Sign in to use this feature.

Years

Between: -

Subjects

remove_circle_outline
remove_circle_outline
remove_circle_outline
remove_circle_outline
remove_circle_outline
remove_circle_outline
remove_circle_outline

Journals

Article Types

Countries / Regions

Search Results (121)

Search Parameters:
Keywords = scalar–tensor theories

Order results
Result details
Results per page
Select all
Export citation of selected articles as:
14 pages, 543 KB  
Article
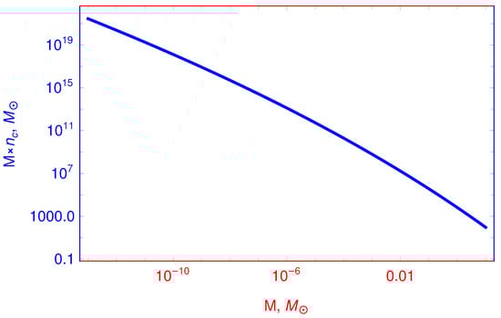
Clusters of PBHs in a Framework of Multidimensional f(R)-Gravity
by Maxim Krasnov and Valery Nikulin
Particles 2026, 9(1), 12; https://doi.org/10.3390/particles9010012 - 3 Feb 2026
Abstract
We investigate primordial black hole (PBH) production via the collapse of supercritical domain walls in a quadratic f(R)-gravity model with tensor extensions. The effective field theory for an extra space’s scalar curvature provides a foundation for the formation of [...] Read more.
We investigate primordial black hole (PBH) production via the collapse of supercritical domain walls in a quadratic f(R)-gravity model with tensor extensions. The effective field theory for an extra space’s scalar curvature provides a foundation for the formation of these dense walls. In our work, domain walls are found to be supercritical. Their properties were extensively studied in the literature, where it was demonstrated that they create wormholes and escape into baby universes through them. Closure of the wormhole leads to black hole creation, providing a mechanism for the production of primordial black holes in our model. We calculate the mass spectrum of such black holes and mass distribution within clusters of them. When accretion is accounted for, the black holes produced under this mechanism present viable dark matter candidates. Full article
Show Figures

Figure 1

15 pages, 1881 KB  
Article
Finite-Range Scalar–Tensor Gravity: Constraints from Cosmology and Galaxy Dynamics
by Elie Almurr and Jean Claude Assaf
Galaxies 2026, 14(1), 7; https://doi.org/10.3390/galaxies14010007 - 27 Jan 2026
Viewed by 236
Abstract
Objective: We examine whether a finite-range scalar–tensor modification of gravity can be simultaneously compatible with cosmological background data, galaxy rotation curves, and local/astrophysical consistency tests, while satisfying the luminal gravitational-wave propagation constraint (cT=1) implied by GW170817 at low [...] Read more.
Objective: We examine whether a finite-range scalar–tensor modification of gravity can be simultaneously compatible with cosmological background data, galaxy rotation curves, and local/astrophysical consistency tests, while satisfying the luminal gravitational-wave propagation constraint (cT=1) implied by GW170817 at low redshifts. Methods: We formulate the model at the level of an explicit covariant action and derive the corresponding field equations; for cosmological inferences, we adopt an effective background closure in which the late-time dark-energy density is modulated by a smooth activation function characterized by a length scale λ and amplitude ϵ. We constrain this background model using Pantheon+, DESI Gaussian Baryon Acoustic Oscillations (BAOs), and a Planck acoustic-scale prior, including an explicit ΛCDM comparison. We then propagate the inferred characteristic length by fixing λ in the weak-field Yukawa kernel used to model 175 SPARC galaxy rotation curves with standard baryonic components and a controlled spherical approximation for the scalar response. Results: The joint background fit yields Ωm=0.293±0.007, λ=7.691.71+1.85Mpc, and H0=72.33±0.50kms1Mpc1. With λ fixed, the baryons + scalar model describes the SPARC sample with a median reduced chi-square of χν2=1.07; for a 14-galaxy subset, this model is moderately preferred over the standard baryons + NFW halo description in the finite-sample information criteria, with a mean ΔAICc outcome in favor of the baryons + scalar model (≈2.8). A Vainshtein-type screening completion with Λ=1.3×108 eV satisfies Cassini, Lunar Laser Ranging, and binary pulsar bounds while keeping the kpc scales effectively unscreened. For linear growth observables, we adopt a conservative General Relativity-like baseline (μ0=0) and show that current fσ8 data are consistent with μ00 for our best-fit background; the model predicts S8=0.791, consistent with representative cosmic-shear constraints. Conclusions: Within the present scope (action-level weak-field dynamics for galaxy modeling plus an explicitly stated effective closure for background inference), the results support a mutually compatible characteristic length at the Mpc scale; however, a full perturbation-level implementation of the covariant theory remains an issue for future work, and the role of cold dark matter beyond galaxy scales is not ruled out. Full article
Show Figures

Figure 1

29 pages, 419 KB  
Review
Modified Gravity with Nonminimal Curvature–Matter Couplings: A Framework for Gravitationally Induced Particle Creation
by Francisco S. N. Lobo, Tiberiu Harko and Miguel A. S. Pinto
Universe 2025, 11(11), 356; https://doi.org/10.3390/universe11110356 - 28 Oct 2025
Viewed by 1535
Abstract
Modified gravity theories with a nonminimal coupling between curvature and matter offer a compelling alternative to dark energy and dark matter by introducing an explicit interaction between matter and curvature invariants. Two of the main consequences of such an interaction are the emergence [...] Read more.
Modified gravity theories with a nonminimal coupling between curvature and matter offer a compelling alternative to dark energy and dark matter by introducing an explicit interaction between matter and curvature invariants. Two of the main consequences of such an interaction are the emergence of an additional force and the non-conservation of the energy–momentum tensor, which can be interpreted as an energy exchange between matter and geometry. By adopting this interpretation, one can then take advantage of many different approaches in order to investigate the phenomenon of gravitationally induced particle creation. One of these approaches relies on the so-called irreversible thermodynamics of open systems formalism. By considering the scalar–tensor formulation of one of these theories, we derive the corresponding particle creation rate, creation pressure, and entropy production, demonstrating that irreversible particle creation can drive a late-time de Sitter acceleration through a negative creation pressure, providing a natural alternative to the cosmological constant. Furthermore, we demonstrate that the generalized second law of thermodynamics holds: the total entropy, from both the apparent horizon and enclosed matter, increases monotonically and saturates in the de Sitter phase, imposing constraints on the allowed particle production dynamics. Furthermore, we present brief reviews of other theoretical descriptions of matter creation processes. Specifically, we consider approaches based on the Boltzmann equation and quantum-based aspects and discuss the generalization of the Klein–Gordon equation, as well as the problem of its quantization in time-varying gravitational fields. Hence, gravitational theories with nonminimal curvature–matter couplings present a unified and testable framework, connecting high-energy gravitational physics with cosmological evolution and, possibly, quantum gravity, while remaining consistent with local tests through suitable coupling functions and screening mechanisms. Full article
16 pages, 296 KB  
Article
Nonlocal Internal Variable and Superfluid State in Liquid Helium II
by Vito Antonio Cimmelli
Mathematics 2025, 13(19), 3134; https://doi.org/10.3390/math13193134 - 1 Oct 2025
Viewed by 422
Abstract
We present a model of superfluidity based on the internal variable theory. We consider a two-component fluid endowed with a scalar internal variable whose gradient is the counterflow velocity. The restrictions imposed by the second law of thermodynamics are obtained by applying a [...] Read more.
We present a model of superfluidity based on the internal variable theory. We consider a two-component fluid endowed with a scalar internal variable whose gradient is the counterflow velocity. The restrictions imposed by the second law of thermodynamics are obtained by applying a generalized Coleman–Noll procedure. A set of constitutive equations of the Landau type, with entropy, entropy flux and stress tensor depending on the counterflow velocity, is obtained. The propagation of acceleration waves is investigated as well. It is shown that the first-and-second sound waves may propagate along the system with speeds depending on the physical parameters of the two fluids. First sound waves may propagate in the same direction or in the opposite direction of the counterflow velocity, depending on the concentration of normal and superfluid components. The speeds of second sound waves have the same mathematical form of those propagating in dielectric crystals. Full article
(This article belongs to the Section E4: Mathematical Physics)
28 pages, 587 KB  
Article
The Lyra–Schwarzschild Spacetime
by M. C. Bertin, R. R. Cuzinatto, J. A. Paquiyauri and B. M. Pimentel
Universe 2025, 11(9), 315; https://doi.org/10.3390/universe11090315 - 12 Sep 2025
Viewed by 874
Abstract
In this paper, we provide a complete analysis of the most general spherical solution of the Lyra scalar-tensor (LyST) gravitational theory based on the proper definition of a Lyra manifold. Lyra’s geometry features the metric tensor and a scale function as fundamental fields, [...] Read more.
In this paper, we provide a complete analysis of the most general spherical solution of the Lyra scalar-tensor (LyST) gravitational theory based on the proper definition of a Lyra manifold. Lyra’s geometry features the metric tensor and a scale function as fundamental fields, resulting in generalizations of geometrical quantities such as the affine connection, curvature, torsion, and non-metricity. A proper action is defined considering the correct invariant volume element and the scalar curvature, obeying the symmetry of Lyra’s reference frame transformations and resulting in a generalization of the Einstein–Hilbert action. The LyST gravity assumes zero torsion in a four-dimensional metric-compatible spacetime. In this work, geometrical quantities are presented and solved via Cartan’s technique for a spherically symmetric line element. Birkhoff’s theorem is demonstrated so that the solution is proven to be static, resulting in the Lyra–Schwarzschild metric, which depends on both the geometrical mass (through a modified version of the Schwarzschild radius rS) and an integration constant dubbed the Lyra radius rL. We study particle and light motion in Lyra–Schwarzschild spacetime using the Hamilton–Jacobi method. The motion of massive particles includes the determination of the rISCO and the periastron shift. The study of massless particle motion shows the last photon’s unstable orbit. Gravitational redshift in Lyra–Schwarzschild spacetime is also reviewed. We find a coordinate transformation that casts Lyra–Schwarzschild spacetime in the form of the standard Schwarzschild metric; the physical consequences of this fact are discussed. Full article
(This article belongs to the Section Gravitation)
Show Figures

Figure 1

19 pages, 1517 KB  
Article
Probing the Topology of the Early Universe Using CMB Temperature and Polarization Anisotropies
by Miguel-Angel Sanchis-Lozano
Universe 2025, 11(9), 306; https://doi.org/10.3390/universe11090306 - 9 Sep 2025
Viewed by 1014
Abstract
The temperature and polarization anisotropies of the cosmic microwave background (CMB) as measured today can offer key insights into the topology of the early universe prior to inflation, for example by discriminating between flat and warped geometries. In this paper, we focus on [...] Read more.
The temperature and polarization anisotropies of the cosmic microwave background (CMB) as measured today can offer key insights into the topology of the early universe prior to inflation, for example by discriminating between flat and warped geometries. In this paper, we focus on a Kaluza–Klein model with an extra spatial dimension that compactifies at the Grand Unified Theory (GUT) epoch, subject to mixed Neumann/Dirichlet boundary conditions at fixed points. As a consequence, a set of Infrared (IR) cutoffs emerges in both the scalar and tensor spectra, leading to observable consequences in the CMB. We examine the possible signatures of such a topology in detail, particularly in relation to the even–odd parity imbalance already reported by the COBE, WMAP and Planck missions in the temperature angular correlations. Furthermore, we extend our analysis to the existing Planck E-mode polarization data and to the high-precision B-mode polarization measurements expected from the forthcoming LiteBIRD mission. Full article
(This article belongs to the Special Issue Universe: Feature Papers 2024—'Cosmology')
Show Figures

Figure 1

21 pages, 648 KB  
Article
Structural Implications of the Chameleon Mechanism on White Dwarfs
by Joan Bachs-Esteban, Ilídio Lopes and Javier Rubio
Universe 2025, 11(7), 237; https://doi.org/10.3390/universe11070237 - 20 Jul 2025
Cited by 1 | Viewed by 709
Abstract
We study the behaviour of the chameleon mechanism around white dwarfs and its impact on their structure. Using a shooting method of our own design, we solve the corresponding scalar–tensor equilibrium equations for a Chandrasekhar equation of state, exploring various energy scales and [...] Read more.
We study the behaviour of the chameleon mechanism around white dwarfs and its impact on their structure. Using a shooting method of our own design, we solve the corresponding scalar–tensor equilibrium equations for a Chandrasekhar equation of state, exploring various energy scales and couplings of the chameleon field to matter. For the considered parameter ranges, we find the chameleon field to be in a thick-shell configuration, identifying for the first time in the literature a similarity relation of the theory for the radially normalised scalar field gradient. Our analysis reveals that the chameleon mechanism alters the pressure gradient of white dwarfs, leading to a reduction in the stellar radii and masses and shifting the mass–radius curves below those predicted by Newtonian gravity. This also lowers the specific heat of white dwarfs, accelerating their cooling process. Finally, we derive parametric expressions from our results to expedite future analyses of white dwarfs in scalar–tensor theories. Full article
(This article belongs to the Section Compact Objects)
Show Figures

Figure 1

23 pages, 556 KB  
Review
Evolving Wormholes in a Cosmological Background
by Mahdi Kord Zangeneh and Francisco S. N. Lobo
Universe 2025, 11(7), 236; https://doi.org/10.3390/universe11070236 - 19 Jul 2025
Viewed by 896
Abstract
Wormholes are non-trivial topological structures that arise as exact solutions to Einstein’s field equations, theoretically connecting distinct regions of spacetime via a throat-like geometry. While static traversable wormholes necessarily require exotic matter that violates the classical energy conditions, subsequent studies have sought to [...] Read more.
Wormholes are non-trivial topological structures that arise as exact solutions to Einstein’s field equations, theoretically connecting distinct regions of spacetime via a throat-like geometry. While static traversable wormholes necessarily require exotic matter that violates the classical energy conditions, subsequent studies have sought to minimize such violations by introducing time-dependent geometries embedded within cosmological backgrounds. This review provides a comprehensive survey of evolving wormhole solutions, emphasizing their formulation within both general relativity and alternative theories of gravity. We explore key developments in the construction of non-static wormhole spacetimes, including those conformally related to static solutions, as well as dynamically evolving geometries influenced by scalar fields. Particular attention is given to the wormholes embedded into Friedmann–Lemaître–Robertson–Walker (FLRW) universes and de Sitter backgrounds, where the interplay between the cosmic expansion and wormhole dynamics is analyzed. We also examine the role of modified gravity theories, especially in hybrid metric–Palatini gravity, which enable the realization of traversable wormholes supported by effective stress–energy tensors that do not violate the null or weak energy conditions. By systematically analyzing a wide range of time-dependent wormhole solutions, this review identifies the specific geometric and physical conditions under which wormholes can evolve consistently with null and weak energy conditions. These findings clarify how such configurations can be naturally integrated into cosmological models governed by general relativity or modified gravity, thereby contributing to a deeper theoretical understanding of localized spacetime structures in an expanding universe. Full article
(This article belongs to the Special Issue Experimental and Observational Constraints on Wormhole Models)
Show Figures

Figure 1

14 pages, 612 KB  
Article
Lower Dimensional Black Holes in Nonlinear Electrodynamics: Causal Structure and Scalar Perturbations
by Rodrigo Dal Bosco Fontana
Universe 2025, 11(6), 197; https://doi.org/10.3390/universe11060197 - 19 Jun 2025
Viewed by 661
Abstract
We study the charged black-hole solutions of a 2 + 1 nonlinear electrodynamical theory with a cosmological constant. Considered as a one-parameter group of theories (the exponent of the squared Maxwell tensor), the causal structure of all possible black holes is scrutinized. We [...] Read more.
We study the charged black-hole solutions of a 2 + 1 nonlinear electrodynamical theory with a cosmological constant. Considered as a one-parameter group of theories (the exponent of the squared Maxwell tensor), the causal structure of all possible black holes is scrutinized. We analyze the singularity character that each theory delivers, together with their horizons and the plausible limitations in black-hole charges. The investigation demonstrates a rich structure of three different groups of theories according to the qualitative behavior of the singularity, horizons and limitations in the geometric charges. For such groups, we study the effect of a scalar field propagating in the spacetime of fixed black holes. All analyzed geometries are stable to such linear perturbations, evolving as usual quasinormal spectra of the black holes calculated for the different cases. Full article
(This article belongs to the Section Compact Objects)
Show Figures

Figure 1

19 pages, 3412 KB  
Article
Neutron Stars in the Theory of Gravity with Non-Minimal Derivative Coupling and Realistic Equations of State
by Pavel E. Kashargin, Alexander A. Lebedev and Sergey V. Sushkov
Symmetry 2025, 17(6), 910; https://doi.org/10.3390/sym17060910 - 9 Jun 2025
Viewed by 1374
Abstract
We numerically construct compact stars in the scalar–tensor theory of gravity with non-minimal derivative coupling of a scalar field to the curvature and nonzero cosmological constant. There are two free parameters in this model of gravity: the non-minimal derivative coupling parameter and [...] Read more.
We numerically construct compact stars in the scalar–tensor theory of gravity with non-minimal derivative coupling of a scalar field to the curvature and nonzero cosmological constant. There are two free parameters in this model of gravity: the non-minimal derivative coupling parameter and the cosmological constant parameter ξ. We study the relationship between the model parameters and characteristic of the neutron star, which allowed us to limit the permissible range of ξ and . In particular, in the case ξ=1, the external geometry of the neutron star coincides with the Schwarzschild–anti-de Sitter geometry, while the internal geometry of the star differs from the case of the standard gravity theory. Many realistic equations of the state of neutron star matter were considered. In general, the neutron star model in the theory of gravity with a non-minimal derivative coupling does not contradict astronomical data and is viable. Full article
(This article belongs to the Special Issue Feature Papers in 'Physics' Section 2025)
Show Figures

Figure 1

23 pages, 655 KB  
Article
Screening Mechanisms on White Dwarfs: Symmetron and Dilaton
by Joan Bachs-Esteban, Ilídio Lopes and Javier Rubio
Universe 2025, 11(5), 158; https://doi.org/10.3390/universe11050158 - 12 May 2025
Cited by 2 | Viewed by 825
Abstract
This work provides the first comparison of the symmetron and dilaton fields in white dwarfs. We show how these screening mechanisms behave inside such stars and their impact on stellar properties. Employing a custom-developed shooting method, we solve the scalar–tensor equilibrium equations in [...] Read more.
This work provides the first comparison of the symmetron and dilaton fields in white dwarfs. We show how these screening mechanisms behave inside such stars and their impact on stellar properties. Employing a custom-developed shooting method, we solve the scalar–tensor equilibrium equations in the Newtonian approximation. We consider a Chandrasekhar equation of state and examine a range of potential mass scales and coupling strengths for both fields. Both fields enhance the pressure drop in low-density white dwarfs, leading to smaller stellar masses, radii, and luminosities. Unlike chameleon models, their effects are suppressed in more massive stars, with symmetron fields fully decoupling and dilaton fields weakening but not vanishing. Consequently, no mass–radius curve for screened white dwarfs exceeds the Newtonian prediction in any of these three mechanisms. The mass–radius deviations are generally more pronounced at lower densities, depending on model parameters. Due to their common runaway potential, we confirm that dilaton and chameleon fields display similar field and gradient profiles. In contrast, due to their environment-dependent coupling, the dilaton and symmetron mechanisms exhibit stronger density-dependent screening effects. These findings highlight both phenomenological differences and theoretical similarities among these mechanisms, motivating asteroseismology studies to constrain the symmetron and dilaton parameter spaces. Full article
(This article belongs to the Special Issue Exotic Scenarios for Compact Astrophysical Objects)
Show Figures

Figure 1

13 pages, 1400 KB  
Article
Propagation of Tensor Perturbation in Horndeski-like Gravity
by Fabiano F. Santos and Jackson Levi Said
Symmetry 2025, 17(5), 675; https://doi.org/10.3390/sym17050675 - 28 Apr 2025
Cited by 2 | Viewed by 1329
Abstract
Scalar–tensor theories have shown promise in many sectors of cosmology. However, recent constraints from the speed of gravitational waves have put severe limits on the breadth of models such classes of theories can realize. In this work, we explore the possibility of a [...] Read more.
Scalar–tensor theories have shown promise in many sectors of cosmology. However, recent constraints from the speed of gravitational waves have put severe limits on the breadth of models such classes of theories can realize. In this work, we explore the possibility of a Horndeski Lagrangian that is equipped with two dilaton fields. The evolution of a two-dilaton coupled cosmology is not well known in the literature. We explore the tensor perturbations in order to assess the behavior of the model against the speed of the gravitational wave constraint. Our main result is that this model exhibits a class of cosmological theories that is consistent with this observational constraint. Full article
(This article belongs to the Special Issue Gravitational Physics and Symmetry)
Show Figures

Figure 1

22 pages, 335 KB  
Article
Non-Minimal Einstein–Dirac-Axion Theory: Spinorization of the Early Universe Induced by Curvature
by Alexander B. Balakin and Anna O. Efremova
Symmetry 2025, 17(5), 663; https://doi.org/10.3390/sym17050663 - 27 Apr 2025
Cited by 1 | Viewed by 862
Abstract
A new non-minimal version of the Einstein–Dirac-axion theory is established. This version of the non-minimal theory describing the interaction of gravitational, spinor, and axion fields is of the second order in derivatives in the context of the Effective Field Theory and is of [...] Read more.
A new non-minimal version of the Einstein–Dirac-axion theory is established. This version of the non-minimal theory describing the interaction of gravitational, spinor, and axion fields is of the second order in derivatives in the context of the Effective Field Theory and is of the first order in the spinor particle number density. The model Lagrangian contains four parameters of non-minimal coupling and includes, in addition to the Riemann tensor, Ricci tensor, and Ricci scalar, as well as left-dual and right-dual curvature tensors. The pseudoscalar field appears in the Lagrangian in terms of trigonometric functions providing the discrete symmetry associated with axions, which is supported. The coupled system of extended master equations for the gravitational, spinor, and axion fields is derived; the structure of new non-minimal sources that appear in these master equations is discussed. Application of the established theory to the isotropic homogeneous cosmological model is considered; new exact solutions are presented for a few model sets of guiding non-minimal parameters. A special solution is presented, which describes an exponential growth of the spinor number density; this solution shows that spinor particles (massive fermions and massless neutrinos) can be born in the early Universe due to the non-minimal interaction with the spacetime curvature. Full article
(This article belongs to the Special Issue Symmetry: Feature Papers 2025)
10 pages, 246 KB  
Article
Is Planckian Discreteness Observable in Cosmology?
by Gabriel R. Bengochea, Gabriel León and Alejandro Perez
Universe 2025, 11(5), 139; https://doi.org/10.3390/universe11050139 - 27 Apr 2025
Cited by 5 | Viewed by 1270
Abstract
A Planck scale inflationary era—in a quantum gravity theory predicting discreteness of quantum geometry at the fundamental scale—produces the scale-invariant spectrum of inhomogeneities with a very small tensor-to-scalar ratio of perturbations and a hot big bang leading to a natural dark matter genesis [...] Read more.
A Planck scale inflationary era—in a quantum gravity theory predicting discreteness of quantum geometry at the fundamental scale—produces the scale-invariant spectrum of inhomogeneities with a very small tensor-to-scalar ratio of perturbations and a hot big bang leading to a natural dark matter genesis scenario. Here, we evoke the possibility that some of the major puzzles in cosmology would have an explanation rooted in quantum gravity. Full article
(This article belongs to the Special Issue Universe: Feature Papers 2024—'Cosmology')
14 pages, 279 KB  
Article
K-Essence Sources of Kerr–Schild Spacetimes
by Bence Juhász and László Árpád Gergely
Universe 2025, 11(3), 100; https://doi.org/10.3390/universe11030100 - 17 Mar 2025
Cited by 1 | Viewed by 1188
Abstract
We extend a result by one of the authors, established for nonvacuum Einstein gravity, to minimally coupled k-essence scalar–tensor theories. First, we prove that in order to source a Kerr–Schild-type spacetime, the k-essence Lagrangian should be at most quadratic in the kinetic term. [...] Read more.
We extend a result by one of the authors, established for nonvacuum Einstein gravity, to minimally coupled k-essence scalar–tensor theories. First, we prove that in order to source a Kerr–Schild-type spacetime, the k-essence Lagrangian should be at most quadratic in the kinetic term. This is reduced to linear dependence when the Kerr–Schild null congruence is autoparallel. Finally, we show that solutions of the Einstein equations linearized in Kerr–Schild-type perturbations are also required to solve the full nonlinear system of Einstein equations, selecting once again k-essence scalar fields with linear Lagrangians in the kinetic term. The only other k-essence sharing the property of sourcing perturbative Kerr–Schild spacetimes, which are also exact, is the scalar field constant along the integral curves of the Kerr–Schild congruence, with the otherwise unrestricted Lagrangian. Full article
(This article belongs to the Section Gravitation)
Back to TopTop