Sign in to use this feature.

Years

Between: -

Subjects

remove_circle_outline
remove_circle_outline
remove_circle_outline
remove_circle_outline
remove_circle_outline
remove_circle_outline
remove_circle_outline
remove_circle_outline
remove_circle_outline

Journals

remove_circle_outline
remove_circle_outline
remove_circle_outline
remove_circle_outline

Article Types

Countries / Regions

remove_circle_outline
remove_circle_outline
remove_circle_outline
remove_circle_outline

Search Results (308)

Search Parameters:
Keywords = risk-constrained optimization

Order results
Result details
Results per page
Select all
Export citation of selected articles as:
22 pages, 4983 KB  
Article
The Nonlinear Dynamic Characteristics of Straddle Packer Fracturing Tool String Considering Collision Constraints
by Yujing Sun and Yongsheng Liu
Appl. Sci. 2026, 16(5), 2370; https://doi.org/10.3390/app16052370 (registering DOI) - 28 Feb 2026
Abstract
The straddle packer fracturing technique represents a core technology for reservoir stimulation in horizontal wells targeting deep shale gas formations. However, the fracturing string constrained by dual packers is highly susceptible to severe vibrations induced by high-pressure pulsating fluid flow, which subsequently leads [...] Read more.
The straddle packer fracturing technique represents a core technology for reservoir stimulation in horizontal wells targeting deep shale gas formations. However, the fracturing string constrained by dual packers is highly susceptible to severe vibrations induced by high-pressure pulsating fluid flow, which subsequently leads to collisions between the string and the casing. These collisions may compromise the sealing integrity of the packers or cause fatigue damage to the string. The existing design of packer spacing primarily relies on static mechanical experience and lacks the support of nonlinear dynamics theory. As a result, it is difficult to maximize operational efficiency while ensuring safety. Therefore, this paper establishes a fluid–solid coupling fracturing string model that takes into account fluid pulsation, geometric nonlinearity and gap collision constraints. Using the Galerkin discretization and the fourth-order Runge–Kutta algorithm, the influence laws of packer spacing and flow rate on the system stability are systematically studied. Studies have shown that the spacing of packers non-monotonically controls the system stability. Both too short or too long packer spacings will induce chaotic instability. However, there exists a highly robust, stable contact window near the ratio. Within this interval, the fracturing string is locked onto a stable period-doubling orbit. Based on this proposed optimization criterion, compared with the traditional conservative design, the spacing of the packers can be extended by approximately 90%. This not only avoids the risk of chaos but also significantly improves the efficiency of the fracturing operation. Full article
14 pages, 1006 KB  
Article
The Predictive Value of TyG-BMI and TG/HDL-C for Metabolic Dysfunction-Associated Steatotic Liver Disease in Obstructive Sleep Apnea: A Single-Center Retrospective Cohort Analysis
by Furong Lv, Tong Li, Fei Zou, Xiuli Chen, Haiying Tang and Jingwei Mao
J. Clin. Med. 2026, 15(5), 1859; https://doi.org/10.3390/jcm15051859 (registering DOI) - 28 Feb 2026
Abstract
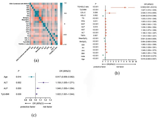
Background/Objectives: This study aimed to evaluate the predictive value of the triglyceride-glucose index with body mass index (TyG-BMI) and the triglyceride-to-high-density lipoprotein-cholesterol (TG/HDL-C) ratio for predicting the occurrence of metabolic dysfunction-associated steatotic liver disease (MASLD) in obstructive sleep apnea (OSA). Methods: [...] Read more.
Background/Objectives: This study aimed to evaluate the predictive value of the triglyceride-glucose index with body mass index (TyG-BMI) and the triglyceride-to-high-density lipoprotein-cholesterol (TG/HDL-C) ratio for predicting the occurrence of metabolic dysfunction-associated steatotic liver disease (MASLD) in obstructive sleep apnea (OSA). Methods: Data from patients diagnosed with OSA were analyzed in this retrospective cohort study. The participants were stratified into two groups: OSA alone and OSA with MASLD. The clinical characteristics and polysomnography data were collected. TyG-BMI and TG/HDL-C ratios were categorized into tertiles. Logistic regression and receiver operating characteristic (ROC) curve analyses were conducted to identify risk factors and assess their predictive performance for MASLD in OSA. Results: Among the 133 patients with OSA, 104 (78.2%) were diagnosed with MASLD. Multivariate analysis identified alanine aminotransferase (ALT), alkaline phosphatase, and TyG-BMI as independent risk factors for MASLD development in patients with OSA. Both TyG-BMI and TG/HDL-C ratio were significant predictors of MASLD in this patient population. The optimal cut-off values for TyG-BMI and TG/HDL-C ratio were 0.546 (sensitivity, 79.6%; specificity, 75.0%) and 0.539 (sensitivity, 93.2%; specificity, 60.7%), respectively. Combining TyG-BMI with ALT improved the predictive accuracy, yielding a cutoff of 0.696 (sensitivity, 76.7%; specificity, 92.9%). Similarly, the combination of TG/HDL-C ratio with ALT resulted in a cutoff value of 0.728 (sensitivity, 83.5%; specificity, 89.3%). Conclusions: TyG-BMI and the TG/HDL-C ratio are effective predictors of MASLD in patients with OSA. A combined model incorporating these indices with ALT levels demonstrated enhanced predictive accuracy for MASLD in this population. These indices are well-suited for risk stratification in resource-constrained settings facing a rising dual burden of OSA and MASLD. Full article
Show Figures

Figure 1

46 pages, 8567 KB  
Article
Power System Resource Adequacy Assessment and Capacity Remuneration Mechanism Considering Spatiotemporal Correlation of Generation and Load
by Zekai Yuan, Liang Feng, Peng An, Chuanliang Xiao, Ying Mu and Jiajia Chen
Sustainability 2026, 18(5), 2300; https://doi.org/10.3390/su18052300 - 27 Feb 2026
Abstract
To address heightened source–load uncertainty and strengthened spatiotemporal dependence under high-penetration wind and photovoltaic integration, and to support a low-carbon and sustainable transition of power systems without compromising reliability, this study aims to develop a practical framework that converts spatiotemporally correlated uncertainty into [...] Read more.
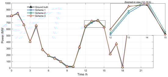
To address heightened source–load uncertainty and strengthened spatiotemporal dependence under high-penetration wind and photovoltaic integration, and to support a low-carbon and sustainable transition of power systems without compromising reliability, this study aims to develop a practical framework that converts spatiotemporally correlated uncertainty into actionable inputs for adequacy evaluation and reliability-constrained capacity-compensation decisions. First, a spatiotemporally correlated joint source–load forecasting model is established to generate statistically consistent joint uncertainty scenarios for operational risk analysis. Second, system adequacy is quantified using Loss of Load Probability and Expected Energy Not Served, and the computational burden is reduced through typical-day/representative-scenario construction with probability weighting, enabling efficient yet risk-preserving adequacy assessment. Finally, a risk-driven unified capacity-compensation clearing model is formulated that incorporates resource marginal costs and an unserved-energy penalty, while enforcing explicit reliability constraints to obtain economically optimal compensation decisions. Case studies demonstrate that the proposed framework effectively mitigates loss-of-load risk and improves both the economic performance and computational efficiency of compensation clearing. These results can support system operators and market operators in scenario-based adequacy studies and reliability-constrained clearing, and provide regulators and planners with quantitative evidence for designing capacity-remuneration mechanisms that facilitate secure renewable integration and sustainable power system operation. Full article
Show Figures

Figure 1

31 pages, 1917 KB  
Article
City-Scale Intelligent Scheduling of EV Charging and Vehicle-to-Grid Under Renewable Variability
by Bo Cao, Ge Chen, Xinyu He and Junxiao Ren
World Electr. Veh. J. 2026, 17(3), 110; https://doi.org/10.3390/wevj17030110 - 24 Feb 2026
Viewed by 108
Abstract
Rapid electrification of road transport and growing shares of variable renewable generation are pushing urban low-voltage feeders toward their operating limits. Uncoordinated electric vehicle (EV) charging can create transformer overloads, voltage violations, and unfair delays, while most existing smart charging schemes either ignore [...] Read more.
Rapid electrification of road transport and growing shares of variable renewable generation are pushing urban low-voltage feeders toward their operating limits. Uncoordinated electric vehicle (EV) charging can create transformer overloads, voltage violations, and unfair delays, while most existing smart charging schemes either ignore distribution network constraints or treat fairness and risk in an ad hoc way. This paper proposes a city-scale hierarchical scheduling framework that coordinates EV charging and vehicle-to-grid (V2G) services under renewable variability. In the upper layer, a LinDistFlow-based optimal power flow computes feeder-constrained power envelopes and shadow prices over a rolling horizon, capturing transformer and voltage limits under photovoltaic (PV) uncertainty. In the lower layer, each station solves a queue-aware receding-horizon optimization that allocates charging/V2G set points across plugs using α-fair and lexicographic objectives, with conditional value-at-risk (CVaR) constraints on waiting times and state-of-charge (SoC) shortfalls. A digital twin of a medium-sized city with 24 stations (238 plugs) on five feeders and PV shares between 25% and 55% is used for evaluation. Compared with uncoordinated charging and myopic baselines, the proposed scheduler reduces feeder peak loading and PV curtailment while improving user experience and equity: average waits and 90% CVaR of waits are lowered, the Gini coefficient of waiting times drops (e.g., from 0.31 to 0.22), and SoC shortfalls are significantly reduced, all while respecting voltage limits. Each receding-horizon step executes in under 30 s on commodity hardware, indicating that the framework is practical for real-time deployment in city-scale smart charging platforms. Full article
(This article belongs to the Section Charging Infrastructure and Grid Integration)
Show Figures

Graphical abstract

24 pages, 2038 KB  
Article
Evaluating the Managerial Feasibility of an AI-Based Tooth-Percussion Signal Screening Concept for Dental Caries: An In Silico Study
by Stefan Lucian Burlea, Călin Gheorghe Buzea, Irina Nica, Florin Nedeff, Diana Mirila, Valentin Nedeff, Lacramioara Ochiuz, Lucian Dobreci, Maricel Agop and Ioana Rudnic
Diagnostics 2026, 16(4), 638; https://doi.org/10.3390/diagnostics16040638 - 22 Feb 2026
Viewed by 254
Abstract
Background: Early detection of dental caries is essential for effective oral health management. Current diagnostic workflows rely heavily on radiographic imaging, which involves infrastructure requirements, workflow coordination, and resource considerations that may limit frequent use in high-throughput or resource-constrained settings. These contextual factors [...] Read more.
Background: Early detection of dental caries is essential for effective oral health management. Current diagnostic workflows rely heavily on radiographic imaging, which involves infrastructure requirements, workflow coordination, and resource considerations that may limit frequent use in high-throughput or resource-constrained settings. These contextual factors motivate exploration of adjunct screening concepts that could support front-end triage decisions within existing care pathways. This study evaluates, in simulation, whether modeled tooth-percussion response signals contain sufficient discriminative information to justify further translational and managerial investigation. Implementation costs, workflow optimization, and economic outcomes are not evaluated directly; rather, the objective is to assess whether the technical preconditions for a potentially scalable screening concept are satisfied under controlled in silico conditions. Methods: An in silico model of tooth percussion was developed in which enamel, dentin, and pulp/root structures were represented as a simplified layered mechanical system. Impulse responses generated from simulated tapping were used to compute the modeled surface-vibration response (enamel-layer displacement), which served as a proxy for a measurable percussion-related signal (e.g., contact vibration), rather than a recorded acoustic waveform. Carious conditions were simulated through depth-dependent reductions in stiffness and effective mass and increases in damping to represent enamel and dentin demineralization. A synthetic dataset of labeled simulated signals was generated under varying structural parameters and measurement-noise assumptions. Machine-learning models using Mel-frequency cepstral coefficient (MFCC) features were trained to classify healthy teeth, enamel caries, and dentin caries at a screening (triage) level. Results: Under baseline simulation conditions, the classifier achieved an overall accuracy of 0.97 with balanced macro-averaged F1-score (0.97). Misclassifications occurred primarily between healthy and enamel-caries categories, whereas dentin-caries cases were most consistently identified. When measurement noise and structural variability were increased, performance declined gradually, reaching approximately 0.90 accuracy under the most challenging simulated scenario. These results indicate that discriminative information is present within the modeled signals at a screening (triage) level, meaning that higher-risk categories can be distinguished probabilistically rather than with definitive diagnostic certainty. Sensitivity and specificity trade-offs were not optimized in this study, as the objective was to assess separability rather than to define clinical decision thresholds. Conclusions: Within the constraints of the in silico model, simulated tooth-percussion response signals demonstrated discriminative patterns between healthy, enamel caries, and dentin caries categories at a screening (triage) level. These findings establish technical plausibility under controlled simulation conditions and support further investigation of percussion-based screening as a potential adjunct to clinical assessment. From a healthcare management perspective, the present results address a prerequisite question—whether such signals contain sufficient information to justify translational research, rather than demonstrating workflow optimization, cost reduction, or system-level impact. Clinical validation, threshold optimization, and implementation studies are required before managerial or operational benefits can be evaluated. Full article
(This article belongs to the Section Machine Learning and Artificial Intelligence in Diagnostics)
Show Figures

Figure 1

32 pages, 1589 KB  
Article
Aircraft Conceptual Design for Cloud Seeding: A Comparative Study of Recent Many-Objective Metaheuristics
by Pakin Champasak, Pathawee Kunakorn-ong, Yodsadej Kanokmedhakul, Sujin Bureerat, Nantiwat Pholdee and Natee Panagant
Aerospace 2026, 13(2), 202; https://doi.org/10.3390/aerospace13020202 - 22 Feb 2026
Viewed by 181
Abstract
Water scarcity and increasing climate variability have strengthened the demand for effective weather-modification technologies such as cloud seeding. In Thailand, conventional manned rainmaking aircraft remain constrained by operational range, safety risks, and sustainability considerations, motivating the development of electric vertical take-off and landing [...] Read more.
Water scarcity and increasing climate variability have strengthened the demand for effective weather-modification technologies such as cloud seeding. In Thailand, conventional manned rainmaking aircraft remain constrained by operational range, safety risks, and sustainability considerations, motivating the development of electric vertical take-off and landing unmanned aerial vehicles (eVTOL-UAVs). This paper proposes a mission-driven conceptual design and optimization framework for a cloud-seeding eVTOL-UAV, and extends it to reliability-based design optimization (RBDO) under uncertainty. The design task is formulated as a five-objective many-objective optimization problem with the following objectives: minimizing take-off weight, turn radius, and probability of failure, while maximizing endurance and climb rate, subject to stability/control and performance constraints. Ten state-of-the-art many-objective metaheuristics are benchmarked and solve the problem, and their performance is assessed using hypervolume (HV), inverted generational distance (IGD), runtime, and Friedman rank statistics. Results show that AGEMOEAII and PREA consistently provide the most competitive solution-set quality (HV/IGD) with comparable computational cost across algorithms. A deterministic–reliability comparison further demonstrates a clear robustness gap. Five representative Pareto designs from the best-performing optimizer are reported to illustrate practical trade-offs and support decision-making for sustainable, autonomous cloud-seeding operations. Full article
Show Figures

Figure 1

21 pages, 905 KB  
Systematic Review
Artificial Intelligence for Drug Safety Across the Lifecycle and Decision Type: A Scoping Review
by Tae Woo Kim, Sihyeon Park and Miryoung Kim
Pharmaceuticals 2026, 19(2), 334; https://doi.org/10.3390/ph19020334 - 19 Feb 2026
Viewed by 383
Abstract
Background/Objectives: Artificial intelligence (AI) is increasingly applied to drug safety evaluation, yet evidence is dispersed across lifecycle stages and tasks. This scoping review aimed to (1) map how AI supports safety- and treatment-related decision types across the drug lifecycle, and (2) examine [...] Read more.
Background/Objectives: Artificial intelligence (AI) is increasingly applied to drug safety evaluation, yet evidence is dispersed across lifecycle stages and tasks. This scoping review aimed to (1) map how AI supports safety- and treatment-related decision types across the drug lifecycle, and (2) examine evaluation strategies used to assess model reliability for clinical or regulatory use. Methods: Using Arksey and O’Malley’s framework, we searched a major database for studies published in the past decade that applied AI or machine learning to drug safety or medication-related decisions. After screening, we extracted data on lifecycle stage, decision type, AI methods, data sources, and evaluation strategies. A lifecycle–decision matrix was constructed to characterize application patterns. Results: AI applications were concentrated in real-world clinical care × patient-level safety prediction and post-marketing × safety surveillance, using EHRs, spontaneous reporting systems, and clinical text. Common methods included gradient boosting, deep neural networks, graph neural networks, and natural language processing models. This concentration reflects structural incentives favoring safety-oriented applications with readily available data and lower decision liability. Evidence for treatment optimization, regulatory decision modeling, and evidence synthesis was limited. Most studies used internal validation; external validation and real-world deployment were uncommon, indicating early methodological maturity and limited translational readiness. Conclusions: AI demonstrates strong potential to enhance drug safety—particularly in risk prediction and pharmacovigilance—but its use remains uneven across the lifecycle. By situating AI applications within explicit lifecycle stages and decision contexts, this review clarifies where progress has advanced, where translation has stalled, and why these gaps persist. Limited external validation and minimal real-world testing constrain clinical and regulatory adoption. These findings suggest that external validation and real-world testing may contribute to further advances in AI for drug safety. Full article
(This article belongs to the Section Pharmacology)
Show Figures

Graphical abstract

22 pages, 1487 KB  
Systematic Review
Urban Blue Spaces and Urban Heat Island Mitigation: A Bibliometric and Systematic Review of Spatiotemporal Dynamics, Morphology, and Planning Integration
by Jinhua Li, Limei Wang, Xubin Xie and Xin Zhang
Buildings 2026, 16(4), 834; https://doi.org/10.3390/buildings16040834 - 19 Feb 2026
Viewed by 246
Abstract
Urban blue spaces, including rivers, lakes, and ponds, are increasingly recognized as nature-based solutions for mitigating the Urban Heat Island (UHI) effect. However, fragmented evidence and inconsistent evaluation frameworks have limited their effective integration into climate-adaptive urban planning. This study conducts a comprehensive [...] Read more.
Urban blue spaces, including rivers, lakes, and ponds, are increasingly recognized as nature-based solutions for mitigating the Urban Heat Island (UHI) effect. However, fragmented evidence and inconsistent evaluation frameworks have limited their effective integration into climate-adaptive urban planning. This study conducts a comprehensive bibliometric analysis and systematic review to synthesize current knowledge on the cooling effects of urban blue spaces. A total of 110 peer-reviewed publications published between 2015 and 2025 were retrieved from the Web of Science Core Collection and analyzed using the Bibliometric-Systematic Literature Review (B-SLR) framework. The results reveal a rapidly growing research field characterized by increasing interdisciplinary integration. Evidence consistently indicates that the cooling effects of blue spaces exhibit pronounced diurnal and seasonal variability, highlighting a “diurnal paradox” of daytime cooling versus nighttime warming risks, with stronger impacts in summer than in winter. Cooling performance is governed by non-linear morphological thresholds regarding size, shape, spatial configuration, and upwind location, where aerodynamic ventilation is critical for extending the cooling range. Moreover, the interaction between blue spaces, building morphology (gray infrastructure), and green infrastructure plays a decisive role: specific density thresholds in built environments can constrain cooling diffusion, whereas synergistic blue–green integration significantly enhances thermal regulation through coupled evaporative, shading, and ventilation processes. Overall, this review demonstrates a clear shift from isolated temperature-based assessments toward systemic, planning-oriented approaches emphasizing multi-scale integration and context-sensitive design. The findings provide operational parameters and demand-based strategies for optimizing blue infrastructure in climate-resilient urban planning. Full article
Show Figures

Figure 1

23 pages, 2771 KB  
Article
Mathematical Modeling for Contagious Dental Health Issue: An Early Study of Streptococcus mutans Transmission
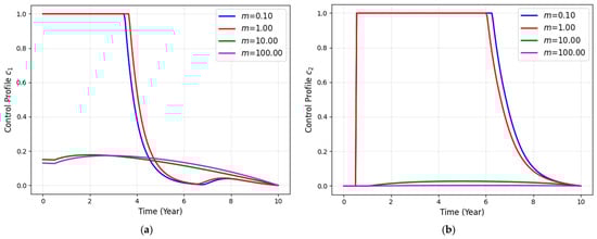
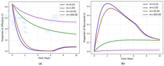
by Sanubari Tansah Tresna, Nursanti Anggriani, Herlina Napitupulu, Wan Muhamad Amir W. Ahmad and Asty Samiati Setiawan
Mathematics 2026, 14(4), 704; https://doi.org/10.3390/math14040704 - 17 Feb 2026
Viewed by 140
Abstract
Dental caries is an example of an oral infectious disease that affects many people worldwide, but it is not well studied in deterministic mathematical modeling. Therefore, we are interested in studying the dynamics of tooth cavity disease using a deterministic modeling approach. We [...] Read more.
Dental caries is an example of an oral infectious disease that affects many people worldwide, but it is not well studied in deterministic mathematical modeling. Therefore, we are interested in studying the dynamics of tooth cavity disease using a deterministic modeling approach. We propose a delay differential equation system (DDEs) to describe the phenomenon. The breakthrough of the constructed model is the formulation of the recovery rate as a saturation function constrained by healthcare capacity and the plausibility of caries reformation. In addition, we consider two controls, such as a health campaign and a post-treatment intervention. The mathematical analysis yields equilibrium solutions and their stability, which is determined by the basic reproduction number R0. Furthermore, backward bifurcation occurs as the medical facility’s capacity decreases, driven by an increasing infectious population. The sensitivity analysis results indicate that both considered controls are the most influential parameters. The optimal control problem is formulated using the Pontryagin Maximum Principle to obtain an optimal solution in suppressing the number of caries formation cases. At the end, a numerical simulation shows that interventions reduce the risk of transmission and suppress the number of infectious individuals. The constructed model has excellent future potential, such as generating a function for relapse cases or other preventive actions into an optimal control problem. Full article
(This article belongs to the Section E3: Mathematical Biology)
Show Figures

Figure 1

20 pages, 1282 KB  
Article
Graph Neural Network-Guided TrapManager for Critical Path Identification and Decoy Deployment
by Rui Liu, Guangxia Xu and Zhenwei Hu
Mathematics 2026, 14(4), 683; https://doi.org/10.3390/math14040683 - 14 Feb 2026
Viewed by 202
Abstract
Static honeypot deployment and one-shot attack-path analysis often become ineffective against adaptive adversaries because fixed decoy layouts are easy to fingerprint and risk estimates quickly go stale. This paper presents a unified, mathematically grounded TrapManager framework that couples graph representation learning with budget-constrained [...] Read more.
Static honeypot deployment and one-shot attack-path analysis often become ineffective against adaptive adversaries because fixed decoy layouts are easy to fingerprint and risk estimates quickly go stale. This paper presents a unified, mathematically grounded TrapManager framework that couples graph representation learning with budget-constrained combinatorial optimization for dynamic cyber deception. We model attacker progression on vulnerability-based attack graphs and learn context-aware node embeddings using a Graph Attention Network (GAT) that fuses vulnerability-driven risk signals (e.g., CVSS-derived node scores) with structural features. The learned representations are used to estimate edge plausibility and rank candidate source–target routes at the path level. Given limited resources, we formulate pointTrap placement as a Mixed-Integer Programming (MIP) problem that maximizes the expected interception of high-risk paths while penalizing deployment cost under explicit budget constraints, including mandatory coverage of the top-ranked critical paths. To enable online adaptiveness, a pointTrap-triggered, event-driven feedback mechanism locally amplifies risk around alerted regions, updates path weights without retraining the GAT, and re-solves the MIP for rapid redeployment. Experiments on MulVAL-generated benchmark attack graphs and cross-domain transfer settings demonstrate fast convergence, strong discrimination between attack and non-attack edges, and early interception within a small number of hops even with minimal decoy budgets. Overall, the proposed framework provides a scalable and resource-efficient approach to closed-loop attack-path defense by integrating attention-based learning and integer optimization. Full article
Show Figures

Figure 1

23 pages, 4268 KB  
Article
Enhanced Rougher Recovery of Ultrafine Molybdenum Tailings Using a Novel Pilot-Scale Turbulent Micro-Vortex Mineralizer
by Yande Chao, Zhiyang Li, Juntao Chen, Hao Xue, Jianguo Yang, Bin Lin, Bolong Zhang, Haijun Zhang and Hainan Wang
Minerals 2026, 16(2), 201; https://doi.org/10.3390/min16020201 - 14 Feb 2026
Viewed by 245
Abstract
Constrained by the low grade and poor floatability of the run-of-mine ore, the beneficiation of porphyry-type copper–molybdenum sulfide ores generates large quantities of molybdenum tailings, leading to significant environmental risks and resource losses and necessitating urgent recovery and reutilization. In this study, a [...] Read more.
Constrained by the low grade and poor floatability of the run-of-mine ore, the beneficiation of porphyry-type copper–molybdenum sulfide ores generates large quantities of molybdenum tailings, leading to significant environmental risks and resource losses and necessitating urgent recovery and reutilization. In this study, a representative sample of molybdenum tailings with a Mo grade of 0.354% was investigated to analyze its process mineralogy. The results show that molybdenite predominantly exists as fine, flaky particles intimately intergrown with quartz, pyrite, and aluminosilicate minerals, exhibiting an extremely low degree of liberation and an overall ultrafine particle size. Laboratory flotation tests show that the flotation kinetics conform to a first-order model; however, a considerable amount of molybdenum remains in the tailings, indicating that the mineralization process needs to be intensified. Through structural optimization and confined-space design, a vortex-based mineralization reactor was developed. Computational fluid dynamics simulations demonstrate that the mineralizer can generate flow fields with high turbulence intensity and dissipation rates and can induce high-energy, small-scale micro-vortices. On this basis, a semi-industrial rougher flotation system was established by coupling the developed mineralizer with a flotation column. Under optimized operating conditions, namely a feed pressure of 0.06 MPa and an impeller frequency of 20 Hz, single-stage treatment of the tailings produced molybdenum concentrates with a grade of 1.90% and a recovery of 81.29%, while the Mo grade of the tailings was reduced to 0.08%. The results are markedly superior to those obtained using a conventional laboratory flotation cell, demonstrating a substantial enhancement in mineralization efficiency and molybdenum recovery. The proposed approach, therefore, provides a practical reference for the flotation recovery of molybdenum tailings as well as other micro-fine, low-grade metal tailings. Full article
(This article belongs to the Special Issue Kinetic Characterization and Its Applications in Mineral Processing)
Show Figures

Figure 1

23 pages, 8560 KB  
Article
Recognition of Building Structural Types Using Multisource Remote Sensing Data and Prior Knowledge
by Lili Wang, Jidong Wu, Yachun He and Youtian Yang
Remote Sens. 2026, 18(4), 597; https://doi.org/10.3390/rs18040597 - 14 Feb 2026
Viewed by 142
Abstract
Accurate identification of building structural types (BSTs) is essential for seismic vulnerability assessment and disaster risk management. Traditional field survey methods are constrained by high costs, low efficiency, and limited scalability. Although remote sensing-based approaches offer strong potential for large area applications, they [...] Read more.
Accurate identification of building structural types (BSTs) is essential for seismic vulnerability assessment and disaster risk management. Traditional field survey methods are constrained by high costs, low efficiency, and limited scalability. Although remote sensing-based approaches offer strong potential for large area applications, they are often hindered by limited spatial resolution, spectral confusion, and difficulties in capturing information related to internal building structures. To address these limitations, this study proposes a BST classification approach that integrates remote sensing image features with multisource prior knowledge. In addition to conventional remote sensing features derived from building shape, spectral, and texture, multiple types of prior information are incorporated to compensate for the insufficient structural discriminative capability of remote sensing imagery alone. These include distance to roads, terrain conditions, building height, population, gross domestic product (GDP), and nighttime light intensity. Considering the limited number of labeled samples and the high dimensionality of features, fourteen mainstream machine learning algorithms are systematically evaluated. Through feature selection and model optimization, XGBoost is identified as the most effective classifier, achieving the highest weighted F1 score of 78.62%. The results demonstrate that, under the same machine learning model settings, models trained solely on remote sensing features consistently underperform those integrating multisource features combined with feature selection, confirming the effectiveness of synergistically fusing remote sensing features with prior knowledge for improving overall BST classification performance. Further analyses demonstrate that different groups of remote sensing features and prior knowledge are associated with reductions in misclassification between specific BSTs. Compared with approaches based exclusively on remote sensing imagery, the proposed method exhibits higher and more balanced classification performance across different BSTs, with particularly notable advantages for structure categories that are difficult to distinguish using single-source remote sensing features. This study provides the foundation for subsequent seismic vulnerability analysis and related risk studies. Full article
Show Figures

Figure 1

27 pages, 3518 KB  
Article
Eco-Mechanical Optimization of Composite-Amended Sandy Substrate for Alhagi sparsifolia in Arid Regions
by Meixue Zhang, Qinglin Li, Xiaofei Yang, Penghu Feng, Wenjuan Chen and Guang Yang
Plants 2026, 15(4), 605; https://doi.org/10.3390/plants15040605 - 14 Feb 2026
Viewed by 221
Abstract
In response to the problems of loose soil structure and insufficient water and nutrient retention capacity of sandy bank slopes in arid regions, which constrain vegetation establishment and long-term slope stability, this study focuses on typical sandy soils in arid northwestern China. The [...] Read more.
In response to the problems of loose soil structure and insufficient water and nutrient retention capacity of sandy bank slopes in arid regions, which constrain vegetation establishment and long-term slope stability, this study focuses on typical sandy soils in arid northwestern China. The desert plant Alhagi sparsifolia, characterized by clonal root sucker reproduction, was selected as the study species to construct and optimize a composite-amended sandy substrate suitable for ecological restoration of bank slopes. Based on an orthogonal experimental design, carboxymethyl cellulose sodium (CMC), straw fibers (SF), and fly ash (FA) were combined at different proportions to assess (i) the vertical distribution of soil water and nutrients in the A. sparsifolia growth habitat, (ii) aggregate structure, (iii) plant trait responses to environmental regulation, and (iv) the shear strength of root–soil composites. The results indicate that when the contents of CMC, SF, and FA were 0.5%, 1.0%, and 5.0%, respectively, the substrate environment promoted a vertically oriented root system with pronounced lateral root development in A. sparsifolia, and the plants adopted an adaptive strategy that balances resource acquisition efficiency and environmental constraints by regulating aboveground growth allocation. This growth pattern reduced the risk of disturbances to slope stability caused by excessive aboveground biomass while maintaining the sand-fixing function of root morphological traits. This study provides a plant functional trait-based regulation strategy for ecological restoration of typical sandy slopes in arid regions, and the proposed composite substrate optimization scheme offers a feasible reference for improving vegetation establishment and substrate performance in sandy habitats. Full article
Show Figures

Figure 1

23 pages, 2424 KB  
Article
High-Time-Resolution Aerosol Chemistry and Machine-Learning Sensitivity Reveal a Highland Triad Mechanism Driving PM2.5 in Xining (Qinghai–Tibet Plateau)
by Zihong Liang, Xiaofeng Hu, Anan Qi, Guojuan Qu, Weijun Song and Chunyan Sun
Atmosphere 2026, 17(2), 200; https://doi.org/10.3390/atmos17020200 - 13 Feb 2026
Viewed by 320
Abstract
Fine particulate matter (PM2.5) formation mechanisms in fragile highland ecosystems remain inadequately constrained, particularly regarding thermodynamic non-linearities (aerosol pH, liquid water content) and their interaction with geochemical modulation. Here, we present comprehensive year-long online measurements from Xining, Qinghai-Tibet Plateau, integrating hourly [...] Read more.
Fine particulate matter (PM2.5) formation mechanisms in fragile highland ecosystems remain inadequately constrained, particularly regarding thermodynamic non-linearities (aerosol pH, liquid water content) and their interaction with geochemical modulation. Here, we present comprehensive year-long online measurements from Xining, Qinghai-Tibet Plateau, integrating hourly measurements of water-soluble ions, inorganic elements, and gaseous precursors with ISORROPIA-II thermodynamic modeling and ensemble machine learning. Median pH was 4.38 but exhibited two distinct pH regimes (14.8% pH < 3.0, 11.5% pH > 7.2), with acute acidification enhancing toxic metal solubility (Fe, Pb by 3-5×), and it posed distinct ecological risks. Our analysis reveals a distinct “highland mechanism triad” governing PM2.5 dynamics: (1) winter meteorological confinement amplifying dust-catalyzed sulfate formation (SOR = 0.68); (2) spring alkaline dust buffering (pH > 7.2) that titrates NH3 and suppresses nitrate formation (NOR < 0.10); and (3) summer photochemical oxidation constrained by chronic NH3 limitation within an oxidant-excess regime. Random Forest achieved optimal prediction for the chemically active inorganic fraction (RMSE = 6.63 μg/m3, R2 = 0.91) by learning regime-specific non-linearities, with local sensitivity analysis identifying Ca2+, SO42−, and Al as chemically sensitive drivers (S > 0.35) while revealing NH3’s seasonally variable influence (rank 15 in winter, significant in summer; S > 0.28), subsequently complemented by global SHAP analysis, which further revealed NO3 as the most robust predictor (ranking 1st–2nd) and captured NH3’s non-linear threshold effects (). Positive Matrix Factorization apportioned secondary aerosols (30.11%) within a unique alkaline–dust matrix. These findings demonstrate that highland PM2.5 inorganic chemistry operates through fundamentally different pathways than lowland photochemical haze, with acid-induced toxic metal activation providing a new target for ecological protection in this fragile ecosystem. Seasonally adaptive mitigation is required: concurrent SO2-NH3 control in winter, dust suppression infrastructure in spring, and agricultural NH3 capture in summer. This integrated framework provides a transferable methodology for air-quality management in alkaline dust-dominated, NH3-limited highland ecosystems (>2000 m). Full article
Show Figures

Figure 1

23 pages, 6187 KB  
Article
Degradation Mechanisms and Service Life Prediction of High-Performance Rubber Seals for Near-Space Unmanned Platforms
by Chunlian Duan, Hui Feng, Tianjin Cheng, Yanchu Yang, Yuanyu Liu, Jinghui Gao, Chen Li, Qing Hao, Xiang Ma, Yongxiang Li and Xiaohui He
Aerospace 2026, 13(2), 178; https://doi.org/10.3390/aerospace13020178 - 13 Feb 2026
Viewed by 185
Abstract
Low-Speed near-space aerostats (e.g., stratospheric airships and high-altitude balloons) are low-speed unmanned aerial vehicles (UAVs) extensively utilized in communication coverage, remote sensing applications, environmental monitoring, aviation support, and other fields. A paramount challenge constraining their precise and stable operation is the leakage of [...] Read more.
Low-Speed near-space aerostats (e.g., stratospheric airships and high-altitude balloons) are low-speed unmanned aerial vehicles (UAVs) extensively utilized in communication coverage, remote sensing applications, environmental monitoring, aviation support, and other fields. A paramount challenge constraining their precise and stable operation is the leakage of buoyant gas, such as helium (He), in the harsh and unpredictable near-space environment. One of the primary causes of gas leakage is the degradation of their dedicated sealing rings. This study aims to clarify the aging mechanisms of high-performance rubber seals in near-space environments and establish a reliable service life prediction model to address the gas leakage risk of unmanned platforms. Two widely used high-performance rubber materials—ethylene propylene diene monomer (EPDM) and chloroprene rubber (CR)—were subjected to accelerated aging experiments under simulated near-space environment conditions. Their degradation was then quantified through performance degradation characterization, covering mass loss, hardness, elastic deformation, and tensile strength. A predictive model was established to estimate the mass loss rates and service life of the seals. The model revealed that EPDM exhibits superior performance to CR under near-space conditions: the aging behavior is strongly dependent on material composition, thickness, and preload, while being independent of outer diameter. Results show EPDM seals have a near-space service life of 300 days (50% longer than CR’s 200 days), with aging dependent on material composition, thickness (2 mm seals degrade 110% slower than 0.5 mm ones), and preload, but independent of outer diameter. These results provide actionable design guidelines for optimizing seal materials and geometries in aerostat pressure systems, thereby advancing the development of innovative low-speed UAV technologies and the successful application of these technologies in the emerging near-space field. These findings and the proposed methodology are directly applicable to sealing system optimization for various near-space unmanned platforms (e.g., stratospheric UAVs, high-altitude autonomous balloons), enhancing their long-duration operational reliability and mission success rate in extreme environments. Full article
(This article belongs to the Section Astronautics & Space Science)
Show Figures

Figure 1

Back to TopTop