Geochemistry and Genetic Significance of Scheelite in the Nanwenhe Tungsten Deposit, Yunnan Province, Southwestern China
Abstract
1. Introduction
2. Geological Setting and Ore Deposit Geology
2.1. Geological Setting
2.2. Ore Deposit Geology
3. Samples and Analytical Methods
4. Results
4.1. Petrographical Characteristics of Scheelite
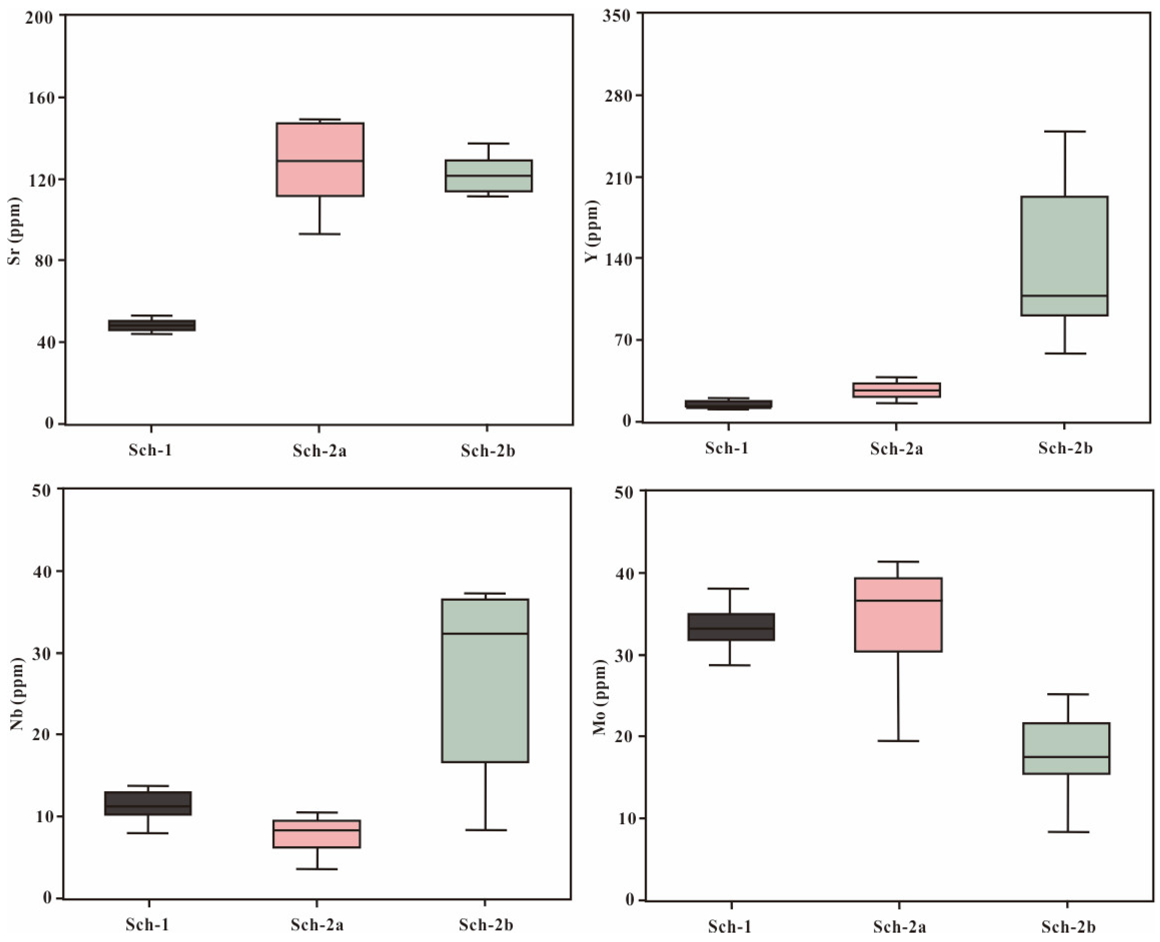
4.2. The Trace Element Composition of Scheelite
4.3. The Rare Earth Element (REE) Composition of Scheelite
5. Discussion
5.1. The Chemical Characteristics of Ore-Forming Fluid
5.2. The Source of Ore-Forming Materials
5.3. The Genesis Mechanism of the Deposit
6. Conclusions
Author Contributions
Funding
Data Availability Statement
Acknowledgments
Conflicts of Interest
References
- U.S. Geological Survey. U.S. Mineral Commodity Summaries 2022; U.S. Geological Survey: Reston, VA, USA, 2022.
- Jiang, S.Y.; Zhao, K.D.; Jiang, H.; Su, H.M.; Xiong, S.F.; Xiong, Y.Q.; Xu, Y.M.; Zhang, W.; Zhu, L.Y. Spatiotemporal distribution, geological characteristics and metallogenic mechanism of tungsten and tin deposits in China: An overview. Chin. Sci. Bull. 2020, 65, 3730–3745. (In Chinese) [Google Scholar]
- Shen, J.F.; Chen, Z.H.; Liu, L.J.; Ying, L.J.; Huang, F.; Wang, D.H.; Wang, J.H.; Zeng, L. Outline of metallogeny of tungsten deposits in China. Acta Geol. Sin. 2015, 89, 1038–1050. [Google Scholar]
- Liu, Y.B.; Zhang, L.F.; Santosh, M.; Dong, G.C.; Zhou, H.Y.; Que, C.Y.; Ynag, C.X. Multi-stage metallogeny in the southwestern part of South China, and paleotectonic and climatic implications: A high precision geochronologic study. Geosci. Front. 2023, 14, 101536. [Google Scholar] [CrossRef]
- Roger, F.; Leloup, P.H.; Joliver, M.; Lacassin, R.; Trinh, P.T.; Brunel, M.; Seward, D. Long and complex thermal history of the Song Chay metamorphic dome (Northern Vietnam) by multi-system geochronology. Tectonophysics 2000, 321, 449–466. [Google Scholar] [CrossRef]
- Zhao, Z.Y.; Hou, L.; Ding, J.; Zhang, Q.M.; Wu, S.Y. A genetic link between Late Cretaceous granitic Magmatism and Sn mineralization in the southwestern South China Block: A case study of the Dulong Sn-dominant polymetallic deposit. Ore Geol. Rev. 2018, 93, 268–289. [Google Scholar] [CrossRef]
- Chen, X.C.; Hu, R.Z.; Bi, X.W.; Zhong, H.; Lan, J.B.; Zhao, C.H.; Zhu, J.J. Zircon U-Pb ages and Hf-O isotopes, and whole-rock Sr-Nd isotopes of the Bozhushan granite, Yunnan province, SW China: Constraints on petrogenesis and tectonic setting. J. Asian Earth Sci. 2015, 99, 57–71. [Google Scholar] [CrossRef]
- Guo, J.; Zhang, R.Q.; Li, C.Y.; Sun, W.D.; Hu, Y.B.; Kang, D.M.; Wu, J.D. Genesis of the Gaosong Sn-Cu deposit, Gejiu district, SW China: Constraints from in situ LA-ICP-MS cassiterite U-Pb dating and trace element fingerprinting. Ore Geol. Rev. 2018, 92, 627–642. [Google Scholar] [CrossRef]
- Guo, J.; Xiang, L.; Zhang, R.Q.; Yang, T.; Wu, K.; Sun, W.D. Chemical and boron isotopic variations of tourmaline deciphering magmatic-hydrothermal evolution at the Gejiu Sn-polymetallic district. South China. Chem. Geol. 2022, 593, 120698. [Google Scholar] [CrossRef]
- Liu, Y.B.; Zhang, L.F.; Mo, X.X.; Santosh, M.; Dong, G.C.; Zhou, H.Y. The giant tin polymetallic mineralization in southwest China: Integrated geochemical and isotopic constraints and implications for Cretaceous tectonomagmatic event. Geosci. Front. 2020, 11, 1593–1608. [Google Scholar] [CrossRef]
- Xu, B.; Jiang, S.Y.; Wang, R.; Ma, L.; Zhao, K.D.; Yan, X. Late Cretaceous granites from the giant Dulong Sn-polymetallic ore district in Yunnan Province, South China: Geochronology, geochemistry, mineral chemistry and Nd–Hf isotopic compositions. Lithos 2015, 218–219, 54–72. [Google Scholar] [CrossRef]
- Zhang, X.M.; Zhang, D.; Bi, M.F.; Wu, G.G.; Fan, Z.Z.; Que, C.Y.; Di, Y.J.; Xue, W.; Zhou, Z.G.; Bai, H. Genesis and geodynamic setting of the Nanyangtian tungsten deposit, SW China: Constraints from structural deformation, geochronology, and S-O isotope data. Ore Geol. Rev. 2021, 138, 104354. [Google Scholar] [CrossRef]
- Li, W.; Cao, S.Y.; Nakamura, E.; Ota, T.; Liu, Z.; Dong, Y.L.; Kunihiro, T. Magmatic-hydrothermal processes of the Laojunshan metamorphic massif in Southeastern Asia: Evidence from chemical and B-isotopic variations of deformed tourmalines. Lithos 2022, 412–413, 106609. [Google Scholar] [CrossRef]
- Du, S.J.; Wen, H.J.; Qin, C.J.; Yan, Y.F.; Yang, G.S.; Fan, H.F.; Zhang, W.J.; Zhang, L.; Wang, D.; Li, H.K.; et al. Caledonian ore-forming event in the Laojunshan mining district, SE Yunnan Province, China: In situ LA-MC-ICP-MS U-Pb dating on Cassiterite. Geochem. J. 2015, 49, 11–22. [Google Scholar] [CrossRef]
- Zhu, X.S.; Li, H.M.; Hong, M.C. Geological characteristics and prospecting direction of wenhe area in south malipo. World Nonferrous Met. 2020, 4, 91+93. [Google Scholar]
- Liu, Y.S.; Hu, Z.C.; Gao, S.; Günther, D.; Xu, J.; Gao, C.G.; Chen, H.H. In situ analysis of major and trace elements of anhydrous minerals by LA-ICP-MS without applying an internal standard. Chem. Geol. 2008, 257, 34–43. [Google Scholar] [CrossRef]
- Hazarika, P.; Mishra, B.; Pruseth, K.L. Scheelite, apatite, calcite and tourmaline compositions from the late Archean Hutti orogenic gold deposit: Implications for analogous two stage ore Fluids. Ore Geol. Rev. 2016, 72, 989–1003. [Google Scholar] [CrossRef]
- Lu, D.Y.; Mao, J.W.; Ye, H.S.; Wang, P.; Chao, W.W.; Yu, M. Geochemistry of scheelite from Jiangligou skarn W-(Cu-Mo) deposit in the West Qinling orogenic belt, Northwest China: Implication on the multistage ore-forming processes. Ore Geol. Rev. 2023, 159, 105525. [Google Scholar] [CrossRef]
- Peng, N.J. Fluid Evolution and Genetic Mechanisms for the Giant Dahutang Tungsten Deposit in Northern Jiangxi Province, South China. Ph.D. Dissertation, China University of Geosciences (Wuhan), Wuhan, China, 2020. [Google Scholar]
- Liu, M.; Song, S.W.; Cui, Y.R.; Chen, G.H.; Rao, J.F.; Ouyang, Y.P. In-situ U-Pb geochronology and trace element analysis for the scheelite and apatite from the deep seated stratiform-like W(Cu) ore of the Zhuxi tungsten deposit, northeastern Jiangxi Province. Acta Petrol. Sin. 2021, 37, 717–732. [Google Scholar]
- Niu, H.B. The Ore-forming Fluid and Metallogenesis of W-Snpolymetallic deposits in the Nanwenhe-Song Chay Dome Areas, Southestern Yunnan Province. Ph.D. Dissertation, University of Chinese Academy of Sciences, Beijing, China, 2021. [Google Scholar]
- Huang, X.D.; Lu, J.J.; Zhang, R.Q.; Sizaret, S.; Ma, D.S.; Wang, R.C.; Zhu, X.; He, Z.Y. Garnet and scheelite chemistry of the Weijia tungsten deposit, South China: Implications for fluid evolution and W skarn mineralization in F-rich ore System. Ore Geol. Rev. 2022, 142, 104729. [Google Scholar] [CrossRef]
- Zhao, X.Y.; Deng, M.G.; Li, W.C.; Tang, Y.W.; Zhang, D.C.; Han, S.K.; Song, W.B.; Zhang, Q.G.; Xu, J.W. In situ U-Pb dating of garnet, vesuvianite, and scheelite from the Nanyangtian tungsten deposit reveals an Early Cretaceous W mineralization event in Southeast Yunnan, China. Gondwana Res. 2024, 133, 72–90. [Google Scholar] [CrossRef]
- Di, Y.J.; Que, C.Y.; Zhang, D.; Wu, T.G.; Xu, J.Z.; Huang, K.W.; Ma, H.H.; Liu, E.Q. The genesis of the Nanwenhe tungsten deposit in Malipo, Yunnan: Constrained by skarn chronology. Acta Mineral. Sin. 2013, 33, 581–582. [Google Scholar]
- Vladimirov, A.G.; Travin, A.V.; Anh, P.L.; Murzintsev, N.G.; Mikheev, E.I. Thermochronology of the Cordilleran-type metamorphic core complex: The example of the Song Chay Massif, Northern Vietnam. Dokl. Earth Sci. 2019, 488, 1231–1239. [Google Scholar] [CrossRef]
- Shi, H.Z. Strata-Bound Scheelite Deposit Geology Geochemistry and Genesis, Malipo, Yunnan Province. Master Dissertation, Chinese Academy of Geological Sciences, Beijing, China, 2011. [Google Scholar]
- Taylor, S.R.; Mclennan, S.M. The geochemical evolution of the continental crust. Rev. Geophys. 1995, 33, 241–265. [Google Scholar] [CrossRef]
- Rudnick, R.; Gao, S. Composition of the Continental Crust. Treatise Geochem. 2003, 3, 1–64. [Google Scholar]
- Liu, Y.J.; Li, Z.L.; Ma, D.S. Geochemical research on tungsten-containing construction in South China. Sci. Sin. (Chim.) 1982, 12, 939–950. [Google Scholar]
- Taylor, S.R. Abundance of chemical elements in the continental crust: A new table. Geochim. Cosmochim. Acta 1964, 28, 1273–1285. [Google Scholar] [CrossRef]
- Kwak, T.A.P. W-Sn skarn deposits and related metamorphic skarns and granitoids. Mineral. Mag. 1987, 52, 559. [Google Scholar]
- Park, C.; Sony, Y.; Kang, I.M. Metasomatic changes during periodic fluid flux recorded in grandite garnet from the Weondong W-skarn deposit, South Korea. Chem. Geol. 2017, 451, 135–153. [Google Scholar] [CrossRef]
- Wood, S.A.; Samson, I.M. The hydrothermal geochemistry of tungsten in granitoid environments: I. relative solubilities of ferberite and scheelite as a function of T, P, pH, and MNaCl. Econ. Geol. 2000, 95, 143–182. [Google Scholar] [CrossRef]
- Bénézeth, P.; Stefánsson, A.; Gautier, Q.; Jacques, S. Mineral solubility and aqueous speciation under hydrothermal conditions to 300 °C—The carbonate system as an example. Rev. Mineral. Geochem. 2013, 76, 81–133. [Google Scholar] [CrossRef]
- Wang, X.S.; Timofeev, A.; Williams-Jones, A.E.; Shang, L.B.; Bi, X.W. An experimental study of the solubility and speciation of tungsten in NaCl-bearing aqueous solutions at 250, 300, and 350 °C. Geochim. Et Cosmochim. Acta 2019, 265, 313–329. [Google Scholar] [CrossRef]
- Lecumberri-Sanchez, P.; Vieira, R.; Heinrich, C.A.; Pinto, F.; Wälle, M. Fluid-rock interaction is decisive for the formation of tungsten deposits. Geology 2017, 45, 579–582. [Google Scholar] [CrossRef]
- O’reilly, C.; Gallagher, V.; Feely, M. Fluid inclusion study of the Ballinglen W-Sn-sulphide mineralization, SE Ireland. Miner. Depos. 1997, 32, 569–580. [Google Scholar] [CrossRef]
- Wang, X.; Qiu, Y.; Lu, J.; Chou, I.M.; Zhang, W.; Li, G.; Hu, W.; Li, Z.; Zhong, R.C. In situ Raman spectroscopic investigation of the hydrothermal speciation of tungsten: Implications for the ore-forming Process. Chem. Geol. 2020, 532, 119–299. [Google Scholar] [CrossRef]
- Chen, R.; Zhu, L.; Jiang, S.Y.; Ma, Y.; Hu, Q.H. Fluid evolution and scheelite precipitation mechanism of the large-scale Shangfang quartz-vein-type tungsten deposit, South China: Constraints from rare earth element (REE) behaviour during fluid/rock interaction. J. Earth Sci. 2020, 31, 635–652. [Google Scholar] [CrossRef]
- Einaudi, M.T.; Meinert, L.D.; Newberry, R.J. Skarn deposits. Econ. Geol. 1981, 317–391. [Google Scholar] [CrossRef]
- Poblete, J.A.; Dirks, P.H.G.M.; Chang, Z.; Huizenga, J.M.; Griessmann, M.; Hall, C. The Watershed tungsten deposit, Northeast Queensland, Australia: Permian metamorphic tungsten mineralization overprinting Carboniferous magmatic tungsten. Econ. Geol. 2021, 116, 427–451. [Google Scholar] [CrossRef]
- Cheng, Y.; Mao, J.; Liu, P. Geodynamic setting of Late Cretaceous Sn–W mineralization in southeastern Yunnan and northeastern Vietnam. Solid Earth Sci. 2016, 1, 79–88. [Google Scholar] [CrossRef]
- Wang, Q.; Yang, L.; Xu, X.; Santosh, M.; Wang, Y.; Wang, T.; Chen, F.; Wang, R.; Gao, L.; Liu, X.; et al. Multi-stage tectonics and metallogeny associated with Phanerozoic evolution of the South China Block: A holistic perspective from the Youjiang Basin. Earth-Sci. Rev. 2020, 211, 103405. [Google Scholar] [CrossRef]
- Zhang, Y.Q.; Xu, X.B.; Jia, D.; Shu, L.S. Deformation record of the change from Indosinian Collision-related tectonic system to Yanshanian subduction-related tectonic system in South China during the Early Mesozoic. Earth Sci. Front. 2009, 16, 234–247. [Google Scholar]







Disclaimer/Publisher’s Note: The statements, opinions and data contained in all publications are solely those of the individual author(s) and contributor(s) and not of MDPI and/or the editor(s). MDPI and/or the editor(s) disclaim responsibility for any injury to people or property resulting from any ideas, methods, instructions or products referred to in the content. |
© 2025 by the authors. Licensee MDPI, Basel, Switzerland. This article is an open access article distributed under the terms and conditions of the Creative Commons Attribution (CC BY) license (https://creativecommons.org/licenses/by/4.0/).
Share and Cite
Wang, W.; Jiang, S.-Y.; Wang, K.; Che, Y.-Y.; Xiao, S. Geochemistry and Genetic Significance of Scheelite in the Nanwenhe Tungsten Deposit, Yunnan Province, Southwestern China. Minerals 2025, 15, 875. https://doi.org/10.3390/min15080875
Wang W, Jiang S-Y, Wang K, Che Y-Y, Xiao S. Geochemistry and Genetic Significance of Scheelite in the Nanwenhe Tungsten Deposit, Yunnan Province, Southwestern China. Minerals. 2025; 15(8):875. https://doi.org/10.3390/min15080875
Chicago/Turabian StyleWang, Wei, Shao-Yong Jiang, Kexin Wang, Yu-Ying Che, and Shugang Xiao. 2025. "Geochemistry and Genetic Significance of Scheelite in the Nanwenhe Tungsten Deposit, Yunnan Province, Southwestern China" Minerals 15, no. 8: 875. https://doi.org/10.3390/min15080875
APA StyleWang, W., Jiang, S.-Y., Wang, K., Che, Y.-Y., & Xiao, S. (2025). Geochemistry and Genetic Significance of Scheelite in the Nanwenhe Tungsten Deposit, Yunnan Province, Southwestern China. Minerals, 15(8), 875. https://doi.org/10.3390/min15080875

