Sign in to use this feature.

Years

Between: -

Subjects

remove_circle_outline
remove_circle_outline
remove_circle_outline
remove_circle_outline
remove_circle_outline
remove_circle_outline
remove_circle_outline
remove_circle_outline

Journals

Article Types

Countries / Regions

Search Results (39)

Search Parameters:
Keywords = sea level index point

Order results
Result details
Results per page
Select all
Export citation of selected articles as:
6 pages, 2001 KB  
Proceeding Paper
On the Architecture of a Low-Cost Meteorological Station Based on the Internet of Things (IoT): Preliminary Results
by Diego Abraham Jasso-Reyes, Carlos Iván Cabrera-Perdomo and Raúl Alberto Reyes-Villagrana
Environ. Earth Sci. Proc. 2025, 34(1), 14; https://doi.org/10.3390/eesp2025034014 - 15 Oct 2025
Viewed by 300
Abstract
This study presents the development, construction, and implementation of a portable meteorological station. An ESP8266 microcontroller was used as the control system. Temperature, humidity, and atmospheric pressure were measured. The UV index, thermal sensation, dew point, altitude above sea level, and air density [...] Read more.
This study presents the development, construction, and implementation of a portable meteorological station. An ESP8266 microcontroller was used as the control system. Temperature, humidity, and atmospheric pressure were measured. The UV index, thermal sensation, dew point, altitude above sea level, and air density were measured indirectly. An interface was created to retrieve the data in real time via the internet. The information can also be stored on a micro-SD memory device. The first results were collected over a period of 29 days. The data is sampled every 10 s. The data was compared with that of a commercial meteorological station and yielded similar results. The design of the meteorological station will be further improved by adding new measurement variables and installing a few portable stations in different regions of the state. Full article
Show Figures

Figure 1

22 pages, 1786 KB  
Article
University Students’ Perceptions on Climate Change Awareness and Sustainable Environments Through an Unsupervised Clustering Approach
by Deniz Karaelmas, Mükerrem Bahar Başkır, Kübra Tekdamar, Canan Cengiz and Bülent Cengiz
Sustainability 2025, 17(20), 9057; https://doi.org/10.3390/su17209057 - 13 Oct 2025
Viewed by 768
Abstract
The main objective of this study is to determine the knowledge and awareness levels of climate change among preparatory class students at Zonguldak Bülent Ecevit University in the Western Black Sea Region of Türkiye using an unsupervised clustering approach. Within this scope, a [...] Read more.
The main objective of this study is to determine the knowledge and awareness levels of climate change among preparatory class students at Zonguldak Bülent Ecevit University in the Western Black Sea Region of Türkiye using an unsupervised clustering approach. Within this scope, a survey was administered to university students (n = 280). Participant scores for the survey sections containing five-point Likert-type questions on climate change awareness were calculated using min–max normalization. The normalized data was then processed using the k-means algorithm, a well-known technique in unsupervised machine learning. This resulted in a classification (clustering) related to climate change awareness. The number of clusters was determined using the Silhouette index. Three clusters identified using k-means and Silhouette index (S0.55) revealed the knowledge and application levels of student groups regarding climate change awareness. As a result of clustering, it was determined that Cluster-3 students (n = 134, 47.9%), defined as having a high level of knowledge and application, had a higher impact value in their overall assessments of green space-focused issues related to climate change awareness compared to the overall assessments of students in other clusters. Some notable findings concerning the attitudes of Cluster-3 students highlight climate change awareness-related practices. These include minimizing water consumption to levels necessary for ecosystem water management (mean = 95.7, std. deviation = 10.9) and exercising controlled, sustainable daily energy use to alleviate pressure on green spaces (mean = 94.4, std. deviation = 12.5). This study offers practical insights for policymakers, educators, and institutions, emphasizing the need to enhance climate education and to promote the active involvement of younger generations in shaping sustainable environments. Full article
Show Figures

Figure 1

17 pages, 3525 KB  
Article
Lateral Responses of Coastal Intertidal Meta-Ecosystems to Sea-Level Rise: Lessons from the Yangtze Estuary
by Yu Gao, Bing-Jiang Zhou, Bin Zhao, Jiquan Chen, Neil Saintilan, Peter I. Macreadie, Anirban Akhand, Feng Zhao, Ting-Ting Zhang, Sheng-Long Yang, Si-Kai Wang, Jun-Lin Ren and Ping Zhuang
Remote Sens. 2025, 17(17), 3109; https://doi.org/10.3390/rs17173109 - 6 Sep 2025
Viewed by 1172
Abstract
Understanding the spatiotemporal dynamics of coastal intertidal meta-ecosystems in response to sea-level rise (SLR) is essential for understanding the interactions between terrestrial and aquatic meta-ecosystems. However, given that annual SLR changes are typically measured in millimeters, ecosystems may take decades to exhibit noticeable [...] Read more.
Understanding the spatiotemporal dynamics of coastal intertidal meta-ecosystems in response to sea-level rise (SLR) is essential for understanding the interactions between terrestrial and aquatic meta-ecosystems. However, given that annual SLR changes are typically measured in millimeters, ecosystems may take decades to exhibit noticeable shifts. As a result, the extent of lateral responses at a single point is constrained by the fragmented temporal and spatial scales. We integrated the tidal inundation gradient of a coastal meta-ecosystem—comprising a high-elevation flat (H), low-elevation flat (L), and mudflat—to quantify the potential application of inferring the spatiotemporal impact of environmental features, using China’s Yangtze Estuary, which is one of the largest and most dynamic estuaries in the world. We employed both flood ratio data and tidal elevation modeling, underscoring the utility of spatial modeling of the role of SLR. Our results show that along the tidal inundation gradient, SLR alters hydrological dynamics, leading to environmental changes such as reduced aboveground biomass, increased plant diversity, decreased total soil, carbon, and nitrogen, and a lower leaf area index (LAI). Furthermore, composite indices combining the enhanced vegetation index (EVI) and the land surface water index (LSWI) were used to characterize the rapid responses of vegetation and soil between sites to predict future ecosystem shifts in environmental properties over time due to SLR. To effectively capture both vegetation characteristics and the soil surface water content, we propose the use of the ratio and difference between the EVI and LSWI as a composite indicator (ELR), which effectively reflects vegetation responses to SLR, with high-elevation sites driven by tides and high ELRs. The EVI-LSWI difference (ELD) was also found to be effective for detecting flood dynamics and vegetation along the tidal inundation gradient. Our findings offer a heuristic scenario of the response of coastal intertidal meta-ecosystems in the Yangtze Estuary to SLR and provide valuable insights for conservation strategies in the context of climate change. Full article
(This article belongs to the Special Issue Remote Sensing of Coastal, Wetland, and Intertidal Zones)
Show Figures

Figure 1

23 pages, 4946 KB  
Article
Combustion and Emission Analysis of NH3-Diesel Dual-Fuel Engines Using Multi-Objective Response Surface Optimization
by Omar I. Awad, Mohammed Kamil, Ahmed Burhan, Kumaran Kadirgama, Zhenbin Chen, Omar Khalaf Mohammed and Ahmed Alobaid
Atmosphere 2025, 16(9), 1032; https://doi.org/10.3390/atmos16091032 - 30 Aug 2025
Viewed by 915
Abstract
As internal combustion engines (ICEs) remain dominant in maritime transport, reducing their greenhouse gas (GHG) emissions is critical to meeting IMO’s decarbonization targets. Ammonia (NH3) has gained attention as a carbon-free fuel due to its zero CO2 emissions and high [...] Read more.
As internal combustion engines (ICEs) remain dominant in maritime transport, reducing their greenhouse gas (GHG) emissions is critical to meeting IMO’s decarbonization targets. Ammonia (NH3) has gained attention as a carbon-free fuel due to its zero CO2 emissions and high hydrogen density. However, its low flame speed and high ignition temperature pose combustion challenges. This study investigates the combustion and emission performance of NH3-diesel dual-fuel engines, applying Response Surface Methodology (RSM) for multi-objective optimization of key operating parameters: ammonia fraction (AF: 0–30%), engine speed (1200–1600 rpm), and altitude (0–2000 m). Experimental results reveal that increasing AF led to a reduction in Brake Thermal Efficiency (BTE) from 39.2% to 37.4%, while significantly decreasing NOx emissions by 82%, Total hydrocarbon emissions (THC) by 61%, and CO2 emissions by 36%. However, the ignition delay increased from 8.2 to 10.8 crank angle degrees (CAD) and unburned NH3 exceeded 6500 ppm, indicating higher incomplete combustion risks at high AF. Analysis of variance (ANOVA) confirmed AF as the most influential factor, contributing up to 82.3% of the variability in unburned NH3 and 53.6% in NOx. The optimal operating point, identified via desirability analysis, was 20% AF at 1200 rpm and sea level altitude, achieving a BTE of 37.4%, NOx of 457 ppm, and unburned NH3 of 6386 ppm with a desirability index of 0.614. These findings suggest that controlled NH3 addition, combined with proper speed tuning, can significantly reduce emissions while maintaining engine efficiency in dual-fuel configurations. Full article
Show Figures

Figure 1

17 pages, 4065 KB  
Article
Relative Sea Level Changes in the Bay of Maladroxia, Southwestern Sardinia, and Their Implications for the Pre- and Protohistoric Cultures
by Steffen Schneider, Marlen Schlöffel, Anna Pint and Constance von Rüden
Geosciences 2025, 15(8), 287; https://doi.org/10.3390/geosciences15080287 - 1 Aug 2025
Viewed by 779
Abstract
A multidisciplinary study was conducted to reconstruct the paleoenvironmental evolution of Maladroxia Bay, one of the principal bays of the islet of Sant’Antioco in southwestern Sardinia, over the past eight millennia. As part of an archaeological landscape project, this study explores the paleogeography [...] Read more.
A multidisciplinary study was conducted to reconstruct the paleoenvironmental evolution of Maladroxia Bay, one of the principal bays of the islet of Sant’Antioco in southwestern Sardinia, over the past eight millennia. As part of an archaeological landscape project, this study explores the paleogeography and environment of the bay from a diachronic perspective to gain insights into the Holocene relative sea level history, shoreline displacements, and the environmental conditions during different phases. This study is based on an analysis of four sediment cores in conjunction with a chronological model that is based on radiocarbon dates. Four relative sea level indicators were produced. These are the first such indicators from the early and middle Holocene for the island of Sant’Antioco. The results indicate that in the early Holocene, the area was a terrestrial, fluvial environment without marine influence. In the 6th millennium BCE, the rising sea level and marine transgression resulted in the formation of a shallow inner lagoon. It reached its maximum extent in the middle of the 5th millennium BCE. Afterwards, a gradual transition from lagoon to floodplain, and a seaward shift of the shoreline occurred. The lagoon potentially served as a valuable source of food and resources during the middle Holocene. During the Nuragic period (2nd to 1st millennium BCE), the Bay of Maladroxia was very similar to how it is today. Its location was ideal for use as an anchorage, due to the calm and sheltered conditions that prevailed. Full article
(This article belongs to the Section Sedimentology, Stratigraphy and Palaeontology)
Show Figures

Figure 1

15 pages, 1888 KB  
Article
Navigating Coastal Vulnerability: Introducing the Coastal Fuzzy Vulnerability Index (CFVI)
by Zekâi Şen
J. Mar. Sci. Eng. 2025, 13(5), 978; https://doi.org/10.3390/jmse13050978 - 19 May 2025
Cited by 1 | Viewed by 970
Abstract
Vulnerability impacts have increased in an unprecedented way with the effects of global warming, climate change, erosion, sea level rise, tsunami, flood, and drought—natural events that jointly cause geomorphological changes, especially in coastal zones. There are no analytical mathematical formulations under a set [...] Read more.
Vulnerability impacts have increased in an unprecedented way with the effects of global warming, climate change, erosion, sea level rise, tsunami, flood, and drought—natural events that jointly cause geomorphological changes, especially in coastal zones. There are no analytical mathematical formulations under a set of assumptions due to the complexity of the interactive associations of these natural events, and the only way that seems open in the literature is through empirical formulations that depend on expert experiences. Among such empirical formulations are the Coastal Vulnerability Index (CVI), the Environmental Vulnerability Index (EVI), the Socioeconomic Vulnerability Index (SVI), and the Integrated Coastal Vulnerability Index (ICVI), which is composed of the previous indices. Although there is basic experience and experimental information for the establishment of these indices, unfortunately, logical aspects are missing. This paper proposes a Coastal Fuzzy Vulnerability Index (CFVI) based on fuzzy logic, aiming to improve the limitations of the traditional Coastal Vulnerability Index (CVI). Traditional CVI relies on binary logic and calculates vulnerability through discrete classification (such as “low”, “medium”, and “high”) and arithmetic or geometric means. It has problems such as mutation risk division, ignoring data continuity, and unreasonable parameter weights. To this end, the author introduced fuzzy logic, quantified the nonlinear effects of various parameters (such as landforms, coastal slope, sea level changes, etc.) through fuzzy sets and membership degrees, and calculated CFVI using a weighted average method. The study showed that CFVI allows continuous transition risk assessment by fuzzifying the parameter data range, avoiding the “mutation” defect of traditional methods. Taking data from the Gulf of Mexico in the United States as an example, the calculation result range of CFVI (0.38–3.04) is significantly smaller than that of traditional CVI (0.42–51), which is closer to the rationality of actual vulnerability changes. The paper also criticized the defects of traditional CVI, being that it relies on subjective experience and lacks a logical basis, and pointed out that CFVI can be expanded to integrate more variables or combined with other indices (such as the Environmental Vulnerability Index (EVI)) to provide a more scientific basis for coastal management decisions. This study optimized the coastal vulnerability assessment method through fuzzy logic, improved the ability to handle nonlinear relationships between parameters, and provided a new tool for complex and dynamic coastal risk management. Further research possibilities are also mentioned throughout the text and in the Conclusion section. Full article
(This article belongs to the Section Coastal Engineering)
Show Figures

Graphical abstract

27 pages, 1615 KB  
Article
Sustainability Index of Tidal River Management: A Framework for Measuring Water Sustainability in Coastal Areas
by Md. Mahedi Al Masud, Rando Värnik, Thomas Dogot and Hossein Azadi
Water 2025, 17(5), 648; https://doi.org/10.3390/w17050648 - 23 Feb 2025
Viewed by 1559
Abstract
The Tidal River Management (TRM) approach plays a significant role in enhancing diversified services of the ecosystem in the ecosystem of rivers affected by tides and their floodplains and reducing coastal hazards in southwest Bangladesh. The main aim of this investigation was to [...] Read more.
The Tidal River Management (TRM) approach plays a significant role in enhancing diversified services of the ecosystem in the ecosystem of rivers affected by tides and their floodplains and reducing coastal hazards in southwest Bangladesh. The main aim of this investigation was to complete the development of the Sustainability Index for Tidal River Management (SITRM) and to assess the sustainability of TRM in coastal regions. In the first stage, the key components along with indicators of the Sustainability Index of TRM were identified to address problems of the coast. In the second stage of this study, a five-point Likert scale was applied to gather responses from key informants. In addition, it includes direct field observations and consultation meetings to collect information concerning the SITRM indicators. The results showed that the framework of SITRM included several important indicators to solve coastal problems, including drainage congestion, waterlogging, rising sea levels, new land formation, compensation, alternative livelihoods, and terrestrial biodiversity as indicators. It also established standard tidal flow thresholds for the Hari–Teka River at 600 m3/s (maximum) and 250 m3/s (minimum) for high tide and 550 m3/s (maximum) and 200 m3/s (minimum) for low tide. Moreover, the results showed that the Canadian Water Sustainability Index (CWSI), West Java Water Sustainability Index (WJWSI), and Water Poverty Index (WPI) are suitable for overcoming coastal problems and climate change issues. Full article
Show Figures

Figure 1

15 pages, 3232 KB  
Article
Analysis on Bacterial Community of Noctiluca scintillans Algal Blooms Near Pingtan Island, China
by Yunguang Liu, Yutong Zhang, Haiyan Yao, Zewen Zheng, Wenbo Zhao and Gang Lin
Biology 2025, 14(1), 101; https://doi.org/10.3390/biology14010101 - 20 Jan 2025
Cited by 4 | Viewed by 1672
Abstract
Noctiluca scintillans, known as a global red tide species, is a common red tide species found in Pingtan Island. To examine the bacterial community structure in different environments during the red tide period of N. scintillans on Pingtan Island, samples were collected [...] Read more.
Noctiluca scintillans, known as a global red tide species, is a common red tide species found in Pingtan Island. To examine the bacterial community structure in different environments during the red tide period of N. scintillans on Pingtan Island, samples were collected from the Algal Bloom Area (ABA), Transition Area (TA), and Non-Algal Bloom Area (NBA) on 6 April 2022, and the environmental physicochemical factors and bacterial community were determined. The outbreak of N. scintillans red tide significantly impacted the water quality and bacterial community structure in the affected sea area. The water quality in the ABA has deteriorated markedly, with the contents of COD, NH4+-N, and PO43− in the ABA being significantly higher than those in the TA and NBA, while the pH is significantly lower than that in the TA and NBA. The richness, diversity, and evenness of the bacterial community in the ABA are all lower than those of the TA and NBA. For instance, the Shannon index values of the three sampling points are 4.41, 5.41, and 6.37, respectively. At the phylum level, the dominant bacterial phyla in the ABA are Proteobacteria, Firmicutes, and Cyanobacteria; in the TA, they are Proteobacteria, Bacteroidetes, and Firmicutes; and in the NBA, they are Proteobacteria, Bacteroidetes, and Cyanobacteria. At the genus level, the dominant bacterial genera in the ABA are Vibrio, Carnobacterium, Candidatus_Megaira, Planktomarina, and Pseudoalteromonas; in the TA, they are Vibrio, Planktomarina, Lentibacter, Glaciecola, and Jannaschia; and in the NBA, they are Planktomarina, Amylibacter, NS5_marine_group, Aurantivirga, and marine_metagenome. In the ABA, the combined proportion of Vibrio and Carnobacterium exceeds 50%, with Vibrio_splendidus accounting for 93% of the total Vibrio population. These research results can provide a scientific basis for clarifying the environmental characteristics and bacterial composition during the large-scale N. scintillans red tide in Pingtan Island. Full article
(This article belongs to the Special Issue Biology, Ecology and Management of Harmful Algae)
Show Figures

Figure 1

19 pages, 10522 KB  
Article
Physical Vulnerability of The Gambia’s Coastline in the Context of Climate Change
by Muhammad Leroy Albert Gomez, Kissao Gnandi, Chrétien Ngouanet, Ibrahima Pouye and Joshua Ntajal
World 2025, 6(1), 17; https://doi.org/10.3390/world6010017 - 20 Jan 2025
Cited by 1 | Viewed by 4272
Abstract
The Gambia’s coastline, known for its unique ecosystems and vital role in the country’s economy through fisheries, tourism, and agriculture, is becoming increasingly vulnerable as a result of the combined effects of climate change and human activity. This coastline sustains an important portion [...] Read more.
The Gambia’s coastline, known for its unique ecosystems and vital role in the country’s economy through fisheries, tourism, and agriculture, is becoming increasingly vulnerable as a result of the combined effects of climate change and human activity. This coastline sustains an important portion of the population by providing livelihoods and contributing to food security, as well as housing critical infrastructure including ports, urban areas, and tourism hubs. However, as climate change intensifies pre-existing vulnerabilities, such as increased sea-level rise, coastal erosion, and extreme weather events, these socio-economic assets are becoming more and more vulnerable. As a result, this study focused on investigating the physical vulnerability of the coastline in the context of climate change. The vulnerability assessment was conducted using the coastal vulnerability index approach, utilising a combination of oceanographic data, remote sensing, and field observations. The research outcomes supported the identification of key areas at risk and examined the contributing factors such as tidal ranges, storm surges, and human activities. The findings highlight the immediate and long-term threats to coastal communities, infrastructure, and natural habitats. Due to the vulnerability provided by geological and geomorphological factors, the average Coastal Vulnerability Index (CVI) score of 29 indicates a high level of exposure to coastal hazards from Buniadu Point to Barra. From Banjul to Cape Point, the average coastline dynamic rate is positive at 0.21 m/year, indicating some accretion. Despite this, the CVI score of 22 indicates significant vulnerability to coastal hazards from Bald Cape to Salifor Point. The study also explored potential mitigation and adaptation strategies to enhance coastal resilience to sea-level rise, coastal erosion, and flooding. Integrated and sustainable strategies were outlined to support policy-making and community-based initiatives towards safeguarding coastal regions of The Gambia against the backdrop of climate change. Full article
Show Figures

Figure 1

23 pages, 57515 KB  
Article
Evaluation of Coastal Ecological Security Barrier Functions Based on Ecosystem Services: A Case Study of Fujian Province, China
by Fang Luo, Li He, Zhengwei He, Wanting Zeng and Yuanchao Wang
Sustainability 2024, 16(16), 6787; https://doi.org/10.3390/su16166787 - 8 Aug 2024
Cited by 1 | Viewed by 1926
Abstract
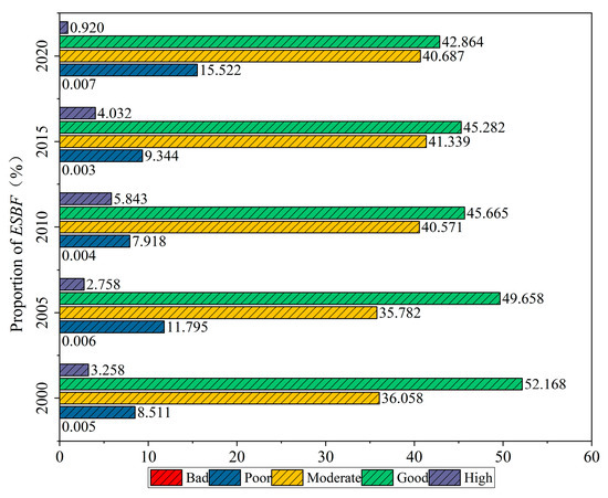
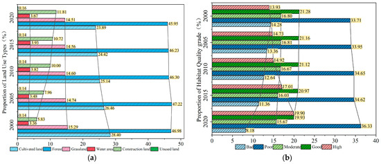
Constructing coastal ecological security barriers is beneficial for preventing environmental degradation and enhancing resilience to natural disasters. This study examines the functionality of these barriers from an ecosystem service perspective, developing an Ecosystem Security Barrier Function (ESBF) index to analyze its spatiotemporal variations. [...] Read more.
Constructing coastal ecological security barriers is beneficial for preventing environmental degradation and enhancing resilience to natural disasters. This study examines the functionality of these barriers from an ecosystem service perspective, developing an Ecosystem Security Barrier Function (ESBF) index to analyze its spatiotemporal variations. From 2000 to 2020, habitat quality in the study area experienced a slight decline, while water supply capacity initially increased and then decreased. Water purification capacity hit its lowest point in 2015 before improving. The ESBF generally ranged from moderate to high levels, with higher values in the northwest and lower values in the southeast, showing strong spatial autocorrelations. Despite mild degradation in some areas, overall stability was maintained with frequent transitions between ESBF levels. Utilizing the Multiscale Geographically Weighted Regression (MGWR) model, we conducted a grid-scale analysis of the driving mechanisms behind ESBF. We found that precipitation, elevation, and the Normalized Difference Vegetation Index (NDVI) positively correlated with ESBF, whereas population density, land use, and nighttime lights negatively correlated. The relationship between temperature and ESBF showed a “north-positive, south-negative” pattern. The study recommends enhancing coastal wetland restoration, strengthening protective forest construction, and effectively controlling pollutant sources entering the sea to safeguard and improve the ecological security barrier function. Full article
(This article belongs to the Section Environmental Sustainability and Applications)
Show Figures

Figure 1

16 pages, 9537 KB  
Article
Comparison of Immune Indicators Related to Phagocytosis of Five Species of Sea Urchins under Artificial Infection with the Pathogenic Bacterium of Black Mouth Disease
by Wenzhuo Tian, Zhong Wang, Xiaofei Leng, Peng Liu, Hao Guo, Xuechun Jiang, Fanjiang Ou, Tongshan Jia, Jun Ding, Weijie Zhang and Yaqing Chang
Biology 2024, 13(7), 495; https://doi.org/10.3390/biology13070495 - 3 Jul 2024
Cited by 5 | Viewed by 1831
Abstract
To screen for immune indicators closely related to disease resistance, two species of sea urchin susceptible to black mouth disease (Strongylocentrotus intermedius, S. intermedius ♀ × Heliocidaris crassispina ♂) and three species of sea urchin resistant to black mouth disease ( [...] Read more.
To screen for immune indicators closely related to disease resistance, two species of sea urchin susceptible to black mouth disease (Strongylocentrotus intermedius, S. intermedius ♀ × Heliocidaris crassispina ♂) and three species of sea urchin resistant to black mouth disease (H. crassispina, H. crassispina ♀ × S. intermedius ♂ and Mesocentrotus nudus) were artificially infected with the black mouth pathogen Vibrio echinoideorum. The phagocytosis-related immune indices of the five sea urchin species were compared at different time points post-infection. The results demonstrated that the parameters such as apoptotic rate of phagocytes, mean contribution value (MCV) of single effective phagocyte on Acid Phosphatase (ACP), Reactive Oxygen Species (ROS), and Total Antioxidant Capacity (T-AOC) of the five sea urchin species first increased and then decreased after infection. The key time points were 3 h to 6 h and 48 h post-infection when the black mouth disease-resistant and susceptible sea urchins demonstrated differences. At 3 h or 6 h post-infection, the up-regulation folds in MCV of ACP, ROS and T-AOC of black mouth disease-resistant sea urchins were considerably higher than that of the susceptible sea urchins. At 6 h post-infection, the apoptosis rate and the phagocytic index (PI) of the black mouth disease-resistant sea urchins were significantly higher than those of the susceptible sea urchins (p < 0.05). At 48 h post-infection, the necrosis rate of phagocytes, MCV of ACP and MCV of ROS of the black mouth disease-resistant sea urchins were significantly lower than those of the susceptible sea urchins (p < 0.05). The apoptosis and necrosis rate of phagocytes, PI, and MCV on ACP, ROS may be used as indicators of disease resistance in sea urchins. Disease resistance standards in immune indices can be summarized as phagocytosis increases greatly in the early infection stage and decreases timely to a normal level after killing the pathogen in a short period. Full article
(This article belongs to the Special Issue Current Advances in Echinoderm Research)
Show Figures

Figure 1

15 pages, 15798 KB  
Technical Note
A Lidar Biomass Index of Tidal Marshes from Drone Lidar Point Cloud
by Cuizhen Wang, James T. Morris and Erik M. Smith
Remote Sens. 2024, 16(11), 1823; https://doi.org/10.3390/rs16111823 - 21 May 2024
Cited by 4 | Viewed by 1950
Abstract
Accompanying climate change and sea level rise, tidal marsh mortality in coastal wetlands has been globally observed that urges the documentation of high-resolution, 3D marsh inventory to assist resilience planning. Drone Lidar has proven useful in extracting the fine-scale bare earth terrain and [...] Read more.
Accompanying climate change and sea level rise, tidal marsh mortality in coastal wetlands has been globally observed that urges the documentation of high-resolution, 3D marsh inventory to assist resilience planning. Drone Lidar has proven useful in extracting the fine-scale bare earth terrain and canopy height. Beyond that, this study performed marsh biomass mapping from drone Lidar point cloud in a S. alterniflora-dominated estuary on the Southeast U.S. coast. Three point classes (ground, low-veg, and high-veg) were classified via point cloud deep learning. Considering only vegetation points in the vertical profile, a profile area-weighted height (HPA) was extracted at a grid size of 50 cm × 50 cm. Vegetation point densities were also extracted at each grid. Adopting the plant-level allometric equations of stem biomass from long-term S. alterniflora surveys, a Lidar biomass index (Lidar_BI) was built to represent the relative quantity of marsh biomass in a range of [0, 1] across the estuary. Compared with the clipped dry biomass samples, it achieved a comparable and slightly better performance (R2 = 0.5) than the commonly applied spectral index approaches (R2 = 0.4) in the same marsh field. This study indicates the feasibility of the drone Lidar point cloud for marsh biomass mapping. More advantageously, the drone Lidar approach yields information on plant community architecture, such as canopy height and plant density distributions, which are key factors in evaluating marsh habitat and its ecological services. Full article
(This article belongs to the Special Issue Remote Sensing in Coastal Vegetation Monitoring)
Show Figures

Figure 1

20 pages, 12690 KB  
Article
Investigation on the Confined Breakage Characteristics of Calcareous Sand in the South China Sea Integrated Using Relative Breakage Ratio and Fractal Dimension
by Jianfeng Zhu, Qiqi Zheng and Hao Yang
Sustainability 2024, 16(5), 2190; https://doi.org/10.3390/su16052190 - 6 Mar 2024
Cited by 3 | Viewed by 1509
Abstract
Calcareous sand, ubiquitous in the geotechnical makeup of the South China Sea, exhibits both compressibility and vulnerability to fragmentation when subjected to external loading, spanning a spectrum from typical to extreme conditions. This investigation aims to quantitatively assess the compression and particle breakage [...] Read more.
Calcareous sand, ubiquitous in the geotechnical makeup of the South China Sea, exhibits both compressibility and vulnerability to fragmentation when subjected to external loading, spanning a spectrum from typical to extreme conditions. This investigation aims to quantitatively assess the compression and particle breakage characteristics of calcareous sand under varied parameters, including relative density, saturation, applied loads, and loading paths, specifically focusing on sustainable geotechnical methodologies. Through a series of confined compression tests, this evaluation employed the relative breakage ratio and fractal dimension as key evaluative metrics. The results indicated that employing this integrated approach offered a more comprehensive understanding of calcareous sand breakdown mechanisms than relying on a singular particle breakage index. Furthermore, an increase in relative density can induce a transition in particle contact behavior, shifting from point-to-point interactions to face-to-face contact, thereby reducing inter-particle stress and minimizing grain breakage, particularly under loads below 200 kPa. Increasing loads exacerbated particle breakage, with finer particles predominantly initiating this process. During reloading, pore ratios across various load levels surpass those observed during initial loading, except at 1600 kPa, where a decline in pore ratio was noted, coinciding with pore water extrusion and the onset of new particle fracturing. The lubricating effect of water reduces inter-particle friction, enhancing stress concentration at particle edges and localized particle breakage, thereby increasing the presence of finer particles without significantly altering the overall structure. Notably, the influence of pore water pressure is evident during the reloading phase. These findings contribute to a refined theoretical framework for predicting coastal erosion risks and devising effective environmental protection strategies for sustainable coastal engineering practices. Full article
(This article belongs to the Special Issue Coastal Hazards and Safety 2nd Edition)
Show Figures

Figure 1

14 pages, 15836 KB  
Article
The Relationship between the Typhoons Affecting South China and the Pacific Decadal Oscillation
by Weijian Qin, Yuexing Cai and Liyang He
Atmosphere 2024, 15(3), 285; https://doi.org/10.3390/atmos15030285 - 26 Feb 2024
Cited by 3 | Viewed by 4564
Abstract
Using typhoon data from the Shanghai Typhoon Institute of the China Meteorological Administration, the Japan Meteorological Agency’s annual Pacific decadal oscillation (PDO) index, and NCEP/NCAR reanalysis data from 1951 to 2021, correlation and composite analyses were carried out to study the relationship between [...] Read more.
Using typhoon data from the Shanghai Typhoon Institute of the China Meteorological Administration, the Japan Meteorological Agency’s annual Pacific decadal oscillation (PDO) index, and NCEP/NCAR reanalysis data from 1951 to 2021, correlation and composite analyses were carried out to study the relationship between the variability among tropical cyclones of different magnitudes affecting South China and the PDO. The results show that there is an obvious out-of-phase relationship between the proportion of tropical cyclones reaching a typhoon-level intensity or above in South China and the PDO index. When the PDO is in a cold (warm) phase, the sea surface temperature in the eastern and central equatorial Pacific is cold (warm), similar to the eastern Pacific La Niña (El Niño) phenomenon, and the SST in the eastern and western tropical Pacific Ocean shows a negative (positive) gradient; the subtropical high in the western Pacific Ocean is weaker (stronger) than normal, with the western ridge point to the east (west), and the 500 hPa geopotential height in the South China Sea and the area east of the Philippines is weaker (stronger), which is conducive to (unfavorable to) the formation of a monsoon trough; and the westerly (easterly) winds at high altitudes and the southwesterly (northeasterly) winds at low altitudes from the South China Sea to the Philippines are abnormally strong, and a positive (negative) vorticity at low altitudes, a low (high) sea level pressure, and strong (weak) convection are shown. These conditions are favorable (unfavorable) for the intensification of typhoons affecting South China, and as a result, the number of tropical cyclones reaching the level of typhoons or above account for a greater (smaller) proportion of those affecting South China. Full article
(This article belongs to the Special Issue Advances in Tropical Cyclone Climate Research)
Show Figures

Figure 1

24 pages, 13000 KB  
Article
Geochemistry and Provenance of Loess on the Miaodao Islands, China
by Yunfeng Zhang, Kuifeng Wang, Jianchao Song, Paul Liu, Chuanbo Xia, Muhammad Risha, Xiaohua Qiu, Yan Xu, Minghui Lv, Kuifeng Gao and Lin Wang
Atmosphere 2024, 15(3), 261; https://doi.org/10.3390/atmos15030261 - 22 Feb 2024
Cited by 1 | Viewed by 1782
Abstract
Loess deposits are widely distributed across the globe and provide detailed records of climatic changes since the Quaternary period. Their geochemical element characteristics are important indicators of paleoenvironmental evolution and provenance. Therefore, four typical loess sections from four different islands of the Miaodao [...] Read more.
Loess deposits are widely distributed across the globe and provide detailed records of climatic changes since the Quaternary period. Their geochemical element characteristics are important indicators of paleoenvironmental evolution and provenance. Therefore, four typical loess sections from four different islands of the Miaodao Islands were selected for systematically geochemical analysis of major and trace elements. The geochemical data of major and trace elements are very similar, indicating that the loess of all islands on the Miaodao have a common provenance. The geochemical test results show that t SiO2, Al2O3, Fe2O3 and CaO are the major chemical components of loess, with an average total content of 85–90%. The average Eu/Eu*, ΣLREE/ΣHREE, LaN/YbN, GdN/YbN values of the Miaodao Islands loess range from 0.65 to 0.69, 7.84 to 8.31, 8.02 to 9.99, 1.40 to 1.76. These data are similar to and different from those of the Chinese Loess Plateau, indicating the diversity of Miaodao Islands Loess provenance. The CIA (Chemical Index of Alteration) (50–65) and Na/K results suggest that the loess here had experienced incipient chemical weathering. The A-CN-K (Al2O3-CaO* + Na2O-K2O) diagram indicates that the weathering trend of the loess sections is consistent with that of continental weathering. The local loess data points are close and parallel to the A-CN line, suggesting that the loess dust material on the Miaodao Islands originated from the extensive upper continental crust, and was highly mixed in the process of wind transport and deposition. The relationships of Log[(CaO + Na2O)/K2O] versus Log(SiO2/Al2O3), Na2O/Al2O3 versus K2O/Al2O3, LaN/YbN versus Eu/Eu*, Sc-Th-La and Zr-Sc-Th plots of major and trace elements reveal that the loess sources for the Miaodao Islands are similar to those of the Loess Plateau, which were derived from alluvial fan deposits flanking the Qilian Shan in China, the Gobi Altay and Hangayn Mountains in Mongolia. However, the loess of the Miaodao Islands is coarser in average grain size and contains abundant marine fossils, with gravel layers, indicating it is allochthous and near-source, which suggests it mainly originated from the adjacent exposed sea floor sediments of the Bohai Sea during glacial periods. Finally, we conclude that the loess of the Miaodao Islands is the result of a gradual accumulation process, in which the relative amount of distant-source material decreased and the near-source material increased in response to changes in sea level and paleoclimate. Our findings support that the loess of the Miaodao Islands was formed by mixing material from distant and proximal sources. Full article
(This article belongs to the Section Climatology)
Show Figures

Figure 1

Back to TopTop