Abstract
The appropriate application of nitrogen fertilizers and biochar to the soil is beneficial for soybean growth, and a combination of biochar and nitrogen can improve low-nitrogen fertilizer utilization efficiency. However, the effect of the combination of biochar and nitrogen fertilizer on soybean roots is still unclear. Therefore, in this study, we investigate the changes in endophytic bacterial communities and metabolites in soybean roots under different combinations of biochar and nitrogen fertilizer treatments by setting different fertilization levels and using high-throughput sequencing and non-targeted metabolomics techniques. The results showed that applying 20 t/ha of biochar and 180 kg/ha of nitrogen fertilizer (C2N1) resulted in the highest soybean yield. By studying the endophytic bacterial community in soybean roots, it was observed that the dominant phyla were Proteobacteria, Bacteroidota, and Actinobacteriota, and the dominant genera were Bradyrhizobium, Streptomyces, and Rhizobacter. Moreover, a metabolic pathway analysis revealed that glycosylphosphatidylinositol (GPI)-anchor biosynthesis was the most significant metabolic pathway in the C0N1 vs. C0N0 comparison group, and glycerophospholipid metabolism was the most significant metabolic pathway in the C2N1 vs. C1N1 comparison group; they were both associated with regulatory mechanisms such as plant growth promotion and nutrient cycling. Structural equation modeling indicates that both endophytic bacteria and metabolites have a significant positive impact on yield. Bradyrhizobium and Rhizobium are observable variables with significant positive effects on endophytic bacteria, while Phe-Thr and 7-allyloxycoumarin are observable variables with significant positive effects on metabolites. Endophytic bacteria not only have a direct impact on crop yield, but also indirectly affect crop yield through their effects on metabolites. This study has important scientific value and guiding significance for improving soybean yields.
1. Introduction
Soybean seeds contain approximately 38–42% of protein, and their oil content ranges from 18% to 22%; protein and oil are both indispensable for a healthy human life []. Thus, soybeans are widely grown as an important supplier of vegetable oil and protein worldwide [] and ensuring soybean yield is crucial. According to recent data from the USDA, global soybean production in 2024 reached 427 million tons, and total global consumption reached 403 million tons, exhibiting the global importance of soybeans. Soybean use in China is substantial, with the total use amounting to 127 million tons in 2024, and soybean planting is widely distributed, with Heilongjiang being the main producing area, accounting for about 47% of national soybean production. There are multiple factors that can affect soybean yield, including fertilization, the rhizosphere soil environment, and soybean root health, all of which have also been the focus of research in recent years.
Nitrogen fertilizers can promote crop root growth and increase crop yields by affecting nutrient absorption and transport []. The incorrect application of nitrogen fertilizer can have adverse effects on crops, such as excessive nitrogen fertilizer use resulting in soil acidification [], which can have adverse effects on microbial growth and reduce microbial biomass []. In addition, excessive nitrogen fertilizer use can also result in a decrease in nitrogen fertilizer utilization efficiency, thereby reducing crop yield, which is also a serious problem in current agricultural production []. Moreover, another research study observed that excessive nitrogen fertilizer can reduce soybean yields []. Another study observed that excessive nitrogen fertilizer also results in serious ecological problems, such as increased greenhouse gas emissions []. Therefore, reasonable fertilization is crucial. Biochar is a solid particulate material that is rich in carbon and formed via the high-temperature pyrolysis of crop residues and forestry waste under anaerobic or anaerobic conditions []. The application of biochar can improve the soil environment, and research has shown that [] applying biochar promotes the absorption of ammonium nitrogen and changes soil physical properties, thereby reducing nitrogen loss and improving nitrogen fertilizer utilization efficiency. In addition, it can also reduce inorganic nitrogen leaching. In recent years, an increasing number of experiments has been conducted to mix biochar with nitrogen fertilizers in order to increase crop yield, and it has been proven that the combination of biochar and nitrogen fertilizers can effectively improve the soil structure, increase the soil nutrient content, and provide a good soil environment for crop growth and development []. However, most current experiments focus on methods for improving the rhizosphere and non-rhizosphere soil environment through rational fertilization to increase soybean yields, and there is little research on the impact of soybean root health on soybean yields.
The root system is an important component of plants, serving as a link for plants to absorb water, obtain nutrients, and synthesize metabolites from the soil. It is closely related to plant growth and yield []. The plant root system is an important site for plant–microbe interaction, involving various microorganisms in the reproduction and growth of plant roots which may result in symbiotic and parasitic relationships within the plant depending on the type of microorganisms []; therefore, studying endophytic bacteria in plants is particularly important. Endophytic bacteria can be used to control plant pathogens before and after harvest. Endophytic bacteria control pathogens by occupying plant tissue space, producing lytic enzymes and secondary metabolites, and activating plant defense systems []. In addition, endophytic bacteria can also improve plant growth parameters, such as rice shoot height, root length, fresh weight, and dry weight []. Endophytic bacteria present in plants can render host plants resistant to external environmental stimuli and enhance their stress resistance []. In addition, endophytic bacteria regulate the number of certain metabolites and also stimulate the production of new metabolites by the host plant []. Therefore, we speculate that there is a close link between endophytic bacteria and metabolites, and this link is not only an effect of endophytic bacteria on metabolites but may also be the result of their interaction.
Although there are studies related to endophytic bacteria, the linkage between endophytic bacteria and metabolites in soybean roots under nitrogen fertilizer application based on biochar rations needs to be further investigated. Therefore, in this study, we focus on (i) the effects of biochar with nitrogen fertilizer application on endophytic bacteria and metabolites in soybean roots, (ii) how endophytic bacteria and metabolites interact with each other in soybean roots under biochar conditions with nitrogen fertilizers, and (iii) the analysis of the synergistic effect of endophytic bacteria and metabolites in soybean roots on yield. This study can help provide theoretical support for rational fertilization in relation to soybean growth.
2. Materials and Methods
2.1. Overview of the Test Area
The experiment was conducted from May 2023 to October 2023 at the Xiangyang Base of Northeast Agricultural University, which is located in Xiangfang District, Harbin City, Heilongjiang Province (45°34′–45°46′ N, 126°22′–126°50′ E). This area experiences a cold, temperate continental climate, with rainfall and heat in the same season, and annual precipitation ranges from 500 to 550 mm. The frost-free period is approximately 140 days; the ≥ 10 °C accumulated temperature is approximately 2700 °C. The average annual rainfall is 400–600 mm, and it is concentrated in July–August. The soil type is black soil, and the soil texture comprises powdery loam (sandy 5.3%, powdery 68.5%, and clay 28.9%). The average monthly high temperature during the test period was 22 °C, the average low temperature was 11 °C, and the average monthly precipitation was 85 mm.
2.2. Experimental Materials
The black soil used in the test had the following basic physical and chemical properties: bulk density of 1.74 g/cm3, pH = 6.02, conductivity of 92.3 us/cm, a total nitrogen content of 1.17 g/kg, a total phosphorus content of 0.35 g/kg, a total potassium content of 18.82 g/kg, and an organic carbon content of 11.28 g/kg. The biochar for the test was purchased from Jinhefu Development Co., Ltd. (Anshan City, Liaoning Province, China); the raw material comprised corn stover, which was burnt at 450 °C under anaerobic conditions. Its physical and chemical properties were a bulk density of 0.4 g/cm3, a specific surface area of 84.3 m2/g, conductivity of 1.2 dS/m, pH of 8.75, organic matter of 32.91 g/kg, a total nitrogen content of 1.82 g/kg, a quick-acting phosphorus content of 29.87 mg/kg, a quick-acting potassium content of 38.47 mg/kg, and a quick-acting nitrogen content of 71.23 mg/kg. The fertilizers used in the experiment were urea (containing N46%), calcium superphosphate (containing P2O512%), and potassium sulfate (containing K2O50%). The test crop comprised Heinong 84 soybeans selected by the Soybean Research Institute of the Heilongjiang Provincial Academy of Agricultural Sciences, and it is suitable for cultivation in the second cumulative temperature zone of Heilongjiang Province.
2.3. Experimental Design
There were four treatments in the experiment, namely no biochar and nitrogen fertilizer (C0N0), 180 kg/ha of nitrogen fertilizer without biochar (C0N1), 10 t/ha of biochar and 180 kg/ha of applied nitrogen fertilizer (C1N1), and 20 t/ha of biochar and 180 kg/ha of applied nitrogen fertilizer (C2N1), with three replications of each treatment and a total of 12 plots. The specification of each experimental plot was set to 2.4 m × 2.4 m, and the allocation of experimental plots followed the experimental design of random blocks. Before the start of the experiment, the biochar was evenly spread on the soil surface and repeatedly stirred to mix well with the topsoil layer (0–20 cm soil layer). The amount of P2O5 and K2O was the same for each treatment at 144 kg/ha and 60 kg/ha, respectively. Nitrogen, phosphorus, and potash fertilizers were applied immediately as basal fertilizers before sowing. Soybeans were sown on 16 May 2023 and harvested on 4 October 2023. Cultivation and management measures, such as sowing, weeding, and pest control, were the same as those of local conventional management, and the conditions of each treatment were the same.
2.4. Sample Collection
We took 1 m2 of plants from each plot during the soybean harvest period for yield measurements. After harvesting, bagging, and manual threshing, soybean yield samples were obtained. The moisture content of soybean seeds was measured using the drying method, and soybean yields under standard moisture conditions were calculated.
During the soybean harvest period, three soybean plants with consistent growth were selected from each treatment group. The soybean plants were uprooted, and the main roots were cut. The roots were then placed in a culture dish and washed with phosphate-buffered saline (PBS buffer) to remove soil and surface residues. The plants were immediately placed in enzyme-free cryovials and stored on dry ice in a −80 °C medical ultra-low temperature freezer for subsequent testing. One part was used for the determination of endophytic bacteria in roots, and the other part was used for the detection of root metabolomes.
2.5. DNA Extraction and High-Throughput Sequencing
The cetyltrimethylammonium bromide (CTAB) method was selected to extract the total DNA of root endophytic bacteria. The DNA extraction quality was detected via 1% agarose gel electrophoresis, and the DNA concentration was quantified via an ultraviolet spectrophotometer. The polymerase chain reaction (PCR) amplification of the V3-V4 regions of the 16S ribosomal DNA (16S rRNA) gene in endophytic bacteria was performed using PCR primers 341F (5′- CCTACGGGNGGCWGCAG-3′) and 805R (5′- GATACHVGGGTWTCTATCC-3′). The specific PCR conditions were as follows: 1. pre-denaturing at 98 °C for 30 s (denature at 98 °C for 10 s and anneal at 54 °C for 30 s (35 cycles)), 2. extend at 72 °C for 45 s, and 3. extend for 10 min at 72 °C. The integrity of the PCR products was detected via 2% agarose gel electrophoresis, and the PCR products were recovered using an AMPure XT beads recovery kit. The PCR product was purified from AMPure XT beads (Beckman Coulter Genomics, Danvers, MA, USA) and quantified using a Qubit dsDNA HS detection kit (Invitrogen, Carlsbad, CA, USA). The purified PCR products were analyzed using an Agilent 2100 bioanalyzer (Agilent, Santa Clara, CA, USA) and Illumina Library Quantification Kit (Kapa Biosciences, Woburn, MA, USA). Then, the sample was submitted to LC Bio Technology Co., Ltd. (Hangzhou, China), and high-throughput sequencing was performed on the Illumina NovaSeq platform.
The raw data obtained from the sequencing project were spliced and filtered to obtain clean data. Samples were data-split, and joints and barcode sequences were removed based on barcode information. Double-ended reads were merged using the FLASH software (v1.2.8). Raw data were controlled for quality under specific filtering conditions to obtain high-quality clean tags based on fqtrim (v0.94). Chimeric sequences were filtered using the Vsearch online software (v2.3.4). Demodulation and denoising were performed, and amplicon sequence variant (ASV) sequences and abundance tables were obtained using the DADA2 program. The SILVA (Release 138, https://www.arb-silva.de/) (accessed on 10 November 2023) database was used for the species annotation of bacteria. Veen plots were used to observe the relationship between the number of ASVs in different treatment groups. Using the public QIIME2 platform, alpha diversity analyses were performed using observed_otus and the Shannon index to reflect the species’ richness within the group. The linear discriminant analysis effect size (LEfSe) method was used to screen biomarkers for different treatments.
2.6. Non-Targeted Metabolomics Analysis of Soybean Roots
2.6.1. Extracting Metabolites from Soybean Roots
In total, 50 mg of soybean root was used as a sample. Then, 500 μL of 80% ice methanol solution was added to a 2.0 mL EP tube, and a small number of steel balls was added; they were ground in a grinder. The sample was placed in a −20 °C refrigerator and left to stand for 30 min. In total, 20,000 g was used for centrifugation, which was carried out for 15 min. Then, 400 μL of the supernatant was placed into another EP tube; the supernatant was frozen and dried, and 100 μL of the 50% ice methanol solution was added for reconstitution. Centrifugation was carried out again for the 20,000 g sample for 15 min, and the supernatant was transferred to an injection bottle for UPLC-HRMS detection.
2.6.2. Liquid Chromatography–Mass Spectrometry
A liquid chromatography–mass spectrometry (LC-MS) analysis was performed using the Vanquish Flex UPLC (Thermo) ultra-high-pressure liquid chromatography system, and the high-resolution mass spectrometer Orbitrap Exploris 120 (Thermo Fisher Scientific, Bremen, Germany) was used. The extract was extracted via an ACQUITY UPLC T3 column (100 mm × 2.1 mm, 1.8 µm). Reverse separation was performed at a rate of 0.35 mL/min on Waters, UK. The mobile phase consisted of the following: phase A, containing water (5 mmol/L ammonium acetate + 5 mmol/L acetic acid), and phase B, containing acetonitrile (LC-MS acetonitrile). The gradient elution conditions were set as follows: 0 to 0.5 min, 5% B; 0.5 to 7 min, 5–100% B; 7 to 8 min, 100% to 100% B; 8.0 to 8.1 min, 100% to 5% B; 8.1 to 10 min, 5% B.
Each sample underwent one positive and one negative ion mode acquisition instance on the Orbitrap Exploris 120 mass spectrometer. The configuration was set to the DDA mode to obtain data, with a primary resolution of 60 K. The first four signal ions with a signal accumulation intensity exceeding 5000 were selected for secondary fragmentation scanning, with a secondary resolution of 15 K. To evaluate the stability of LC-MS throughout the entire collection process, two quality control samples were collected first, and then one quality control sample was collected every four samples.
2.6.3. Identification of Differential Metabolites
The raw data were converted into readable data mzXML using MSConvert software v1.0. Peak extraction was conducted using the XCMS software v1.0, followed by the sum-ion annotation of the extracted peaks with CAMERA; subsequently, primary identification was conducted using the metaX software (www.metaxsoft.com/) (accessed on 15 November 2023), and then the quantification of differential metabolites and differential metabolite screening was carried out. Metabolites were annotated using online KEGG and HMDB databases. Student’s t-tests were used to detect differences in metabolite concentrations between the two phenotypes. A supervised partial least squares discriminant analysis (PLS-DA) was performed using metaX to distinguish different variables between groups, and the variables important for the projection (VIP) values were calculated with VIP ≥ 1.0.
2.7. Data Processing and Analysis
Statistical analysis was conducted using SPSS 26.0, with p < 0.05 as the threshold for significant differences. All values are expressed as mean ± standard deviation. The differences between data processing were tested for significance using Duncan’s post hoc comparison (p < 0.05). In order to control the probability of committing type I errors (i.e., false positive errors) in multiple comparisons, we corrected the results of multiple comparisons of metabolic pathways using the false discovery rate (FDR) method of the BH (Benjamini–Hochberg) process. A Spearman’s correlation analysis was used to study the relationship between endophytic bacterial communities and the metabolome. A structural equation model was constructed using Amos 26.0 to investigate the effects of endophytic bacteria and metabolites on yield, and a path diagram was drawn using Visio 2019.
3. Results and Analysis
3.1. The Effects of Biochar and Nitrogen Fertilizer on Soybean Yield
The effects of nitrogen fertilizer and biochar application on soybean yield are shown in Table 1. The yields of the treatments were C2N1, C1N1, C0N1, and C0N0, in descending order, among which the C2N1 treatment showed a significant increase in yield, the C0N1 treatment showed a 6.98% increase in yield compared to the C0N0 treatment, and the yields of the treatments with high levels of biochar showed an increase in yield of 49.33%, 39.59%, and 34.24% compared to the C0N0, C0N1, and C1N1 treatments, respectively; therefore, it can be seen that the addition of high-level biochar played an absolute role in the increase in yield, and the combination of biochar and nitrogen fertilizer may be more beneficial to the growth of soybeans.

Table 1.
Soybean yield of each treatment.
3.2. The Effect of Biochar Combined with Nitrogen Fertilizer on Endophytic Bacteria in Soybean Roots
3.2.1. Analysis of Quality Control Data Results
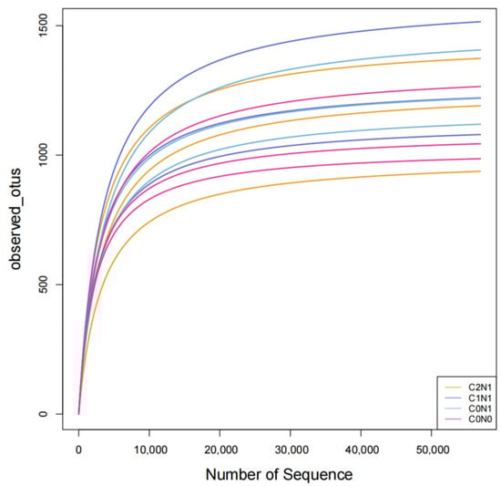
After quality control, 16S rRNA gene sequencing produced 724,291 tags. From the dilution curve, it can be observed that the curve tended to stabilize, with only a small number of new species emerging as the number of sequences increased (Figure 1). This indicates that the amount of data in this experiment is reasonable, can meet the sequencing requirements, and can more accurately reflect the changes in the endophytic bacterial community in soybean roots.

Figure 1.
ASV dilution curve of endophytic bacteria in soybean roots.
3.2.2. Structure of Endophytic Bacterial Community in Roots
According to the Venn diagram (Figure 2) obtained from the ASV feature sequence, a total of 6037 ASVs were identified in the four treatments, of which 661 were common ASVs. The number of ASV unique to C0N0, C0N1, C1N1, and C2N1 was 865, 1095, 987, and 1006, respectively. There were both similarities and differences between different groups, indicating that the application of biochar and nitrogen fertilizers caused changes in the endophytic bacterial community in soybean roots.

Figure 2.
Venn plot of ASV number of endophytic bacteria in soybean roots.
3.2.3. Analysis of the Richness and Diversity of Endophytic Bacteria in Roots
The alpha diversity of endophytic bacterial communities is reflected in the observed_otus and the Shannon index (Table 2). Compared with C0N0, the application of nitrogen fertilizers increased the observed_otus index of endophytic bacteria and decreased the Shannon index. Under the same nitrogen content, observed_otus first increased and then decreased with an increase in biochar content, while the Shannon index continued to decrease.

Table 2.
Alpha diversity of endophytic bacterial communities.
3.2.4. Species Composition of Endophytic Bacterial Communities in Roots
The top 30 species were selected for abundance analysis and presented in a stacked bar chart format (Figure 3). The dominant phyla of endophytic bacterial communities were Proteobacteria (62.17%), Bacteroidota (11.7%), Actinobacterota (9.74%), Acidobacteriota (7.17%), and Myxococcata (3.88%), accounting for 94.67% of the entire endophytic bacterial community (Figure 3a). The application of nitrogen fertilizers reduced the relative abundance of Proteobacteria, Acidobacteriota, and Myxococcata while increasing the relative abundance of Bacteroidoota and Actinobacterota. At the same nitrogen fertilizer level, the relative abundance of Actinobacterota decreased as the biochar content increased, whereas the relative abundance of Proteobacteria and Acidobacteriota exhibited a trend that first increased and then decreased. In contrast, the relative abundance of Bacteroidoota and Myxococcata exhibited an initial decrease followed by an increase. Among the top 30 species in terms of abundance, the dominant genera of endophytic bacterial communities were Bradyrhizobium (7.16%), Streptomyces (5.04%), Rhizobacter (3.84%), Variovorax (3.65%), and Niastella (3.18%), accounting for 22.87% of the entire endophytic bacterial community (Figure 3b). The application of nitrogen fertilizers reduced the relative abundance of Bradyrhizobium and Rhizobium, but it increased that of Streptomyces, Variovorax, and Niastella. Under the same nitrogen fertilizer application rate, the relative abundance of Bradyrhizobium, Rhizobacter, and Variovorax initially increased and then decreased with increasing rates of biochar application, while the relative abundance of Streptomyces and Niastella first decreased and then increased.

Figure 3.
Relative abundance of endophytic bacteria in soybean roots at the phylum (a) and genus (b) level.
3.2.5. LEfSe Analysis
The LEfSe method was used in linear discriminant analysis (LDA) to identify the biomarkers of four treatments (Figure 4). A total of 14 different species were obtained from the analysis of four bacterial treatments at five levels: phylum, class, order, family, and genus. This study only examined species that can be classified at the phylum and genus levels. According to the evolutionary branching diagram, the marker species for the C1N1 treatment were the Pseudoflavitalea and Mesorhizobium genera, while the marker species for the C2N1 treatment were the phylum Bacteroidota and the genera Niastella, Taibaiella, Ohtaekwangia, Shinella, Sphingobium, and Tahibacter.

Figure 4.
LEfSe analysis—branch evolution diagram.
3.3. Effects of Biochar Combined with Nitrogen Fertilizers on Soybean Root Metabolism
3.3.1. Effects of Biochar Combined with Nitrogen Fertilizers on Metabolites in Soybean Roots
The total ion chromatogram (Figure 5) obtained by analyzing the metabolites of soybean roots in all samples using liquid chromatography–mass spectrometry technology exhibited good separation between the peaks and differences in the processed samples. Through sample testing, a total of 1372 metabolites were obtained, and they belong to lipids and lipid-like molecules (35%), organic acids and derivatives (12%), phenylpropanoids and polyketides (12%), organoheterocyclic compounds (11%), benzenoids (10%), organic oxygen compounds (4%), nucleosides, nucleotides, and analogs (1%).

Figure 5.
Total ion chromatogram of metabolites in soybean roots under different treatments: (a) positive ion and (b) negative ion.
3.3.2. Differential Metabolite Analysis
Firstly, in order to explore how nitrogen fertilizers affect soybean root metabolites, a total of 37 differential metabolites were detected by comparing the C0N1 and C0N0 groups (Figure 6a), among which the upregulated metabolites were Nonadeca-10(Z)-enoic acid, palmitoleoyl ethanolamide, PE(16:0/18:3(9Z,12Z,15Z)), styrene, 2,6-dimethoxyphenol, 7-hydroxy-2,5-dimethyl-4H-1-benzopyran-4-one, galiellalactone, 3alpha-hydroxyoreadone, and cis-4-hydroxyequol. The main focus was on lipids and lipid-like molecules, organoheterocyclic compounds, and benzenoids. The top 10 downregulated metabolites included Glu-Trp, uracil, Phe-Thr, (2′E,4′Z,7′Z,8E)-colnelenic acid, 4-methyl-5-thiazoleethanol, histidinyl–isoleucine, (S)-3,4-dihydroxybutyric acid, His-Phe, Ile-Lys, and Leu-Phe, belonging to organic acids and derivatives, organoheterocyclic compounds, and lipids and lipid-like molecules. The effect of biochar applications on soybean root metabolites was explored, comparing 517 metabolites detected in the C2N1 and C1N1 groups (Figure 6b) and selecting the top 10 metabolites for analysis based on their small to large p-values. The top 10 metabolites upregulated included Z-Ligustilide, 3-hydroxysuberic acid, 2-methoxy-6-methylpyrazine, 1-methylene-5.alpha.-androstan-3.alpha.-ol-17-one, N-acetyl-beta-alanine, D-ribulose, (Z)-3-oxo-2-(2-pentenyl)-1-cyclopenteneacetic acid, 9-oxo-10(E),12(E)-octadecadienoic acid, santalon, and dihydromethysticin, with a main focus on organic acids and derivatives, organoheterocyclic compounds, lipids and lipid-like molecules, phenylpropanoids, and polyketides. The top 10 downregulated metabolites included M-toluic acid, 1,3,5-benzenetriol, 7-allyloxycoumarin, citronellyl anthranilate, chlordiazepoxide, gentisic acid, 5-hydroxy-6E,8Z,11Z,14Z,17Z-eicosapentaenoic acid, nordihydrocapsaicin, (R)-dihydromaleimide, and hexamethylenetetramine, with most belonging to organoheterocyclic compounds, benzenoids, and lipids and lipid-like molecules.

Figure 6.
(a) Comparison heatmap of differential metabolites between the C0N1 and the C0N0 group. (b) Heatmap of differential metabolites between the C2N1 and the C1N1 group.
3.3.3. Enrichment Analysis of Metabolic Pathways
After identifying differential metabolites, a differential metabolite enrichment analysis was performed, and the results of the comparison of metabolite pathways between different treatment groups are presented in a Supplementary Table (Table S1). A total of nine significant pathways were detected between groups C0N1 and C0N0 (p < 0.05) (Figure 7a), among which pathways glycosylphosphatidylinositol (GPI)-anchor biosynthesis was the most significant. This was followed by glycerophospholipid metabolism and pyrimidine metabolism, and the differential metabolites involved in metabolic pathways included phosphatidylethanolamine, 1-acyl-sn-glycero-3-phosphoethanolamine, uracil, and uridine; these differential metabolites belong to lipids and lipid-like molecules, organoheterocyclic compounds and nucleosides, nucleotides, and analogs. A total of 23 significant paths were detected between the C2N1 and the C1N1 group (p < 0.05) (Figure 7b), among which the glycerophospholipid metabolism pathway was the most significant. This was followed by the biosynthesis of plant hormones and linoleic acid metabolism, and the differential metabolites involved in metabolic pathways included sn-glycerol 3-phosphate, phosphatidylglycerol, phosphatidylethanolamine, 1-acyl-sn-glycerol 3-phosphate, 1-acylglycerophosphoinositol, 1-acyl-sn-glycero-3-phosphocholine, 1-acyl-sn-glycero-3-phosphoethanolamine, cardiolipin, diacylglyceryl-N,N,N-trimethylhomoserine, L-methionine, L-tryptophan, L-phenylalanine, anthranilate, indole-3-acetate, 1-aminocyclopropane-1-carboxylate, abscisate, (-)-jasmonic acid, linoleate, (6Z,9Z,12Z)-octadecatrienoic acid, 9(10)-EpOME, 9,10-DHOME, and 12,13-DHOME. They belong to organoheterocyclic compounds, lipids and lipid-like molecules, and organic acids and derivatives.

Figure 7.
Metabolic pathways detected based on the KEGG database. Horizontal coordinate enrichment factor = number of differential metabolites located in that KEGG pathway/number of total metabolites located in that KEGG pathway; the vertical coordinate is the pathway name. The size of the dot indicates the number of differential metabolites in that KEGG pathway. The color of the dots is the p-value, with redder dots representing smaller p-values and more significant pathways. (a) Bubble plot for comparison between the C0N1 and the C0N0 group. (b) Bubble plot for comparison between the C2N1 and the C1N1 group.
3.4. Correlation Analysis Between Endophytic Bacterial Community and Metabolites in Soybean Roots
A Spearman’s correlation analysis was conducted on the screened differential secondary metabolites obtained from metabolomics and the significant differences in the genus-level endophytic microbiota were obtained from a 16S sequencing analysis to determine the relationship between differential metabolites and differential microbiota. A focus was placed on the relationship between the upregulated and downregulated metabolites (metabolites that are closely related to crop growth) mentioned earlier and different species, and their priority was examined according to a small to large p-value (p < 0.05). Compared to C0N0 (Figure 8a), the metabolite palmitoleoyl ethanolamide in C0N1 was positively correlated with the genera Altererythrobacter, Mesorhizobium, and Cytophaga, and it was negatively correlated with the genera Caulobacter, SWB02, AAP99, Nannocystis, and Bauldia. The metabolite PE(16:0/18:3(9Z,12Z,15Z)) was positively correlated with the genera Mesorhizobium, Altererythrobacter, Streptomyces, Edaphobaculum, and Flavisolibacter. It was negatively correlated with the genera Caulobacter, SWB02, and Bauldia; the metabolite Glu-Trp was positively correlated with the genera Actinoplanes, Dyella, naeromyxobacter, Bryobacter, AAP99, Nannocystis, Caulobacter, and SWB02, and it was negatively correlated with the genera Cytophaga, Niastella, Nocardioides, and Altererythrobacter. The metabolite Ile-Lys was positively correlated with the genera Bauldia, Dyella, and Anaeromyxobacter, and it was negatively correlated with the genera Caenimonas, Aeromicrobium, and RB41. Compared with the C1N1 group (Figure 8b), the metabolite D-ribulose in the C2N1 group was positively correlated with the genera Shinella, Flavobacterium, and OLB12, and it was negatively correlated with the genera Methylibium, Sporichthya, Aminobacter, Herminiimonas, and Intrasporangium. The metabolite Z-ligustilide was positively correlated with the genera Aminobacter, Herminiimonas, Verrucosispora, Intrasporangium, Rhizobacter, Kribbella, and Gaiella, and it was negatively correlated with the genera Shinella, Bordetella, MND1, Niastella, Flavobacterium, Edaphobaculum, Sphingobium, and Ohtaekwangia. The metabolite 1,3,5-benzenetriol was positively correlated with the genera Methylibium, Sporichthya, Tardiphaga, and Mesorhizobium, and it was negatively correlated with the genera Shinella, Hassallia, Pelomonas, and OLB12. The metabolite 7-allyloxycoumarin was positively correlated with the genera MND1, Aminobacter, Herminiimonas, Verrucosispora, Intrasporangium, Rhizobacter, Legionella, and Kribbella, and it was negatively correlated with the genera Bordetella, Flavobacterium, Edaphobaculum, and Sphingobium.

Figure 8.
(a) Network diagram of the 16S and metabolite joint analysis between C0N1 and C0N0 and (b) C2N1 and C1N1.
3.5. The Impact Mechanism of Endophytic Bacteria and Metabolites in Soybean Roots on Yield
In this study, a single-factor analysis of variance and structural equation modeling were used to analyze the impact mechanism of endogenous bacteria and metabolites in soybean roots on yields under biochar conditions combined with nitrogen fertilizer application (Figure 9). Due to the influence of the sample size on the model [], only representative indicators were selected to construct the model in this study. Firstly, the top ten bacteria were selected at the phylum and genus levels, in addition to the top ten metabolites with upregulated and downregulated rankings in different treatment groups. Through an analysis of variance, species that had significant responses to the experimental treatment were selected, and a structural equation model was constructed based on the screening results. After multiple revisions, the final model was obtained, as shown in Figure 9 (the data on the path are the path coefficient; * represents p < 0.05). The revised model fit index had a value of χ2/df = 0.959 < 3, a GFI of 0.779 < 0.9, a CFI of 1 > 0.9, and an RMSEA of 0 < 0.05. With the exception of GFI, which did not meet the adaptation standards, all other indicators met the adaptation standards. Overall, the constructed model was consistent with reality, indicating that the model can be accepted. This model indicates that both endophytic bacteria and metabolites have a significant positive impact on yield. Bradyrhizobium and Rhizobacter are observable variables with significant positive effects on endophytic bacteria, while Phe-Thr and 7-allyloxycoumarin are observable variables with significant positive effects on metabolites. It can also be observed in the model that endophytic bacteria not only had a direct impact on crop yield, but also indirectly affected crop yields through their effects on metabolites. The direct, indirect, and total effects among endophytes, metabolites, and production are shown in Table 3.

Figure 9.
Path diagram of the structural equation model.

Table 3.
Analysis of the impact of endophytic bacteria and metabolites on yield.
4. Discussion
4.1. Combined Biochar and Nitrogen Applications Changed the Structure of Endophytic Bacterial Communities in Soybean Roots
Endophytic bacteria are crucial for maintaining healthy crop growth. In this study, it was observed that the combination of biochar and nitrogen fertilizers had an impact on the diversity and composition of endophytic bacterial communities. Proteobacteria, Bacteroidota, and Actinobacteriota were the top three dominant phyla in terms of the relative abundance of endophytic bacterial communities in roots in this experiment. Proteobacteria is the most common endophytic bacterial phylum that promotes plant growth and reduces the risk of plant diseases by interacting with crop roots []. In this study, this phylum accounted for the largest proportion of endophytic bacterial communities in soybean roots. However, the application of nitrogen fertilizers reduced the relative abundance of Proteobacteria, a phenomenon which may be due to the acidification of Proteobacteria cells when the soil pH value was lower than the optimal extracellular pH value [], thereby inhibiting Proteobacteria growth and metabolism []. The application of nitrogen fertilizer may cause a decrease in soil pH [] which may affect the growth of Proteobacteria, whereas biochar, when applied in combination with nitrogen fertilizers, increases soil pH because it is inherently alkaline [] and carries functional groups that neutralize H in the soil, further increasing the relative abundance of Proteobacteria []. However, the relative abundance of Proteobacteria was again reduced in the C2N1 treatment, perhaps because high levels of biochar resulted in a high soil pH [] which also caused an imbalance between acidity and alkalinity inside and outside the bacterial cell; this is unfavorable for the growth of Proteobacteria. Bacteroidota are an important biological indicator for evaluating soil quality []. In this experiment, the increase in the relative abundance of Bacteroidota by applying nitrogen fertilizers alone may indicate an improvement in soil quality. Simultaneously, with an increase in biochar content, the relative abundance of Bacteroidota also increased. This may be due to the biochar’s application to the soil which releases carbon sources [], and soybean roots absorb sufficient carbon sources and nutrients from the soil, promoting the reproduction and growth of Bacteroidota. Similarly to the study of Li et al. [], Proteobacteria and Bacteroidota were found to be the two common dominant phyla in cabbage leaves and radish seedlings, a phenomenon which may be due to the fact that both Proteobacteria and Bacteroidota belong to the phylum of eutrophic bacteria []. The application of biochar and nitrogen fertilizer enriches carbon and nitrogen sources in the soil [], and nutrients are transmitted to Proteobacteria and Bacteroidota through the roots for their growth, thereby promoting soybean growth. Actinobacteriota, as endophytic bacteria in plants, can produce various pro-life substances, such as indole-3-acetic acid and plant hormones, and their function is to help host plants fix nitrogen []. It is beneficial for plants to extract more nutrients from the environment. The results of this study found that the application of nitrogen fertilizer increased the relative abundance of Actinobacteriota, indicating that some members of Actinobacteriota can use nitrogen sources to promote their own growth, while biochar decreased the relative abundance of Actinobacteriota. Based on previous research, it was observed that the application of biochar may promote the growth of certain types of bacteria, thereby consuming most of the carbon in the soil []; therefore, it is not conducive to Actinobacteriota’s absorption of carbon from the soil through the roots, posing a threat to the growth of Actinobacteriota. In addition, from the results, it was found that the combined application of biochar and nitrogen did not cause significant changes in the relative abundance of Actinobacteriota, a phenomenon which is also beneficial for the stability of plant growth hormones. This also indicates that reasonable fertilization can play a stabilizing and promoting role in soybean growth. Bradyrhizobium belongs to the Rhizobium family and has nitrogen and carbon fixation functions []; it has been proven to be involved in the growth and development of host plants []. Moreover, it interacts with the roots of leguminous plants to fix nitrogen [], forming root nodules that improve the nitrogen utilization efficiency of plants. The application of biochar can provide sufficient carbon sources for nitrogen-fixing bacteria to activate their activity [], and biochar—because of its large porosity [] and soil-loosening characteristics []—can also be applied to the soil in order to render it more porous, an approach which also improves the spatial environment for Bradyrhizobium when forming rhizomes. This also explains why the relative abundance of Bradyrhizobium was highest in the C1N1 treatment, but the experimental results also found that high amounts of biochar can actually reduce the relative abundance of Bradyrhizobium. This also shows that higher biochar contents are not always better, and an appropriate amount of biochar with nitrogen fertilizers can provide more suitable conditions and nutrients for Bradyrhizobium. Moreover, this may promote soybean growth by improving the nitrogen fertilizer utilization efficiency of soybeans. Streptomyces is an important genus in the endophytic phylum Actinobacteriota []. Streptomyces can produce streptomycin, which is an aminoglycoside antibiotic that is commonly used in agricultural practice as a potent bactericidal antibiotic; it affects plant health by altering the composition of microbial communities []. In addition, the endophytic bacteria Streptomyces can effectively control harmful organisms by inducing host plants to develop resistance and interfering with nematode reproduction to suppress nematode populations. Plant parasitic nematodes erode plant roots, block nutrient absorption, and make plants more susceptible to infection, weakening root health []. Therefore, the enrichment of Streptomyces is of great significance for the healthy growth of plants. The effects of nitrogen fertilizers and biochar on Streptomyces are similar to those on Actinobacteriota, that is, the relative abundance of Streptomyces was significantly increased in a single nitrogen fertilizer treatment, while biochar reduced the relative abundance of Streptomyces. Rhizobacter, as rhizosphere bacteria, have multiple interactions with plants, reducing the harm of external environments relative to plant growth by regulating photosynthesis efficiency, ion homeostasis, osmotic regulation factors, and the gene expression of plant hormone signaling pathways []. Research has shown that the application of nitrogen fertilizers alone or high levels of biochar can decrease the relative abundance of Rhizobacter. This study speculates that Rhizobacter act as endophytic bacteria with a strong sensitivity to soil pH. Both excessively acid and excessively alkali treatments are detrimental to the survival of Rhizobacter. Rhizobacter had the highest relative abundance in the C1N1 treatment, indicating that the appropriate combination of biochar and nitrogen fertilizer can provide a suitable environment for the survival of Rhizobacter. The experiments conducted by Pang et al. [] also reached similar conclusions, indicating the importance of rational fertilization for stabilizing the endophytic bacterial community in soybean roots.
4.2. Biochar Combined with Nitrogen Fertilizer Alters Soybean Root Metabolites
Due to the accumulation of metabolites in plants to resist abiotic stress [], it is necessary to study the metabolites of soybean roots. Through metabolomics analyses, we identified different metabolites and important metabolic pathways generated by the combined application of biochar and nitrogen fertilizers, and we observed that upregulated metabolites were mainly concentrated in lipids and lipid molecules, organic heterocyclic compounds, and benzene. Wang et al. [] also reported similar results, and they observed that these metabolites may interfere with specific metabolic pathways. Lipids and lipid molecules and organic heterocyclic compounds are considered beneficial indicators for plants []. Benzene metabolites play important roles in plant chemistry and physical defense mechanisms [], and it can be observed that nitrogen fertilizers and biochar can regulate the activity of beneficial metabolites in soybean roots for plant growth. A metabolic pathway enrichment analysis was conducted to determine the fundamental biological pathways involved in specific biological processes [] and to further determine the impact of soybean root metabolome on plant growth. The enrichment analysis results showed that, compared with C0N0, the pathway glycosylphosphatidylinositol (GPI)-anchor biosynthesis was the most significant in C0N1. The effects of biochar and nitrogen fertilizers on GPI-anchor biosynthesis may be indirect, and nitrogen fertilizers participate in plant nitrogen metabolism and protein synthesis []; thus, they may also have an effect on the synthesis of GPI-anchor biosynthesis precursor proteins, a phenomenon which may, in turn, be significant. It has been shown that the application of biochar can change the content of cell wall polysaccharides [], affecting the structure and function of the cell wall, while GPI-anchor proteins play an important role in the synthesis of the cell wall and extracellular signaling []; thus, biochar may indirectly have a certain effect on GPI. GPI is widely present in plants and significantly contributes to cell growth, development, and immune processes. If GPI-anchor pathway genes are mutated or deleted during plant metabolism, it can cause abnormal plant growth []. The high significance of the GPI pathway detected in this study also provides good evidence for this fact. GPI biosynthesis, as a metabolic pathway, may also inhibit the growth of parasites by reducing the relative abundance of the important components of GPI biosynthesis, namely N-acetylglucosaminyl-phosphatidylinositol de-N-acetylaseor inositol acyltransferase. The growth of parasites, including Plasmodium falciparum, can be prevented during the cell development cycle []. Malignant malaria parasites undoubtedly pose a certain threat to the growth of soybeans; thus, it is necessary for GPI-anchor biosynthesis to exist as a metabolic pathway in soybean roots. The glycerophospholipid metabolism pathway was also highly significant in this study. Some studies have suggested that the upregulation of phospholipase D and phospholipase C genes in the glycerophospholipid metabolism pathway results in the upregulation of glycerophospholipid hydrolysis products, which happen to be important signaling molecules in plant growth and development []. In this research, the application of nitrogen fertilizer significantly enhanced the glycerophospholipid metabolism pathway and regulated the activity of beneficial metabolites in the pathway, thereby promoting crop growth. It can be observed that nitrogen fertilizers play a necessary role in soybean growth and development. The metabolomic analysis also revealed significant pathways for pyrimidine and purine metabolism, with purine and pyrimidine being heterocyclic aromatic organic compounds involved in many biochemical processes in plants [], such as transmitting signaling molecules []. These play an important role in plant growth and development. Pyrimidine is an important nutrient component and a key biomolecule in nucleic acid biosynthesis and carbohydrate and lipid metabolism []. Previous studies have found that it is indeed possible to promote plant growth and development by regulating the pyrimidine metabolism pathway []. There are metabolites in the purine metabolism pathway that continuously provide nitrogen sources for the growth process of leguminous plants, in addition to some derivatives that act as plant growth promoters []. By applying nitrogen fertilizers, soybeans not only absorb the required nitrogen from the soil, but also release nitrogen sources by regulating metabolic pathways and activating metabolic molecules to provide sufficient nitrogen to secure the nutrients required for soybean growth. In many previous studies, it has been found that, in experimental groups with significant enrichment of purine and pyrimidine metabolic pathways, the growth and yield of the crop, as well as its quality, were generally better []. Therefore, this study speculates that the purine and pyrimidine metabolic pathways also have a certain promoting effect on soybean growth, and soybean yields can be an important research topic in future studies. By comparing the effects of biochar amounts on metabolic pathways, it was observed that the glycerophospholipid metabolism pathway was the most significant, and it was significantly higher than the significance of nitrogen fertilizers alone because the biochar may affect the fluidity and permeability of the cell membrane by altering its lipid composition, which is the main component of the cell membrane []. Therefore, high levels of biochar can significantly enrich the glycerophospholipid metabolism pathway. Furthermore, it can be inferred that the promotion effect of high-level biochar combined with nitrogen fertilizers on soybean growth may be more significant. The biosynthesis of plant hormones also exhibits substantial significance, as plant hormones interact with the biosynthesis and signaling pathways of nitrogen metabolism []. The application of biochar will also affect the activity of nitrogen-fixing microorganisms and microorganisms capable of nitrification and denitrification in soil []. Therefore, the significant impact of the biosynthesis of plant hormones may be due to the influence of biochar on nitrogen cycling and the plant uptake of nitrogen, indirectly affecting the biosynthesis pathway of plant hormones. Plant hormones are essential factors in regulating plant growth, development, and metabolic processes []. The upregulated differential metabolites L-methionine and L-tryptophan detected in the pathway in this study have been shown to promote plant growth and development, increase crop height and aboveground and belowground dry weight, and enhance plant root vitality []. These functions are beneficial for increasing soybean yields and improving quality. When plants are subjected to unfavorable growth conditions, the secondary metabolites in the biosynthesis of plant secondary metabolites can protect them from harmful stress []. In this study, high-level biochar improved plant nutrient absorption and adaptation to the environment by regulating internal metabolites and metabolic pathways or by stimulating endogenous hormone production in soybean roots through soil connection, thereby promoting growth.
4.3. The Correlation Between Endophytic Bacterial Communities and Metabolites in Soybean Roots
An endophytic bacterial-community–metabolite-network diagram was constructed according to a Spearman’s correlation to further determine the relationship between the two. Streptomyces showed a significant positive correlation (p < 0.05) with the metabolite PE(16:0/18:3(9Z,12Z,15Z)) in the nitrogen fertilizer treatment alone, which is located in the pathway of glycosylphosphatidylinositol GPI-anchor biosynthesis; this is also significant. Aminoglycoside antibiotics produced by Streptomyces as carbohydrates are able to activate phosphatidylinositol phospholipase (PI-PLC), and previous studies have shown that this activation is a unique property of this class of compounds []. Moreover, glycosylphosphatidylinositol (GPI) is also a substrate of PI-PLC. This complex sugar and lipid structure can anchor proteins on the outer side of the cell membrane and participate in signal transduction; GPI-anchor biosynthesis is crucial for the production of GPI-anchored proteins []. Therefore, based on the results obtained from this study, it is speculated that the application of nitrogen fertilizers activates specific enzymes within plants by enriching Streptomyces, and a specific relationship between their substrates and the GPI-anchor biosynthesis pathway is activated. The dominant bacterium Mesorhizobium was equally and significantly positively correlated with the metabolite PE(16:0/18:3(9Z,12Z,15Z)). Previous experiments have shown that inoculation with Mesorhizobium can increase root weight, yield, and nitrogen fixation in leguminous plants, and Mesorhizobium can play a critical role when the nutrients required for plant growth are insufficient []. Because of this positive correlation and the fact that nitrogen fertilizers upregulate the metabolite PE(16:0/18:3(9Z,12Z,15Z)), Mesorhizobium can also be enriched when nitrogen fertilizers are sufficient, a phenomenon which is beneficial for crop growth. The biosynthesis of plant hormones in the C2N1 and C1N1 control groups showed high significance, and the upregulated differential metabolite L-methionine detected in this pathway was significantly positively correlated with Shinella. Shinella has been experimentally proven to be closely related to the growth of leguminous plants, participating in nodulation and nitrogen fixation processes []. The optimal environmental condition for Shinella is a pH of 7–8 [], and L-methionine, as an amino acid, can inhibit rhizosphere soil nitrification during hydrolysis, resulting in high NH4+ accumulation []. This increases the pH value of the rhizosphere soil, and the function of L-methionine provides suitable conditions for the survival of Shinella, thereby playing a beneficial role in crop growth and promoting soybean growth. Flavobacterium is also positively correlated with the metabolite L-methionine. Flavobacterium has a strong ability to increase the value of plant roots and promote nutrient cycling for plant absorption [], and it can play a key role in plant growth and protection []. Flavobacterium is strictly aerobic []. Therefore, this study speculates that, as the application of biochar increases soil porosity, more oxygen enters the plant roots through the soil to provide a favorable environment for the survival of Flavobacterium and increases its relative abundance, which, in turn, upregulates the metabolite L-methionine through its specific relationship with the metabolite L-methionine, thereby increasing plant root vitality. In summary, the application of biochar and nitrogen fertilizer promoted soybean growth by regulating the synergistic relationship between root endophytic bacteria and metabolites.
4.4. The Impact Mechanism of Endogenous Bacteria and Metabolites on Yields
The structural equation modeling results show that both endophytic bacteria and metabolites had a positive and significant impact on yields, and endophytic bacteria not only had a direct and significant impact on yields but also affected yields by influencing metabolites. The path coefficient of endophytic bacteria with respect to soybean yields was 0.38 (p < 0.05), indicating that endophytic bacteria play an important positive role. Bradyrhizobium and Rhizobacter are positive and significant observable variables, suggesting that Bradyrhizobium and Rhizobacter are the main factors controlling the latent variable of endophytic bacteria. Both are beneficial bacteria that promote crop growth, and an increase in their relative abundance results in an increase in crop yields. The model also showed that latent metabolites had a significant positive effect on yields, with a path coefficient of 0.82 (p < 0.05) between 7-allyloxycoumarin and metabolites, indicating that the observable variable 7-allyloxycoumarin contributes the most to this positive effect of metabolites on yields. There is almost no relevant research on the impact of 7-allyloxycoumarin on crop growth, but in the section of this study discussing the correlation between endophytic bacteria and metabolites, a significant positive correlation was found between 7-allyloxycoumarin and Rhizobacter (p = 0.02 < 0.05), suggesting that 7-allyloxycoumarin may also have a promoting effect on crop growth. The observed variable Phe-Thr also plays a significant positive role in the impact of metabolites on yield. Phe-Thr is a dipeptide formed by Phe and Thr, and it is functionally related to L-phenylalanine and L-threonine. The phenylpropanoid derivatives of phenylalanine (Phe) contain photosynthetic products used in plant photosynthesis [], and they play an important role in plant growth. Threonine, as a functional amino acid, can promote plant root growth []. It can be observed that Phe-Thr also plays a similar promoting role in plant growth. This study also found that Phe-Thr and 7-allyloxycoumarin had the highest contents in the C2N1 treatment, and C2N1 had the highest yield, indicating that they did indeed have a positive promoting effect on soybean growth, further verifying the reliability of the model. The path coefficient between the observable variable styrene and the latent metabolite was -0 30; this indicates that styrene exhibits a negative effect on metabolites, and another study observed that styrene is a compound with moderate ecological toxicity hazards []. In this study, it was observed that the content of styrene was higher in the C1N1 treatment than in the C2N1 treatment, a phenomenon which may explain why Bradyrhizobium and Rhizobacter had the highest relative abundance in the C1N1 treatment, but the yield of the C1N1 treatment was lower than that of the C2N1 treatment. The presence of styrene can cause certain harm to crop growth, resulting in a lower yield in C1N1 than in C2N1. Furthermore, this result may imply that the impact of endophytic bacteria and metabolites on crops is not the sole effect of a single bacterium or metabolite, but rather the result of the combined action between the microbiota and metabolites.
This study only explored the correlation between endophytic bacteria and metabolites in soybean roots. However, the nutrients and environmental factors in the rhizosphere soil that are closely connected to soybean roots can also have a significant impact on soybean growth. Therefore, in future research, it is necessary to analyze soil environmental factors related to biochar and nitrogen factors together with endophytic bacteria and metabolites in soybean roots in order to obtain the driving factors and regulatory mechanisms of soybean production.
5. Conclusions
In this study, we investigate the changes in endophytic bacteria and metabolites in soybean roots under the application of biochar and nitrogen fertilizer using high-throughput sequencing and non-targeted metabolomics, and we further explore the synergistic effects of the two on yields. Based on the analysis of the experimental results, it was observed that most endophytic bacteria with increased relative abundance and upregulated metabolites and metabolic pathways promoted plant growth, a phenomenon which reflects that the combination of nitrogen fertilizers and biochar is indeed beneficial to agricultural production. In addition, this study found that the C2N1 treatment increased soybean yield significantly; thus, this study suggests that 20 t/ha of biochar can be applied in combination with 180kg/ha of nitrogen fertilizer, but we should also consider the benefits of agricultural production. Thus, we should combine the study with economic benefits in order to find the appropriate fertilizer ratio for agricultural production in subsequent studies. This experiment not only deepens our understanding of the interaction between biochar and nitrogen fertilizer, but also provides a deeper study of endophytic bacteria and metabolites in soybean roots. Moreover, theoretical support for the improvement of fertilizer management technology and scientific fertilization in agricultural production is also provided.
Supplementary Materials
The following supporting information can be downloaded at: https://www.mdpi.com/article/10.3390/agronomy15010177/s1.
Author Contributions
Conceptualization, H.L. and W.D.; formal analysis, H.L. and W.Z.; funding acquisition, H.L., G.S. and L.F.; methodology, H.L., L.W. and W.D.; writing—original draft, H.L. and W.D.; investigation, W.D.; data curation, W.D., W.Z. and Y.L.; software, W.Z. and Y.L.; validation, W.Z. and Y.L.; writing—review and editing, Y.L.; project administration, G.S. and L.F.; visualization, G.S. and L.W.; supervision, G.S.; resources, L.W. All authors have read and agreed to the published version of the manuscript.
Funding
This study was supported by the Heilongjiang Province Postdoctoral Fund Project (LBH-Z17017), the China Postdoctoral Science Foundation (2024MD753908), and the High-Quality Postgraduate Course Project of the Northeast Agricultural University: “Experimental Design and Regression Analysis”.
Data Availability Statement
Raw data and raw sequencing samples generated in this study are available from the corresponding authors upon request in accordance with completed data transfer protocols (Hui Liu).
Acknowledgments
This study was supported by the Xiangyang Base of the Northeast Agricultural University. All authors would like to thank Lian Chuan-Bio-technology Co., Ltd. (Hangzhou, China) for their assistance during the raw sequencing data analyses. All authors would also lile to thank MDPI for helping us with the English language editing.
Conflicts of Interest
The authors declare that they have no known competing financial interests or personal relationships that could have appeared to influence the work reported in this study.
References
- Mo, W.; Wang, P.; Shi, Q.; Zhao, X.; Zheng, X.; Ji, L.; Zhang, L.; Geng, M.; Wang, Y.; Wang, R. Uncovering key genes associated with protein and oil in soybeans based on transcriptomics and proteomics. Ind. Crop Prod. 2024, 222, 119981. [Google Scholar] [CrossRef]
- Wu, Z.S.; Xu, C.L.; Li, R.D.; Xu, Y.F.; Hua, J.X.; Sun, S.; Han, T.F.; Song, W.W.; Wu, C.X. Full-field straw mulching and fertilizer application improved the soybean seed yield through optimization of the root and canopy structure: A study case in Huang-Huai-Hai region. Eur. J. Agron. 2024, 159, 127280. [Google Scholar] [CrossRef]
- Wang, M.Y.; Mao, J.; Xu, Y.M.; Wang, S.; Liu, Y.H.; Ren, J.L.; Liu, S.C.; Qiao, Z.J.; Gao, X.N. The Impact of Varied Fertilizers on the Yield and Quality of Panicum miliaceum under Low Nitrogen Conditions. Phyton-Int. J. Exp. Bot. 2024, 93, 056157. [Google Scholar] [CrossRef]
- Wei, W.; Ma, M.; Jiang, X.; Fan, F.; Meng, F.; Cao, F.; Chen, H.; Guan, D.; Li, L.; Li, j. Long-term effects of nitrogen fertilization and Bradyrhizobium inoculation on diazotrophic community structure and diversity in soybean cultivation. Appl. Soil Ecol. 2025, 206, 105806. [Google Scholar] [CrossRef]
- Tadesse, K.A.; Lu, Z.; Shen, Z.; Daba, N.A.; Li, J.W.; Alam, M.A.; Liu, L.S.; Gilbert, N.; Legesse, T.G.; Zhang, H.M. Impacts of long-term chemical nitrogen fertilization on soil quality, crop yield, and greenhouse gas emissions: With insights into post-lime application responses. Sci. Total Environ. 2024, 944, 173827. [Google Scholar] [CrossRef]
- Ullah, S.; Zhao, Q.; Wu, K.; Ali, I.; Liang, H.; Iqbal, A.; Wei, S.Q.; Cheng, F.W.; Ahmad, S.; Jiang, L.C. Biochar application to rice with 15N-labelled fertilizers, enhanced leaf nitrogen concentration and assimilation by improving morpho-physiological traits and soil quality. Saudi J. Biol. Sci. 2021, 28, 3399–3413. [Google Scholar] [CrossRef]
- Kubar, M.S.; Shar, A.H.; Kubar, K.A.; Rind, N.A.; Ullah, H.; Kalhoro, S.A.; Wang, C.; Feng, M.; Gujar, A.; Sun, H. Optimizing nitrogen supply promotes biomass, physiological characteristics and yield components of soybean (Glycine max L. Merr.). Saudi J. Biol. Sci. 2021, 28, 6209–6217. [Google Scholar] [CrossRef]
- Du, L.; Zhong, H.; Guo, X.; Li, H.; Xia, J.; Chen, Q. Nitrogen fertilization and soil nitrogen cycling: Unraveling the links among multiple environmental factors, functional genes, and transformation rates. Sci. Total Environ. 2024, 951, 175561. [Google Scholar] [CrossRef]
- Campion, L.; Bechanova, M.; Malian, R.; Kuppens, T. The costs and benefits of biochar production and use: A systematic review. J. Clean. Prod. 2023, 408, 137138. [Google Scholar] [CrossRef]
- Zhang, F.; Chen, T.T.; Zhu, H.Y.; Wang, Z.; Zhang, W.T.; Dai, W.N.; Chi, D.C.; Xia, G.M. Biochar decreased N loss from paddy ecosystem under alternate wetting and drying in the Lower Liaohe River Plain, China. Agric. Water Manag. 2024, 305, 109108. [Google Scholar] [CrossRef]
- Ullah, S.; Liang, H.; Ali, I.; Zhao, Q.; Iqbal, A.; Wei, S.Q.; Shah, T.; Yan, B.; Jiang, L.G. Biochar coupled with contrasting nitrogen sources mediated changes in carbon and nitrogen pools, microbial and enzymatic activity in paddy soil. J. Saudi Chem. Soc. 2020, 24, 835–849. [Google Scholar] [CrossRef]
- Liu, D.P.; Li, M.X.; Liu, Y.; Shi, L.X. Integration of the metabolome and transcriptome reveals the resistance mechanism to low nitrogen in wild soybean seedling roots. Environ. Exp. Bot. 2020, 175, 104043. [Google Scholar] [CrossRef]
- Verma, J.P.; Yadav, J.; Tiwari, K.N.; Kumar, A. Effect of indigenous Mesorhizobium spp. and plant growth promoting rhizobacteria on yields and nutrients uptake of chickpea (Cicer arietinum L.) under sustainable agriculture. Ecol. Eng. 2013, 51, 282–286. [Google Scholar] [CrossRef]
- Ali, M.A.; Ahmed, T.; Ibrahim, M.; Chong, K.P.; Yong, J.W.H. A review on mechanisms and prospects of endophytic bacteria in biocontrol of plant pathogenic fungi and their plant growth-promoting activities. Heliyon 2024, 10, e31573. [Google Scholar] [CrossRef]
- Sunera; Khan, Z.; Irshad, M.; Zakria, M.; Saqib, S.; Zaman, W. Evaluating the efficacy of endophytic bacteria in controlling rice sheath blight: In vitro and In vivo studies. Microb. Pathog. 2024, 197, 107084. [Google Scholar] [CrossRef]
- Proença, D.N.; Schwab, S.; Baldani, J.I.; Morais, P.V. Diversity and Function of Endophytic Microbial Community of Plants with Economical Potential; Springer International Publishing: Berlin/Heidelberg, Germany, 2017; pp. 209–243. [Google Scholar]
- Mahmood, A.; Kataoka, R. Metabolite profiling reveals a complex response of plants to application of plant growth-promoting endophytic bacteria. Microbiol. Res. 2020, 234, 126421. [Google Scholar] [CrossRef]
- Ia, D.; Terence, J.; Tanaka, J.S. Influence of sample size, estimation method, and model specification on goodness-of-fit assessments in structural equation models. J. Appl. Psychol. 1989, 74, 625–635. [Google Scholar]
- Zhu, H.X.; Hu, L.F.; Wang, Y.L.; Mei, P.P.; Zhou, F.; Rozhkova, T.; Li, C.W. Effects of Streptomyces sp. HU2014 inoculation on wheat growth and rhizosphere microbial diversity under hexavalent chromium stres. Ecotoxicol. Environ. Saf. 2024, 276, 116313. [Google Scholar] [CrossRef]
- Rousk, J.; Bååth, E.; Brookes, P.; Lauber, C.; Lozupone, C.; Caporaso, J.; Knight, R.; Fierer, N. Soil bacterial and fungal communities across a pH gradient in an arable soil. ISME J. 2010, 4, 1340–1351. [Google Scholar] [CrossRef]
- Wang, C.Q.; Kuzyakov, Y. Soil organic matter priming: The pH effects. Glob. Change Biol. 2024, 30, e17349. [Google Scholar] [CrossRef]
- Zhang, Y.; Ye, C.; Su, Y.; Peng, W.; Lu, R.; Liu, Y.; Huang, H.; He, X.; Yang, M.; Zhu, S. Soil Acidification caused by excessive application of nitrogen fertilizer aggravates soil-borne diseases: Evidence from literature review and field trials. Agric. Ecosyst. Environ. 2022, 340, 108176. [Google Scholar] [CrossRef]
- Fidel, R.B.; Laird, D.A.; Thompson, M.L.; Lawrinenko, M. Characterization and quantification of biochar alkalinity. Chemosphere 2017, 167, 367–373. [Google Scholar] [CrossRef] [PubMed]
- Zhao, J.; Qiu, Y.; Yi, F.; Li, J.; Wang, X.; Fu, Q.; Fu, X.; Yao, Z.; Dai, Z.; Qiu, Y. Biochar dose-dependent impacts on soil bacterial and fungal diversity across the globe. Sci. Total Environ. 2024, 930, 172509. [Google Scholar] [CrossRef] [PubMed]
- Dai, Z.; Zang, X.; Tang, C.; Muhammad, N.; Wu, J.; Brookes, P.; Xu, J. Potential role of biochars in decreasing soil acidification—A critical review. Sci. Total Environ. 2017, 581–582, 601–611. [Google Scholar] [CrossRef] [PubMed]
- Kruczyńska, A.; Kuźniar, A.; Podlewski, J.; Słomczewski, A.; Grządziel, J.; Marzec-Grządziel, A.; Gałązka, A.; Wolińska, A. Bacteroidota structure in the face of varying agricultural practices as an important indicator of soil quality—A culture independent approach. Agric. Ecosyst. Environ. 2023, 342, 108252. [Google Scholar] [CrossRef]
- Wan, J.; Liu, L.; Wang, G.; Sang, L.; Liang, W.; Zhang, W.; Peng, C.; Fu, R. Unveiling the mechanisms of carbon conversion and loss in biochars derived from characteristic lignocellulosic biomass. J. Environ. Chem. Eng. 2022, 10, 108403. [Google Scholar] [CrossRef]
- Li, W.H.; Xiang, L.G.; Zheng, P.; Tian, X.; Wang, H.C. Phyllosphere bacterial composition from Brassica oleracea and Raphanus sativus, the feeding food for Plutella xylostella. J. Asia Pac. Entomol. 2024, 27, 102238. [Google Scholar] [CrossRef]
- Xie, G.J.; Zhang, Y.Q.; Gong, Y.; Luo, W.L.; Tang, X.M. Extreme trophic tales: Deciphering bacterial diversity and potential functions in oligotrophic and hypereutrophic lakes. BMC Microbiol. 2024, 24, 348. [Google Scholar] [CrossRef]
- Jia, X.; Ma, H.; Yan, W.; Shangguan, Z.; Zhong, Y. Effects of co-application of biochar and nitrogen fertilizer on soil profile carbon and nitrogen stocks and their fractions in wheat field. J. Environ. Manag. 2024, 368, 122140. [Google Scholar] [CrossRef]
- Kumar, A.; Singh, V.K. Microbial Endophytes; Woodhead Publishing: Cambridge, UK, 2020; pp. 189–229. [Google Scholar]
- Deshoux, M.; Sadet-Bourgeteau, S.; Gentil, S.; Prévost-Bouré, N.C.; Chen, N.; Li, L.X.; Ren, T.B.; Ji, X.M.; Liu, G.S. Effects of biochar on soil microbial communities: A meta-analysis. Sci. Total Environ. 2023, 902, 166079. [Google Scholar] [CrossRef]
- Li, Y.H.; Wang, R.; Sui, X.H.; Wang, E.T.; Zhang, X.X.; Tian, C.F.; Chen, W.F.; Chen, W.X. Bradyrhizobium nanningense sp. nov., Bradyrhizobium guangzhouense sp. nov. and Bradyrhizobium zhanjiangense sp. nov., isolated from effective nodules of peanut in Southeast China. Syst. Appl. Microbiol. 2019, 42, 126002. [Google Scholar] [CrossRef] [PubMed]
- Zhong, C.F.; Hu, G.; Hu, C.; Xu, C.H.; Zhang, Z.H.; Ning, K. Comparative genomics analysis reveals genetic characteristics and nitrogen fixation profile of Bradyrhizobium. iScience 2024, 27, 108948. [Google Scholar] [CrossRef] [PubMed]
- Ormeño-Orrillo, E.; Martinez-Romero, E. A Genomotaxonomy View of the Bradyrhizobium Genus. Front. Microbiol. 2019, 10, 1334. [Google Scholar] [CrossRef] [PubMed]
- Rondon, M.; Lehmann, J.; Ramírez, J.; Hurtado, M. Biological nitrogen fixation by common beans (Phaseolus vulgaris L.) increases with bio-char additions. Biol. Fertil. Soils 2007, 43, 699–708. [Google Scholar] [CrossRef]
- Edeh, I.G.; Masek, O.; Fusseis, F. 4D structural changes and pore network model of biomass during pyrolysis. Sci. Rep. 2023, 13, 22863. [Google Scholar] [CrossRef]
- Rizwan, M.; Murtaza, G.; Zulfiaqr, F.; Moosa, A.; Iqbal, R.; Ahmed, Z.; Irshad, S.; Khan, I.; Li, T.; Chen, J. Sustainable manufacture and application of biochar to improve soil properties and remediate soil contaminated with organic impurities: A systematic review. Front. Environ. Sci. 2023, 11, 1277240. [Google Scholar] [CrossRef]
- Singh, V. Microbial Cell Factories Engineering for Production of Biomolecules; Academic Press: Cambridge, MA, USA, 2021; pp. 183–234. [Google Scholar]
- Yu, M.; Wang, M.; Hong, Y.W. Antibiotics in environmental matrices and their effects on microbial ecosystems. Acta Ecol. Sin. 2011, 31, 4437–4446. [Google Scholar]
- Mani, J.; Kandasamy, D.; Thamizh Vendan, R.; Sankarasubramanian, H.; Mannu, J.; Nagachandrabose, S. Unlocking the potential of Streptomyces species as promising biological control agents against phytonematodes. Physiol. Mol. Plant Pathol. 2024, 134, 102465. [Google Scholar] [CrossRef]
- Xiong, Y.W.; Li, X.W.; Wang, T.T.; Gong, Y.; Zhang, C.M.; Xing, K.; Qin, S. Root exudates-driven rhizosphere recruitment of the plant growth-promoting rhizobacterium Bacillus flexus KLBMP 4941 and its growth-promoting effect on the coastal halophyte Limonium sinense under salt stress. Ecotoxicol. Environ. Saf. 2020, 194, 110374. [Google Scholar] [CrossRef]
- Pang, Z.Q.; Huang, J.W.; Fallah, N.; Lin, W.X.; Yuan, Z.N.; Hu, C.H. Combining N fertilization with biochar affects root-shoot growth, rhizosphere soil properties and bacterial communities under sugarcane monocropping. Ind. Crops Prod. 2022, 182, 114899. [Google Scholar] [CrossRef]
- Wang, X.L.; Riaz, M.; Xia, X.Y.; Babar, S.; EI-Desouki, Z.; Li, Y.X.; Wang, J.Y.; Jiang, C.C. Alleviation of cotton growth suppression caused by salinity through biochar is strongly linked to the microbial metabolic potential in saline-alkali soil. Sci. Total Environ. 2024, 922, 171407. [Google Scholar] [CrossRef] [PubMed]
- Banerjee, S.; Walder, F.; Büchi, L.; Meyer, M.; Held, A.Y.; Gattinger, A.; Keller, T.; Charles, R.; Marcel, G.A.H. Agricultural intensification reduces microbial network complexity and the abundance of keystone taxa in roots. ISME J. 2019, 13, 1722–1736. [Google Scholar] [CrossRef] [PubMed]
- Misztal, P.K.; Hewitt, C.N.; Wildt, J.; Blande, J.D.; Eller, A.S.D.; Fares, S.; Gentner, D.R.; Gilman, J.B.; Graus, M.; Greenberg, J. Atmospheric benzenoid emissions from plants rival those from fossil fuels. Sci. Rep. 2015, 5, 12064. [Google Scholar] [CrossRef] [PubMed]
- Song, X.J.; Zhou, Q.L.; Li, X.F.; Huang, Q.; Zhou, Y. Spontaneous fermentation tunes purine metabolism of tomato by modifying bacterical diversity: Based on metabonomics and microbiomics. LWT 2024, 191, 115486. [Google Scholar] [CrossRef]
- Wan, C.X.; Gao, L.C.; Wang, J.L.; Lei, X.H.; Tao, J.C.; Feng, B.L.; Gao, J.F. Effects of nitrogen fertilizer on protein synthesis, accumulation, and physicochemical properties in common buckwheat. Crop J. 2023, 11, 941–950. [Google Scholar] [CrossRef]
- Sheng, Z.; Luo, T.; Wang, L.; Chen, M.; Ma, B.; Liu, L.; Wang, B.; Kuai, J.; Wang, J.; Zhao, J. Biochar addition enhances remediation efficiency and rapeseed yield in copper-contaminated soil. Front. Plant Sci. 2024, 15, 1481732. [Google Scholar] [CrossRef]
- Xu, Z.; Gao, Y.; Gao, C.; Mei, J.; Wang, S.; Ma, J.; Yang, H.; Cao, S.; Wang, Y.; Zhang, F. Glycosylphosphatidylinositol anchor lipid remodeling directs proteins to the plasma membrane and governs cell wall mechanics. Plant Cell 2022, 34, 4778–4794. [Google Scholar] [CrossRef]
- Hu, H.; Liu, T.G.; Xie, X.Y.; Li, F.Y.; Liu, C.Y.; Jiang, J.T.; Li, Z.G.; Chen, X.L. GPI anchoring controls cell wall integrity, immune evasion and surface localization of ChFEM1 for infection of Cochlibolus heterostrophus. J. Integr. Agric. 2024, in press.
- Fenollar, À.; Ros-Lucas, A.; Pía Alberione, M.; Martínez-Peinado, N.; Ramírez, M.; Rosales-Motos, M.À.; Lee, L.Y.; Alonso-Padilla, J.; Izquierdo, L. Compounds targeting GPI biosynthesis or N-glycosylation are active against Plasmodium falciparum. Comput. Struct. Biotechnol. J. 2022, 20, 850–863. [Google Scholar] [CrossRef]
- Guo, A.; Yang, Y.; Wu, J.; Qin, N.; Hou, F.; Gao, Y.; Li, K.; Xing, G. Lipidomic and transcriptomic profiles of glycerophospholipid metabolism during Hemerocallis citrina Baroni flowering. BMC Plant Biol. 2023, 23, 50. [Google Scholar] [CrossRef]
- Zhao, P.; Wang, C.; Zhang, S.; Zheng, L.; Li, F.; Cao, C.; Cao, L.; Huang, Q. Fungicide-loaded mesoporous silica nanoparticles promote rice seedling growth by regulating amino acid metabolic pathways. J. Hazard. Mater. 2022, 425, 127892. [Google Scholar] [CrossRef] [PubMed]
- Chitrakar, I.; Kim-Holzapfel, D.M.; Zhou, W.; French, J.B. Higher order structures in purine and pyrimidine metabolism. J. Struct. Biol. 2017, 197, 354–364. [Google Scholar] [CrossRef] [PubMed]
- Xu, F.; Pang, Y.; Nie, Q.; Zhang, Z.; Ye, C.; Jiang, C.; Wang, Y.; Liu, H. Development and evaluation of a simultaneous strategy for pyrimidine metabolome quantification in multiple biological samples. Food Chem. 2022, 373, 131405. [Google Scholar] [CrossRef] [PubMed]
- Zhang, M.; Zhao, Y.; Shi, H. Metabolomics Reveals the Effects of Lighting Time on the Growth and Development of Flue-Cured Tobacco. Russ. J. Plant Physiol. 2023, 70, 30. [Google Scholar] [CrossRef]
- Zheng, Y.; Gao, X.; Zhou, Y.; Ma, S.; Wang, Y.; Li, Z.; Zhao, D.; Yang, Y.; Zhang, H.; Meng, C. Purines enrich root-associated Pseudomonas and improve wild soybean growth under salt stress. Nat. Commun. 2024, 15, 3520. [Google Scholar] [CrossRef]
- Guo, X.; Ou, T.; Yang, X.; Song, Q.; Zhu, L.; Mi, S.; Zhang, J.; Zhang, Y.; Chen, W.; Guo, J. Untargeted Metabolomics Based on Ultra-high Performance Liquid Chromatography-Mass Spectrometry for Analysis of Differential Metabolites in Lactobacillus-fermented Ultra-fine Whole Pulp of Chimonobambusa quadrangularis Shoot. Front. Nutr. 2023, 44, 200–213. [Google Scholar]
- Huang, Y.; Ji, Z.; Zhang, S.; Li, S. Function of hormone signaling in regulating nitrogen-use efficiency in plants. J. Plant Physiol. 2024, 294, 154191. [Google Scholar] [CrossRef]
- Zheng, X.; Xu, W.; Dong, J.; Yang, T.; Shuangguan, Z.; Qu, J.; Li, X.; Tan, X. The effects of biochar and its applications in the microbial remediation of contaminated soil: A review. J. Hazard. Mater. 2022, 438, 129557. [Google Scholar] [CrossRef]
- Mohanan, P.; Yang, T.J.; Song, Y.H. Genes and Regulatory Mechanisms for Ginsenoside Biosynthesis. J. Plant Biol. 2023, 66, 87–97. [Google Scholar] [CrossRef]
- Mustafa, A.; Imran, M.; Ashraf, M.; Mahmood, K. Perspectives of Using L-Tryptophan for Improving Productivity of Agricultural Crops: A Review. Pedosphere 2018, 28, 16–34. [Google Scholar] [CrossRef]
- Asghari, B.; Khademian, R.; Sedaghati, B. Plant growth promoting rhizobacteria (PGPR) confer drought resistance and stimulate biosynthesis of secondary metabolites in pennyroyal (Mentha pulegium L.) under water shortage condition. Sci. Hortic. 2020, 263, 109132. [Google Scholar] [CrossRef]
- Morris, J.C.; Sheng, L.P.; Zhai, H.X.; Shen, T.Y.; Mensa-Wilmot, K. Phosphatidylinositol phospholipase C is activated allosterically by the aminoglycoside G418. 2-deoxy-2-fluoro-scyllo-inositol-1-O-dodecylphosphonate and its analogs inhibit glycosylphosphatidylinositol phospholipase C. J. Biol. Chem. 1996, 271, 15468–15477. [Google Scholar] [CrossRef] [PubMed]
- Álvarez-Sánchez, A.; Grinat, J.; Doria-Borrell, P.; Mellado-López, M.; Pedrera-Alcócer, É.; Malenchini, M.; Meseguer, S.; Hemberger, M.; Pérez-García, V. The GPI-anchor biosynthesis pathway is critical for syncytiotrophoblast differentiation and placental development. Cell Mol. Life Sci. 2024, 81, 246. [Google Scholar] [CrossRef] [PubMed]
- Chen, C.; Guo, L.L.; Chen, Y.; Qin, P.; Wei, G. Pristine and sulfidized zinc oxide nanoparticles alter bacterial communities and metabolite profiles in soybean rhizocompartments. Sci. Total Environ. 2023, 855, 158697. [Google Scholar] [CrossRef]
- Grouzdev, D.S.; Babich, T.L.; Sokolova, D.S.; Tourova, T.P.; Poltaraus, A.B.; Nazina, T.N. Draft genome sequence data and analysis of Shinella sp. strain JR1-6 isolated from nitrate- and radionuclide-contaminated groundwater in Russia. Data Brief 2019, 25, 104319. [Google Scholar] [CrossRef]
- Lin, W.; Pei, G.T.; Ma, H.L.; Gao, R.; Yin, Y.F.; Peng, Y.Z. Effects of L-methionine on nitrification and N2O emission in subtropical forest soil. J. Appl. Ecol. 2015, 26, 2646–2654. [Google Scholar]
- Tiemblo-Martín, M.; Pistorio, V.; Saake, P.; Mahdi, L.; Campanero-Rhodes, M.A.; Girolamo, R.D.; Carluccio, C.D.; Marchetti, R.; Molinaro, A.; Solís, D. Structure and properties of the exopolysaccharide isolated from Flavobacterium sp. Root935. Carbohyd Polym. 2024, 343, 122433. [Google Scholar] [CrossRef]
- Kim, M.; Cha, I.T.; Lee, K.E.; Li, M.; Park, S.J. Pangenome analysis provides insights into the genetic diversity, metabolic versatility, and evolution of the genus Flavobacterium. Microbiol. Spectr. 2023, 11, e0100323. [Google Scholar] [CrossRef]
- Waśkiewica, A.; Irzykowska, L. Flavobacterium spp.—Characteristics, Occurrence, and Toxicity. In Encyclopedia of Food Microbiology, 2nd ed.; Batt, C.A., Tortorello, M.L., Eds.; Academic Press: Oxford, UK, 2014; pp. 938–942. [Google Scholar]
- Chen, Q.; Man, C.; Li, D.; Tan, H.; Xie, Y.; Huang, J. Arogenate Dehydratase Isoforms Differentially Regulate Anthocyanin Biosynthesis in Arabidopsis thaliana. Mol. Plant 2016, 9, 1609–1619. [Google Scholar] [CrossRef]
- Kawade, K.; Tabeta, H.; Ferjani, A.; Hirai, M.Y. The Roles of Functional Amino Acids in Plant Growth and Development. Plant Cell Physiol. 2023, 64, 1482–1493. [Google Scholar] [CrossRef]
- Wexler, P. Encyclopedia of Toxicology, 4th ed.; Academic Press: Oxford, UK, 2024; pp. 763–774. [Google Scholar]
Disclaimer/Publisher’s Note: The statements, opinions and data contained in all publications are solely those of the individual author(s) and contributor(s) and not of MDPI and/or the editor(s). MDPI and/or the editor(s) disclaim responsibility for any injury to people or property resulting from any ideas, methods, instructions or products referred to in the content. |
© 2025 by the authors. Licensee MDPI, Basel, Switzerland. This article is an open access article distributed under the terms and conditions of the Creative Commons Attribution (CC BY) license (https://creativecommons.org/licenses/by/4.0/).