, 16536 KB  
Article
Studies of Geosphere Interactions by Means of Laser Interference Complex
by Grigory Dolgikh, Sergey Budrin and Stanislav Dolgikh
Sensors 2026, 26(2), 569; https://doi.org/10.3390/s26020569 - 14 Jan 2026
Viewed by 24
Abstract
This paper describes the results of monitoring wave processes in the geospheres using laser interference instruments, a weather station, a seismometer, and other measuring devices. Processing in situ data revealed general patterns in seismic events and variations in the hydrosphere and atmospheric pressure. [...] Read more.
This paper describes the results of monitoring wave processes in the geospheres using laser interference instruments, a weather station, a seismometer, and other measuring devices. Processing in situ data revealed general patterns in seismic events and variations in the hydrosphere and atmospheric pressure. Laser strainmeters and a seismometer were used to identify natural and anthropogenic seismic activity. A laser nanobarograph and strainmeters allowed us to detect baro-deformation interactions. Processing data from supersensitive detectors of hydrosphere pressure variations, a tide gauge, and temperature sensors revealed regional features of marine wave processes. Full article
(This article belongs to the Section Environmental Sensing)
Show Figures

Figure 1

24 pages, 5664 KB  
Article
SharpCEEWPServer: A Lightweight Server for the Communication Protocol of China Earthquake Early Warning Systems
by Li Li, Jinggang Li, Wei Xiang, Zhumei Liu, Wulin Liao and Lifen Zhang
Sensors 2026, 26(1), 262; https://doi.org/10.3390/s26010262 - 1 Jan 2026
Viewed by 363
Abstract
Several commercial seismometers now support CSTP, the real-time communication protocol used in the China Earthquake Early Warning System, but there is still no simple, flexible, and low-cost solution to archive CSTP streams or integrate them into existing data processing systems. In this study, [...] Read more.
Several commercial seismometers now support CSTP, the real-time communication protocol used in the China Earthquake Early Warning System, but there is still no simple, flexible, and low-cost solution to archive CSTP streams or integrate them into existing data processing systems. In this study, we design and implement SharpCEEWPServer, a lightweight, out-of-the-box graphical server that integrates client management, real-time data reception, visualization, and archiving, and can, via RingServer, convert CSTP real-time streams into widely supported SeedLink streams. Hardware compatibility is evaluated using four commercial CSTP-capable instruments, a forwarding chain is built to assess forwarding functionality and reliability, and concurrency performance is tested using simulated networks with different station counts. The stability under network impairment scenarios and the performance of the forwarding system were also analyzed. The results show that the server can reliably receive and forward real-time data streams, and that laptop-class hardware is sufficient to withstand the load imposed by an M7.0 earthquake scenario when receiving real-time streams from 1000 three-component seismometers. However, the current version’s latency performance can only meet the needs of non-early warning networks. Overall, the proposed server significantly lowers the deployment and usage threshold for new CSTP-capable instruments and provides an efficient, low-cost integration solution for temporary networks in earthquake emergency response and seismic arrays. Full article
(This article belongs to the Special Issue Sensors and Sensing Technologies for Seismic Detection and Monitoring)
Show Figures

Figure 1

22 pages, 6063 KB  
Article
The KUYUY Accelerograph and SIPA System: Towards Low-Cost, Real-Time Intelligent Seismic Monitoring in Peru
by Carmen Ortiz, Jorge Alva, Roberto Raucana, Michael Chipana, José Oliden, Nelly Huarcaya, Grover Riveros and José Valverde
Sensors 2026, 26(1), 254; https://doi.org/10.3390/s26010254 - 31 Dec 2025
Viewed by 481
Abstract
Accelerographs are essential instruments for quantifying strong ground motion, serving as the foundation of modern earthquake engineering. In Peru, the first accelerographic station was installed in Lima in 1944; since then, various institutions have promoted the expansion of the national network. However, this [...] Read more.
Accelerographs are essential instruments for quantifying strong ground motion, serving as the foundation of modern earthquake engineering. In Peru, the first accelerographic station was installed in Lima in 1944; since then, various institutions have promoted the expansion of the national network. However, this network’s spatial coverage and instrumentation remain insufficient to properly characterize strong motion and support seismic risk reduction policies. In this context, the KUYUY accelerograph is presented as a low-cost, low-noise device equipped with real-time telemetry and high-performance MEMS sensors. Its interoperability with the Intelligent Automatic Processing System (SIPA) enables real-time monitoring and automated signal analysis for seismic microzonation studies and rapid damage assessment, contributing to seismic risk reduction in Peru. The validation process included static gravity calibration, field comparison with a reference accelerograph, and an initial deployment in Lima and Yurimaguas. The results demonstrate the proposed accelerograph’s linear response, temporal stability, and amplitude consistency with respect to high-end instruments, with differences below 5–10%. Full article
(This article belongs to the Special Issue Electronics and Sensors for Structure Health Monitoring)
Show Figures

Figure 1

31 pages, 4459 KB  
Article
A Study on the Increase in Measured Methane Concentration Values During the 2024 Noto Peninsula Earthquake
by Ryosaku Kaji
Atmosphere 2026, 17(1), 39; https://doi.org/10.3390/atmos17010039 - 27 Dec 2025
Viewed by 230
Abstract
This study aims to demonstrate the presence of a pronounced coseismic increase in atmospheric methane concentrations during the 2024 Noto Peninsula Earthquake and to examine whether this increase may have originated from underground natural gas release. By analyzing hourly CH4 data from [...] Read more.
This study aims to demonstrate the presence of a pronounced coseismic increase in atmospheric methane concentrations during the 2024 Noto Peninsula Earthquake and to examine whether this increase may have originated from underground natural gas release. By analyzing hourly CH4 data from the Ministry of the Environment’s monitoring network, this study shows that significant methane increases occurred only in areas with seismic intensity of 6– or greater, and that an exceptional anomaly—reaching 29 times the standard deviation of the past year—was recorded at the Nanao station. The validity of this anomaly was confirmed through consultation with local atmospheric officer, and high-time-resolution data (6 min values) were provided, verifying continuous instrument operation. Detailed analysis further shows that two major methane peaks occurred, each rising not immediately after the main shock but synchronously with two large aftershocks approximately 8 and 44 min later. Geological and hydrogeological information indicates the presence of water-soluble gas and unsaturated hydrocarbons beneath the Nanao region, suggesting that seismic shaking may have ruptured clay layers and released accumulated gas. Analyses of public reports and interviews with local officials show that alternative explanations—such as fire smoke, pipeline rupture, instrument malfunction, and gas-cylinder damage—were unlikely. These findings indicate that the observed methane anomaly was most likely caused by earthquake-synchronous underground gas release, suggesting that methane-release risk should be considered in post-earthquake fire-hazard assessments. Full article
Show Figures

Figure 1

12 pages, 4170 KB  
Article
Wind-Induced Seismic Noise and Stable Resonances Reveal Ice Shelf Thickness at Pine Island Glacier
by Yuqiao Chen, Peng Yan, Yuande Yang, David M. Holland and Fei Li
J. Mar. Sci. Eng. 2026, 14(1), 36; https://doi.org/10.3390/jmse14010036 - 24 Dec 2025
Viewed by 318
Abstract
Antarctic ice shelves regulate ice-sheet discharge and global sea-level rise, yet their rapid retreat underscores the need for new, low-cost monitoring tools. We analyze ambient seismic noise recorded by seismometers on the Pine Island Glacier ice shelf to characterize wind-induced signals and detect [...] Read more.
Antarctic ice shelves regulate ice-sheet discharge and global sea-level rise, yet their rapid retreat underscores the need for new, low-cost monitoring tools. We analyze ambient seismic noise recorded by seismometers on the Pine Island Glacier ice shelf to characterize wind-induced signals and detect persistent structural resonances. Power spectral analysis shows that wind sensitivity is strongly damped compared with bedrock sites: noise increases only 5–7 dB from 0 to 25 m s−1 winds, versus a 42 dB increase at an inland bedrock station, reflecting the contrasted coupling environments of floating and grounded substrates. The horizontal-to-vertical spectral ratio (HVSR) spectrograms reveal two temporally stable peaks at ~2.2 Hz and ~4.3 Hz that persist across stations and remain independent of environmental forcing. Forward modeling indicates that these peaks correspond to S-wave resonances within the ice shelf. The inferred ice-water interface depth (~440 m) agrees with the Bedmap2 thickness estimate (466 m). This work demonstrates that HVSR provides an effective passive, single-station method for measuring ice shelf thickness. Full article
(This article belongs to the Section Marine Environmental Science)
Show Figures

Figure 1

28 pages, 7292 KB  
Article
Temporary Seismic Array Installation in the Contursi Terme Hydrothermal System: A Step Toward Geothermal Assessment
by Vincenzo Serlenga, Ferdinando Napolitano, Serena Panebianco, Giovannina Mungiello, Tony Alfredo Stabile, Valeria Giampaolo, Massimo Blasone, Marianna Balasco, Angela Perrone, Gregory De Martino, Salvatore Lucente, Luigi Martino, Paolo Capuano and Ortensia Amoroso
Sensors 2026, 26(1), 16; https://doi.org/10.3390/s26010016 - 19 Dec 2025
Viewed by 419
Abstract
How can the interaction between the seismological community and society contribute to the exploitation and usage of renewable energy resources? We try to provide an answer by describing the seismic experiment realized in March–April 2025 in the hydrothermal area close to Contursi Terme [...] Read more.
How can the interaction between the seismological community and society contribute to the exploitation and usage of renewable energy resources? We try to provide an answer by describing the seismic experiment realized in March–April 2025 in the hydrothermal area close to Contursi Terme municipality (Southern Italy). We deployed a 29-station seismic array thanks to the availability of local citizens, civic administrations, schools, and accommodation facilities, which provided hosting and power for six-component seismological instruments over a one-month period. By computing the Probabilistic Power Spectral Densities (PPSD) and spectrograms, we assessed the noise level and the quality of the dataset. The seismic recordings were also used for studying the local seismic response of the area by the HVSR method and detecting small magnitude (1.4–4.2) local and regional earthquakes. We thus described some solutions to tackle the challenges of a possible geothermal exploitation project in the area: (a) to map the energy resource through a tomography on good-quality ambient-noise data; (b) to manage the seismic risk related to the resource exploitation by installing a proper local seismic network; (c) to increase the acceptance by the population through a citizen-science action for instituting a fruitful alliance between different actors of civil society. Full article
(This article belongs to the Special Issue Sensing Technologies for Geophysical Monitoring)
Show Figures

Figure 1

18 pages, 5042 KB  
Article
Are Ionospheric Disturbances Spatiotemporally Invariant Earthquake Precursors? A Multi-Decadal 100-Station Study
by Evangelos Chaniadakis, Ioannis Contopoulos and Vasilis Tritakis
Appl. Sci. 2025, 15(24), 13218; https://doi.org/10.3390/app152413218 - 17 Dec 2025
Viewed by 297
Abstract
Earthquake prediction remains one of the central unsolved problems in geophysics, and ionospheric variability offers a promising yet debated window into the earthquake preparation process through lithosphere–atmosphere–ionosphere coupling. Progress has been hindered by methodological limitations in prior studies, including the use of inappropriate [...] Read more.
Earthquake prediction remains one of the central unsolved problems in geophysics, and ionospheric variability offers a promising yet debated window into the earthquake preparation process through lithosphere–atmosphere–ionosphere coupling. Progress has been hindered by methodological limitations in prior studies, including the use of inappropriate performance metrics for highly imbalanced seismic data, the reliance on geographically and temporally narrow data, and inclusion of inherent spatial or temporal features that artificially inflate model performance while preventing the discovery of genuine ionospheric precursors. To address these challenges, we introduce a global, temporally validated machine learning framework grounded in thirty-eight years of ionospheric observations from more than a hundred ionosonde stations. We eliminate lookahead bias through strict temporal partitioning, prevent overlapping precursor windows across samples to eliminate autocorrelation artifacts and apply sophisticated feature selection to exclude spatial and temporal identifiers, enabling prevention of data leakage and coincidence effects. We investigate whether spatiotemporally invariant ionospheric precursors exist across diverse seismic regions, addressing the field’s reliance on geographically isolated case studies. Cross-regional validation shows that our models yield modest classification skill above chance levels, with our best-performing model achieving a weighted F1 score of 71% though performance exhibits pronounced sensitivity to temporal validation configuration, suggesting these results represent an upper bound on operational accuracy. While multimodal fusion with complementary precursor channels could possibly improve performance, our focus remains on establishing whether ionospheric observations alone contain learnable, region-independent seismic signatures. These findings suggest that ionospheric precursors, if they exist as universal phenomena, exhibit weaker cross-regional consistency than previously reported in case studies, raising questions about their standalone utility for earthquake prediction while indicating potential value as one component within multimodal observation systems. Full article
(This article belongs to the Special Issue Artificial Intelligence Applications in Earthquake Science)
Show Figures

Figure 1

18 pages, 4372 KB  
Article
Response Spectral Characteristics of Moderate Earthquakes in the Southern Korean Peninsula: Implications for Seismic Design of Critical Infrastructure
by Jum Kyoung Kim, Dongkeuk Park, Jiwon Choi and Heejun Kwon
Appl. Sci. 2025, 15(24), 13128; https://doi.org/10.3390/app152413128 - 13 Dec 2025
Viewed by 260
Abstract
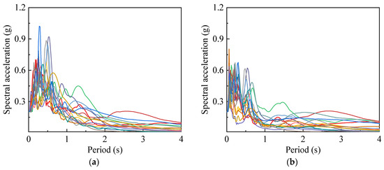
The southern Korean Peninsula faces complex seismic challenges due to the concentration of critical infrastructure and the region’s unique intraplate tectonic environment. In this study, over 300 strong-motion records from 10 moderate-magnitude earthquakes were analyzed using data from 10 representative seismic stations. Acceleration [...] Read more.
The southern Korean Peninsula faces complex seismic challenges due to the concentration of critical infrastructure and the region’s unique intraplate tectonic environment. In this study, over 300 strong-motion records from 10 moderate-magnitude earthquakes were analyzed using data from 10 representative seismic stations. Acceleration response spectra, normalized by peak ground acceleration, were generated and systematically compared with international and domestic seismic design standards, including USNRC Regulatory Guide 1.60 and KBC 2016. The observed spectra frequently exceeded existing code requirements in the mid-to-high-frequency range critical for local infrastructure, indicating potential vulnerabilities in applying generic global standards to Korean conditions. Analysis of vertical-to-horizontal spectral ratios further revealed pronounced frequency dependence and amplification effects, especially in sedimentary basin sites. These findings underscore the importance of accounting for site-specific geological and seismic characteristics in the seismic design of critical infrastructure in Korea. The results advocate for the development of regionally calibrated, risk-informed seismic design frameworks and provide essential empirical data to support safer, more resilient infrastructure amid moderate but potentially hazardous earthquake activity. Full article
Show Figures

Figure 1

19 pages, 14054 KB  
Article
Application of a Fractional Laplacian-Based Adaptive Progressive Denoising Method to Improve Ambient Noise Crosscorrelation Functions
by Kunpeng Yu, Jidong Yang, Shanshan Zhang, Jianping Huang, Weiqi Wang and Tiantao Shan
Fractal Fract. 2025, 9(12), 802; https://doi.org/10.3390/fractalfract9120802 - 7 Dec 2025
Viewed by 548
Abstract
Extracting high-quality surface wave dispersion curves from crosscorrelation functions (CCFs) of ambient noise data is critical for seismic velocity inversion and subsurface structure interpretation. However, the non-uniform spatial distribution of noise sources may introduce spurious noise into CCFs, significantly reducing the signal-to-noise ratio [...] Read more.
Extracting high-quality surface wave dispersion curves from crosscorrelation functions (CCFs) of ambient noise data is critical for seismic velocity inversion and subsurface structure interpretation. However, the non-uniform spatial distribution of noise sources may introduce spurious noise into CCFs, significantly reducing the signal-to-noise ratio (SNR) of empirical Green’s functions (EGFs) and degrading the accuracy of dispersion measurement and velocity inversion. To mitigate this issue, this study aims to develop an effective denoising approach that enhances the quality of CCFs and facilitates more reliable surface wave extraction. We propose a fractional Laplacian-based adaptive progressive denoising (FLAPD) method that leverages local gradient information and a fractional Laplacian mask to estimate noise variance and construct a fractional bilateral kernel for iterative noise removal. We applied the proposed method to the CCFs from 79 long-period seismic stations in Shandong, China. The results demonstrate that the denoising method enhanced the data quality substantially, increasing the number of reliable dispersion curves from 1094 to 2196, and allowing an increased number of temporal sampling points to be retrieved from previously low-SNR curves. This helps to expand the spatial coverage and results in a more accurate velocity inversion result than that without denoising. This study provides a robust denoising solution for ambient noise tomography in regions with complex noise source distributions. Full article
(This article belongs to the Special Issue Advances in Fractional Dynamics and Their Applications in Seismology)
Show Figures

Figure 1

27 pages, 14639 KB  
Article
Towards Understanding Earthquake Preparatory Dynamics: A Multi-Parametric Investigation of the 2025 Kamchatka Mw 8.8 Event
by Sudipta Sasmal, Kousik Nanda, Masashi Hayakawa, Maria Solovieva, Galina Kopylova and Stelios M. Potirakis
Atmosphere 2025, 16(12), 1328; https://doi.org/10.3390/atmos16121328 - 24 Nov 2025
Viewed by 887
Abstract
We present a comprehensive multi-parametric analysis of Lithosphere– Atmosphere–Ionosphere Coupling (LAIC) processes associated with the M = 8.8 earthquake that struck offshore Kamchatka, Russia, on 30 July 2025 (29 July 2015; 23:24:52 UTC). Thermal observations revealed coherent pre-seismic irregularities in near-surface air temperature, [...] Read more.
We present a comprehensive multi-parametric analysis of Lithosphere– Atmosphere–Ionosphere Coupling (LAIC) processes associated with the M = 8.8 earthquake that struck offshore Kamchatka, Russia, on 30 July 2025 (29 July 2015; 23:24:52 UTC). Thermal observations revealed coherent pre-seismic irregularities in near-surface air temperature, relative humidity, and atmospheric chemical potential (ACP), with maximum intensification occurring 1–2 days before the event, followed by rapid co-seismic dissipation and post-seismic recovery. Acoustic channel analysis revealed considerable enhancements in atmospheric gravity wave (AGW) potential energy, as computed from ERA5 reanalysis datasets, 3–5 days prior to the earthquake, with a co-seismic peak and weaker post-seismic irregularities at higher altitudes. Electromagnetic signatures manifested in both lower and upper ionospheric layers. Very-Low-Frequency (VLF) sub-ionospheric propagation from the NPM transmitter, continuously monitored at the PTK (Petropavlovsk-Kamchatsky) station in Kamchatka, Russia, exhibited both positive and negative deviations in amplitude and phase during the preparatory phase. VLF amplitude exhibited wavelike deviations consistent with AGW periods, peaking one day prior to the earthquake. Ionospheric Vertical Total electron content (VTEC) showed coherent pre-seismic maxima 2–3 days before the main shock. Together, these thermal, acoustic, and electromagnetic observations strongly suggest a consistent pre-seismic build-up, co-seismic dissipation, and post-seismic recovery, providing a robust multi-channel imprint of the Kamchatka earthquake and highlighting the importance of integrated multi-parameter approaches for understanding earthquake preparatory dynamics. Full article
(This article belongs to the Section Upper Atmosphere)
Show Figures

Figure 1

16 pages, 4007 KB  
Article
Strong-Motion Data Processing and Product Generation System for Earthquake Early Warning Network
by Yanqiong Liu, Liye Zou, Qi Zhang and Xumao Li
Appl. Syst. Innov. 2025, 8(6), 172; https://doi.org/10.3390/asi8060172 - 14 Nov 2025
Viewed by 984
Abstract
For processing timeliness, standardizing formats, and reflecting the variety of massive strong motion observation data of the National Seismic Network Center, we developed a strong motion data processing system applicable to different types of strong motion observation stations, which enables rapid data collection, [...] Read more.
For processing timeliness, standardizing formats, and reflecting the variety of massive strong motion observation data of the National Seismic Network Center, we developed a strong motion data processing system applicable to different types of strong motion observation stations, which enables rapid data collection, processing, and archiving. It provides a human–machine interaction data processing interface to preprocess the acceleration record of seismic waveforms and analyzes the acceleration event waveform data by calculating ground motion, including peak ground acceleration, peak ground velocity, peak ground displacement, instrumental intensity, duration, Fourier spectrum, response spectrum, and triple spectrum. The system exports metadata and seismic record waveforms to archive and store the data. The system enables platform unity, function integration, and data completeness, playing an effective role in data processing and management for emergency and damage assessment, and scientific research on earthquakes. Full article
(This article belongs to the Section Control and Systems Engineering)
Show Figures

Figure 1

21 pages, 5113 KB  
Article
Hysteretic Energy-Based Estimation of Ductility Demand in Single Degree of Freedom Systems
by Baykal Hancıoğlu, Murat Serdar Kirçil and Zekeriya Polat
Buildings 2025, 15(22), 4077; https://doi.org/10.3390/buildings15224077 - 13 Nov 2025
Viewed by 435
Abstract
Ductility, as a fundamental mechanical property, allows structures to undergo inelastic deformations and dissipate seismic energy while maintaining their load-carrying capacity without substantial strength degradation. Thus, the estimation of structural ductility demand has consistently constituted an essential topic of research interest in earthquake [...] Read more.
Ductility, as a fundamental mechanical property, allows structures to undergo inelastic deformations and dissipate seismic energy while maintaining their load-carrying capacity without substantial strength degradation. Thus, the estimation of structural ductility demand has consistently constituted an essential topic of research interest in earthquake engineering. In this study, an iterative procedure for estimating the ductility demand of elastoplastic single-degree-of-freedom (SDOF) systems through dissipated energy is introduced. The proposed procedure helps the determination of ductility demand by use of only elastic response spectra. It initially estimates the hysteretic energy as a proportion of the total input energy. Then, ductility demand is estimated with the help of a developed equation by performing regression analyses based on the nonlinear time history analyses results of elastoplastic single-degree-of-freedom (SDOF) systems with a certain strength. Time history analyses were carried out by using an extensive earthquake ground motion database, which includes a total of 268 far-field records, two horizontal components from 134 recording stations located on firm soil sites. Full article
(This article belongs to the Section Building Structures)
Show Figures

Figure 1

23 pages, 3138 KB  
Article
A Novel Approach for Evaluating Seismic Performance of Frame-Type Underground Structures
by Zhong-Yang Yu, Jing-Kun Zhang, Zheng-Quan Yang, Jing-Jun Li, Kai-Bin Zhu and Jian-Ming Zhao
Buildings 2025, 15(22), 4035; https://doi.org/10.3390/buildings15224035 - 9 Nov 2025
Viewed by 459
Abstract
This paper examines the seismic performance evaluation methodology for underground structures. Through analysis of seismic damage and failure characteristics of underground structures, this study proposes a novel evaluation approach for frame-type underground structures based on the sectional curvature deformation indicator of structural components. [...] Read more.
This paper examines the seismic performance evaluation methodology for underground structures. Through analysis of seismic damage and failure characteristics of underground structures, this study proposes a novel evaluation approach for frame-type underground structures based on the sectional curvature deformation indicator of structural components. The research establishes a classification system for seismic performance levels with corresponding state descriptions. A comprehensive seismic vulnerability analysis is conducted on a typical two-story-three-span station structure, generating vulnerability curves based on the proposed indicator. For comparison with traditional methods, vulnerability curves are also developed using the interstory displacement angle indicator. The comparison results indicate that relying solely on interstory displacement angle provides an insufficient assessment of the seismic performance of underground structures. The proposed methodology more effectively captures the influence of critical parameters, such as the axial compression ratio of interior columns, on overall seismic performance. This methodology demonstrates robust applicability across diverse frame-type underground structures in practical engineering scenarios, enabling precise evaluation of their seismic performance. Full article
(This article belongs to the Section Building Structures)
Show Figures

Figure 1

19 pages, 7923 KB  
Article
New Advances Towards Early Warning Systems in the Mediterranean Sea Using the Real-Time RING GNSS Research Infrastructure
by Pietro Miele, Antonio Avallone, Luigi Falco, Ciriaco D’Ambrosio, Shi Du, Maorong Ge, Roberto Devoti, Nicola Angelo Famiglietti, Carmine Grasso, Grazia Pietrantonio, Raffaele Moschillo and Annamaria Vicari
Remote Sens. 2025, 17(22), 3661; https://doi.org/10.3390/rs17223661 - 7 Nov 2025
Viewed by 707
Abstract
Nowadays, information obtained through Global Navigation Satellite Systems (GNSSs) is widely employed in modern geodesy. The Precise Point Positioning (PPP) approach, which leverages signals from multiple GNSS constellations (e.g., GPS, GLONASS, Galileo, and BeiDou), enables high-precision positioning—crucial for seismic monitoring and early tsunami [...] Read more.
Nowadays, information obtained through Global Navigation Satellite Systems (GNSSs) is widely employed in modern geodesy. The Precise Point Positioning (PPP) approach, which leverages signals from multiple GNSS constellations (e.g., GPS, GLONASS, Galileo, and BeiDou), enables high-precision positioning—crucial for seismic monitoring and early tsunami warning systems (EEWs). Recent advances, such as increased satellite availability and additional frequency bands, have significantly improved PPP performance, particularly in terms of positioning accuracy and convergence time. This study focuses on the Rete Integrata Nazionale GNSS (RING) network, managed by the Istituto Nazionale di Geofisica e Vulcanologia (INGV), which comprises dual-frequency GNSS receivers distributed across the Italian peninsula and parts of the Mediterranean Basin. We evaluate the performance of the RING data (GPS and GNSS) acquired in a period of three weeks between 19 January 2024 and 9 February 2024 and analyzed in real time by using different PPP strategies: standard PPP and PPP with Regional Augmentation (PPP-RA). The preliminary results show that the PPP-RA approach enhances positioning accuracy and reduces convergence time, especially when comparing GPS-only datasets with those incorporating full multi-GNSS configurations. For the daily solution, in the optimal setup (i.e., full GNSS with RA), real-time solutions exhibit average accuracies of 2.05, 1.73, and 4.35 cm for the North, East, and vertical components, respectively. Sub-daily accuracies’ analysis, using 300 s sliding windows, showed even better uncertainties, exhibiting median values of 0.41, 0.32, and 0.9 cm for the North, East and vertical components, respectively. Based on the outcomes for network-wide sub-daily accuracies, 84% of the stations demonstrate average errors within 2 cm for North and East components and 3 cm for the vertical one. The analysis on the convergence time after data gaps occurred during the investigation period shows that 87% of the RING stations experienced convergence times lower than five minutes in the GNSS PPP-RA solution. These findings underscore the potential of RT-GNSS RING data for enhancing seismic monitoring and early warning systems, particularly in tectonically active regions. Full article
(This article belongs to the Special Issue Advanced Multi-GNSS Positioning and Its Applications in Geoscience)
Show Figures

Figure 1

25 pages, 6418 KB  
Article
Seismic Response Analysis of Asymmetrical Rectangular Assembly Splicing Subway Station in Soft Soil
by Kai Wang, Tongwei Zhang, Xun Cheng, Xiaolin Zhu, Shudong Zhou and Tao Du
Symmetry 2025, 17(11), 1902; https://doi.org/10.3390/sym17111902 - 7 Nov 2025
Viewed by 395
Abstract
With advantages in efficiency and sustainability, assembly splicing technology promotes construction industry upgrading. However, research on the seismic response of assembly splicing subway stations (ASS) is particularly scarce. This work studies the asymmetric ASS in soft soil, establishing a refined finite element model [...] Read more.
With advantages in efficiency and sustainability, assembly splicing technology promotes construction industry upgrading. However, research on the seismic response of assembly splicing subway stations (ASS) is particularly scarce. This work studies the asymmetric ASS in soft soil, establishing a refined finite element model with soil–structure interactions. Three seismic records with different frequency characteristics are applied for nonlinear incremental dynamic analysis. Based on the seismic records that produce the most unfavorable seismic response, this research is conducted on the damage distribution characteristics and the mechanical responses. In addition, the influence of the splicing response at different locations on the interlayer displacement and internal forces of structures is systematically studied. The results indicate that when seismic records with low-frequency characteristics are inputted, the ASS structure in soft soil develops into the most unfavorable state. Under strong seismic action, the top joint of the sidewall exhibits significant horizontal sliding and opening, making key areas of weak seismic performance. It also indicates that the interface contact between precast and cast-in-place components is the primary factor that is causing internal force redistribution. This study provides a reference for performance-based seismic design of ASS in soft soil. Full article
(This article belongs to the Section Engineering and Materials)
Show Figures

Figure 1

Back to TopTop