New Advances Towards Early Warning Systems in the Mediterranean Sea Using the Real-Time RING GNSS Research Infrastructure
Highlights
- For the first time an assessment of the accuracies of the RING real-time GNSS position time series is performed, by comparing GPS and GNSS solutions and different Precise Point Positioning (PPP) strategies (standard PPP and PPP with Regional Augmentation PPP-RA)
- The most accurate (sub-centimeter level) RING real-time solutions are obtained for GNSS solutions with the PPP-RA strategy by using a 300 s sliding window for solutions.
- The real-time RING GNSS infrastructure can potentially observe co-seismic ground deformation after moderate-magnitude (M6) earthquakes.
- The proposed approach supports the development of effective tsunami and earthquake early warning systems in tectonically active regions.
Abstract
1. Introduction
2. Materials and Methods
2.1. Real-Time RING Data Acquisition
2.2. Real-Time Data Analysis
2.3. Data Accuracy Estimation
- In the first approach, for each station, RMS values for the East, North, and Up components were computed using all epochs acquired throughout the day. The RMS values were calculated considering all the epochs for which the position had been estimated (up to 86,400 at a 1 Hz sampling frequency for a 24 h session). In addition, we also distinguished the RMS calculated for the epochs in which Regional Augmentation (RA) had been applied to the positioning. These two different approaches were carried out for both GPS-only and full GNSS solutions, resulting in a single RMS value per component, per station, and per day of measurement. These RMS values will hereafter be referred to as “daily RMS”.
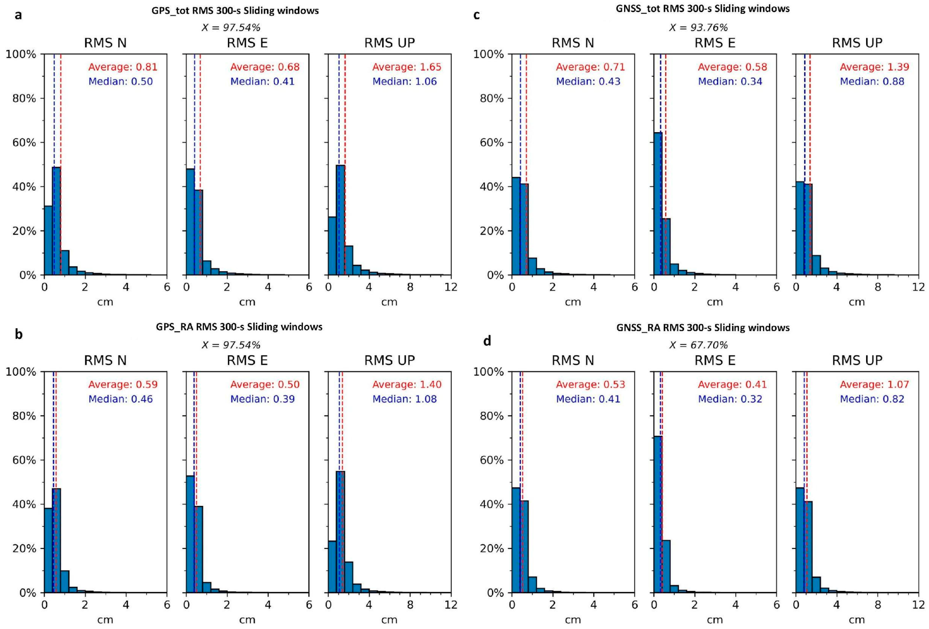
- In the second approach, RMS values were computed for each time series (i.e., each component) using sub-daily overlapping sliding windows. While this method generally yields lower RMS values due to the smaller number of samples, it is particularly useful for detecting sudden transient deformations, such as co-seismic static and dynamic displacements, over shorter time scales. Given the time duration of the co-seismic shaking (30–60 s) during most of the past moderate-magnitude earthquakes in Italy (references), we decided to use 300 s sliding windows with an overlap of 150 s for each step. The 300 s time window is considered enough to sample either the noise or co-seismic dynamic and static displacements for moderate-magnitude earthquakes (M6). The overlaps are used to increase the number of RMS estimations. These RMS values will hereafter be named “sub-daily RMS”.
3. Results
3.1. Daily RMS
3.2. Sub-Daily RMS
3.3. RING Network Overview
4. Discussion
5. Conclusions
Supplementary Materials
Author Contributions
Funding
Data Availability Statement
Acknowledgments
Conflicts of Interest
References
- Torge, W.; Müller, J.; Pail, R. Geodesy; De Gruyter: Berlin, Germany, 2023; ISBN 978-3-11-072329-8. [Google Scholar]
- Nikolaidis, R.M.; Bock, Y.; de Jonge, P.J.; Shearer, P.; Agnew, D.C.; Van Domselaar, M. Seismic Wave Observations with the Global Positioning System. J. Geophys. Res. Solid Earth 2001, 106, 21897–21916. [Google Scholar] [CrossRef]
- Larson, K.M.; Bodin, P.; Gomberg, J. Using 1-Hz GPS Data to Measure Deformations Caused by the Denali Fault Earthquake. Science 2003, 300, 1421–1424. [Google Scholar] [CrossRef]
- Bock, Y.; Melgar, D.; Crowell, B.W. Real-Time Strong-Motion Broadband Displacements from Collocated GPS and Accelerometers. Bull. Seismol. Soc. Am. 2011, 101, 2904–2925. [Google Scholar] [CrossRef]
- Melgar, D.; Melbourne, T.I.; Crowell, B.W.; Geng, J.; Szeliga, W.; Scrivner, C.; Santillan, M.; Goldberg, D.E. Real-Time High-Rate GNSS Displacements: Performance Demonstration during the 2019 Ridgecrest, California, Earthquakes. Seismol. Res. Lett. 2019, 91, 1943–1951. [Google Scholar] [CrossRef]
- Boore, D.M.; Bommer, J.J. Processing of Strong-Motion Accelerograms: Needs, Options and Consequences. Soil Dyn. Earthq. Eng. 2005, 25, 93–115. [Google Scholar] [CrossRef]
- Zumberge, J.F.; Heflin, M.B.; Jefferson, D.C.; Watkins, M.M.; Webb, F.H. Precise Point Positioning for the Efficient and Robust Analysis of GPS Data from Large Networks. J. Geophys. Res. Solid Earth 1997, 102, 5005–5017. [Google Scholar] [CrossRef]
- Crowell, B.W.; Melgar, D.; Bock, Y.; Haase, J.S.; Geng, J. Earthquake Magnitude Scaling Using Seismogeodetic Data. Geophys. Res. Lett. 2013, 40, 6089–6094. [Google Scholar] [CrossRef]
- Melgar, D.; Crowell, B.W.; Geng, J.; Allen, R.M.; Bock, Y.; Riquelme, S.; Hill, E.M.; Protti, M.; Ganas, A. Earthquake Magnitude Calculation without Saturation from the Scaling of Peak Ground Displacement. Geophys. Res. Lett. 2015, 42, 5197–5205. [Google Scholar] [CrossRef]
- O’Toole, T.B.; Valentine, A.P.; Woodhouse, J.H. Centroid–Moment Tensor Inversions Using High-Rate GPS Waveforms. Geophys. J. Int. 2012, 191, 257–270. [Google Scholar] [CrossRef][Green Version]
- Riquelme, S.; Bravo, F.; Melgar, D.; Benavente, R.; Geng, J.; Barrientos, S.; Campos, J. W Phase Source Inversion Using High-Rate Regional GPS Data for Large Earthquakes. Geophys. Res. Lett. 2016, 43, 3178–3185. [Google Scholar] [CrossRef]
- Chen, K.; Liu, Z.; Song, Y.T. Automated GNSS and Teleseismic Earthquake Inversion (AutoQuake Inversion) for Tsunami Early Warning: Retrospective and Real-Time Results. Pure Appl. Geophys. 2020, 177, 1403–1423. [Google Scholar] [CrossRef]
- Kawamoto, S.; Hiyama, Y.; Ohta, Y.; Nishimura, T. First Result from the GEONET Real-Time Analysis System (REGARD): The Case of the 2016 Kumamoto Earthquakes. Earth Planets Space 2016, 68, 190. [Google Scholar] [CrossRef]
- Crowell, B.W.; Melgar, D.; Geng, J. Hypothetical Real-Time GNSS Modeling of the 2016 Mw 7.8 Kaikōura Earthquake: Perspectives from Ground Motion and Tsunami Inundation Prediction. Bull. Seismol. Soc. Am. 2018, 108, 1736–1745. [Google Scholar] [CrossRef]
- Murray, J.R.; Bartlow, N.; Bock, Y.; Brooks, B.A.; Foster, J.; Freymueller, J.; Hammond, W.C.; Hodgkinson, K.; Johanson, I.; López--Venegas, A.; et al. Regional Global Navigation Satellite System Networks for Crustal Deformation Monitoring. Seismol. Res. Lett. 2019, 91, 552–572. [Google Scholar] [CrossRef]
- Crowell, B.W. Chapter 6—Earthquake and Tsunami Early Warning with GNSS Data. In GNSS Monitoring of the Terrestrial Environment; Aoki, Y., Kreemer, C., Eds.; Elsevier: Amsterdam, The Netherlands, 2024; pp. 111–127. ISBN 978-0-323-95507-2. [Google Scholar]
- Collins, P.; Lahaye, F.; Heroux, P.; Bisnath, S. Precise Point Positioning with Ambiguity Resolution Using the Decoupled Clock Model. In Proceedings of the 21st international technical meeting of the satellite division of the Institute of Navigation, Savannah, Georgia, 16–19 September 2008; Volume 263, pp. 1315–1322. [Google Scholar]
- Laurichesse, D.; Mercier, F.; Berthias, J.-P.; Broca, P.; Cerri, L. Integer Ambiguity Resolution on Undifferenced GPS Phase Measurements and Its Application to PPP and Satellite Precise Orbit Determination. Navigation 2009, 56, 135–149. [Google Scholar] [CrossRef]
- Cai, C.; Gao, Y. Modeling and Assessment of Combined GPS/GLONASS Precise Point Positioning. GPS Solut. 2013, 17, 223–236. [Google Scholar] [CrossRef]
- Yigit, C.O.; Gikas, V.; Alcay, S.; Ceylan, A. Performance Evaluation of Short to Long Term GPS, GLONASS and GPS/GLONASS Post-Processed PPP. Surv. Rev. 2014, 46, 155–166. [Google Scholar] [CrossRef]
- Cai, C.; Gao, Y.; Pan, L.; Zhu, J. Precise Point Positioning with Quad-Constellations: GPS, BeiDou, GLONASS and Galileo. Adv. Space Res. 2015, 56, 133–143. [Google Scholar] [CrossRef]
- Tsushima, H.; Ohta, Y. Review on Near-Field Tsunami Forecasting from Offshore Tsunami Data and Onshore GNSS Data for Tsunami Early Warning. J. Disaster Res. 2014, 9, 339–357. [Google Scholar] [CrossRef]
- Melgar, D.; Allen, R.M.; Riquelme, S.; Geng, J.; Bravo, F.; Baez, J.C.; Parra, H.; Barrientos, S.; Fang, P.; Bock, Y.; et al. Local Tsunami Warnings: Perspectives from Recent Large Events. Geophys. Res. Lett. 2016, 43, 1109–1117. [Google Scholar] [CrossRef]
- Báez, J.C.; Leyton, F.; Troncoso, C.; del Campo, F.; Bevis, M.; Vigny, C.; Moreno, M.; Simons, M.; Kendrick, E.; Parra, H.; et al. The Chilean GNSS Network: Current Status and Progress toward Early Warning Applications. Seismol. Res. Lett. 2018, 89, 1546–1554. [Google Scholar] [CrossRef]
- Jamil, H.; Mohamed, D.A.; Chang, D. The Malaysia Real-Time Kinematic GNSS Network (MyRTKnet) in 2010 and Beyond. In Proceedings of the FIG Congress 2010, Sydney, Australia, 11–16 April 2010. [Google Scholar]
- Hodgkinson, K.M.; Mencin, D.J.; Feaux, K.; Sievers, C.; Mattioli, G.S. Evaluation of Earthquake Magnitude Estimation and Event Detection Thresholds for Real-Time GNSS Networks: Examples from Recent Events Captured by the Network of the Americas. Seismol. Res. Lett. 2020, 91, 1628–1645. [Google Scholar] [CrossRef]
- Chousianitis, K.; Papanikolaou, X.; Drakatos, G.; Tselentis, G. Akis NOANET: A Continuously Operating GNSS Network for Solid--Earth Sciences in Greece. Seismol. Res. Lett. 2021, 92, 2050–2064. [Google Scholar] [CrossRef]
- Avallone, A.; Selvaggi, G.; D’Anastasio, E.; D’Agostino, N.; Pietrantonio, G.; Riguzzi, F.; Serpelloni, E.; Anzidei, M.; Casula, G.; Cecere, G.; et al. The RING Network: Improvement of a GPS Velocity Field in the Central Mediterranean. Ann. Geophys. 2010, 53, 39–54. [Google Scholar] [CrossRef]
- Devoti, R.; Pietrantonio, G.; Riguzzi, F. GNSS Networks for Geodynamics in Italy. Física Tierra 2014, 26, 11–24. [Google Scholar] [CrossRef]
- Chiarabba, C.; De Gori, P.; Chiaraluce, L.; Bordoni, P.; Cattaneo, M.; De Martin, M.; Frepoli, A.; Michelini, A.; Monachesi, A.; Moretti, M.; et al. Mainshocks and Aftershocks of the 2002 Molise Seismic Sequence, Southern Italy. J. Seismol. 2005, 9, 487–494. [Google Scholar] [CrossRef]
- Serpelloni, E.; Anderlini, L.; Belardinelli, M.E. Fault Geometry, Coseismic-Slip Distribution and Coulomb Stress Change Associated with the 2009 April 6, Mw 6.3, L′Aquila Earthquake from Inversion of GPS Displacements. Geophys. J. Int. 2012, 188, 473–489. [Google Scholar] [CrossRef]
- Cheloni, D.; De Novellis, V.; Albano, M.; Antonioli, A.; Anzidei, M.; Atzori, S.; Avallone, A.; Bignami, C.; Bonano, M.; Calcaterra, S.; et al. Geodetic Model of the 2016 Central Italy Earthquake Sequence Inferred from InSAR and GPS Data. Geophys. Res. Lett. 2017, 44, 6778–6787. [Google Scholar] [CrossRef]
- Melgar, D.; Crowell, B.W.; Bock, Y.; Haase, J.S. Rapid Modeling of the 2011 Mw 9.0 Tohoku-Oki Earthquake with Seismogeodesy. Geophys. Res. Lett. 2013, 40, 2963–2968. [Google Scholar] [CrossRef]
- Alkan, R.M.; Erol, S.; Ozulu, I.M.; Ilci, V. Accuracy Comparison of Post-Processed PPP and Real-Time Absolute Positioning Techniques. Geomat. Nat. Hazards Risk 2020, 11, 178–190. [Google Scholar] [CrossRef]
- Wabbena, G.; Schmitz, M.; Bagge, A. PPP-RTK: Precise Point Positioning Using State-Space Representation in RTK Networks. In Proceedings of the 18th international technical meeting of the satellite division of the Institute of navigation, Long Beach, CA, USA, 13–16 September 2005; Volume 259, pp. 2584–2594. [Google Scholar]
- Geng, J.; Teferle, F.N.; Meng, X.; Dodson, A.H. Towards PPP-RTK: Ambiguity Resolution in Real-Time Precise Point Positioning. Adv. Space Res. 2011, 47, 1664–1673. [Google Scholar] [CrossRef]
- Teunissen, P.J.G.; Odijk, D.; Zhang, B. PPP-RTK: Results of CORS Network-Based PPP with Integer Ambiguity Resolution. J. Aeronaut. Astronaut. Aviat. Ser. A 2010, 42, 223–230. [Google Scholar]
- Zhang, X.; Li, X.; Guo, F. Satellite Clock Estimation at 1 Hz for Realtime Kinematic PPP Applications. GPS Solut. 2011, 15, 315–324. [Google Scholar] [CrossRef]
- Li, X.; Ge, M.; Dai, X.; Ren, X.; Fritsche, M.; Wickert, J.; Schuh, H. Accuracy and Reliability of Multi-GNSS Real-Time Precise Positioning: GPS, GLONASS, BeiDou, and Galileo. J. Geod. 2015, 89, 607–635. [Google Scholar] [CrossRef]
- Amato, A.; Mele, F. Performance of the INGV National Seismic Network from 1997 to 2007. Ann. Geophys. 2008, 51, 417–431. [Google Scholar] [CrossRef]
- D’Agostino, N.; Avallone, A.; Cheloni, D.; D’Anastasio, E.; Mantenuto, S.; Selvaggi, G. Active Tectonics of the Adriatic Region from GPS and Earthquake Slip Vectors. J. Geophys. Res. Solid Earth 2008, 113, B12413. [Google Scholar] [CrossRef]
- Chiarabba, C.; De Gori, P.; Mele, F.M. Recent Seismicity of Italy: Active Tectonics of the Central Mediterranean Region and Seismicity Rate Changes after the Mw 6.3 L’Aquila Earthquake. Tectonophysics 2015, 638, 82–93. [Google Scholar] [CrossRef]
- Serpelloni, E.; Cavaliere, A.; Martelli, L.; Pintori, F.; Anderlini, L.; Borghi, A.; Randazzo, D.; Bruni, S.; Devoti, R.; Perfetti, P.; et al. Surface Velocities and Strain-Rates in the Euro-Mediterranean Region From Massive GPS Data Processing. Front. Earth Sci. 2022, 10, 907897. [Google Scholar] [CrossRef]
- Falco, L. Implementazione e Gestione di una Rete di Monitoraggio GPS e Sismica Mediante Tecnologie GPRS/EDGE/UMTS/HSDPA. 2008. Available online: https://editoria.ingv.it/archivio_pdf/rapporti/68/pdf/rapporti_69.pdf (accessed on 10 June 2025).
- Margheriti, L.; Nostro, C.; Cocina, O.; Castellano, M.; Moretti, M.; Lauciani, V.; Quintiliani, M.; Bono, A.; Mele, F.M.; Pintore, S.; et al. Seismic Surveillance and Earthquake Monitoring in Italy. Seismol. Res. Lett. 2021, 92, 1659–1671. [Google Scholar] [CrossRef]
- Devoti, R.; D’Agostino, N.; Serpelloni, E.; Pietrantonio, G.; Riguzzi, F.; Avallone, A.; Cavaliere, A.; Cheloni, D.; Cecere, G.; D’Ambrosio, C.; et al. A Combined Velocity Field of the Mediterranean Region. Ann. Geophys. 2017, 60, S0215. [Google Scholar] [CrossRef]
- Malys, S.; Jensen, P.A. Geodetic Point Positioning with GPS (Global Positioning System) Carrier Beat Phase Data from the CASA (Central and South America) Uno Experiment. Geophys. Res. Lett. 1990, 17, 5. [Google Scholar] [CrossRef]
- Li, X.; Wang, B.; Li, X.; Huang, J.; Lyu, H.; Han, X. Principle and Performance of Multi-Frequency and Multi-GNSS PPP-RTK. Satell. Navig. 2022, 3, 7. [Google Scholar] [CrossRef]
- Ge, M.; Douša, J.; Li, X.; Ramatschi, M.; Nischan, T.; Wickert, J. A Novel Real-Time Precise Positioning Service System: Global Precise Point Positioning With Regional Augmentation. J. Glob. Position. Syst. 2012, 11, 2–10. [Google Scholar] [CrossRef]
- Avallone, A.; Marzario, M.; Cirella, A.; Piatanesi, A.; Rovelli, A.; Di Alessandro, C.; D’Anastasio, E.; D’Agostino, N.; Giuliani, R.; Mattone, M. Very High Rate (10 Hz) GPS Seismology for Moderate-Magnitude Earthquakes: The Case of the Mw 6.3 L’Aquila (Central Italy) Event. J. Geophys. Res. Solid Earth 2011, 116, B02305. [Google Scholar] [CrossRef]
- Karaim, M.; Elsheikh, M.; Noureldin, A.; Karaim, M.; Elsheikh, M.; Noureldin, A. GNSS Error Sources. In Multifunctional Operation and Application of GPS; IntechOpen: London, UK, 2018; ISBN 978-1-78923-215-8. [Google Scholar]












Disclaimer/Publisher’s Note: The statements, opinions and data contained in all publications are solely those of the individual author(s) and contributor(s) and not of MDPI and/or the editor(s). MDPI and/or the editor(s) disclaim responsibility for any injury to people or property resulting from any ideas, methods, instructions or products referred to in the content. |
© 2025 by the authors. Licensee MDPI, Basel, Switzerland. This article is an open access article distributed under the terms and conditions of the Creative Commons Attribution (CC BY) license (https://creativecommons.org/licenses/by/4.0/).
Share and Cite
Miele, P.; Avallone, A.; Falco, L.; D’Ambrosio, C.; Du, S.; Ge, M.; Devoti, R.; Famiglietti, N.A.; Grasso, C.; Pietrantonio, G.; et al. New Advances Towards Early Warning Systems in the Mediterranean Sea Using the Real-Time RING GNSS Research Infrastructure. Remote Sens. 2025, 17, 3661. https://doi.org/10.3390/rs17223661
Miele P, Avallone A, Falco L, D’Ambrosio C, Du S, Ge M, Devoti R, Famiglietti NA, Grasso C, Pietrantonio G, et al. New Advances Towards Early Warning Systems in the Mediterranean Sea Using the Real-Time RING GNSS Research Infrastructure. Remote Sensing. 2025; 17(22):3661. https://doi.org/10.3390/rs17223661
Chicago/Turabian StyleMiele, Pietro, Antonio Avallone, Luigi Falco, Ciriaco D’Ambrosio, Shi Du, Maorong Ge, Roberto Devoti, Nicola Angelo Famiglietti, Carmine Grasso, Grazia Pietrantonio, and et al. 2025. "New Advances Towards Early Warning Systems in the Mediterranean Sea Using the Real-Time RING GNSS Research Infrastructure" Remote Sensing 17, no. 22: 3661. https://doi.org/10.3390/rs17223661
APA StyleMiele, P., Avallone, A., Falco, L., D’Ambrosio, C., Du, S., Ge, M., Devoti, R., Famiglietti, N. A., Grasso, C., Pietrantonio, G., Moschillo, R., & Vicari, A. (2025). New Advances Towards Early Warning Systems in the Mediterranean Sea Using the Real-Time RING GNSS Research Infrastructure. Remote Sensing, 17(22), 3661. https://doi.org/10.3390/rs17223661

