Sign in to use this feature.

Years

Between: -

Subjects

remove_circle_outline
remove_circle_outline
remove_circle_outline
remove_circle_outline
remove_circle_outline
remove_circle_outline
remove_circle_outline
remove_circle_outline
remove_circle_outline

Journals

remove_circle_outline
remove_circle_outline
remove_circle_outline
remove_circle_outline
remove_circle_outline
remove_circle_outline
remove_circle_outline

Article Types

Countries / Regions

remove_circle_outline
remove_circle_outline
remove_circle_outline
remove_circle_outline
remove_circle_outline

Search Results (569)

Search Parameters:
Keywords = retrofitting optimization

Order results
Result details
Results per page
Select all
Export citation of selected articles as:
23 pages, 3701 KB  
Article
Application of Machine Learning for Predicting Seismic Damage in Base-Isolated Reinforced Concrete Buildings
by Mohamed Algamati, Abobakr Al-Sakkaf and Ashutosh Bagchi
CivilEng 2026, 7(1), 4; https://doi.org/10.3390/civileng7010004 - 9 Jan 2026
Viewed by 63
Abstract
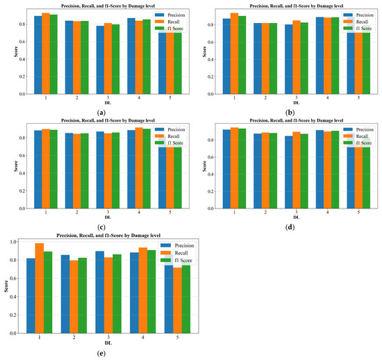
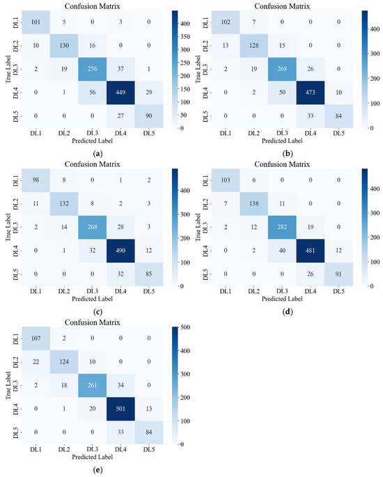
Base isolation is known as a useful and popular technique for seismic upgrading of reinforced concrete buildings. Predicting damage levels based on relative inter-story drift plays an important role for designing optimal base isolation systems. However, the existing codes usually rely on the [...] Read more.
Base isolation is known as a useful and popular technique for seismic upgrading of reinforced concrete buildings. Predicting damage levels based on relative inter-story drift plays an important role for designing optimal base isolation systems. However, the existing codes usually rely on the acceleration spectrum for calculating the relative inter-story drift, and they do not provide an accurate estimation of the relative inter-story drift. Consequently, to cover the research gap, machine learning algorithms are being trained and used for identification of damage levels in retrofitted reinforced concrete buildings. More than 7000 datasets were derived by using nonlinear time-history and incremental dynamic analysis. A total of 48 reinforced concrete buildings with different stories and bay numbers were designed based on an older version of existing building codes, and then, base isolation systems were designed for the seismic retrofit. The machine learning algorithms used here were Decision Tree, Random Forest, Support Vector Machine, Extreme Gradient Boosting, and an Artificial Neural Network. Based on the results, four of the mentioned algorithms have the capability of predicting the damage level with an accuracy of more than 85%, with the best performance being reached by extreme gradient boosting with an accuracy of 89%. Finally, the most important parameters affecting the damage levels of retrofitted reinforced concrete buildings were derived. Full article
(This article belongs to the Section Structural and Earthquake Engineering)
Show Figures

Figure 1

27 pages, 3862 KB  
Review
Unlocking the Potential of Digital Twin Technology for Energy-Efficient and Sustainable Buildings: Challenges, Opportunities, and Pathways to Adoption
by Muhyiddine Jradi
Sustainability 2026, 18(1), 541; https://doi.org/10.3390/su18010541 - 5 Jan 2026
Viewed by 262
Abstract
Digital Twin technology is transforming how buildings are designed, operated, and optimized, serving as a key enabler of smarter, more energy-efficient, and sustainable built environments. By creating dynamic, data-driven virtual replicas of physical assets, Digital Twins support continuous monitoring, predictive maintenance, and performance [...] Read more.
Digital Twin technology is transforming how buildings are designed, operated, and optimized, serving as a key enabler of smarter, more energy-efficient, and sustainable built environments. By creating dynamic, data-driven virtual replicas of physical assets, Digital Twins support continuous monitoring, predictive maintenance, and performance optimization across a building’s lifecycle. This paper provides a structured review of current developments and future trends in Digital Twin applications within the building sector, particularly highlighting their contribution to decarbonization, operational efficiency, and performance enhancement. The analysis identifies major challenges, including data accessibility, interoperability among heterogeneous systems, scalability limitations, and cybersecurity concerns. It emphasizes the need for standardized protocols and open data frameworks to ensure seamless integration across Building Management Systems (BMSs), Building Information Models (BIMs), and sensor networks. The paper also discusses policy and regulatory aspects, noting how harmonized standards and targeted incentives can accelerate adoption, particularly in retrofit and renovation projects. Emerging directions include Artificial Intelligence integration for autonomous optimization, alignment with circular economy principles, and coupling with smart grid infrastructures. Overall, realizing the full potential of Digital Twins requires coordinated collaboration among researchers, industry, and policymakers to enhance building performance and advance global decarbonization and urban resilience goals. Full article
Show Figures

Figure 1

28 pages, 833 KB  
Review
Mechanisms and Integrated Pathways for Tropical Low-Carbon Healthy Building Envelopes: From Multi-Scale Coupling to Intelligent Optimization
by Qiankun Wang, Chao Tang and Ke Zhu
Appl. Sci. 2026, 16(1), 548; https://doi.org/10.3390/app16010548 - 5 Jan 2026
Viewed by 132
Abstract
Tropical buildings face the coupled effects of four-high environmental factors, which accelerate thermal–humidity degradation, increase operational energy demands, and diminish building health attributes. This paper systematically integrates global research advancements to establish a theoretical framework for Tropical Low-Carbon Healthy Building Enclosures (TLHBEs) by [...] Read more.
Tropical buildings face the coupled effects of four-high environmental factors, which accelerate thermal–humidity degradation, increase operational energy demands, and diminish building health attributes. This paper systematically integrates global research advancements to establish a theoretical framework for Tropical Low-Carbon Healthy Building Enclosures (TLHBEs) by linking materials, structures, and buildings across scales. It identifies three key scientific questions: (1) Establishing a multi-scale parametric design model that couples materials, structures, and architecture. (2) Elucidating experimental and simulated multi-scale equivalent relationships under the coupled effects of temperature, humidity, radiation, and salinity. (3) Design multi-objective optimization strategies balancing energy efficiency, comfort, indoor air quality, and carbon emissions. Based on this, a technical implementation pathway is proposed, integrating multi-scale unified parametric design, multi-physics testing and simulation, machine learning, and intelligent optimization technologies. This aims to achieve multi-scale parametric design, data–model fusion, interpretable decision-making, and robust performance prediction under tropical climatic conditions, providing a systematic technical solution to address the key scientific questions. This framework not only provides scientific guidance and engineering references for designing, retrofitting, and evaluating low-carbon healthy buildings in tropical regions but also aligns with China’s dual carbon goals and healthy building development strategies. Full article
(This article belongs to the Special Issue AI-Assisted Building Design and Environment Control)
Show Figures

Figure 1

19 pages, 3367 KB  
Article
Low-Emissivity Cavity Treatment for Enhancing Thermal Performance of Existing Window Frames
by Maohua Xiong, Jihoon Kweon and Soobong Kim
Sustainability 2026, 18(1), 525; https://doi.org/10.3390/su18010525 - 5 Jan 2026
Viewed by 176
Abstract
Windows contribute 40–50% of envelope heat loss despite occupying only 1/8–1/6 of the surface area. Conventional frame retrofits rely on geometry optimization or cavity insulation yet remain limited by cost and invasiveness. This study introduces electrochemical polishing to reduce cavity surface emissivity of [...] Read more.
Windows contribute 40–50% of envelope heat loss despite occupying only 1/8–1/6 of the surface area. Conventional frame retrofits rely on geometry optimization or cavity insulation yet remain limited by cost and invasiveness. This study introduces electrochemical polishing to reduce cavity surface emissivity of multi-cavity broken-bridge aluminum window frames to suppress radiative heat transfer, offering a non-invasive, low-cost retrofit strategy for existing building windows. Using a typical 75-series casement window, finite element analysis (MQMC) reveals that reducing cavity surface emissivity from 0.9 to 0.05 lowers frame U-values by 12.39–30.38% and whole-window U-values by 2.72–9.69%, with full-cavity treatment outperforming insulating-cavity-only by an average of 0.29 W/(m2·K). EnergyPlus simulations across multiple climate zones show 0.74–2.26% annual heating and cooling energy savings (with max reduction of 8.99 MJ/m2·yr) in severe cold and cold regions (e.g., Harbin, Beijing), but 1.25–3.04% penalties in mild and hot-summer zones due to impeded nighttime heat rejection. At an incremental cost of 62.5 CNY/window (6.6–7.4% increase), the static payback period is 4.1 years in Harbin. The approach mitigates thermal bridging more effectively than foam-filled frames in whole-window performance. This scalable, minimal-intervention technology aligns with low-carbon retrofit imperatives for existing aging windows, particularly in heating-dominated climates. Full article
Show Figures

Figure 1

25 pages, 8354 KB  
Article
Optimized Design and Numerical Analysis of Dust Removal in Blast Furnace Nozzle Based on Air Volume-Structure Coordinated Control
by Hui Wang, Yuan Dong, Wen Li, Haitao Wang and Xiaohua Zhu
Atmosphere 2026, 17(1), 64; https://doi.org/10.3390/atmos17010064 - 4 Jan 2026
Viewed by 243
Abstract
Blast furnace tuyeres are the primary dust emission source in ironmaking facilities (accounting for over 30% of total pollutants). High-temperature dust plumes with intense thermal energy are prone to dispersion, while China’s steel industry ultra-low emission standards (particulate matter ≤ 10 mg/m3 [...] Read more.
Blast furnace tuyeres are the primary dust emission source in ironmaking facilities (accounting for over 30% of total pollutants). High-temperature dust plumes with intense thermal energy are prone to dispersion, while China’s steel industry ultra-low emission standards (particulate matter ≤ 10 mg/m3) impose strict requirements on capture efficiency. Existing technologies often neglect crosswind interference and lack coordinated design between air volume regulation and hood structure, leading to excessive fugitive emissions and non-compliance. This study established a localized numerical model for high-temperature dust capture at blast furnace tuyeres, investigating air volume’s impact on velocity fields and capture efficiency, revealing crosswind interference mechanisms, and proposing optimization strategies (adding hood baffles, adjusting dimensions, installing ejector fans). Results show crosswind significantly reduces efficiency—only 78% at 1.5 m/s crosswind and 400,000 m3/h flow rate. The optimal configuration (2.5 m side flaps plus1.4 m baffles) achieves 99% efficiency, maintaining high performance at lower flow rates: 350,000 m3/h (1.5 m/s crosswind) and 250,000 m3/h (0.9 m/s crosswind). This study provides technical support for blast furnace tuyere dust control and facilitates ultra-low emission compliance in the steel industry. This study supports blast furnace tuyere dust control and aids the steel industry in meeting ultra-low emission standards. Notably, the proposed optimization scheme boasts simple structural adjustments, low retrofitting costs, and good compatibility with existing production lines, enabling direct industrial promotion and notable environmental and economic gains. Full article
(This article belongs to the Section Air Pollution Control)
Show Figures

Figure 1

23 pages, 2622 KB  
Article
Score-Based Dispatching Strategy for Twin Rubber-Tired Gantry Cranes Leveraging Spring Elasticity
by Dokyung Kim and Junjae Chae
Appl. Sci. 2026, 16(1), 463; https://doi.org/10.3390/app16010463 - 1 Jan 2026
Viewed by 177
Abstract
Yard crane (YC) operations are critical to the overall productivity of container terminals, especially as terminals move toward higher levels of automation. This study proposes a score-based dispatching strategy for twin RTGCs operating within a single yard block. The proposed logic evaluates each [...] Read more.
Yard crane (YC) operations are critical to the overall productivity of container terminals, especially as terminals move toward higher levels of automation. This study proposes a score-based dispatching strategy for twin RTGCs operating within a single yard block. The proposed logic evaluates each job using four factors—distance between crane and job, job waiting time, estimated processing time, and an elasticity term inspired by spring mechanics that reflects the tendency of each crane to stay within its preferred working zone. These factors are normalized and combined into a single score, and the corresponding weights are optimized by a genetic algorithm (GA). Jobs with lower scores are given higher priority for assignment. A discrete-event simulation model of a twin RTGC system is developed using AutoMod® to assess the performance of the proposed strategy. The score-based rule is compared with conventional dispatching policies such as First-Come-First-Served (FCFS), Nearest-First-Served (NFS), and their weighted combination under various workload scenarios. Relative to the score-based strategy without elasticity, the inclusion of the elasticity term reduces average and maximum truck turnaround time by 7.51% and 7.79%, respectively; these improvements translate into higher yard throughput and strengthen the advantage over the benchmark dispatching rules. In particular, the elasticity term effectively mitigates crane interference while maintaining a balanced spatial distribution of work between the two cranes. These findings indicate that the proposed dispatching logic provides a practical and implementable control strategy for retrofitting existing RTGC systems and integrating them into terminal operating systems. Full article
(This article belongs to the Special Issue Fuzzy Control Systems and Decision-Making)
Show Figures

Figure 1

27 pages, 2251 KB  
Review
A Systematic Review of Multi-Objective Optimisation Building Energy Retrofit, with a Focus on Hot-Humid Climate Regions
by Nissa Aulia Ardiani, Haniyeh Mohammadpourkarbasi and Steve Sharples
Energies 2026, 19(1), 122; https://doi.org/10.3390/en19010122 - 25 Dec 2025
Viewed by 236
Abstract
Globally, buildings are responsible for around 32% of energy consumption and 34% of greenhouse gas emissions. One reason for this is the poor energy efficiency of much of the current building stock. Around 75% of today’s buildings are projected to still be in [...] Read more.
Globally, buildings are responsible for around 32% of energy consumption and 34% of greenhouse gas emissions. One reason for this is the poor energy efficiency of much of the current building stock. Around 75% of today’s buildings are projected to still be in use in 2050, highlighting the importance of retrofitting existing buildings for energy efficiency. Such a strategy presents substantial opportunities to decrease global energy consumption and greenhouse gas emissions. While building retrofit projects have been implemented in many developed countries, studies in hot-humid climates and developing countries are still lacking. The challenges posed by hot-humid climates make developing the right energy retrofit strategies even more difficult. This study reviews and analyses previous energy retrofit studies and optimisations in building energy retrofit that used multi-objective optimisation methods, especially in hot-humid climate regions, using a bibliometric mapping tool called “VOSviewer” (version 1.6.20). The study also follows the PRISMA (Preferred Reporting Items for Systematic Reviews and Meta-Analyses) framework for systematic reviews. This literature review highlights the paucity of research related to Multi-Objective Optimisation building-energy retrofit for buildings in countries with hot-humid climates and aims to identify the optimal strategies for energy retrofitting buildings in hot-humid climates using an optimisation method. The results of this study will significantly impact stakeholders’ decision-making processes, enabling them to identify the most advantageous objectives and energy efficiency measures for retrofitting buildings. Full article
Show Figures

Figure 1

32 pages, 2680 KB  
Article
Multi-Criteria Analysis of Different Renovation Scenarios Applying Energy, Economic, and Thermal Comfort Criteria
by Evangelos Bellos and Dimitra Gonidaki
Appl. Sci. 2026, 16(1), 95; https://doi.org/10.3390/app16010095 - 21 Dec 2025
Viewed by 238
Abstract
Sustainable renovation is a critical aspect for designing energy-efficient buildings with reasonable cost and high indoor living standards. The objective of this paper is to investigate various renovation scenarios for an old, uninsulated building with a floor area of 100 m2 located [...] Read more.
Sustainable renovation is a critical aspect for designing energy-efficient buildings with reasonable cost and high indoor living standards. The objective of this paper is to investigate various renovation scenarios for an old, uninsulated building with a floor area of 100 m2 located in Athens, aiming to determine the global optimal solution through a multi-criteria analysis. The multi-criteria analysis considers energy, economic, and thermal comfort criteria to perform a multi-lateral approach. Specifically, the criteria are: (i) maximization of the energy savings, (ii) minimization of the life cycle cost (LCC), and (iii) minimization of the mean annual predicted percentage of dissatisfied (PPD). These criteria are combined within a multi-criteria evaluation procedure that employs a global objective function for determining a global optimum solution. The examined retrofitting actions are the addition of external insulation, the replacement of the existing windows with triple-glazed windows, the addition of shading in the openings in the summer, the application of cool roof dyes, the use of a mechanical ventilation system with a heat recovery unit, and the installation of a highly efficient heat pump system. The interventions were examined separately, and the combined renovation scenarios were studied by including them in the external insulation because of their high importance. The present study encompassed the investigation of a baseline scenario and 26 different renovation scenarios, conducted through dynamic simulation on an annual basis. The results of the present analysis indicated that the global optimal renovation scenario, including the addition of external insulation, the installation of highly efficient heat pumps, and the use of shading in the openings in the summer, saved energy by 74% compared to the baseline scenario. The LCC was approximately EUR 33,000, the simple payback period of the renovation process was around 6 years, the annual CO2 emissions avoidance reached 4.6 tnCO2, and the PPD was at 9.7%. An additional sensitivity analysis for determining the optimal choice under varying weights assigned to the criteria revealed that this renovation design is the most favorable option in most cases. These results prove that the suggested renovation scenario is a feasible and viable solution that leads to a sustainable design from multiple perspectives. Full article
(This article belongs to the Special Issue Advances in the Energy Efficiency and Thermal Comfort of Buildings)
Show Figures

Figure 1

28 pages, 3145 KB  
Article
Impact of Embodied Energy and Carbon on the Path to Nearly Zero Energy Residential Buildings
by Nazanin Moazzen and Touraj Ashrafian
Sustainability 2026, 18(1), 87; https://doi.org/10.3390/su18010087 - 20 Dec 2025
Viewed by 480
Abstract
In recent decades, energy efficiency policies have increasingly focused on reducing buildings’ energy use and improving their performance. However, by overlooking the entire life cycle of a building, a considerable portion of its environmental impact has indeed been kept out of the process. [...] Read more.
In recent decades, energy efficiency policies have increasingly focused on reducing buildings’ energy use and improving their performance. However, by overlooking the entire life cycle of a building, a considerable portion of its environmental impact has indeed been kept out of the process. As a result, even leading buildings that have advanced toward Zero-Energy status may not that as innocent as promised by evaluating environmental impacts during their whole life. Consequently, a logical method for achieving nearly Zero Energy Buildings (nZEBs) involves implementing energy-efficient measures and proper materials throughout the entire life cycle of buildings. This paper is one of its first kinds that includes all building systems and materials embodied energy and cost to explore the possibility of creating nearly zero residential buildings through their life cycle. Life-cycle energy consumptions, life-cycle CO2 emissions and life-cycle cost of nZEB retrofit packages for a five-storey, 20-apartment residential building in Ankara, Turkey were evaluated. The methodology couples dynamic simulation (DesignBuilder/EnergyPlus) with an EN 15978-aligned boundary (A1–A5, B, C). The study highlights the critical role of both operational and embodied energy and carbon emissions in the pursuit of nZEBs. The best nZEB package reduces primary energy by ~55% and life-cycle CO2 by ~45% relative to the reference building over 50 years, while cost-optimal packages deliver 6–7% lower global cost. These findings demonstrate the effectiveness of life cycle assessment in measuring building environmental impact, the utilization of renewable energy, and the optimization of building materials in reducing energy consumption and emissions, providing a sustainable and cost-efficient approach to residential building design. Full article
(This article belongs to the Section Green Building)
Show Figures

Figure 1

26 pages, 5054 KB  
Article
Energy-Based Design for the Seismic Improvement of Historic Churches by Nonlinear Modelling
by Nicola Longarini, Pietro Crespi, Luigi Cabras and Michele Santoro
Buildings 2026, 16(1), 12; https://doi.org/10.3390/buildings16010012 - 19 Dec 2025
Viewed by 223
Abstract
This study investigates the seismic retrofit of historic single-nave churches through the optimization of roof diaphragms designed to enhance energy dissipation. The proposed strategy introduces a deformable box-type diaphragm above the existing roof, composed of timber panels and steel connectors with a cover [...] Read more.
This study investigates the seismic retrofit of historic single-nave churches through the optimization of roof diaphragms designed to enhance energy dissipation. The proposed strategy introduces a deformable box-type diaphragm above the existing roof, composed of timber panels and steel connectors with a cover of steel stripes, where energy dissipation is concentrated in the connections. The retrofit design is guided by the estimation of Equivalent Damping Ratio (EDR) instead of the usually adopted resistance criterion, considering an energy-based approach to improve global seismic performance while preserving architectural integrity. In this way, the retrofitted configuration of the roof can be considered a damper. Three numerical phases are presented to assess the effectiveness of the equivalent damping-based intervention. In the first one, the seismic response of the initial non-retrofitted configuration is implemented using a 3D linear finite element model subjected to a response spectrum. Subsequently, nonlinear equivalent models subjected to spectrum-compatible accelerograms are implemented, simulating the possible retrofitted configurations of the roofs to detect the optimum damping and finding the corresponding roof diaphragm configuration. In the third one, the response of the detected retrofitted configuration is also evaluated by nonlinear 3D model subjected to accelerograms. The three phases with the relative numerical approaches are here applied to a case study, located in a high seismic hazard area. The results demonstrate that the EDR-based methodology can optimize the retrofitted roof diaphragm configuration; the nave transverse response is improved in comparison with that designed with the traditional approach, considering only the over-strength of the interventions. Comparisons about the approaches based on the EDR and the strength criteria are presented in terms of lateral displacements, in-plane shear acting on the roof diaphragm, and in-plane stresses on the façade. Full article
(This article belongs to the Special Issue Modeling and Testing the Performance of Masonry Structures)
Show Figures

Figure 1

29 pages, 1483 KB  
Article
Economic and Energy Efficiency of Bivalent Heating Systems in a Retrofitted Hospital Building: A Case Study
by Jakub Szymiczek, Krzysztof Szczotka, Piotr Michalak, Radosław Pyrek and Ewa Chomać-Pierzecka
Energies 2026, 19(1), 10; https://doi.org/10.3390/en19010010 - 19 Dec 2025
Viewed by 327
Abstract
This case study evaluates the economic and energy efficiency of retrofitting a hospital heating system in Krakow, Poland, by transitioning from a district-heating-only model to a bivalent hybrid system. The analyzed configuration integrates air-to-water heat pumps (HP), a 180 kWp photovoltaic (PV) installation, [...] Read more.
This case study evaluates the economic and energy efficiency of retrofitting a hospital heating system in Krakow, Poland, by transitioning from a district-heating-only model to a bivalent hybrid system. The analyzed configuration integrates air-to-water heat pumps (HP), a 180 kWp photovoltaic (PV) installation, and a 120 kWh battery energy storage (ES) unit, while retaining the municipal district heating network as a peak load and backup source. Utilizing high-resolution quasi-steady-state simulations in Ebsilon Professional (10 min time step) and projected 2025 market data, the study compares three modernization scenarios differing in heat pump capacity (20, 40, and 60 kW). The assessment focuses on key performance indicators, including Net Present Value (NPV), Levelized Cost of Heating (LCOH), and Simple Payback Time (SPBT). The results identify the bivalent system with 40 kW thermal capacity (Variant 2) as the economic optimum, delivering the highest NPV (EUR 121,021), the lowest LCOH (0.0908 EUR/kWh), and a payback period of 11.94 years. Furthermore, the study quantitatively demonstrates the law of diminishing returns in the oversized scenario (60 kW), confirming that optimal sizing is critical for maximizing the efficiency of bivalent systems in public healthcare facilities. This work provides a detailed methodology and data that can form a basis for making investment decisions in similar public utility buildings in Central and Eastern Europe. Full article
(This article belongs to the Special Issue Energy Efficiency of the Buildings: 4th Edition)
Show Figures

Figure 1

38 pages, 20552 KB  
Article
Energy Performance and Optimization of Window Insulation System for Single-Story Heated Industrial Building Retrofits in the Severe Cold Regions of Northeast China
by Meng Chen and Lin Feng
Buildings 2025, 15(24), 4572; https://doi.org/10.3390/buildings15244572 - 18 Dec 2025
Viewed by 215
Abstract
Optimizing window insulation is crucial for reducing heat loss and energy use in industrial buildings in Northeast China’s severe cold regions. Based on six typical building prototypes identified via cluster analysis of field survey data, this study used DesignBuilder (Version 6.1.0.006) to simulate [...] Read more.
Optimizing window insulation is crucial for reducing heat loss and energy use in industrial buildings in Northeast China’s severe cold regions. Based on six typical building prototypes identified via cluster analysis of field survey data, this study used DesignBuilder (Version 6.1.0.006) to simulate the influence of key parameters for insulation materials (type, thickness, emissivity) and installation methods (position, air cavity, operation). Simulations reveal that the energy-saving potential is inversely proportional to a building’s existing thermal performance, reaching a maximum of 10.3%. Regarding material selection, results indicate that reducing surface emissivity from 0.92 to 0.05 effectively substitutes for approximately 20 mm of physical insulation thickness. Transparent films prioritize daytime comfort, raising nighttime temperatures by 1.5 °C, whereas opaque panels excel at nighttime insulation with a 2.28 °C increase. Techno-economic analysis identifies low-emissivity foil combined with EPS or XPS as the most cost-effective strategy, achieving rapid payback periods of 0.6–3.2 years. Regarding installation, an external configuration with a 20 mm air cavity and vertical operation was identified as optimal, yielding 1.5–2.0% greater energy savings than an internal setup. This study provides tailored retrofitting strategies for industrial building windows in these regions. Full article
(This article belongs to the Section Building Energy, Physics, Environment, and Systems)
Show Figures

Figure 1

23 pages, 2935 KB  
Article
Optimum Carbon Fiber Reinforced Polymer (CFRP) Design for Flexural Strengthening of Cantilever Concrete Walls Using Artificial Neural Networks
by Gebrail Bekdaş, Ammar Khalbous, Sinan Melih Nigdeli and Ümit Işıkdağ
Polymers 2025, 17(24), 3300; https://doi.org/10.3390/polym17243300 - 12 Dec 2025
Viewed by 354
Abstract
This study introduces a hybrid framework combining an Artificial Neural Network (ANN) with the Jaya optimization algorithm to predict the minimum Carbon Fiber Reinforced Polymer (CFRP) area required for flexural strengthening of reinforced concrete (RC) cantilever walls. A multilayer perceptron (MLP) network was [...] Read more.
This study introduces a hybrid framework combining an Artificial Neural Network (ANN) with the Jaya optimization algorithm to predict the minimum Carbon Fiber Reinforced Polymer (CFRP) area required for flexural strengthening of reinforced concrete (RC) cantilever walls. A multilayer perceptron (MLP) network was trained on 500 Jaya-optimized design scenarios incorporating twelve design variables, including geometry, loads, and material properties. The ANN achieved high predictive accuracy, with R-values near 1.0 across training, validation, and testing phases. Five independent test cases yielded an average error of 3.69%, and 10-fold cross-validation confirmed model robustness (R = 0.9996). A global perturbation-based sensitivity analysis was also conducted to quantify the influence of each input parameter, highlighting wall length, moment demand, and concrete strength as the most significant features. This integrated ANN–Jaya model enables rapid, code-compliant CFRP design in accordance with ACI 318 and ACI 440.2R-17, minimizing material usage and ensuring economic and sustainable retrofitting. The proposed approach offers a practical, data-driven alternative to traditional iterative methods, suitable for application in modern performance-based structural engineering. Full article
(This article belongs to the Special Issue Fiber-Reinforced Polymers in Construction and Building)
Show Figures

Figure 1

25 pages, 5009 KB  
Article
CFD-Based Hydraulic Performance Improvement of a Chlorine Contact Tank: The Case Study of a Southern Italy Plant
by Ali Tafarojnoruz, Pierpaolo Loprieno, Attilio Fiorini Morosini, Elisa Leone, Antonio Francone, Nadir Fella, Francesca Lupo, Fabrizio Dell’Anna, Agostino Lauria and Giuseppe Roberto Tomasicchio
Fluids 2025, 10(12), 328; https://doi.org/10.3390/fluids10120328 - 12 Dec 2025
Viewed by 436
Abstract
Chlorine contact tanks are crucial for wastewater disinfection, with performance strongly influenced by internal hydraulic characteristics. This study applies Computational Fluid Dynamics (CFD) to analyze and improve the hydraulics of the chlorination contact tank in a Wastewater Treatment Plant in the Southern Italy. [...] Read more.
Chlorine contact tanks are crucial for wastewater disinfection, with performance strongly influenced by internal hydraulic characteristics. This study applies Computational Fluid Dynamics (CFD) to analyze and improve the hydraulics of the chlorination contact tank in a Wastewater Treatment Plant in the Southern Italy. A three-dimensional transient CFD model was developed using the Reynolds-Averaged Navier–Stokes (RANS) equations with the Renormalized Group (RNG) turbulence closure. The model simulated flow patterns, tracer transport, and chlorine decay kinetics under the existing configuration and two alternative configurations. Conservative tracer pulse simulations enabled the calculation of Residence Time Distributions (RTDs) and hydraulic efficiency indicators, including the Baffling Factor (θ10), Morrill index (Mo), and Aral–Demirel index (AD). A typical contact tanks geometry exhibits specific hydraulic characteristics, including recirculation behind baffles and stagnant zones in sharp corners, which inevitably affects the contact time. The first alternative, namely featuring rounded corners, moderately reduced dead zones, but did not substantially mitigate recirculation. The second alternative, herein called combining rounded corners with perforated baffle walls, substantially improved hydraulic performance, yielding flow patterns closer to plug-flow. RTD peaks were higher and narrower for the modified designs, and hydraulic indices improved, with Mo decreasing by approximately 5%. These hydraulic enhancements are expected to increase disinfection efficiency by providing more uniform chlorine exposure. The results demonstrate that geometric modifications effectively optimize contact tank hydraulics and highlight the role of CFD as a design and retrofit tool for water and wastewater disinfection systems. Full article
(This article belongs to the Section Mathematical and Computational Fluid Mechanics)
Show Figures

Figure 1

55 pages, 4222 KB  
Review
A Comprehensive Review of Data-Driven and Physics-Based Models for Energy Performance in Non-Domestic Buildings
by Lukumba Phiri, Thomas O. Olwal and Topside E. Mathonsi
Energies 2025, 18(24), 6481; https://doi.org/10.3390/en18246481 - 10 Dec 2025
Viewed by 908
Abstract
The building sector accounts for a significant portion of the global energy consumption and carbon dioxide (CO2) emissions, making it a critical area for improving energy efficiency. In Africa, the rapid energy demand and costs have further emphasized the urgency of [...] Read more.
The building sector accounts for a significant portion of the global energy consumption and carbon dioxide (CO2) emissions, making it a critical area for improving energy efficiency. In Africa, the rapid energy demand and costs have further emphasized the urgency of developing effective solutions for reducing building energy use. This paper presents a comprehensive review of data-driven and physics-based modeling approaches for forecasting and optimizing energy performance in non-domestic buildings. The review highlights the evolution of statistical models, classical machine learning methods, deep learning, and hybrid approaches across various application scenarios. Emphasis is placed on the role of data pre-processing techniques, including data fusion and transfer learning, as strategies to address data limitations and improve model generalization. Furthermore, the study evaluates the strengths and limitations of different modeling methods in terms of accuracy, scalability, and applicability in real-world contexts. By integrating insights from recent literature, this paper identifies key research gaps such as the need for standard datasets, physics-informed hybrid modeling, and policy-oriented frameworks. The findings aim to guide building managers, policymakers, and researchers toward adopting robust data-driven solutions that enhance energy resilience, reduce operational costs, and support environmental sustainability in the built environment. The review also justifies the importance of these models for practical applications like energy benchmarking, retrofit planning, and CO2 reduction, providing a clear link between research and industry implementation. Full article
Show Figures

Figure 1

Back to TopTop