Sign in to use this feature.

Years

Between: -

Subjects

remove_circle_outline
remove_circle_outline
remove_circle_outline
remove_circle_outline
remove_circle_outline
remove_circle_outline
remove_circle_outline

Journals

Article Types

Countries / Regions

Search Results (36)

Search Parameters:
Keywords = rhizobium endophytes

Order results
Result details
Results per page
Select all
Export citation of selected articles as:
23 pages, 3378 KB  
Article
Fungal Endophyte Comprehensively Orchestrates Nodulation and Nitrogen Utilization of Legume Crop (Arachis hypogaea L.)
by Xing-Guang Xie, Hui-Jun Jiang, Kai Sun, Yuan-Yuan Zhao, Xiao-Gang Li, Ting Han, Yan Chen and Chuan-Chao Dai
J. Fungi 2026, 12(1), 65; https://doi.org/10.3390/jof12010065 - 13 Jan 2026
Viewed by 375
Abstract
(1) Background: Improving nitrogen use efficiency in peanuts is essential for achieving a high yield with reduced nitrogen fertilizer input. This study investigates the role of the fungal endophyte Phomopsis liquidambaris in regulating nitrogen utilization throughout the entire growth cycle of peanuts. (2) [...] Read more.
(1) Background: Improving nitrogen use efficiency in peanuts is essential for achieving a high yield with reduced nitrogen fertilizer input. This study investigates the role of the fungal endophyte Phomopsis liquidambaris in regulating nitrogen utilization throughout the entire growth cycle of peanuts. (2) Methods: Field pot experiments and a two-year plot trial were conducted. The effects of Ph. liquidambaris colonization on the rhizosphere microbial community, soil nitrogen forms, and peanut physiology were analyzed. (3) Results: Colonization by Ph. liquidambaris significantly suppressed the abundance of ammonia-oxidizing archaea (AOA) and bacteria (AOB) in the rhizosphere at the seedling stage. This led to a transient decrease in nitrate and an increase in ammonium availability, which enhanced nodulation-related physiological responses. Concurrently, the peanut-specific rhizobium Bradyrhizobium sp. was enriched in the rhizosphere, and the root exudates induced by the fungus further stimulated nodulation activity. These early-stage effects promoted the establishment of peanut–Bradyrhizobium symbiosis. During the mid-to-late growth stages, the fungus positively reshaped the composition of key functional microbial groups (including diazotrophs, AOA, and AOB), thereby increasing rhizosphere nitrogen availability. (4) Conclusions: Under low nitrogen fertilization, inoculation with Ph. liquidambaris maintained yield stability in long-term monocropped peanuts by enhancing early nodulation and late-stage rhizosphere nitrogen availability. This study provides a promising microbe-based strategy to support sustainable legume production with reduced nitrogen fertilizer application. Full article
(This article belongs to the Special Issue Plant Symbiotic Fungi)
Show Figures

Figure 1

21 pages, 4900 KB  
Article
Effects of Exogenous Hormones on Endophytic Rhizobial Proliferation and Growth Promotion in Alfalfa
by Yuan-Yuan Du, Wen-Juan Kang, Shang-Li Shi, Yi-Lin Han, Jian Guan, Bao-Fu Lu and Bei Wu
Agronomy 2025, 15(12), 2799; https://doi.org/10.3390/agronomy15122799 - 5 Dec 2025
Viewed by 322
Abstract
Endophytic rhizobia have the functions of dissolving organic phosphorus, secreting auxin, fixing nitrogen, and promoting growth. The proliferation of endophytic rhizobia in alfalfa and their symbiotic nodulation with alfalfa seedlings are regulated by various plant hormones. In this study, the alfalfa seeds ( [...] Read more.
Endophytic rhizobia have the functions of dissolving organic phosphorus, secreting auxin, fixing nitrogen, and promoting growth. The proliferation of endophytic rhizobia in alfalfa and their symbiotic nodulation with alfalfa seedlings are regulated by various plant hormones. In this study, the alfalfa seeds (Medicago sativa L.) containing CFP-labeled rhizobium R.gn5f (isolated from the seeds of Gannong No.5 alfalfa) were used as materials, and the concentrations of 3-indoleacetic acid (3-IAA), 6-benzylaminopurine (6-BA) and homobrassinolide (HBR) suitable for the growth of R.gn5f were used for seed soaking treatment, and distilled water was used as the control. The proliferation of endophytic rhizobium, plant nodulation, nitrogen fixation performance and plant growth ability of alfalfa at different growth stages were determined. The effects of hormone types and concentrations on the proliferation and nitrogen fixation of endophytic rhizobia were analyzed to provide a theoretical basis for accurately promoting the nodulation, nitrogen fixation and growth-promoting ability of endophytic rhizobia in seeds. The results showed that the optimal concentrations of 3-IAA, 6-BA and HBR were 12 mg·L−1, 16 mg·L−1 and 2.47 mg·L−1, respectively. The nitrogen fixation performance of endophytic rhizobium plants containing three hormones was higher at the branching stage and budding stage. The growth ability of the plant was better at the flowering stage. The hormone 2.47 mg·L−1 of HBR was beneficial to the proliferation, nodulation, nitrogen fixation and plant growth of endophytic rhizobia in alfalfa at the vegetative and reproductive growth stages, and the number of R.gn5 f in the seeds of HBR plants at the mature stage was the largest (281.25 CFU·g−1). Therefore, the hormone 2.47 mg·L−1 of HBR was better for the proliferation of endophytic rhizobia R.gn5 f and plant growth in alfalfa. These findings provide a theoretical basis for precisely leveraging the nodulation and nitrogen-fixing capabilities of seed-borne endophytic rhizobia, thereby laying a foundation for the symbiotic breeding of alfalfa and rhizobia. Full article
(This article belongs to the Section Grassland and Pasture Science)
Show Figures

Figure 1

22 pages, 50770 KB  
Article
Metagenomics and In Vitro Growth-Promoting Experiments Revealed the Potential Roles of Mycorrhizal Fungus Humicolopsis cephalosporioides and Helper Bacteria in Cheilotheca humilis Growth
by Yawei Liu, Yuhao Shang, Xin Wang, Xiao Li, Zhiming Yu, Zhanghui Zeng, Zhehao Chen, Lilin Wang, Taihe Xiang and Xiaoping Huang
Microorganisms 2025, 13(10), 2387; https://doi.org/10.3390/microorganisms13102387 - 17 Oct 2025
Viewed by 863
Abstract
In mycorrhizal symbiotic relationships, non-photosynthetic myco-heterotrophic plants are unable to supply photosynthates to their associated fungi. On the contrary, they rely on fungal carbon to sustain their own growth. Mycorrhizal fungi can mediate plant interactions with the rhizosphere microbiome, which contributes to the [...] Read more.
In mycorrhizal symbiotic relationships, non-photosynthetic myco-heterotrophic plants are unable to supply photosynthates to their associated fungi. On the contrary, they rely on fungal carbon to sustain their own growth. Mycorrhizal fungi can mediate plant interactions with the rhizosphere microbiome, which contributes to the promotion of plant growth and nutrient uptake. However, the microbial community and key microbial species that function during the growth of the myco-heterotrophic plant Cheilotheca humilis remain unclear. In this study, we evaluated the microbial community associated with Cheilotheca humilis, which was confirmed via morphological characteristics typical of this plant species. Metagenomic analysis showed that the Afipia carboxidovorans was dominant at species level. Based on the LDA score, Bradyrhizobium ottawaense exhibited the higher abundance in the CH-B group (related to bud) while Afipia carboxidovorans was identified from the CH-F group (related to flower). Microbial co-occurrence networks showed that the Rhizobium genus, Herbaspirillum genus, and Cyanobacteriota were defined as core functional microbial species. To explore the potential microorganisms, metagenome-assembled genomes (MAGs) of the rhizosphere microbiome identified 14 medium- and high-quality MAGs, mainly involved in carbon fixation, nitrogen transformation, and phosphorus metabolism, possibly providing nutrients for the plant. Furthermore, a total of 67 rhizospheric and 66 endophytic microorganisms were isolated and obtained. In vitro experiments showed that the mycorrhizal helper bacteria (MHBs) Rhizobium genus and Pseudomonas genus possessed the ability of nitrogen fixation, phosphate solubilization, and siderophores production. Most importantly, the mycorrhizal fungus Humicolopsis cephalosporioides was obtained, which could potentially produce cellulase to supply carbohydrates for host. The findings suggest the mycorrhizal fungus Humicolopsis cephalosporioides and helper bacteria have great potential in the growth of the myco-heterotrophic plant Cheilotheca humilis. Full article
Show Figures

Figure 1

18 pages, 2027 KB  
Article
Isolation of Endophytic Phosphate-Solubilizing Bacteria from Chinese Cymbidium (Cymbidium spp.) Orchid Roots
by Yanmei Sun, Jianpeng Jin, Xiting Wang, Wei Zhu, Jie Gao, Jie Li, Qi Xie, Yonglu Wei, Chuqiao Lu, Genfa Zhu and Fengxi Yang
Microorganisms 2025, 13(10), 2229; https://doi.org/10.3390/microorganisms13102229 - 23 Sep 2025
Cited by 2 | Viewed by 880
Abstract
This study aims to identify and evaluate the phosphate-solubilizing ability of endophytic bacteria isolated from roots of Chinese Cymbidium and to assess their impact on phosphorus uptake and plant growth. Thirty strains of endophytic bacteria were isolated from six orchid varieties. Molecular identification [...] Read more.
This study aims to identify and evaluate the phosphate-solubilizing ability of endophytic bacteria isolated from roots of Chinese Cymbidium and to assess their impact on phosphorus uptake and plant growth. Thirty strains of endophytic bacteria were isolated from six orchid varieties. Molecular identification based on 16S rRNA gene sequencing revealed that the most frequently isolated strains belonged to the genera Pseudomonas and Burkholderia. Among them, 10 bacterial strains exhibited the capacity to solubilize inorganic and organic phosphorus. Two strains, designated X1 (Paraburkholderia sp. Beta-32) and X13 (Rhizobium freirei PRF81 (X13), were identified as the most effective phosphate-solubilizing bacteria (PSB). Gluconic acid was the dominant organic acid secreted, driving inorganic phosphorus solubilization, while alkaline phosphatase activities facilitated organic phosphorus mineralization. Inoculation with phosphate-solubilizing bacteria (PSB) resulted in increased plant growth and phosphorus content in both leaves and roots as compared to the control plants. PSB treatments also increased available phosphorus content in soil, reduced total phosphorus content, and increased exopolysaccharide and alkaline phosphatase activities. Real-time q-PCR analysis showed that PSB inoculation significantly upregulated the expression of phosphorus transport-related genes, including PDR2, PHF1, PHR1, PHT1;9, and PHT4;4, thereby enhancing phosphorus absorption. Moreover, strains X1 and X13 not only exhibited strong phosphate-solubilizing capacity but also demonstrated stable colonization in both roots and root rhizosphere soil of orchids over extended periods. In conclusion, the endophytic PSB identified with phosphate-solubilizing abilities increased phosphorus availability and its uptake in Chinese Cymbidium, thereby promoting plant growth and development. This is the first attempt to characterize endophytic PSB from roots of Chinese Cymbidium orchids. These findings provide a basis for selection of PSB that are efficient in P uptake for application in microbial fertilizers for orchid cultivation. Full article
(This article belongs to the Section Plant Microbe Interactions)
Show Figures

Figure 1

18 pages, 2018 KB  
Article
Screening and Identification of Cadmium-Tolerant, Plant Growth-Promoting Rhizobacteria Strain KM25, and Its Effects on the Growth of Soybean and Endophytic Bacterial Community in Roots
by Jing Zhang, Enjing Yi, Yuping Jiang, Xuemei Li, Lanlan Wang, Yuzhu Dong, Fangxu Xu, Cuimei Yu and Lianju Ma
Plants 2025, 14(15), 2343; https://doi.org/10.3390/plants14152343 - 29 Jul 2025
Cited by 2 | Viewed by 1530
Abstract
Cadmium (Cd) is a highly toxic heavy metal that can greatly affect crops and pose a threat to food security. Plant growth-promoting rhizobacteria (PGPR) are capable of alleviating the harm of Cd to crops. In this research, a Cd-tolerant PGPR strain was isolated [...] Read more.
Cadmium (Cd) is a highly toxic heavy metal that can greatly affect crops and pose a threat to food security. Plant growth-promoting rhizobacteria (PGPR) are capable of alleviating the harm of Cd to crops. In this research, a Cd-tolerant PGPR strain was isolated and screened from the root nodules of semi-wild soybeans. The strain was identified as Pseudomonas sp. strain KM25 by 16S rRNA. Strain KM25 has strong Cd tolerance and can produce indole-3-acetic acid (IAA) and siderophores, dissolve organic and inorganic phosphorus, and has 1-aminocyclopropane-1-carboxylate (ACC) deaminase activity. Under Cd stress, all growth indicators of soybean seedlings were significantly inhibited. After inoculation with strain KM25, the heavy metal stress of soybeans was effectively alleviated. Compared with the non-inoculated group, its shoot height, shoot and root dry weight, fresh weight, and chlorophyll content were significantly increased. Strain KM25 increased the superoxide dismutase (SOD), peroxidase (POD), and catalase (CAT) activities of soybean seedlings, reduced the malondialdehyde (MDA) content, increased the Cd content in the roots of soybeans, and decreased the Cd content in the shoot parts. In addition, inoculation treatment can affect the community structure of endophytic bacteria in the roots of soybeans under Cd stress, increasing the relative abundance of Proteobacteria, Bacteroidetes, Sphingomonas, Rhizobium, and Pseudomonas. This study demonstrates that strain KM25 is capable of significantly reducing the adverse effects of Cd on soybean plants while enhancing their growth. Full article
(This article belongs to the Section Plant Protection and Biotic Interactions)
Show Figures

Figure 1

14 pages, 1598 KB  
Article
Plant-Growth-Promoting Rhizobacteria and Known Interactions with Plant Phytophagous Insects: A Meta-Analysis
by Roberto Rafael Ruiz-Santiago, Horacio Salomón Ballina-Gómez, Esaú Ruíz-Sánchez, Laura Yesenia Solís-Ramos and Jairo Cristóbal-Alejo
Stresses 2025, 5(2), 35; https://doi.org/10.3390/stresses5020035 - 20 May 2025
Cited by 5 | Viewed by 3652
Abstract
Plant-growth-promoting rhizobacteria (PGPR) influence soil fertility, plant growth, tolerance to abiotic stress, resistance to herbivorous insects, and plant interactions with other organisms. While the effects of PGPR on plant growth, fruit yield, and induced defense responses have been extensively studied, the consistent positive [...] Read more.
Plant-growth-promoting rhizobacteria (PGPR) influence soil fertility, plant growth, tolerance to abiotic stress, resistance to herbivorous insects, and plant interactions with other organisms. While the effects of PGPR on plant growth, fruit yield, and induced defense responses have been extensively studied, the consistent positive outcomes have fueled rapid expansion in this research field. To evaluate PGPR impacts on plant growth and interactions with phytophagous insects, we conducted a systematic meta-analysis using publications from electronic databases (e.g., PubMed, Web of Science) that reported PGPR effects on plants and insects. Effects were categorized by plant family, PGPR genus, insect feeding guild, and insect–host specialization. Our analysis revealed that PGPR generally enhanced plant growth across most plant families; however, the magnitude and direction of these effects varied significantly among PGPR genera, indicating genus-specific interactions with host plants. When assessing PGPR-mediated reductions in phytophagous insects, we found that Pseudomonas, Rhizobium, and Bacillus exhibited the weakest negative effects on insect populations. PGPR significantly reduced both monophagous and polyphagous insects, with the most pronounced negative impacts on sucking insects (e.g., aphids, whiteflies). This study highlights critical patterns in PGPR-mediated plant growth promotion across taxa and the related differential effects on phytophagous insect activity. These insights advance our understanding of PGPR applications in agroecological production systems, particularly for integrated pest management and sustainable crop productivity. Full article
(This article belongs to the Collection Feature Papers in Plant and Photoautotrophic Stresses)
Show Figures

Figure 1

19 pages, 5457 KB  
Article
Genetic Diversity and Growth-Promoting Functions of Endophytic Nitrogen-Fixing Bacteria in Apple
by Hongshan Liu, Huan Cheng, Suwen Xu, Donghua Zhang, Jianrong Wu, Zongyan Li, Benzhong Fu and Li Liu
Plants 2025, 14(8), 1235; https://doi.org/10.3390/plants14081235 - 18 Apr 2025
Cited by 1 | Viewed by 1590
Abstract
Understanding the dominant populations and biological functions of endophytic nitrogen-fixing bacteria in apple plants is of great significance for the healthy growth management and sustainable development of apple cultivation. In this study, we investigated the community diversity and potential plant growth-promoting abilities of [...] Read more.
Understanding the dominant populations and biological functions of endophytic nitrogen-fixing bacteria in apple plants is of great significance for the healthy growth management and sustainable development of apple cultivation. In this study, we investigated the community diversity and potential plant growth-promoting abilities of endophytic nitrogen-fixing bacteria in different tissues of apple trees by combining high-throughput sequencing of the nifH gene with traditional isolation and cultivation techniques. Sequencing results revealed that the endophytic bacteria were affiliated with 10 phyla, 14 classes, 30 orders, 42 families, and 72 genera. Rhizobium was the dominant genus in the roots and twigs, while Desulfovibrio dominated the leaf tissues. The diversity and richness of endophytic bacteria in the roots were significantly higher than those in the leaves. Using four types of nitrogen-free media, a total of 138 presumptive endophytic nitrogen-fixing bacterial strains were isolated from roots, leaves, and twigs. These isolates belonged to 32 taxonomic groups spanning 5 phyla, 8 classes, 11 orders, 13 families, and 18 genera. The nifH gene was successfully amplified from the representative strains of all 32 groups using specific primers. Nitrogenase activity among the isolates ranged from 26.86 to 982.28 nmol/(h·mL). Some strains also exhibited the ability to secrete indole-3-acetic acid (IAA), solubilize phosphate and potassium, and produce siderophores. Six individual strains and three microbial consortia were tested for their plant growth-promoting effects on apple tissue culture seedlings. All treatments showed growth-promoting effects to varying degrees, with the RD01+RC16 consortium showing the most significant results: plant height, number of leaves, and chlorophyll content were 2.4, 3.3, and 4.2 times higher than those of the control, respectively. These findings demonstrate the rich diversity of endophytic nitrogen-fixing bacteria in apple plants and their promising potential for application in promoting host plant growth. Full article
Show Figures

Figure 1

46 pages, 1266 KB  
Review
Endophytic and Rhizospheric Microorganisms: An Alternative for Sustainable, Organic, and Regenerative Bioinput Formulations for Modern Agriculture
by Isabela de L. Valente, João H. C. Wancura, Giovani L. Zabot and Marcio A. Mazutti
Microorganisms 2025, 13(4), 813; https://doi.org/10.3390/microorganisms13040813 - 3 Apr 2025
Cited by 7 | Viewed by 3325
Abstract
Large amounts of chemical fertilizers are still used to suppress pathogens and boost agricultural productivity and food generation. However, their use can cause harmful environmental imbalance. Furthermore, plants typically absorb limited amounts of the nutrients provided by chemical fertilizers. Recent studies are recommending [...] Read more.
Large amounts of chemical fertilizers are still used to suppress pathogens and boost agricultural productivity and food generation. However, their use can cause harmful environmental imbalance. Furthermore, plants typically absorb limited amounts of the nutrients provided by chemical fertilizers. Recent studies are recommending the use of microbiota present in the soil in different formulations, considering that several microorganisms are found in nature in association with plants in a symbiotic, antagonistic, or synergistic way. This ecological alternative is positive because no undesirable significant alterations occur in the environment while stimulating plant nutrition development and protection against damage caused by control pathogens. Therefore, this review presents a comprehensive discussion regarding endophytic and rhizospheric microorganisms and their interaction with plants, including signaling and bio-control processes concerning the plant’s defense against pathogenic spread. A discussion is provided about the importance of these bioinputs as a microbial resource that promotes plant development and their sustainable protection methods aiming to increase resilience in the agricultural system. In modern agriculture, the manipulation of bioinputs through Rhizobium contributes to reducing the effects of greenhouse gases by managing nitrogen runoff and decreasing nitrous oxide. Additionally, mycorrhizal fungi extend their root systems, providing plants with greater access to water and nutrients. Full article
(This article belongs to the Special Issue Microbial Biocontrol in the Agri-Food Industry, 2nd Edition)
Show Figures

Figure 1

22 pages, 3963 KB  
Article
Analysis of the Synergistic Effect of Endophytic Bacteria and Metabolites on Yield in Soybean Roots Under Biochar with Nitrogen Fertilization
by Hui Liu, Wanyu Dou, Wenlong Zhang, Yutao Li, Guoxin Shi, Lifang Fu and Lihong Wang
Agronomy 2025, 15(1), 177; https://doi.org/10.3390/agronomy15010177 - 13 Jan 2025
Cited by 1 | Viewed by 2057
Abstract
The appropriate application of nitrogen fertilizers and biochar to the soil is beneficial for soybean growth, and a combination of biochar and nitrogen can improve low-nitrogen fertilizer utilization efficiency. However, the effect of the combination of biochar and nitrogen fertilizer on soybean roots [...] Read more.
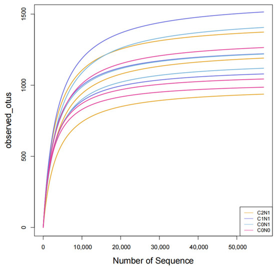
The appropriate application of nitrogen fertilizers and biochar to the soil is beneficial for soybean growth, and a combination of biochar and nitrogen can improve low-nitrogen fertilizer utilization efficiency. However, the effect of the combination of biochar and nitrogen fertilizer on soybean roots is still unclear. Therefore, in this study, we investigate the changes in endophytic bacterial communities and metabolites in soybean roots under different combinations of biochar and nitrogen fertilizer treatments by setting different fertilization levels and using high-throughput sequencing and non-targeted metabolomics techniques. The results showed that applying 20 t/ha of biochar and 180 kg/ha of nitrogen fertilizer (C2N1) resulted in the highest soybean yield. By studying the endophytic bacterial community in soybean roots, it was observed that the dominant phyla were Proteobacteria, Bacteroidota, and Actinobacteriota, and the dominant genera were Bradyrhizobium, Streptomyces, and Rhizobacter. Moreover, a metabolic pathway analysis revealed that glycosylphosphatidylinositol (GPI)-anchor biosynthesis was the most significant metabolic pathway in the C0N1 vs. C0N0 comparison group, and glycerophospholipid metabolism was the most significant metabolic pathway in the C2N1 vs. C1N1 comparison group; they were both associated with regulatory mechanisms such as plant growth promotion and nutrient cycling. Structural equation modeling indicates that both endophytic bacteria and metabolites have a significant positive impact on yield. Bradyrhizobium and Rhizobium are observable variables with significant positive effects on endophytic bacteria, while Phe-Thr and 7-allyloxycoumarin are observable variables with significant positive effects on metabolites. Endophytic bacteria not only have a direct impact on crop yield, but also indirectly affect crop yield through their effects on metabolites. This study has important scientific value and guiding significance for improving soybean yields. Full article
(This article belongs to the Section Soil and Plant Nutrition)
Show Figures

Figure 1

23 pages, 7582 KB  
Article
Endophytic Bacteria from the Desiccation-Tolerant Plant Selaginella lepidophylla and Their Potential as Plant Growth-Promoting Microorganisms
by Maria Guadalupe Castillo-Texta, José Augusto Ramírez-Trujillo, Edgar Dantán-González, Mario Ramírez-Yáñez and Ramón Suárez-Rodríguez
Microorganisms 2024, 12(12), 2654; https://doi.org/10.3390/microorganisms12122654 - 21 Dec 2024
Cited by 2 | Viewed by 2586
Abstract
Bacteria associated with plants, whether rhizospheric, epiphytic, or endophytic, play a crucial role in plant productivity and health by promoting growth through complex mechanisms known as plant growth promoters. This study aimed to isolate, characterize, identify, and evaluate the potential of endophytic bacteria [...] Read more.
Bacteria associated with plants, whether rhizospheric, epiphytic, or endophytic, play a crucial role in plant productivity and health by promoting growth through complex mechanisms known as plant growth promoters. This study aimed to isolate, characterize, identify, and evaluate the potential of endophytic bacteria from the resurrection plant Selaginella lepidophylla in enhancing plant growth, using Arabidopsis thaliana ecotype Col. 0 as a model system. Plant growth-promotion parameters were assessed on the bacterial isolates; this assessment included the quantification of indole-3-acetic acid, phosphate solubilization, and biological nitrogen fixation, a trehalose quantification, and the siderophore production from 163 endophytic bacteria isolated from S. lepidophylla. The bacterial genera identified included Agrobacterium, Burkholderia, Curtobacterium, Enterobacter, Erwinia, Pantoea, Pseudomonas, and Rhizobium. The plant growth promotion in A. thaliana was evaluated both in Murashige Skoog medium, agar-water, and direct seed inoculation. The results showed that the bacterial isolates enhanced primary root elongation and lateral root and root hair development, and increased the fresh and dry biomass. Notably, three isolates promoted early flowering in A. thaliana. Based on these findings, we propose the S. lepidophylla bacterial isolates as ideal candidates for promoting growth in other agriculturally important plants. Full article
(This article belongs to the Section Plant Microbe Interactions)
Show Figures

Figure 1

14 pages, 1316 KB  
Article
Genomic Insights and Plant Growth-Promoting Potential of Rhizobial Strains from Agave americana
by Luis Galdino García-Pérez, Clara Ivette Rincón-Molina, Esperanza Martínez-Romero, Marco Antonio Rogel, Yunuen Tapia-Torres, Luis Alberto Manzano-Gómez, Julio César Maldonado-Gómez, Francisco Alexander Rincón-Molina and Reiner Rincón-Rosales
Horticulturae 2024, 10(12), 1370; https://doi.org/10.3390/horticulturae10121370 - 20 Dec 2024
Cited by 1 | Viewed by 2062
Abstract
Symbiotic relationships between plants and bacteria play a pivotal role in both natural and agricultural ecosystems, particularly through endophytic colonization or rhizospheric interactions. This study evaluated the plant growth-promoting potential (PGP) of native rhizobial strains Rhizobium sp. ACO-34A and Mesorhizobium sp. 28A (now [...] Read more.
Symbiotic relationships between plants and bacteria play a pivotal role in both natural and agricultural ecosystems, particularly through endophytic colonization or rhizospheric interactions. This study evaluated the plant growth-promoting potential (PGP) of native rhizobial strains Rhizobium sp. ACO-34A and Mesorhizobium sp. 28A (now reclassified within the genus Kumtagia), isolated from Agave americana. Through phenotypic characterization, PGP evaluation, and comparative genomic analysis, both strains demonstrated the ability to thrive under diverse salinity levels and pH conditions, reflecting their adaptability to challenging environments. Rhizobium sp. ACO-34A exhibited superior resistance to antibiotics and heavy metals, coupled with robust PGP traits, such as phosphate solubilization and indole-3-acetic acid (IAA) production, which are crucial for enhancing nutrient availability and root development. Similarly, Mesorhizobium sp. 28A showed exceptional phosphate solubilization efficiency and contributed to improved seedling performance. These findings highlight the capacity of rhizobia associated with agave species to improve plant growth, reduce dependence on chemical fertilizers, and support sustainable agriculture, particularly in nutrient-depleted or semi-arid soils. Genomic analyses revealed the presence of genes linked to stress resilience and nutrient acquisition, underlining the functional versatility of these strains. By leveraging these native rhizobial strains, agricultural practices can achieve higher productivity and sustainability, making them valuable tools for enhancing the agronomic yield and ecological resilience of agave crops for agro-industries. Full article
(This article belongs to the Section Genetics, Genomics, Breeding, and Biotechnology (G2B2))
Show Figures

Figure 1

19 pages, 4184 KB  
Article
Endophytic Bacterial Community, Core Taxa, and Functional Variations Within the Fruiting Bodies of Laccaria
by Kaixuan Zhang, Xin Chen, Xiaofei Shi, Zhenyan Yang, Lian Yang, Dong Liu and Fuqiang Yu
Microorganisms 2024, 12(11), 2296; https://doi.org/10.3390/microorganisms12112296 - 12 Nov 2024
Cited by 6 | Viewed by 1840
Abstract
Macrofungi do not exist in isolation but establish symbiotic relationships with microorganisms, particularly bacteria, within their fruiting bodies. Herein, we examined the fruiting bodies’ bacteriome of seven species of the genus Laccaria collected from four locations in Yunnan, China. By analyzing bacterial diversity, [...] Read more.
Macrofungi do not exist in isolation but establish symbiotic relationships with microorganisms, particularly bacteria, within their fruiting bodies. Herein, we examined the fruiting bodies’ bacteriome of seven species of the genus Laccaria collected from four locations in Yunnan, China. By analyzing bacterial diversity, community structure, and function through 16S rRNA sequencing, we observed the following: (1) In total, 4,840,291 high-quality bacterial sequences obtained from the fruiting bodies were grouped into 16,577 amplicon sequence variants (ASVs), and all samples comprised 23 shared bacterial ASVs. (2) The Allorhizobium-Neorhizobium-Pararhizobium-Rhizobium complex was found to be the most abundant and presumably coexisting bacterium. (3) A network analysis revealed that endophytic bacteria formed functional groups, which were dominated by the genera Allorhizobium-Neorhizobium-Pararhizobium-Rhizobium, Novosphingobium, and Variovorax. (4) The diversity, community structure, and dominance of ecological functions (chemoheterotrophy and nitrogen cycling) among endophytic bacteria were significantly shaped by geographic location, habitat, and fungal genotype, rather than fruiting body type. (5) A large number of the endophytic bacteria within Laccaria are bacteria that promote plant growth; however, some pathogenic bacteria that pose a threat to human health might also be present. This research advances our understanding of the microbial ecology of Laccaria and the factors shaping its endophytic bacterial communities. Full article
(This article belongs to the Section Environmental Microbiology)
Show Figures

Figure 1

17 pages, 4555 KB  
Article
Community Diversity of Endophytic Bacteria in the Leaves and Roots of Pea Seedlings
by Junjie Hao, Quanlan Liu, Fengjing Song, Xiao Cui, Lu Liu, Liping Fu, Shouan Zhang, Xingbo Wu and Xiaoyan Zhang
Agronomy 2024, 14(9), 2030; https://doi.org/10.3390/agronomy14092030 - 5 Sep 2024
Cited by 6 | Viewed by 3286
Abstract
Endophytic bacteria from pea (Pisum sativum L.) plants play important roles in regulating plant growth, health, and nutrition. To enhance the understanding of endophytic bacteria in peas, twenty pea cultivars, two chickpeas, and two broad bean cultivars were planted into artificial soils [...] Read more.
Endophytic bacteria from pea (Pisum sativum L.) plants play important roles in regulating plant growth, health, and nutrition. To enhance the understanding of endophytic bacteria in peas, twenty pea cultivars, two chickpeas, and two broad bean cultivars were planted into artificial soils for 4 weeks. Leaves and roots were collected from plants and sterilized. Endophytic bacterial DNAs were isolated from sterilized materials (leaves, roots, and seeds) and used as templates to detect the bacterial diversity by amplifying the 16S V3–V4 region. The Remel Tryptose Soya Agar (TSA) medium, the aluminum sec-butoxide (ASb) medium, and the yeast extract mannitol agar (YMA) medium were used to isolate bacteria from sterilized leaves and roots, respectively. The plant growth-promoting (PGP) properties of these isolated bacteria, such as the solubilization of phosphorus and potassium and the production of Indole-3-acetic acid (IAA), 1-aminocyclopropane-1-carboxylic acid (ACC) deaminase, nitrogenase, pectinase, and cellulose, were studied in vitro. Bacterial isolates were processed for 16S rDNA gene sequencing and performed molecular identification by reconstruction of the phylogenetic tree using the neighborhood association approach in the software MEGA X. Results indicated that the majority of the bacterial communities were shared among leaves, roots, and seeds of pea plants. In both the leaves and roots of pea plants, the prominent phyla identified were Pseudomonadota, Bacteroidota, and Bacillota, with dominant genera such as Rhizobium, Bacteroides, Blautia, and Prevotella prevailing at the genus level. The samples from leaves and roots had unique dominant bacterial genera. In total, 48 endophytic bacteria strains were isolated from leaves and roots, of which 16 strains were from roots and 32 strains were from leaves. The majority of the isolates from leaves (78.13%) and roots (75%) had the ability to produce indole-3-acetic acid (IAA). Moreover, isolates from roots also had greater ability to produce 1-amino-cyclopropane-1-carboxylic acid (ACC) deaminase (81.25%) than those from leaves (62.5%). This study demonstrated the unique distribution of endophytes in leaves and roots of pea, which can have great potential in pea production. Full article
Show Figures

Figure 1

17 pages, 3940 KB  
Article
Diversity of the Maize Root Endosphere and Rhizosphere Microbiomes Modulated by the Inoculation with Pseudomonas fluorescens UM270 in a Milpa System
by Blanca Rojas-Sánchez, Hugo Castelán-Sánchez, Esmeralda Y. Garfias-Zamora and Gustavo Santoyo
Plants 2024, 13(7), 954; https://doi.org/10.3390/plants13070954 - 26 Mar 2024
Cited by 8 | Viewed by 4275
Abstract
Milpa is an agroecological production system based on the polyculture of plant species, with corn featuring as a central component. Traditionally, the milpa system does not require the application of chemicals, and so pest attacks and poor growth in poor soils can have [...] Read more.
Milpa is an agroecological production system based on the polyculture of plant species, with corn featuring as a central component. Traditionally, the milpa system does not require the application of chemicals, and so pest attacks and poor growth in poor soils can have adverse effects on its production. Therefore, the application of bioinoculants could be a strategy for improving crop growth and health; however, the effect of external inoculant agents on the endemic microbiota associated with corn has not been extensively studied. Here, the objective of this work was to fertilize a maize crop under a milpa agrosystem with the PGPR Pseudomonas fluorescens UM270, evaluating its impact on the diversity of the rhizosphere (rhizobiome) and root endophytic (root endobiome) microbiomes of maize plants. The endobiome of maize roots was evaluated by 16S rRNA and internal transcribed spacer region (ITS) sequencing, and the rhizobiome was assessed by metagenomic sequencing upon inoculation with the strain UM270. The results showed that UM270 inoculation of the rhizosphere of P. fluorescens UM270 did not increase alpha diversity in either the monoculture or milpa, but it did alter the endophytic microbiome of maize plant roots by stimulating the presence of bacterial operational taxonomic units (OTUs) of the genera Burkholderia and Pseudomonas (in a monoculture), whereas, in the milpa system, the PGPR stimulated greater endophytic diversity and the presence of genera such as Burkholderia, Variovorax, and N-fixing rhizobia genera, including Rhizobium, Mesorhizobium, and Bradyrhizobium. No clear association was found between fungal diversity and the presence of strain UM270, but beneficial fungi, such as Rizophagus irregularis and Exophiala pisciphila, were detected in the Milpa system. In addition, network analysis revealed unique interactions with species such as Stenotrophomonas sp., Burkholderia xenovorans, and Sphingobium yanoikuyae, which could potentially play beneficial roles in the plant. Finally, the UM270 strain does not seem to have a strong impact on the microbial diversity of the rhizosphere, but it does have a strong impact on some functions, such as trehalose synthesis, ammonium assimilation, and polyamine metabolism. The inoculation of UM270 biofertilizer in maize plants modifies the rhizo- and endophytic microbiomes with a high potential for stimulating plant growth and health in agroecological crop models. Full article
(This article belongs to the Collection Feature Papers in Plant Protection)
Show Figures

Figure 1

19 pages, 5975 KB  
Article
Bacterial Endophytes from Legumes Native to Arid Environments Are Promising Tools to Improve Mesorhizobium–Chickpea Symbiosis under Salinity
by Roukaya Ben Gaied, Imed Sbissi, Mohamed Tarhouni and Clarisse Brígido
Biology 2024, 13(2), 96; https://doi.org/10.3390/biology13020096 - 3 Feb 2024
Cited by 11 | Viewed by 3748
Abstract
Symbiotic nitrogen fixation is a major contributor of N in agricultural ecosystems, but the establishment of legume–rhizobium symbiosis is highly affected by soil salinity. Our interest is focused on the use of non-rhizobial endophytes to assist the symbiosis between chickpea and its microsymbiont [...] Read more.
Symbiotic nitrogen fixation is a major contributor of N in agricultural ecosystems, but the establishment of legume–rhizobium symbiosis is highly affected by soil salinity. Our interest is focused on the use of non-rhizobial endophytes to assist the symbiosis between chickpea and its microsymbiont under salinity to avoid loss of production and fertility. Our aims were (1) to investigate the impact of salinity on both symbiotic partners; including on early events of the Mesorhizobium-chickpea symbiosis, and (2) to evaluate the potential of four non-rhizobial endophytes isolated from legumes native to arid regions (Phyllobacterium salinisoli, P. ifriqiyense, Xanthomonas translucens, and Cupriavidus respiraculi) to promote chickpea growth and nodulation under salinity. Our results show a significant reduction in chickpea seed germination rate and in the microsymbiont Mesorhizobium ciceri LMS-1 growth under different levels of salinity. The composition of phenolic compounds in chickpea root exudates significantly changed when the plants were subjected to salinity, which in turn affected the nod genes expression in LMS-1. Furthermore, the LMS-1 response to root exudate stimuli was suppressed by the presence of salinity (250 mM NaCl). On the contrary, a significant upregulation of exoY and otsA genes, which are involved in exopolysaccharide and trehalose biosynthesis, respectively, was registered in salt-stressed LMS-1 cells. In addition, chickpea co-inoculation with LMS-1 along with the consortium containing two non-rhizobial bacterial endophytes, P. salinisoli and X. translucens, resulted in significant improvement of the chickpea growth and the symbiotic performance of LMS-1 under salinity. These results indicate that this non-rhizobial endophytic consortium may be an appropriate ecological and safe tool to improve chickpea growth and its adaptation to salt-degraded soils. Full article
(This article belongs to the Collection Plant Growth-Promoting Bacteria: Mechanisms and Applications)
Show Figures

Figure 1

Back to TopTop