Sign in to use this feature.

Years

Between: -

Subjects

remove_circle_outline
remove_circle_outline
remove_circle_outline
remove_circle_outline
remove_circle_outline
remove_circle_outline
remove_circle_outline
remove_circle_outline
remove_circle_outline

Journals

remove_circle_outline
remove_circle_outline
remove_circle_outline
remove_circle_outline
remove_circle_outline

Article Types

Countries / Regions

remove_circle_outline
remove_circle_outline
remove_circle_outline
remove_circle_outline
remove_circle_outline

Search Results (457)

Search Parameters:
Keywords = seismic space

Order results
Result details
Results per page
Select all
Export citation of selected articles as:
17 pages, 14285 KB  
Article
Seismic Performance of Concrete Square Column Confined by Five-Spiral Composite Stirrups
by Shanshan Sun, Tao Yu, Xiangyu Gao, Zhaoqiang Zhang, Tian Su and Zhixing Hao
Coatings 2025, 15(12), 1499; https://doi.org/10.3390/coatings15121499 - 18 Dec 2025
Viewed by 117
Abstract
In order to solve the problem of inadequate confinement provided by traditional rectangular stirrups in concrete square columns under stringent seismic fortification requirements, a spiral stirrup with a better constraint effect was used in the square columns in this study. Through a comprehensive [...] Read more.
In order to solve the problem of inadequate confinement provided by traditional rectangular stirrups in concrete square columns under stringent seismic fortification requirements, a spiral stirrup with a better constraint effect was used in the square columns in this study. Through a comprehensive analysis of test results, numerical simulations, and theoretical derivations, the seismic performance and shear capacity calculation methods of concrete square columns confined with five-spiral composite stirrups were investigated. This study provides pertinent technical data to facilitate the engineering application of such columns. The existing low-cycle repeated loading tests of 13 concrete square columns confined with five-spiral composite stirrups were collected and analyzed; some of these specimens were selected for finite element numerical simulation, and the simulation results were compared with the test results. The results indicate that the hysteresis curves and skeleton curves obtained from the numerical simulation agree well with the experimental curves, which verifies the rationality of the numerical simulation model proposed in this paper; post-peak load behavior reveals a pronounced compound confinement effect attributable to the five-spiral stirrups; during mid-to-late loading stages, the tensile stress in small spiral stirrups at intersections with larger spirals escalates rapidly, resulting in maximum transverse confinement within these areas. Based on the validated numerical simulation approach, a comprehensive analysis was performed to investigate the effects of axial compression ratio, shear-span ratio, spacing of small spiral stirrups, and diameter ratio of large-to-small spiral stirrups on the seismic performance of the specimens. The results demonstrate that when the spacing of large and small spiral stirrups is kept consistent, the specimens yield optimal strength and ductility. With the diameter of the central large-spiral stirrup fixed, either an increase or a decrease in the diameter of small spiral stirrups will induce varying degrees of reduction in both strength and ductility of the specimens. Furthermore, the five-spiral reinforced columns achieve the best overall seismic performance when the diameter of the central large spiral stirrup reaches the maximum allowable value for the cross-section, and the diameter of small spiral stirrups is set to one-third that of the large spiral stirrup. Finally, the shear mechanism and influencing factors of the shear capacity of the concrete square columns confined with five-spiral composite stirrups were discussed, and a practical formula for calculating the shear capacity of such columns was proposed. Full article
(This article belongs to the Section Environmental Aspects in Colloid and Interface Science)
Show Figures

Figure 1

18 pages, 4000 KB  
Article
Broadband Seismic Metamaterials Based on Gammadion-Shaped Chiral Structures
by Yawen Shen, Boyang Zhang, Pengcheng Ma, Qiujiao Du, Hongwu Yang, Pai Peng and Fengming Liu
Crystals 2025, 15(12), 1063; https://doi.org/10.3390/cryst15121063 - 18 Dec 2025
Viewed by 129
Abstract
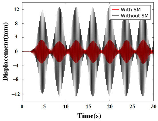
Controlling seismic wave propagation to protect critical infrastructure through metamaterials has emerged as a frontier research topic. The narrow bandgap and heavy weight of a resonant seismic metamaterial (SM) limit its application for securing buildings. In this research, we first develop a two-dimensional [...] Read more.
Controlling seismic wave propagation to protect critical infrastructure through metamaterials has emerged as a frontier research topic. The narrow bandgap and heavy weight of a resonant seismic metamaterial (SM) limit its application for securing buildings. In this research, we first develop a two-dimensional (2D) seismic metamaterial with gammadion-shaped chiral inclusions, achieving a high relative bandgap width of 77.34%. Its effective mass density is investigated to clarify the generation mechanism of the bandgap due to negative mass density between 12.53 and 28.33 Hz. Then, the gammadion-shaped pillars are introduced on a half-space to design a three-dimensional (3D) chiral SM to attenuate Rayleigh waves within a wider low-frequency range. Further, time-frequency analyses for real seismic waves and scaled experimental tests confirm the practical feasibility of the 3D SM. Compared with common resonant SMs, our chiral configurations offer a wider attenuation zone and lighter weight. Full article
(This article belongs to the Special Issue Research and Applications of Acoustic Metamaterials)
Show Figures

Figure 1

24 pages, 3218 KB  
Article
Analysis of Ionospheric TEC Anomalies Using BDS High-Orbit Satellite Data: A Regional Statistical Study and a Case Study of the 2023 Jishishan Ms6.2 Earthquake
by Xiao Gao, Hanyi Cao, Ranran Shen, Meiting Xin, Penggang Tian and Lin Pan
Remote Sens. 2025, 17(24), 4032; https://doi.org/10.3390/rs17244032 - 14 Dec 2025
Viewed by 239
Abstract
This study presents a comprehensive analysis of pre- and co-seismic ionospheric disturbances associated with the 2023 Ms6.2 Jishishan earthquake by leveraging the unique observational strengths of BDS, particularly its high-orbit satellites. A multi-parameter space weather index was employed to effectively isolate seismogenic signals [...] Read more.
This study presents a comprehensive analysis of pre- and co-seismic ionospheric disturbances associated with the 2023 Ms6.2 Jishishan earthquake by leveraging the unique observational strengths of BDS, particularly its high-orbit satellites. A multi-parameter space weather index was employed to effectively isolate seismogenic signals from geomagnetic disturbances, confirming that the main shock occurred during geomagnetically quiet conditions. Statistical analysis of 41 historical earthquakes (Mw ≥ 5.5) reveals that 47.2% were associated with detectable Total Electron Content (TEC) anomalies. An inverse correlation between earthquake magnitude and anomaly detectability within a 31-day window suggests prolonged precursor durations for larger events may produce longer-duration precursory signals, which challenge conventional detection methods. The synergistic capabilities of BDS Geostationary Earth Orbit (GEO) and Inclined Geosynchronous Orbit (IGSO) satellites were demonstrated: GEO satellites provide unprecedented temporal stability for continuous TEC monitoring, while IGSO satellites enable high-resolution spatial mapping of Co-seismic Ionospheric Disturbances (CIDs). The detected CIDs propagated at velocities below 1.6 km/s, consistent with acoustic gravity wave (AGW) mechanisms. A case study during a geomagnetically active period further reveals modulated CID propagation characteristics, indicating potential coupling between seismic forcing and space weather. Our findings validate BDS as a powerful and precise tool for ionospheric seismology and provide critical insights into Lithosphere–Atmosphere–Ionosphere Coupling (LAIC) dynamics. Full article
(This article belongs to the Section Earth Observation Data)
Show Figures

Figure 1

19 pages, 6064 KB  
Article
Distributed Acoustic Sensing of Urban Telecommunication Cables for Subsurface Tomography
by Yanzhe Zhang, Cai Liu, Jing Li and Qi Lu
Appl. Sci. 2025, 15(24), 13145; https://doi.org/10.3390/app152413145 - 14 Dec 2025
Viewed by 150
Abstract
With the continuous development of cities and the increasing utilization of underground space, ambient noise seismic imaging has become an essential approach for exploring and monitoring the urban subsurface. The integration of Distributed Acoustic Sensing (DAS) with ambient noise imaging offers a more [...] Read more.
With the continuous development of cities and the increasing utilization of underground space, ambient noise seismic imaging has become an essential approach for exploring and monitoring the urban subsurface. The integration of Distributed Acoustic Sensing (DAS) with ambient noise imaging offers a more convenient and effective solution for investigating shallow subsurface structures in urban environments. To overcome the limitations of conventional ambient noise seismic nodes, which are costly and incapable of achieving high-density data acquisition, this work makes use of existing urban telecommunication fibers to record ambient noise and perform sliding-window cross-correlation on it. Then the Phase-Weighted Stack (PWS) technique is applied to enhance the quality and stability of the cross-correlation signals, and fundamental-mode Rayleigh wave dispersion curves are extracted from the cross-correlation functions through the High-Resolution Linear Radon Transform (HRLRT). In the inversion stage, an adaptive regularization strategy based on automatic L-curve corner detection is introduced, which, in combination with the Preconditioned Steepest Descent (PSD) method, enables efficient and automated dispersion inversion, resulting in a well-resolved near-surface S-wave velocity structure. The results indicate that the proposed workflow can extract useful surface-wave dispersion information under typical urban noise conditions, achieving a feasible level of subsurface velocity imaging and providing a practical technical means for urban underground space exploration and utilization. Full article
(This article belongs to the Section Earth Sciences)
Show Figures

Figure 1

25 pages, 7733 KB  
Article
A Multi-Segment Beam Approach for Capturing Member Buckling in Seismic Stability Analysis of Space Truss Structures
by Xibing Fang, Xin Bao and Shiwei Wang
Buildings 2025, 15(24), 4447; https://doi.org/10.3390/buildings15244447 - 9 Dec 2025
Viewed by 166
Abstract
This study addresses a fundamental shortcoming in conventional dynamic stability analyses of space trusses: traditional rod elements or unsegmented beam models fail to capture member buckling under severe seismic excitation, often mischaracterizing structural failure modes, namely mistaking collapse due to instability for mere [...] Read more.
This study addresses a fundamental shortcoming in conventional dynamic stability analyses of space trusses: traditional rod elements or unsegmented beam models fail to capture member buckling under severe seismic excitation, often mischaracterizing structural failure modes, namely mistaking collapse due to instability for mere loss of loadbearing capacity. To overcome this limitation, we propose a multi-segment beam numerical method that discretizes each member into multiple segments enhanced with high order shape functions. Validation through modal analyses of simply supported beams, isolated space trusses, and space truss–frame systems reveals that while conventional unsegmented beam models accurately predict low order vibration frequencies, they entirely neglect member buckling in higher modes. Under strong earthquake loading, these models misleadingly indicate global stability accompanied by gradual degradation of load capacity. In contrast, the multi-segment beam model simultaneously resolves low order global vibrations and high order local buckling phenomena, unveiling progressive seismic instabilities triggered by member buckling. Dynamic stability analyses confirm that the multi-segment approach reliably identifies the true critical failure mode. This paper recommends that in the modal analysis and seismic stability analysis of space trusses, the space truss members should be divided into three segments with cubic shape functions selected for the analysis. This methodology thus provides precise predictions of failure mechanisms and critical seismic thresholds, enabling dependable safety evaluations for long-span spatial structures in seismic regions. Full article
(This article belongs to the Special Issue Advanced Analysis and Design for Steel Structure Stability)
Show Figures

Figure 1

19 pages, 2398 KB  
Article
Experimental Study on the Seismic Behavior of Concrete Columns with 630 MPa High-Strength Stirrups
by Mei-Ling Zhuang, Jibing Deng, Chuanzhi Sun, Li Gao, Xihan Zhong, Zijun Tang and Pingping Gu
Buildings 2025, 15(24), 4437; https://doi.org/10.3390/buildings15244437 - 8 Dec 2025
Viewed by 253
Abstract
The widespread adoption of high-strength steel reinforcement in China has driven a growing demand for 600 MPa grade and higher-strength stirrups in engineering applications. This study experimentally investigates the seismic performance of concrete columns reinforced with 630 MPa high-strength steel stirrups. Six concrete [...] Read more.
The widespread adoption of high-strength steel reinforcement in China has driven a growing demand for 600 MPa grade and higher-strength stirrups in engineering applications. This study experimentally investigates the seismic performance of concrete columns reinforced with 630 MPa high-strength steel stirrups. Six concrete columns were designed and fabricated, incorporating key variables including concrete strength, stirrup strength, and stirrup spacing ratio. Low-cycle reversed loading tests were subsequently conducted on these specimens, enabling a thorough evaluation of their seismic characteristics. Additionally, the study examines the cumulative damage effects and confining influence of 630 MPa high-strength stirrups on the core concrete. The findings reveal that concrete columns with a low ratio of 630 MPa high-strength stirrups exhibit enhanced seismic performance when the concrete strength is relatively low. However, with increasing concrete strength, the confinement efficiency of 630 MPa ultra-high-strength stirrups diminishes, leading to accelerated damage progression and reduced ductility. Both low- and high-strength concrete columns benefit from a high stirrup ratio, which provides effective confinement. Furthermore, 630 MPa high-strength stirrups help mitigate damage accumulation while enhancing yield displacement, peak displacement, ultimate displacement, ductility, and energy dissipation capacity. The use of 630 MPa high-strength stirrups not only ensures superior seismic performance but also reduces reinforcement requirements and improves construction efficiency. Full article
Show Figures

Figure 1

15 pages, 11792 KB  
Article
A Nanosatellite-Sized Detector for Sub-MeV Charged Cosmic Ray Fluxes in Low Earth Orbit: The Low-Energy Module (LEM) Onboard the NUSES Space Mission
by Riccardo Nicolaidis, Andrea Abba, Domenico Borrelli, Adriano Di Giovanni, Luigi Ferrentino, Giovanni Franchi, Francesco Nozzoli, Giancarlo Pepponi, Lorenzo Perillo, David Schledewitz and Enrico Verroi
Particles 2025, 8(4), 97; https://doi.org/10.3390/particles8040097 - 4 Dec 2025
Viewed by 192
Abstract
NUSES is a planned space mission aiming to test new observational and technological approaches related to the study of low-energy cosmic rays, gamma rays, and high-energy astrophysical neutrinos. Two scientific payloads will be hosted onboard the NUSES space mission: Terzina and Zirè. Terzina [...] Read more.
NUSES is a planned space mission aiming to test new observational and technological approaches related to the study of low-energy cosmic rays, gamma rays, and high-energy astrophysical neutrinos. Two scientific payloads will be hosted onboard the NUSES space mission: Terzina and Zirè. Terzina will be an optical telescope readout by SiPM arrays for the detection and study of Cerenkov light emitted by Extensive Air Showers (EASs) generated by high-energy cosmic rays and neutrinos in the atmosphere. Zirè will focus on the detection of protons and electrons up to a few hundred MeV and 0.1–30 MeV photons and will include the Low-Energy Module (LEM). The LEM will be a particle spectrometer devoted to the observation of fluxes of low-energy electrons in the 0.1–7-MeV range and protons in the 3–50 MeV range in low Earth orbit (LEO) followed by the hosting platform. The detection of Particle Bursts (PBs) in this physics channel of interest could provide insights into understanding complex phenomena such as possible correlations between seismic events or volcanic activity with the collective motion of particles in the plasma populating Van Allen belts. With its compact size and limited acceptance, the LEM will allow the exploration of hostile environments such as the South Atlantic Anomaly (SAA) and the inner Van Allen belt, in which the anticipated electron fluxes are on the order of 106 to 107 electrons per square centimeter per steradian per second. Concerning the vast literature on space-based particle spectrometers, the innovative aspect of the LEM resides in its compactness, within 10×10×10 cm3, and in its “active collimation” approach to dealing with the problem of multiple scattering at these low energies. In this work, the geometry of the detector, its detection concept, its operation modes, and the hardware adopted will be presented. Some preliminary results from a Monte Carlo simulation (Geant4) will be shown. Full article
Show Figures

Figure 1

20 pages, 6998 KB  
Article
Seismic Data Enhancement for Tunnel Advanced Prediction Based on TSISTA-Net
by Deshan Feng, Mengchen Yang, Xun Wang, Wenxiu Yan, Chen Chen and Xiao Tao
Appl. Sci. 2025, 15(23), 12700; https://doi.org/10.3390/app152312700 - 30 Nov 2025
Viewed by 301
Abstract
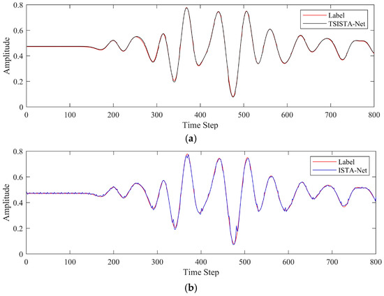
Tunnel seismic advanced prediction is a widely used technique in geotechnical engineering due to its non-destructive characteristics and deep detection capability. However, limitations in acquisition space and complex on-site conditions often result in missing traces, damaged channels, and low-resolution data, thereby hindering accurate [...] Read more.
Tunnel seismic advanced prediction is a widely used technique in geotechnical engineering due to its non-destructive characteristics and deep detection capability. However, limitations in acquisition space and complex on-site conditions often result in missing traces, damaged channels, and low-resolution data, thereby hindering accurate geological interpretation. Although deep learning models such as U-Net have shown promise in seismic data reconstruction, their emphasis on local features and fixed parameter configurations limits their capacity to capture global and long-range dependencies, thereby constraining reconstruction accuracy. To address these challenges, this study proposes a novel deep unrolling network, TSISTA-Net (Tunnel Seismic Iterative Shrinkage–Thresholding Algorithm Network), specifically designed to improve seismic data quality. Built upon the ISTA-Net architecture, TSISTA-Net incorporates three distinct innovations. First, reflection padding is utilized to minimize boundary artifacts and effectively recover edge information. Second, multi-scale dilated convolutions are employed to extend the receptive field, thereby facilitating the extraction of long-range and multi-scale features from seismic signals. Third, a lightweight and patch-based processing strategy is adopted, guaranteeing high computational efficiency while maintaining reconstruction quality. The effectiveness of the proposed method was validated on both synthetic and real tunnel seismic datasets. On synthetic data, TSISTA-Net achieved a PSNR of 37.28 dB, an SSIM of 0.9667, and an LCCC of 0.9357, outperforming U-Net (35.93 dB, 0.9480, 0.9087) and conventional ISTA-Net (34.04 dB, 0.9167, 0.8878). These results demonstrate superior signal fidelity, structural similarity, and local correlation relative to established baselines. Consistent improvements were also observed on real tunnel datasets, indicating that TSISTA-Net provides an efficient, data-driven solution for tunnel seismic data processing with strong potential for practical engineering applications. Full article
Show Figures

Figure 1

29 pages, 7214 KB  
Article
Quantitative Analysis of Phase Response Enhancement in Distributed Acoustic Sensing Systems Using Helical Fiber Winding Technology
by Yuxing Duan, Shangming Du, Tianwei Chen, Can Guo, Song Wu and Lei Liang
Sensors 2025, 25(23), 7289; https://doi.org/10.3390/s25237289 - 29 Nov 2025
Viewed by 540
Abstract
In this paper, we investigate the physical mechanics of vibration wave detection in distributed acoustic sensing (DAS) systems with the aim of enhancing the interpretation of the quantitative wavefield. We investigate the nonlinear relationship of DAS gauge length and pulse width on the [...] Read more.
In this paper, we investigate the physical mechanics of vibration wave detection in distributed acoustic sensing (DAS) systems with the aim of enhancing the interpretation of the quantitative wavefield. We investigate the nonlinear relationship of DAS gauge length and pulse width on the seismic wave response, and the result is explained by the trigonometric relationship of backscattered Rayleigh wave phases. We further demonstrate the influence of spiral winding on DAS performance and also build phase response models for P-waves and S-waves in helically wound cables. These models suggest that the winding angle controls the measurement interval spacing and the angle of wave incidence. Additionally, integration of structural reinforcement improves the amplitude response characteristics and SNR. The experimentally inspired results show, using simulations and field tests, that the same vibration sources can give helically wound cables with larger winding angles the largest phase amplitudes, which would substantially exceed that of straight cables. SNR increased significantly (approximately 10% to 30%). The efficacy of the method was also checked using experiments for different vibration amplitudes and frequencies. Such results provide evidence for the design and installation of fiber-optic cables for use in practical engineering applications involving safety monitoring. Full article
(This article belongs to the Special Issue Emerging Trends in Optical Sensing)
Show Figures

Figure 1

28 pages, 3073 KB  
Article
Factors Influencing the Seismic Collapse of Stratified Steep Cliffs Based on Analytic Hierarchy Process (AHP)
by Naman Maimaiti, Ruiming Liu, Peng Zhang and Jili Qu
Appl. Sci. 2025, 15(23), 12485; https://doi.org/10.3390/app152312485 - 25 Nov 2025
Viewed by 205
Abstract
Rockfalls from stratified unstable rock masses on cliffs present a significant geological hazard. This study investigates their seismic failure mechanisms and quantifies the influence of key controlling factors through an integrated approach of shaking table tests and UDEC numerical simulations. The introduction of [...] Read more.
Rockfalls from stratified unstable rock masses on cliffs present a significant geological hazard. This study investigates their seismic failure mechanisms and quantifies the influence of key controlling factors through an integrated approach of shaking table tests and UDEC numerical simulations. The introduction of a displacement angle precisely defined failure initiation, with tests revealing that the collapse angle exhibited a strong positive correlation with block size. Numerical simulations on seven factors showed that the collapse displacement angle ranged from 9° to 21°, primarily controlled by joint spacing. The Analytic Hierarchy Process (AHP) quantified the factor priorities, identifying the degree of rock mass fragmentation as the most influential factor with a weight of 0.278, followed by seismic amplitude (0.222) and cliff slope angle (0.167). The results provide a quantitative basis for designing early-warning systems using displacement angle thresholds and prioritize targeted mitigation strategies for the most critical factors in seismic-prone regions. Full article
(This article belongs to the Special Issue Novel Insights into Rock Mechanics and Geotechnical Engineering)
Show Figures

Figure 1

17 pages, 12181 KB  
Article
Analysis of the Influence of Traveling Wave Effect on Flat Grid with Different Three-Dimensional Sizes
by Xiaolong Zhou, Junyong Weng, Zhanxue Zhou, Weihua Chang, Jilong Jia and Zhonghao Ke
Buildings 2025, 15(23), 4252; https://doi.org/10.3390/buildings15234252 - 25 Nov 2025
Viewed by 162
Abstract
To investigate the relationship between the three-dimensional size of a structure and the impact of the traveling wave effect, models derived from an orthographic quadrangle flat grid based on a practical engineering case were established and validated. The plane size (ranging from 30 [...] Read more.
To investigate the relationship between the three-dimensional size of a structure and the impact of the traveling wave effect, models derived from an orthographic quadrangle flat grid based on a practical engineering case were established and validated. The plane size (ranging from 30 m to 90 m), height (ranging from 0 m to 9 m), and space of the supporting columns (ranging from 6 m to 12 m for peripheral columns and from 18 m to 24 m for internal columns) were changed. The time history method was used to perform a statistical analysis of the proportion and distribution of special bars and to investigate their seismic response under multiple-support excitation along the length of the structure and single excitation. The results show that an increase in the structural length and decreases in the structural span and the height and distance of the columns lead to an increase in the traveling wave effect, with special bars spreading from the supports to the peripheries and from the edge to the middle along the span. It is concluded that the traveling wave effect can be regarded as an additional dynamic load according to the excitation time differences among supporting columns along the propagation direction of the seismic wave, which spreads from supports to peripheries in a manner similar to energy radiation. The smaller the apparent wave velocity, the larger the time difference, the larger the additional dynamic load, and the larger the degree and range of the traveling wave effect. Increasing the plane and the height and space of the supporting columns to certain sizes will lead to a decrease in the traveling wave effect due to its limited range. Full article
(This article belongs to the Section Building Structures)
Show Figures

Figure 1

22 pages, 2839 KB  
Article
Research on Seismic Capacity Values of Bridge Pile Group Foundations Based on a Data-Driven Approach
by Zhenfeng Han, Jun Liu, Yabin Wang and Qiangqiang Li
Buildings 2025, 15(23), 4223; https://doi.org/10.3390/buildings15234223 - 22 Nov 2025
Viewed by 197
Abstract
Rapid assessment of seismic capacity for bridge pile group foundations under seismic loads is critical. This study employs the second-order central difference method to explore seismic capacity sensitivity and identify critical parameters. Subsequently, 1000 Latin hypercube samples were taken for these parameters, and [...] Read more.
Rapid assessment of seismic capacity for bridge pile group foundations under seismic loads is critical. This study employs the second-order central difference method to explore seismic capacity sensitivity and identify critical parameters. Subsequently, 1000 Latin hypercube samples were taken for these parameters, and 1000 analytical models were built. The overall displacement ductility is selected as the capacity indicator, and seismic capacity analysis is conducted on the models to obtain a capacity indicator. A BP model was constructed with the critical parameters as inputs and a capacity indicator as outputs to predict capacity values. Then, a regression function between capacity indicators and critical parameters is fitted to establish a capacity value assessment (CVA) model. Finally, capacity indicators are predicted using both the CVA model and the BP model, and the prediction results are compared. Results indicate that the critical parameters are tensile strength of reinforcing steel, cohesion of soil, cross-sectional area of pile, pile spacing, and longitudinal reinforcement ratio. The BP model can effectively predict the capacity indicators. The computational results of the CAV model show good agreement with the predictions from the BP model, demonstrating the reliability of the assessment model. This study provides a novel approach for disaster prediction of bridge pile group foundations. Full article
(This article belongs to the Section Building Structures)
Show Figures

Figure 1

22 pages, 6931 KB  
Article
Experimental Study and Machine Learning Prediction of Shear Capacity of Panel-Sheathing Nailed Connections in Wood Structures
by Weide Song, Zhaohui Wang, Kai Jia, Hongbo Zhao, Xiaoxia Wang and Yunxuan Wang
Buildings 2025, 15(22), 4158; https://doi.org/10.3390/buildings15224158 - 18 Nov 2025
Viewed by 334
Abstract
Machine learning methods have demonstrated significant advantages in predicting the shear mechanical performance of concrete connectors. However, the application to nailed connections in wood structures remains limited. Accurate prediction of the shear capacity of nailed connections is essential for assessing the seismic performance [...] Read more.
Machine learning methods have demonstrated significant advantages in predicting the shear mechanical performance of concrete connectors. However, the application to nailed connections in wood structures remains limited. Accurate prediction of the shear capacity of nailed connections is essential for assessing the seismic performance and safety of wood structures. In this study, a series of push-out tests were conducted on panel-sheathing nailed connections, and the obtained load–displacement curves were analyzed to characterize their mechanical behavior. Six ML models were trained and tested using a dataset comprising 101 push-out tests. Eight key features, including both mechanical properties (E, G, fes, fem) and geometric parameters (d, l, s, D), were selected as input parameters, and three characteristic values including ultimate load, initial shear stiffness, and ultimate displacement were chosen as output parameters. The results indicated that the support vector regression (SVR) model exhibited the best performance in predicting the three output parameters of nailed connections, with corresponding R2 values reaching of 0.9950, 0.9976, and 0.9994, respectively. The study employed the Shapley additive explanations (SHAP) method to investigate the importance of features. The findings revealed that the elastic modulus of the side plate significantly influenced ultimate load and initial shear stiffness. Additionally, the initial shear stiffness was primarily affected by the nail spacing, whereas the shear modulus and pin-bearing strength substantially affected ultimate displacement. The prediction results of the machine learning model were compared with existing empirical, confirming that the machine learning model achieved high accuracy and strong applicability in predicting the shear bearing capacity of nailed connections in wood structures. Full article
(This article belongs to the Special Issue Research on Timber and Timber–Concrete Buildings)
Show Figures

Figure 1

20 pages, 42897 KB  
Article
STA-Fault3D: A Lightweight 3D Seismic Fault Detection Network Based on Spatial–Temporal Asymmetric Convolution Set
by Longjiang Zou, Junxiong Jia, Yueming Ye and Bangyu Wu
Appl. Sci. 2025, 15(22), 12153; https://doi.org/10.3390/app152212153 - 16 Nov 2025
Viewed by 411
Abstract
Fault identification is vital for geological structure analysis and the optimization of oil–gas extraction. Deep neural networks, especially U-Net and its variants, are widely used for seismic fault interpretation. However, when applied to 3D seismic data volume, these models typically require substantial computation [...] Read more.
Fault identification is vital for geological structure analysis and the optimization of oil–gas extraction. Deep neural networks, especially U-Net and its variants, are widely used for seismic fault interpretation. However, when applied to 3D seismic data volume, these models typically require substantial computation resources and memory consumption. For one reason, they do not take into consideration the obvious differences in characteristics of seismic data in space and time dimensions; therefore, they require a huge number of parameters to capture inherent information for seismic fault detection. This paper presents a lightweight 3D seismic fault interpretation network based on a spatial–temporal asymmetric convolution set (STA-Fault3D) to mitigate the aforementioned issue. STA-Fault3D uses the spatial–temporal asymmetric convolution set to construct a lightweight network and take into consideration seismic data dimension discrepancies. Multi-scale feature fusion operation and an enhanced-training workflow are adopted to improve the performance of the network on field data. Compared with the classic model, FaultSeg3D, it demonstrates improved performance on fault detection continuity with only 12.33% of the parameters and 18.57% of the computational quantity. Compared with the state-of-the-art (SOTA) lightweight network, Fault3DNnet, it reduces parameters by 10% and computational quantity by 4.2% for marginally improved detection results. Full article
Show Figures

Figure 1

19 pages, 11860 KB  
Article
Indoor Object Measurement Through a Redundancy and Comparison Method
by Pedro Faria, Tomás Simões, Tiago Marques and Peter D. Finn
Sensors 2025, 25(21), 6744; https://doi.org/10.3390/s25216744 - 4 Nov 2025
Viewed by 587
Abstract
Accurate object detection and measurement within indoor environments—particularly unfurnished or minimalistic spaces—pose unique challenges for conventional computer vision methods. Previous research has been limited to small objects that can be fully detected by applications such as YOLO, or to outdoor environments where reference [...] Read more.
Accurate object detection and measurement within indoor environments—particularly unfurnished or minimalistic spaces—pose unique challenges for conventional computer vision methods. Previous research has been limited to small objects that can be fully detected by applications such as YOLO, or to outdoor environments where reference elements are more abundant. However, in indoor scenarios with limited detectable references—such as walls that exceed the camera’s field of view—current models exhibit difficulties in producing complete detections and accurate distance estimates. This paper introduces a geometry-driven, redundancy-based framework that leverages proportional laws and architectural heuristics to enhance the measurement accuracy of walls and spatial divisions using standard smartphone cameras. The model was trained on 204 labeled indoor images over 25 training iterations (500 epochs) with augmentation, achieving a mean average precision (mAP@50) of 0.995, precision of 0.995, and recall of 0.992, confirming convergence and generalisation. Applying the redundancy correction method reduced distance deviation errors to approximately 10%, corresponding to a mean absolute error below 2% in the use case. Unlike depth-sensing systems, the proposed solution requires no specialised hardware and operates fully on 2D visual input, allowing on-device and offline use. The framework provides a scalable, low-cost alternative for accurate spatial measurement and demonstrates the feasibility of camera-based geometry correction in real-world indoor settings. Future developments may integrate the proposed redundancy correction with emerging multimodal models such as SpatialLM to extend precision toward full-room spatial reasoning in applications including construction, real estate evaluation, energy auditing, and seismic assessment. Full article
Show Figures

Figure 1

Back to TopTop