A Novel Approach for Evaluating Seismic Performance of Frame-Type Underground Structures
Abstract
1. Introduction
2. Numerical Simulation Method
2.1. Material Constitutive Model
2.2. Model Parameters
2.3. Finite Element Model
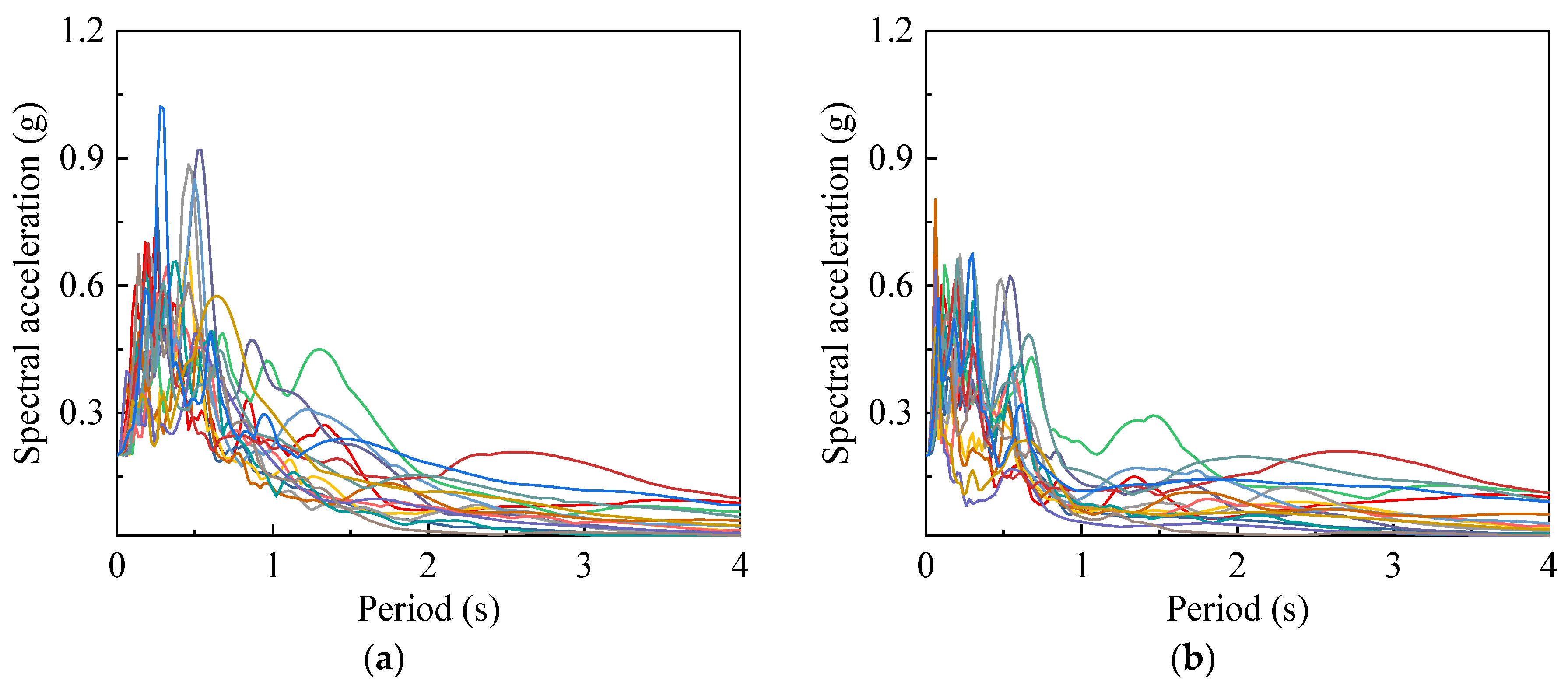
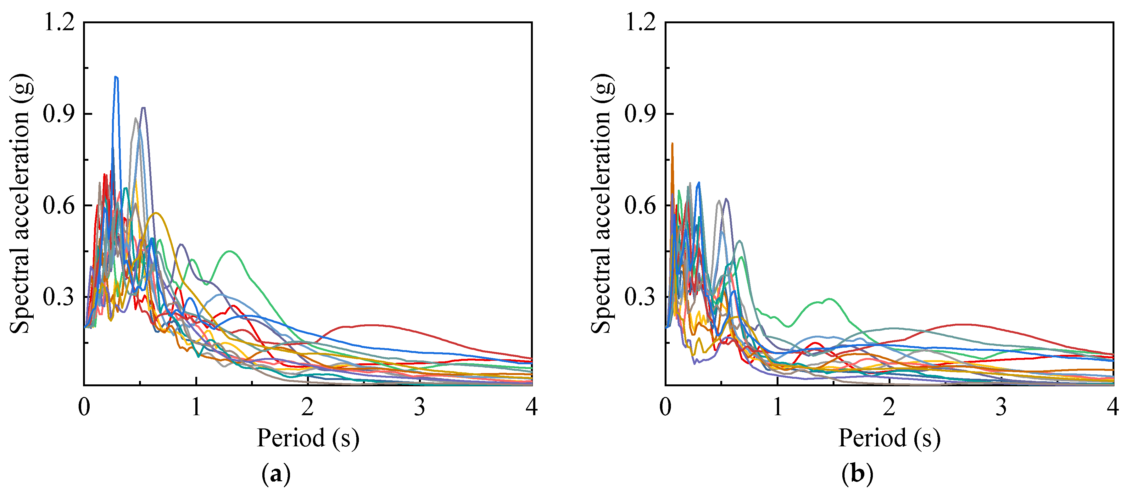
2.4. Input Ground Motion
3. Seismic Performance Indicator and Seismic Performance Levels
3.1. Seismic Performance Indicator
3.2. Classification of Seismic Performance Levels
4. Result Analysis
4.1. Analysis of the Limitations of IDA
4.2. Seismic Vulnerability Analysis
4.2.1. Applicability Assessment of the IM
4.2.2. Seismic Vulnerability Curves Based on Sectional Curvature
4.3. Comparative Analysis
4.3.1. Seismic Vulnerability Curves Based on IDA
4.3.2. Comparative Analysis of Two Method
4.3.3. Parametric Sensitivity Analysis
5. Limitations and Furthers
6. Conclusions
- For frame-type underground structures, the global seismic performance level is governed by the most severely damaged structural component. The damage degree of this critical component can be quantified through sectional curvature at its maximum damage location.
- Five distinct damage phases are established based on characteristic points (elastic, yield, peak, and ultimate) in the moment-curvature relationship of structural members: (I) Basically intact, (II) Slightly damaged, (III) Moderately damaged, (IV) severe damaged, and (V) Collapsed.
- Although the IDA remains the same, the damage degree of the interior column varies due to the influence of the ACR. Furthermore, under identical IDA conditions, a higher ACR leads to a more rapid attainment of the damage limit by the interior column.
Author Contributions
Funding
Data Availability Statement
Conflicts of Interest
References
- Zhang, J.-K.; Yu, Z.-Y.; Zhang, H.-R.; Qiu, Y.-J. Damage and failure of underground subway stations under different soil constraint conditions. PLoS ONE 2023, 18, e0284074. [Google Scholar] [CrossRef]
- Huo, H.; Bobet, A.; Fernandez, G.; Ramirez, J. Load transfer mechanisms between underground structure and surrounding ground: Evaluation of the failure of the Daikai station. J. Geotech. Geoenviron. Eng. 2005, 131, 1522–1533. [Google Scholar] [CrossRef]
- Yao, C.; He, C.; Wang, T.; Chen, C.; Geng, P.; Dong, W.; Yuan, F.; Xu, G. Damages of highway tunnels during 2022 Luding earthquake (Mw = 6.6). Soil Dyn. Earthq. Eng. 2024, 177, 108357. [Google Scholar] [CrossRef]
- Huang, S.; Xin, C.; Song, D.; Feng, W.; Liu, X.; Wang, E.; Xu, T.; Xiong, X. Resilience assessment of the seismic damage mechanism of the Daliang high-speed railway tunnel in the 2022 Menyuan earthquake (Mw 6.7) in China. Transp. Geotech. 2024, 49, 101417. [Google Scholar] [CrossRef]
- GB 50909-2014; Code for Seismic Design of Urban Rail Transit Structures. China Planning Press: Beijing, China, 2014. (In Chinese)
- GB/T 51336-2018; Standard for Seismic Design of Underground Structures. China Architecture and Building Press: Beijing, China, 2018. (In Chinese)
- ASCE 41-13; Seismic Evaluation and Upgrade of Existing Buildings. American Society of Civil Engineers: Reston, VA, USA, 2013.
- FEMA-P58-1; Seismic Performance Assessment of Buildings (Volume 1-Methodology). Federal Emergency Management Agency: Washington, DC, USA, 2018.
- FEMA-P58-2; Seismic Performance Assessment of Buildings (Volume 2-Methodology). Federal Emergency Management Agency: Washington, DC, USA, 2018.
- Lu, D.-C.; Ma, C.; Du, X.-L.; Wang, Z.-H. Earthquake resilience of urban underground structures: State of the art. Sci. Sin. Technol. 2021, 51, 1469–1483. (In Chinese) [Google Scholar] [CrossRef]
- Bao, X.; Liu, J.-B.; Wang, W.-H.; Lu, X.-H. Seismic performance indicator and seismic performance levels of rectangular underground structures. Structures 2022, 41, 117–127. [Google Scholar] [CrossRef]
- Le, T.; Huh, J.; Park, J. Earthquake fragility assessment of the underground tunnel using an efficient SSI analysis approach. J. Appl. Math. 2014, 2, 1073. [Google Scholar] [CrossRef]
- Nguyen, D.; Park, D.; Shamsher, S.; Nguyen, V.; Lee, T. Seismic vulnerability assessment of rectangular cut-and-cover subway tunnels. Tunn. Undergr. Space Technol. 2019, 86, 247. [Google Scholar] [CrossRef]
- Huang, Z.; Pitilakis, K.; Tsinidis, G.; Argyroudis, S.A.; Zhang, D.M. Seismic vulnerability of circular tunnels in soft soil deposits: The case of Shanghai metropolitan system. Tunn. Undergr. Space Technol. 2020, 98, 103341. [Google Scholar] [CrossRef]
- Argyroudis, S.; Pitilakis, K. Seismic fragility curves of shallow tunnels in alluvial deposits. Soil Dyn. Earthq. Eng. 2012, 35, 1–12. [Google Scholar] [CrossRef]
- Argyroudis, S.; Tsinidis, G.; Gatti, F.; Pitilakis, K. Effects of SSI and lining corrosion on the seismic vulnerability of shallow circular tunnels. Soil Dyn. Earthq. Eng. 2017, 98, 244. [Google Scholar] [CrossRef]
- Du, X.-L.; Jiang, J.-W.; Xu, Z.-G.; Xu, C.-S.; Liu, S.Q. Study on quantification of seismic performance index for rectangular frame subway station structure. China Civ. Eng. J. 2019, 52, 112–128. (In Chinese) [Google Scholar]
- Wang, G.-B.; Xie, W.-P.; Sun, M.; Liu, W.-G. Evaluation method for seismic behaviors of underground frame structures. Chin. J. Geotech. Eng. 2011, 33, 593–598. (In Chinese) [Google Scholar]
- GB50011-2010; Code for Seismic Design of Buildings. China Architecture and Building Press: Beijing, China, 2018. (In Chinese)
- Huang, Z.K.; Zhang, D.M. Recent advance in seismic fragility research of underground structures. J. Tongji. Univ. 2021, 49, 49–59. (In Chinese) [Google Scholar]
- Zhong, Z.-L.; Tang, J.-C.; Chen, J.-N.; Xu, C.-S.; Du, X.-L. Multi-index and thresholds for seismic performance evaluation of prefabricated subway station structure. Chin. J. Geotech. Eng. 2025, 1–9. (In Chinese). Available online: https://link.cnki.net/urlid/32.1124.TU.20250120.1135.004 (accessed on 5 November 2025).
- Zhuang, H.-Y.; Ren, J.-W.; Wang, R.; Miao, Y.; Chen, G.-X. Elasto-plastic working states and seismic performance levels of frame-type subway under-ground station with two layers and three spans. Chin. J. Geotech. Eng. 2019, 41, 131–138. (In Chinese) [Google Scholar]
- Yang, J.; Yun, L.; Zhuang, H.-Y.; Ren, J.-W.; Chen, W.-B. Seismic performance levels of frame-type subway underground station with three layers and three spans. Chin. J. Geotech. Eng. 2020, 42, 2240–2248. (In Chinese) [Google Scholar]
- Wang, J.-N.; Ma, G.-G.; Dou, Y.-M.; Zhuang, H.-Y.; Fu, J.-S. Performance levels and evaluation method for seismic behaviors of a large-scale underground subway station with unequal-span frame. J. Vib. Shock 2020, 39, 92–100. (In Chinese) [Google Scholar]
- Qiu, D.-P.; Ren, W.-J.; Chen, J.Y. The multi-dimensional fragility analysis of the underground large-scale frame structure based on the internal relationships of different seismic performance evaluating indexes. Tunn. Undergr. Space Technol. 2023, 136, 105093. [Google Scholar] [CrossRef]
- Ma, C.; Li, K.; Lu, D.; Li, X.; Liu, Z.; Du, X. Seismic fragility analysis of underground structures subjected to bi-directional ground motions based on the damage weight coefficients of components. Soil Dyn. Earthq. Eng. 2024, 178, 108437. [Google Scholar] [CrossRef]
- Huang, P.-F.; Chen, Z.-Y. Fragility Analysis for Subway Station Using Artificial Neural Network. J. Earthq. Eng. 2022, 26, 6724–6744. [Google Scholar] [CrossRef]
- Dalmasso, M.; Civera, M.; De Biagi, V.; Surace, C.; Chiaia, B. Conditional generative adversarial networks for the data generation and seismic analysis of above and underground infrastructures. Tunn. Undergr. Space Technol. 2025, 157, 106285. [Google Scholar] [CrossRef]
- Liu, Z.-C.; Deng, P.; Li, Y.-L.; Chen, R.-P. Analysis of axial force variations and seismic performance of subway station columns under earthquake loading. Soil Dyn. Earthq. Eng. 2024, 186, 108878. [Google Scholar] [CrossRef]
- Scott, B.D.; Park, R.; Priestley, M.J.N. Stress-strain behavior of concrete Confined by overlapping hoops at low and high strain rates. Aci Struct. J. 1982, 79, 13–27. [Google Scholar]
- Clough, R.W.; Johnston, S.B. Effect of stiffness degradation on earthquake ductility requirements. In Proceedings of the Second Japan National Conference on Earthquake Engineering, Tokyo, Japan, 23–28 June 1966. [Google Scholar]
- Lu, X.-Z.; Ye, L.-P.; Pan, P.; Tang, D.-Y.; Qian, J.-R. Pseudo-static collapse experiments and numerical prediction competition of RC frame structure II: Key elements experiment. Build. Struct. 2012, 42, 23–26. (In Chinese) [Google Scholar]
- Du, X.-L.; Xu, Z.-G.; Xu, C.-S.; Li, Y.; Jiang, J.-W. Time-history analysis method for soil-underground structure system based on equivalent linear method. Chin. J. Geotech. Eng. 2018, 40, 2155–2163. (In Chinese) [Google Scholar]
- Chen, G.-X.; Liu, X.-Z.; Zhu, D.-H.; Hu, Q.-X. The Experimental study on dynamic shear modulus ratio and damping ratio of recently deposited soils in the southern area of Jiangsu province in China. In Proceedings of the 1st International Conference on Geotechnical Engineering for Disaster Mitigation and Rehabilitation, Singapore, 12–13 December 2005. [Google Scholar]
- Yan, F.-Y.; Chang, J.; Liu, Z.-Y. A return mapping implicit algorithm for coupled viscoelastic and hyperbolic Drucker-Prager plastic modeling. Rock Soil Mech. 2017, 38, 1797–1804. [Google Scholar]
- Lou, M.-L.; Pan, D.-G.; Fan, L.-C. Effect of vertical artificial boundary on seismic response of soil layer. J. Tongji Univ. 2003, 31, 757–761. (In Chinese) [Google Scholar]
- Pan, D.-G.; Lou, M.-L.; Dong, C. Effect of vertical artificial boundary on seismic response of soil layer under traveling wave excitations. Chin. J. Geotech. Eng. 2005, 27, 308–312. (In Chinese) [Google Scholar]
- Wang, H.-F.; Lou, M.-L.; Zhang, R.-L. Influence of presence of adjacent surface structure on seismic response of underground structure. Soil Dyn. Earthq. Eng. 2017, 100, 131–143. [Google Scholar] [CrossRef]
- Tsinidis, G. Response characteristics of rectangular tunnels in soft soil subjected to transversal ground shaking. Tunn. Undergr. Space Technol. 2017, 62, 1–22. [Google Scholar] [CrossRef]
- Lysmer, J.; Kuhlemeyer, R.-L. Finite dynamicmodel for infinite media. J. Eng. Mech. Div. 1969, 95, 859–877. [Google Scholar] [CrossRef]
- Jiang, J.-W.; Gao, Q.-B.; Chen, G.-X.; Xu, C.-S.; Du, X.-L. Quantification of ground motion record sets scale in the ida method for vulnerability analysis of underground structures. J. Dis. Prev. Mitig. Eng. 2022, 42, 1144–1152. (In Chinese) [Google Scholar]
- Vamvatsikos, D.; Cornell, C.A. Incremental dynamic analysis. Earthq. Eng. Struct. D 2002, 31, 491–514. [Google Scholar] [CrossRef]
- FEMAP695; Quantification of Building Seismic Performance Factors. ATC for the FEMA: Washington, DC, USA, 2009.
- Parra-Montesinos, G.J.; Bobet, A.; Ramirez, J.A. Evaluation of soil-structure interaction and structural collapse in Daikai subway station during kobe earthquake. ACI Struct. J. 2006, 103, 113–122. [Google Scholar] [CrossRef]
- Kowalsky, M.J. Deformation limit states for circular reinforced concrete bridge columns. J. Struct. Eng. 2000, 126, 869–878. [Google Scholar] [CrossRef]
- Mohammad, S. Curvature ductility of reinforced concrete beams under low high strain rates. ACI Struct. J. 1995, 92, 526–634. [Google Scholar]
- Ozbolt, J.; Mestrovic, D. Compression failure of beams made of different concrete types and sizes. J. Struct. Eng. 2002, 2, 200–209. [Google Scholar] [CrossRef]
- Feng, P.; Qiang, H.-L.; Ye, L.-P. Discussion and definition on yield points of materials, members and structures. Eng. Mech. 2017, 34, 36–46. (In Chinese) [Google Scholar]
- Jiang, J.-W.; Xu, C.-S.; Du, X.-L.; Chen, G.-X.; Xu, Z.-G. Optimal index of earthquake intensity measures for seismic design of underground frame structure of shallow-buried subway station. Chin. J. Geotech. Eng. 2023, 45, 3183–3325. (In Chinese) [Google Scholar]
- Zhuang, H.-Y.; Yang, J.; Chen, S.; Dong, Z.; Chen, G. Statistical numerical method for determining seismic performance and fragility of shallow-buried underground structure. Tunn. Undergr. Space Technol. 2021, 116, 104090. [Google Scholar] [CrossRef]
- Huang, Z.K.; Pitilakis, K.; Argyroudis, S.; Tsinidis, G.; Zhang, D.M. Selection of optimal intensity measures for fragility assessment of circular tunnels in soft soil deposits. Soil Dyn. Earthq. Eng. 2021, 145, 106724. [Google Scholar] [CrossRef]
- Karim, K.R.; Yamazaki, F. Effect of earthquake ground motions on fragility curves of highway bridge piers based on numerical simulation. Earthq. Eng. Struct. Dyn. 2001, 30, 1839–1856. [Google Scholar] [CrossRef]
- Chen, J.-N.; Du, X.-L.; Xu, C.-S.; Liu, H.-T.; Jiang, J.-W.; Liu, D. Seismic vulnerability evaluation of rectangular prefabricated subway station structure based on IDA method. J. Build. Struct. 2023, 44, 37–46. (In Chinese) [Google Scholar]
- Qiu, W.-G.; Huang, G.; Zhou, H.-C.; Xu, W.-P. Seismic vulnerability analysis of rock mountain tunnel. Int. J. Geomech. 2018, 18, 04018002. [Google Scholar] [CrossRef]

















| Performance Level | Range of Performance Indicator |
|---|---|
| No damage | M/MR a ≤ 1.0 |
| Slight damage | 1.0 < M/MR ≤ 1.5 |
| Moderate damage | 1.5 < M/MR ≤ 2.5 |
| Severe damage | 2.5 < M/MR ≤ 3.5 |
| Complete damage | M/MR ≥ 3.5 |
| Type | Density/kg·m−3 | Elasticity Modulus/GPa | Poisson Ratio |
|---|---|---|---|
| C35 | 2500 | 31.5 | 0.2 |
| C50 | 2500 | 34.5 | 0.2 |
| HRB400 | 7850 | 200 | 0.3 |
| HPB300 | 7850 | 200 | 0.3 |
| Component | Ratio/% | Component | Ratio/% |
|---|---|---|---|
| Top plate | 1.2 | Sidewall | 1.4 |
| Middle plate | 1.0 | Interior column | 1.6 |
| Bottom plate | 1.1 |
| Parameter | Value | Parameter | Value |
|---|---|---|---|
| Density/kg·m−3 | 1970.0 | Dilation angle/° | 15.0 |
| Cohesion/kPa | 3.0 | Poisson ratio | 0.26 |
| Friction angle/° | 29.0 |
| Grid Sizes/m Mises | 11 | 7 | 4 | 2 | 1 |
|---|---|---|---|---|---|
| Mises stress a/Mpa | 16.83 | 17.88 | 18.62 | 18.95 | 19.01 |
| Sectional curvature b/×10−3 m−1 | 1.386 | 1.505 | 1.593 | 1.643 | 1.653 |
| IDA c/×10−3 | 1.523 | 1.662 | 1.755 | 1.804 | 1.821 |
| PGA/g | 0.1 | 0.3 | 0.5 | |||
|---|---|---|---|---|---|---|
| 2D | 3D | 2D | 3D | 2D | 3D | |
| Sectional curvature/×10−3 m−1 | 0.98 | 0.96 | 3.85 | 3.74 | 8.12 | 7.81 |
| Axial force/kN | 936.87 | 918.22 | 1030.25 | 984.95 | 1190.07 | 1119.68 |
| Bending moment/kN·m | 98.91 | 97.04 | 141.87 | 136.95 | 201.25 | 191.28 |
| Contact displacement a/×10−3 m | 0 | 0 | 0 | 0 | 6.89 | 6.59 |
| No. | Earthquake | Year | Station | Magnitude/Mw | Epicentral Distance/km |
|---|---|---|---|---|---|
| 1 | San Fernando | 1971 | LA-Hollywood Stor FF | 6.6 | 22.8 |
| 2 | Friuli | 1976 | Tolmezzo | 6.5 | 15.8 |
| 3 | Superstition Hills | 1987 | Poe Road (temp) | 6.5 | 11.2 |
| 4 | Landers | 1992 | Yermo Fire Station | 7.3 | 23.6 |
| 5 | Northridge | 1994 | Beverly Hills-14145 Mulhol | 6.7 | 17.1 |
| 6 | Kobe | 1995 | Nishi-Akashi | 6.9 | 7.1 |
| 7 | Duzce | 1999 | Bolu | 7.1 | 12 |
| 8 | Hector Mine | 1999 | Hector | 7.1 | 11.7 |
| 9 | Gazli | 1976 | Karakyr | 6.8 | 5.5 |
| 10 | Imperial Valley | 1979 | Bonds Corner | 6.5 | 2.7 |
| 11 | Nahanni | 1985 | Site 2 | 6.8 | 4.9 |
| 12 | Loma Prieta | 1989 | BRAN | 6.9 | 10.7 |
| 13 | Irpinia | 1980 | Sturno | 6.9 | 10.8 |
| 14 | Erzican | 1992 | Erzincan | 6.7 | 4.4 |
| 15 | Cape Mendocino | 1992 | Petrolia | 7.0 | 8.2 |
| 16 | Kocaeli | 1999 | Duzce | 7.5 | 131.2 |
| Performance Level | Range of Performance Indicator | Description of Performance Level |
|---|---|---|
| I Basically intact | κ ≤ P1 | The structure as a whole remains within the elastic working range and is capable of maintaining normal functionality following an earthquake. |
| II Slightly damaged | P1 < κ ≤ P2 | The majority of the structural components remain within the elastic working range and can resume normal operation with minimal repairs following an earthquake. |
| III Moderately damaged | P2 < κ ≤ P3 | The majority of the structural components transition into the elastic-plastic working state. Following an earthquake, the structure must undergo comprehensive repair and reinforcement before it can resume normal operation. |
| IV Severely damaged | P3 < κ ≤ P4 | The structure has entirely transitioned into the elastoplastic working state; however, neither local nor overall collapse has occurred. Given the relatively high difficulty and cost associated with repairs, demolition and reconstruction are being considered as viable options. |
| V Collapsed | Κ > P4 | The majority of the structural components have lost their load-bearing capacity, resulting in either local or overall collapse of the structure. Consequently, demolition and reconstruction are deemed necessary. |
| Overload/kPa | Log-Standard Deviation | p-Value (Magnitude) | p-Value (Epicentral Distance) |
|---|---|---|---|
| 0 | 0.383 | 0.802 | 0.172 |
| 120 | 0.413 | 0.781 | 0.124 |
| Overload/kPa | P1 | P2 | P3 | P4 |
|---|---|---|---|---|
| 0 | 0.48 | 1.02 | 3.48 | 9.92 |
| 120 | 0.35 | 0.84 | 2.36 | 6.17 |
| Performance Level | P1 | P2 | P3 | P4 |
|---|---|---|---|---|
| Values | 1/1223 | 1/343 | 1/161 | 1/105 |
| Method | Slight Damaged | Moderately Damaged | Severely Damaged | Collapsed |
|---|---|---|---|---|
| Sectional curvature | 5.377 | 10.492 | 7.955 | 5.599 |
| IDA | 0.091 | 0.068 | 0.171 | 0.182 |
| PGA | Parameter Variation | Sectional Curvature /×10−3 m−1 | Probability of Exceedance/% | ||||
|---|---|---|---|---|---|---|---|
| P1 | P2 | P3 | P4 | ||||
| 0.3 g | Friction μ | 0.3 | 3.645 | 79.23 | 36.96 | 10.90 | 2.42 |
| 0.4 | 3.630 | 79.20 | 36.95 | 10.89 | 2.42 | ||
| 0.5 | 3.622 | 79.18 | 36.93 | 10.88 | 2.41 | ||
| Rayleigh damping | +25% | 3.619 | 79.17 | 36.92 | 10.87 | 2.40 | |
| 0 | 3.630 | 79.20 | 36.95 | 10.89 | 2.42 | ||
| −25% | 3.642 | 79.23 | 36.96 | 10.89 | 2.43 | ||
| 0.5 g | Friction μ | 0.3 | 6.456 | 94.93 | 72.33 | 38.05 | 14.82 |
| 0.4 | 6.423 | 94.88 | 72.25 | 37.97 | 14.73 | ||
| 0.5 | 6.391 | 94.83 | 71.19 | 37.87 | 14.64 | ||
| Rayleigh damping | +25% | 6.377 | 94.80 | 71.16 | 37.82 | 14.63 | |
| 0 | 6.423 | 94.88 | 72.25 | 37.97 | 14.73 | ||
| −25% | 6.495 | 94.99 | 72.45 | 38.10 | 14.84 | ||
| 0.7 g | Friction μ | 0.3 | 9.704 | 98.67 | 86.98 | 60.88 | 32.44 |
| 0.4 | 9.651 | 98.56 | 86.86 | 60.76 | 32.33 | ||
| 0.5 | 9.602 | 98.44 | 86.73 | 60.63 | 32.22 | ||
| Rayleigh damping | +25% | 9.584 | 98.43 | 86.71 | 60.60 | 32.20 | |
| 0 | 9.651 | 98.56 | 86.86 | 60.76 | 32.33 | ||
| −25% | 9.722 | 98.71 | 87.01 | 60.94 | 32.49 | ||
Disclaimer/Publisher’s Note: The statements, opinions and data contained in all publications are solely those of the individual author(s) and contributor(s) and not of MDPI and/or the editor(s). MDPI and/or the editor(s) disclaim responsibility for any injury to people or property resulting from any ideas, methods, instructions or products referred to in the content. |
© 2025 by the authors. Licensee MDPI, Basel, Switzerland. This article is an open access article distributed under the terms and conditions of the Creative Commons Attribution (CC BY) license (https://creativecommons.org/licenses/by/4.0/).
Share and Cite
Yu, Z.-Y.; Zhang, J.-K.; Yang, Z.-Q.; Li, J.-J.; Zhu, K.-B.; Zhao, J.-M. A Novel Approach for Evaluating Seismic Performance of Frame-Type Underground Structures. Buildings 2025, 15, 4035. https://doi.org/10.3390/buildings15224035
Yu Z-Y, Zhang J-K, Yang Z-Q, Li J-J, Zhu K-B, Zhao J-M. A Novel Approach for Evaluating Seismic Performance of Frame-Type Underground Structures. Buildings. 2025; 15(22):4035. https://doi.org/10.3390/buildings15224035
Chicago/Turabian StyleYu, Zhong-Yang, Jing-Kun Zhang, Zheng-Quan Yang, Jing-Jun Li, Kai-Bin Zhu, and Jian-Ming Zhao. 2025. "A Novel Approach for Evaluating Seismic Performance of Frame-Type Underground Structures" Buildings 15, no. 22: 4035. https://doi.org/10.3390/buildings15224035
APA StyleYu, Z.-Y., Zhang, J.-K., Yang, Z.-Q., Li, J.-J., Zhu, K.-B., & Zhao, J.-M. (2025). A Novel Approach for Evaluating Seismic Performance of Frame-Type Underground Structures. Buildings, 15(22), 4035. https://doi.org/10.3390/buildings15224035

