Next Article in Journal
Overview of the Municipal Emission Reduction Plan Landscape in Greece in Terms of Policy Framework and Procurement Patterns
Previous Article in Journal
Climate-Driven Cryospheric Changes and Their Impacts on Glacier Runoff Dynamics in the Northern Tien Shan
 
 
Font Type:
Arial Georgia Verdana
Font Size:
Aa Aa Aa
Line Spacing:
Column Width:
Background:
Article

Optimized Design and Numerical Analysis of Dust Removal in Blast Furnace Nozzle Based on Air Volume-Structure Coordinated Control

1
Central Research Institute of Building and Construction Co., Ltd., MCC Group, Beijing 100088, China
2
Energy Conservation and Environment Protection Co., Ltd., MCC Group, Beijing 100088, China
3
State Key Laboratory of Iron and Steel Industry Environmental Protection, Beijing 100084, China
*
Author to whom correspondence should be addressed.
Atmosphere 2026, 17(1), 64; https://doi.org/10.3390/atmos17010064
Submission received: 16 November 2025 / Revised: 25 December 2025 / Accepted: 27 December 2025 / Published: 4 January 2026
(This article belongs to the Section Air Pollution Control)

Abstract

Blast furnace tuyeres are the primary dust emission source in ironmaking facilities (accounting for over 30% of total pollutants). High-temperature dust plumes with intense thermal energy are prone to dispersion, while China’s steel industry ultra-low emission standards (particulate matter ≤ 10 mg/m3) impose strict requirements on capture efficiency. Existing technologies often neglect crosswind interference and lack coordinated design between air volume regulation and hood structure, leading to excessive fugitive emissions and non-compliance. This study established a localized numerical model for high-temperature dust capture at blast furnace tuyeres, investigating air volume’s impact on velocity fields and capture efficiency, revealing crosswind interference mechanisms, and proposing optimization strategies (adding hood baffles, adjusting dimensions, installing ejector fans). Results show crosswind significantly reduces efficiency—only 78% at 1.5 m/s crosswind and 400,000 m3/h flow rate. The optimal configuration (2.5 m side flaps plus1.4 m baffles) achieves 99% efficiency, maintaining high performance at lower flow rates: 350,000 m3/h (1.5 m/s crosswind) and 250,000 m3/h (0.9 m/s crosswind). This study provides technical support for blast furnace tuyere dust control and facilitates ultra-low emission compliance in the steel industry. This study supports blast furnace tuyere dust control and aids the steel industry in meeting ultra-low emission standards. Notably, the proposed optimization scheme boasts simple structural adjustments, low retrofitting costs, and good compatibility with existing production lines, enabling direct industrial promotion and notable environmental and economic gains.

1. Introduction

As a pillar industry of China’s national economy, the steel sector drives economic growth while confronting persistent pollution control challenges—China’s crude steel output reached 996.3 million tons in 2019 (53.3% of global production [1]), with blast furnace tuyeres being the most concentrated and intractable pollution source, generating over 30% of total pollutants via molten iron–air contact and emitting 3 kg of dust per ton of iron [2]. These facilities produce thermal radiation exceeding 1000 °C, leading to local work zone temperatures of up to 100 °C and over 35 °C in summer workshops [3,4], which not only accelerates dust dispersion through intense thermal plumes but also endangers workers’ health (e.g., micron-sized secondary dust may induce mixed pneumoconiosis [5]), making iron tapping site pollution control a top priority.
China’s evolving environmental policies have further emphasized the criticality of blast furnace tuyere dust control. Particulate emission limits have been progressively tightened from 100 mg/m3 [GB 9078-1996] in 1996 to 15 mg/m3 [GB 28663-2012] in 2012, and the 2019 “Opinions on Promoting Ultra-Low Emissions in the Steel Industry” further mandated particulate concentrations ≤ 10 mg/m3 at all stages [2]. Meanwhile, the Air Pollution Prevention and Control Law (2015) has strengthened fugitive emission supervision, requiring monitoring at factory doors, windows, and ventilation shafts. However, the blast furnace tuyere dust’s inherent characteristics—high-temperature-driven rapid dispersion, instantaneous high concentrations, and significant fugitive risks—render existing dust removal systems inadequate for stringent standards. Wang et al. [6] verified that even with top suction hoods, the dust removal efficiency is only 89%, with substantial fugitive emissions occurring before the main chute, and the escaping micron-sized secondary dust particles further complicate collection [7,8]. Thus, the blast furnace tuyere’s dust removal efficiency directly determines the entire ironmaking area’s compliance with emission standards, underscoring the irreplaceable practical significance of specialized research in this field.
Regarding the core issue of dust removal at iron tapping ports, domestic and international scholars and engineers have undergone multiple generations of technological exploration, yet significant gaps remain. In the evolution of iron tapping port dust removal technology, China’s technical approach has consistently focused on the contradiction be-tween “improving capture efficiency” and “adapting to iron tapping operations” [9,10,11]. Early sealed or semi-sealed systems addressed partial fugitive emissions but posed operational safety risks, while current mainstream open dust collection hoods (top suction plus side suction for large blast furnaces; top suction only for small and medium ones [12,13]) fail to adapt to the iron tapping port’s unique dust dispersion patterns and crosswind interference, leading to unstable capture efficiency. In localized dust removal research, numerical simulation has become the primary method, but existing studies suffer from several limitations. Lai [14] proposed adding baffles without considering high-temperature thermal plume-related height requirements; Liu [15] optimized hood dimensions but ignored iron ditch width coverage demands (typically over 5 m [2]); Tian [8] set hood outlet velocity without differentiating particle size movement characteristics (PM10 accounts for 58.37% of iron tapping dust, with large particles prone to gravitational escape [2,16]); and Wang et al. [17,18] confirmed the nonlinear relationship between efficiency and air volume but did not specify optimal ranges for transient high-dust conditions.
Notably, contour design along vortex zone boundaries is an effective method to improve exhaust hood efficiency. Logachev et al. [19] combined the discrete vortex method (DVM) with CFD simulations to characterize vortex morphologies at circular exhaust hood inlets, achieving a 98% reduction in local drag coefficient (LDC) via shape optimization; subsequent experiments validated over 90% LDC reduction and improved airflow velocity/capture range [20], while geometric parameter optimization of three-flange hoods further reduced LDC by 76% [21]. Additionally, Huang et al. [22,23] proposed spray-local exhaust ventilation (SLEV) to address high-temperature buoyant jet control challenges, achieving over twice the capture efficiency of traditional local exhaust ventilation (LEV) with lower energy consumption, though the coupling effects of blast furnace tuyere high temperatures on velocity fields and particle dispersion were overlooked [24]. More critically, most existing studies ignore crosswind interference from open plant doors or mechanical ventilation and lack verification between simulation results and on-site measured data, leading to practical implementation deviations. Furthermore, the blast furnace tuyere’s high-temperature environment (molten iron > 1000 °C) generates intense thermal plumes that alter airflow patterns and reduce dust collector suction efficiency [4], a factor often neglected in low-temperature-oriented dust removal designs.
In summary, current iron tapping port dust removal research faces three core challenges: inadequate adaptation to the port’s unique characteristics (high-temperature thermal plumes, instantaneous high dust concentrations, limited operational space), overlooked crosswind interference in wind resistance design, and undefined optimal air volume under different operating conditions. This study aims to quantify the impacts of air volume and crosswind on capture efficiency, reveal the crosswind interference mechanism, and develop an optimized hood structure coordinated with air volume regulation for ultra-low emission compliance in blast furnace tapping areas. By establishing localized numerical models of the iron tapping port and its surrounding areas, targeted optimization strategies (adding side baffles, adjusting hood geometry, installing ejector fans) are proposed, providing theoretical and technical support for engineering applications.

2. Methodology

2.1. Physical Model and Mesh Division of Local Dust Removal System

Particulate matter is mainly derived from the coke production process. The dust collection hood above the blast furnace blast furnace tuyere is the core equipment for controlling particulate emissions in the tapping area, as its capture efficiency directly determines the overall dust removal performance of the plant. The blast furnace tuyere and main chute are identified as the primary particulate sources through on-site pollution source tracing, making the optimization of the hood’s capture capability a key focus of this study.
To balance computational accuracy and efficiency, a localized modeling strategy was adopted based on pre-test data and engineering rationality analysis. First, a field pilot test was conducted to monitor the spatial distribution of flow velocity, temperature, and dust concentration around the blast furnace tuyere. The results indicated that the dust collection hood’s influence on the surrounding environment is spatially limited; beyond 10 m from the hood, the variation amplitude of key physical parameters (e.g., flow velocity, dust concentration) is less than 5%, which is negligible for the simulation of dust generation and capture processes. Therefore, only the blast furnace tuyere, dust collection hood, and their adjacent functional areas were included in the local model, effectively reducing computational costs while avoiding interference from irrelevant boundary conditions.
The geometric dimensions of the local model were determined based on the actual structural parameters of the 2# blast furnace in a domestic ironmaking plant, ensuring consistency with industrial operating conditions. The overall model has a length of 35 m, width of 25 m, and height of 15 m, covering the entire dust diffusion range of the tapping area. The main chute at the bottom of the model, which serves as the primary dust generation site, has a cross-sectional dimension of 1 m (width) and a length of 10 m, matching the on-site chute size that accommodates molten iron flow. The dust collection hood, the core capture component, has a total width of 5 m and a length of 7 m (including a 3 m extended section to cover the chute’s end area). Its circular top suction port has a diameter of 3 m and is installed 6 m above the ground—this height is optimized to avoid interference with tapping operations while ensuring sufficient suction coverage. A ventilation platform (3 m wide × 16 m long) is arranged behind the hood, forming a semi-enclosed structure with the hood to surround the main chute, which helps reduce the impact of external airflow disturbance on internal dust diffusion.
For grid partitioning, a hexahedral structured mesh was selected due to its superior discretization accuracy, numerical stability, and computational efficiency compared to unstructured meshes—especially suitable for the relatively regular geometric features of the local model. To improve the simulation accuracy of key regions, local mesh refinement was performed; the grid size around the dust collection hood (including the suction port, inner wall, and adjacent airspace) was reduced to 0.3 m (1/3 of the base grid size), effectively capturing the steep flow velocity gradient near the hood; the grid size around the main chute (where high-temperature dust is generated) was also refined to 0.4 m to accurately track the initial diffusion trajectory of dust particles. Non-key areas (e.g., the upper space of the model far from the hood) adopted a coarser grid size of 0.8 m to balance accuracy and computational efficiency. The final mesh quality was verified, with the average skewness coefficient less than 0.2 and the minimum orthogonal quality greater than 0.8, meeting the requirements for reliable numerical simulation.
The constructed local model and mesh system fully reflect the actual structural characteristics and operating environment of the blast furnace tapping area, laying a solid foundation for subsequent simulations of flow fields, dust diffusion, and capture efficiency. Figure 1 shows the structure and detailed dimensions of the local model.
Given that the localized model of the tuyere outlet is simpler and more regular compared to the overall blast furnace model, a hexahedral mesh with superior discretization effect was selected for grid partitioning, with enhanced local refinement around the dust collector hood. The model was divided into four mesh sizes: 2.96 million, 5.29 million, 7.68 million, and 10.38 million cells, followed by mesh independence verification. Ultimately, the 5.29 million cell mesh division method was chosen for numerical simulation. Subsequent research will build upon this model to investigate the impacts of dust removal airflow and crosswind conditions, ultimately proposing optimized design solutions.

2.2. Setting of Numerical Simulation Method for High-Temperature Soot Dispersion

2.2.1. Stream Model and Numerical Parameter Setting

Numerical methods for turbulence simulation include Direct Numerical Simulation (DNS), Large Eddy Simulation (LES), and Reynolds-Arnold Stochastic Numerical Method (RANS). While DNS and LES provide high accuracy, their computational demands are substantial and require powerful computing resources [25,26,27], making them unsuitable for efficient engineering applications. Therefore, this study adopts RANS simulation to address these challenges.
Under the RANS framework, the Realizable k-ε turbulence model demonstrates superior simulation accuracy and reliability for various flow types compared to the standard k-ε model [28], thanks to algorithmic improvements. This study employed the RANS method to solve the turbulent flow field of the high-temperature dust-laden airflow in the blast furnace tapping area. Considering the rotational airflow and boundary layer separation characteristics present in the flow field, the Realizable k-ε turbulence model is selected to close the Reynolds stress terms. By introducing a turbulent viscosity formulation that accounts for flow conditions, this model overcomes the limitations of the standard k-ε model in accurately predicting strongly sheared and rotational flows, thereby enabling a more precise simulation of turbulent diffusion and separation behaviors in the dust-laden airflow. The core principle of the RANS method is to decompose instantaneous flow field variables (such as velocity ui, pressure p) into time-averaged components ( u i ¯ , p ¯ ) and pulsating components ( u i p ), obtain macroscopic flow characteristics by solving the time-averaged control equation, and achieve a balance between accuracy and computational efficiency in an engineering-scale simulation. The numerical discretization and coupling methods adopt the built-in algorithms of ANSYS Fluent 2021 (https://www.ansys.com/products/fluids/ansys-fluent, accessed on 25 December 2025)—the Body Force Weighted (BFW) scheme is used for pressure discretization, and the Second-Order Upwind scheme is applied for the discretization of transport equations such as momentum, k, and ε to ensure the accuracy of numerical discretization. The SIMPLE algorithm is employed to achieve pressure–velocity coupling, adapting to the solution of incompressible steady-state turbulence. For gas-solid two-phase flow simulation, the built-in Discrete Phase Model (DPM) of the software is adopted. This model is suitable for low particle concentration scenarios (the particle volume fraction at the tapping port in this study is <10%), which is highly consistent with the working conditions in the manuscript.
The core control equations and parameter settings for incompressible steady-state turbulence in blast furnace dust removal scenarios are as follows, where Equation (1) is the continuity equation, Equation (2) is the momentum equation, and Equations (3) and (4) are the Realizable k-ε equations. The specific equations are as follows:
u i ¯ x i = 0
ρ u j ¯ u i ¯ x j = p ¯ x j + x j μ u i ¯ x j + u j ¯ x i ρ u i u j ¯
ρ u j ¯ k x j = x j μ + μ t σ k k x j + G k + G b ρ ε Y M
ρ u j ¯ ε x j = x j μ + μ t σ ε ε x j + ρ C 1 S ε ρ C 2 ε 2 k + ν ε + C 1 ε ε k C 3 ε G b
where u i ¯ is the average speed of time, m/s; p ¯ is the time averaged pressure, pa; ρ u i u j ¯ is the Reynolds stress term; Gk Turbulent kinetic energy generated by the average velocity gradient; Gk is the turbulent kinetic energy induced by buoyancy; YM is the compressibility impact term; S is the strain rate tensor model of the flow field; μt is turbulent viscosity; ρ is the air density, 1.225 kg/m3.
To simulate the generation and diffusion of high-temperature dust during blast furnace tapping, this study implements gravity effects (set to −9.8 m/s2) and full buoyancy effects to characterize airflow dynamics. Given the significant temperature variations in operational conditions where gas density is strongly temperature-dependent, the Boussinesq assumption is applied to model density–temperature relationships. The energy equations are activated to couple heat transfer processes. Radiative heat exchange utilizes the DO model, while gas-solid two-phase flow simulation employs the Discrete Phase Model (DPM). Discrete numerical methods employ Body Force Weighted (BFW) for pressure terms and second-order wind-informalized (WIF) for other control equations. Pressure-coupled equations are solved using the semi-implicit method (SIMPLE) to ensure stability and accuracy of the simulations.

2.2.2. Gas-Solid Two-Phase Flow Model

This study employs the Euler–Lagrange method to track particle trajectories. The DPM follows this approach, treating fluid as a continuum and simulating particle movement through tracking discrete particles within the flow field [29]. This model is suitable for scenarios with low particulate concentrations, where the volume fraction of particles in blast furnace tapping zones remains below 10%, aligning with DPM’s fundamental assumptions. Additionally, DPM can simulate particulate motion in gaseous media, which is crucial for studying particle dispersion and capture mechanisms within industrial facilities. Therefore, we utilize the DPM model for gas-solid two-phase flow simulation [30]. Notably, since over 50% of unorganized emissions in tapping zones consist of iron oxide, all particulate parameters are set according to iron oxide specifications: density 4580 kg/m3, thermal conductivity 0.55 W/(m·K), and specific heat capacity 710 J/(kg·K).

2.3. Setting of Boundary Conditions

Based on practical conditions, the lower sector window of the tapping area is designated as the air intake, with both air velocity and temperature set according to measured data. The upper skylight is configured as a free outlet. This model simulates the working conditions during iron tapping at Blast Furnace No.2. According to design specifications, the dust removal airflow rate for Blast Furnace No.2 is set at 400,000 m3/h. Fixed walls within the workshop are modeled as Wall elements, with temperature and air velocity at the intake based on actual measurements. Specific boundary conditions are detailed in Table 1, Table 2 and Table 3.
The particle size distribution of particulate matter in the iron ore plant is wide. In order to characterize the overall emission and capture characteristics of particulate matter, Rosin–Rammler distribution in the DPM model was adopted in this paper. The relationship between particle number density distribution and particle size is shown in Equation (5):
Y d = e ( d / d ¯ ) n
where Y d represents particle size distribution function; d is the particle diameter, μm; d ¯ is the median diameter, μm; n is the number of particle size distribution segments. According to the particle size distribution of the iron outlet determined by Wang et al. [18], the corresponding distribution equation was fitted.

2.4. Dust Collector Capture Efficiency

After establishing a stable flow field through computational analysis, the DPM model was employed to track particle trajectories and analyze their final destinations. Three boundary conditions were implemented: reflect, escape, and trap. The dust collector’s outlet adopted the trap condition, enabling precise quantification of both emitted particles from various sources and captured particles. The collection efficiency of the dust collector was calculated using Equation (6):
η = n t r a p n i n j e c t × 100 %
where n inject is the total number of particles emitted from the dust source; n trap is the number of particles captured by the dust collector.

3. Results and Discussion

3.1. Influence of Dust Removal Air Volume

3.1.1. Influence of Air Volume on Velocity Field

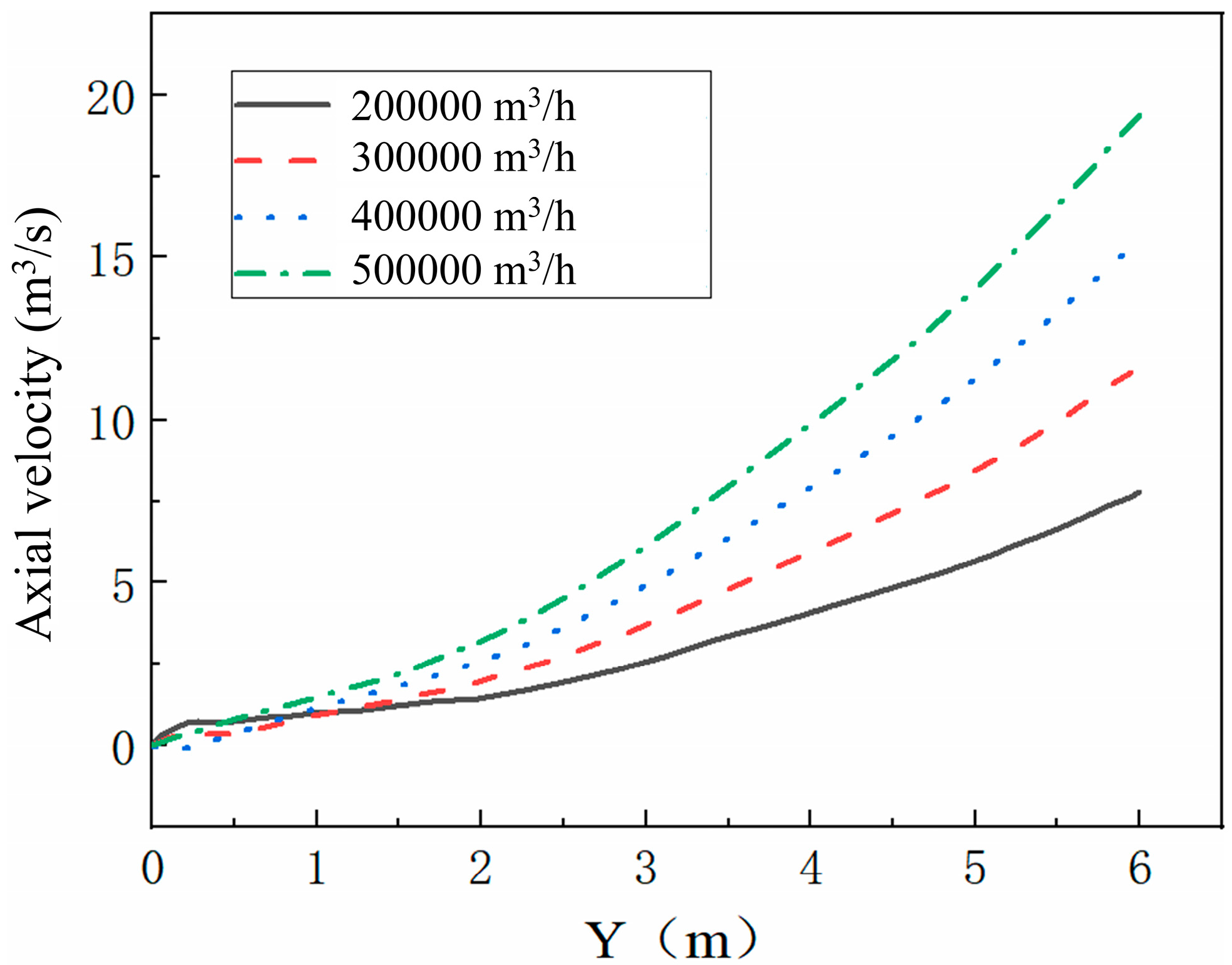
The exhaust volume of the dust collector hood is the most direct factor determining capture efficiency. First, simulations were conducted under no external crosswind conditions with dust removal air volumes of 200,000 m3/h, 300,000 m3/h, 400,000 m3/h, and 500,000 m3/h. Figure 2 shows the axial velocity distribution curves along the central axis below the hood’s exhaust outlet in these four scenarios. The results demonstrate a relatively regular axial velocity pattern below the hood, showing proportional growth with increasing air volume. At 200,000 m3/h and 300,000 m3/h air volumes, the velocity first rises slightly within 0.5 m above ground level before gradually decreasing, then steadily increases proportional thereafter. When the air volume reaches 400,000 m3/h, the axial velocity within 0.3 m of the ground becomes less than 0 m/s, indicating a downward airflow direction toward the ground. These irregular phenomena may result from unstable vortices formed near the ground. Between 0 and 1 m above ground, the impact of air volume on axial velocity remains insignificant. However, within 1–6 m above the hood’s top, the influence of air volume on axial velocity increases significantly.
Figure 3 shows the velocity vector distribution of z = 5 m and y = 2.5 m plane under different dust removal air volume. It can be seen from Figure 3 that the airflow organization and distribution are basically the same under four working conditions, and the air volume only changes the speed, which has a weak influence on the velocity field distribution and flow trend.
In the plane y = 2.5 m (right), airflow patterns flow toward the dust collector hood, with velocity increasing as distance from the hood decreases, reaching maximum velocity directly below the exhaust outlet. Both peak and average velocities in this plane increase with airflow volume, though the velocity field distribution trend remains unaffected by air volume. In the left plane z = 5 m, the hood’s suction creates symmetrical vortices on both sides of the upper space. The mechanism involves downward airflow entering the hood, while radiant heat from the hood and its underlying iron channel warms surrounding air. Thermal pressure-induced buoyancy drives upward airflow, which turns upon encountering walls, forming complete vortices. The unoccupied area above the hood contains no flow field distribution. At 200,000 m3/h airflow rate, the vortex center nears the wall with minimal airflow reaching the hood. As airflow increases, the vortex center gradually shifts toward the center, attracting more airflow to the hood. At 500,000 m3/h, nearly all airflow enters the hood diagonally downward. This phenomenon occurs because increased airflow volume simultaneously expands the required suction capacity and affected spatial range. However, since the hood’s primary objective is capturing pollutants in the iron channel, blindly increasing airflow not only fails to enhance filtration efficiency but also raises clean air consumption and costs. Therefore, rational airflow determination is crucial.
While airflow variations show minimal impact on velocity field distribution patterns, their influence on velocity magnitude is remarkably pronounced. To visually demonstrate airflow’s effect on velocity, we conducted a comparative analysis of velocity simulations across different airflow levels. The maximum velocities at z = 5 m and y = 2.5 m planes were selected for visualization (Figure 4). The results clearly demonstrate a linear positive correlation between airflow volume and maximum velocity measurements within these planes.
Figure 5 displays the velocity cloud distribution at z = 5 m across different airflow conditions. The analysis reveals that airflow variations exert the most significant influence near the dust collector hood, with effects diminishing as distance from the hood increases. When airflow increased from 200,000 m3/h to 500,000 m3/h, the red-marked region (where v > 1.8 m/s) consistently remained confined to the hood and its immediate vicinity. At 500,000 m3/h airflow, the blue-marked area (v < 0.2 m/s) still occupied one-third of the plane, indicating negligible impact when velocities were below this threshold. This demonstrates that the dust collector hood has minimal effect on distant velocity fields, thereby validating the dimensional selection rationale in establishing the local model for the hood.

3.1.2. Influence of Air Volume on Capture Efficiency

To evaluate particulate matter capture efficiency under varying exhaust air volumes for dust collection hoods, a DPM model was employed to track particle trajectories at dust-generating points and analyze their final dispersion patterns. Figure 6 displays particle trajectory diagrams in the main duct under different airflow conditions. The analysis reveals distinct vortex formations beneath the hoods—vortex 1, located farther from the exhaust outlet with an irregular elliptical shape exhibiting reduced centripetal force, and vortex 2, a circular structure below the outlet demonstrating stronger centripetal force and greater stability.
At 200,000 m3/h airflow, only vortex 1 forms at the front of the dust collector hood. Although achieving over 96% particulate capture efficiency, the particle trajectories in the upper-right and lower-left areas of the hood show significant outward expansion. In this unstable state, crosswinds may cause substantial particle escape. At 300,000 m3/h airflow, both vortices 1 and 2 form simultaneously. While minor scattered particle trajectories remain in the upper-right and lower-left areas, their quantity is significantly fewer than at 200,000 m3/h. At 400,000 m3/h airflow, two vortices form similarly to the 300,000 m3/h condition, but vortex 2 becomes larger with broader coverage, and particle trajectories in the upper-right area become more concentrated. At 500,000 m3/h airflow, only vortex 2 forms (vortex 1 gets captured by the exhaust outlet before formation), with all particle trajectories converging along the central axis of the hood, achieving optimal stability.
Table 4 presents the dust collection efficiency of the dust collector hood under varying airflow conditions. The data indicates that while efficiency improves with increased airflow, the improvement rate remains limited. When no crosswind is present, an exhaust velocity of 200,000 m3/h achieves over 95% collection efficiency, meeting dust control requirements. However, particle trajectory analysis in previous studies reveals that except for the 500,000 m3/h condition where particle trajectories show optimal stability, other airflow velocities encounter particulate escape risks when combined with crosswind. Detailed analysis of this phenomenon will be conducted in subsequent sections.
To investigate emission and dispersion characteristics of particles with different sizes, we simulated the capture efficiency of 0.1 μm, 1 μm, 10 μm, 20 μm, 30 μm, 40 μm, and 50 μm particles under a wind volume of 300,000 m3/h. The capture efficiency results are shown in Figure 7. The findings indicate that smaller particles tend to disperse more easily, likely due to enhanced escape under crosswinds. Without crosswinds, all particles smaller than 20 μm achieved a 99% capture rate, while those ≥ 30 μm experienced a significant decline in efficiency. Notably, at 40 μm particle size, particles within vortex 1 were largely uncapturable, and those near vortex 2’s periphery remained difficult to intercept due to low upward velocity. These larger particles may undergo sedimentation and accumulate on the ground surface, as illustrated in Figure 7b.
It should be clarified that “disperse” herein refers to the phenomenon where particles deviate from the main airflow trajectory and distribute more widely in the flow field under the action of turbulent diffusion. For small particles (diameter < 10 μm) with low inertia (Stokes number St < 1), their motion is highly dependent on the continuous air phase due to weak resistance to flow field changes. These particles exhibit strong flow-following properties and are more sensitive to turbulent eddies in the flow field, leading to more significant turbulent diffusion compared to large particles—i.e., they “disperse more” in the flow field. However, this enhanced dispersion does not increase fugitive emission risks: the optimized dust collection hood forms a stable negative pressure gradient and vortex structure, which can fully cover the dispersed small particles and guide them into the capture zone. In contrast, large particles with high inertia are prone to gravitational settling and difficult to be driven by suction airflow, resulting in higher escape probabilities.

3.2. Study on the Influence of Crosswind

In the last section, the crosswind condition without the plant is discussed. In practice, the external air enters through the doors and windows of the plant to form a crosswind, which will interfere with the airflow, reduce the capture efficiency, and cause a large amount of smoke leakage from the opening of the dust removal hood (engineering problem). This section focuses on the influence of different crosswind speeds on dust removal. It should be noted that the crosswind in the simulation was set to enter from the right side based on the measured dominant wind direction at the target blast furnace iron tapping yard in Hubei Province. This setting is adopted to take a typical scenario as an example to investigate the mechanism of a crosswind’s impact on flue gas capture, and does not mean that air can only enter from the right side in practice. In actual engineering, wind direction may fluctuate, leading to air entry from the left side or other directions. However, the core of this study is to explore the intrinsic law of crosswinds interfering with the dust collection process and the regulatory effect of the optimized hood structure.
Field measurements indicate that the average wind speed at the bottom air intake is 0.15–0.85 m/s, with wind speeds reaching up to 1.5 m/s during abnormal weather conditions like rain. To simulate crosswinds, the right side of the model is designated as the air intake. Under a dust removal airflow of 400,000 m3/h, simulations were conducted for crosswinds of 0.6 m/s, 0.9 m/s, 1.2 m/s, and 1.5 m/s, with corresponding capture efficiency calculations. This section focuses on particle motion at the y = 1.8 m position, as illustrated in Figure 8.
Figure 9a shows the velocity field distribution at y = 1.8 m under crosswind speeds of 0.6 m/s, 0.9 m/s, 1.2 m/s, and 1.5 m/s with a dust removal airflow of 400,000 m3/h. Figure 9b presents particle trajectories integrated with each wind speed. Combining these two figures reveals the influence patterns of crosswind on airflow organization and particle capture. At 0.6 m/s crosswind, the exhaust outlet dominates airflow in Area 1 (the platform behind the hood). The airflow at the platform’s center deflects to capture particles, while a backflow from Area 3 (the front of the hood) reaches Areas 1 and 2 (directly below the central exhaust outlet). Particles encountering crosswind and backflow form stable vortices that ascend through suction for capture, achieving nearly 99% efficiency with minimal leakage. This vortex is identified as the key factor enhancing capture efficiency. When increasing crosswind to 0.9 m/s, Area 1’s airflow shifts rightward due to disturbance and deflects via backflow. As the backflow extends to the right side of Area 1, particle trajectories become less stable (some particles escape before capture), reducing capture efficiency to 97.36%. Higher wind speeds and temperatures increase the dispersion of particulate.
When the crosswind speed reached 1.2 m/s, the recirculation in Zone 3 narrowed to only affecting Zones 2 and 3. Some airflow from Zone 1 crossed through the dust collector hood, causing chaotic particle trajectories at the front end of Zone 3 with a capture efficiency of 87.23%. The dispersed particles mainly consisted of distant dust particles at the rear end of the hood (below the air outlet platform) and a small amount of front-end dust. When the crosswind increased to 1.5 m/s, a large vortex formed below the exhaust port but only captured particles from Zone 2 and part of Zone 3. Due to the lack of recirculation coverage in Zone 1, almost all particles were carried by the crosswind to the right side of the building, resulting in a capture efficiency drop to 77.96%. The combined escape of particles from Zones 1 and 3 significantly reduced the overall efficiency. Notably, Zone 2 maintained relatively stable airflow trends across all wind speeds, with left-side incoming air and hood exhaust synergistically converging toward the center (wind speed increased as distance from the center decreased). Only under high wind speeds (1.2–1.5 m/s) was there slight influence from surrounding chaotic airflow.
In addition, the simulation results of this section are summarized in Table 5.

3.3. Optimization and Analysis of Dust Removal from Blast Furnace Tuyere

3.3.1. Optimization Scheme of Dust Removal from Blast Furnace Tuyere

Based on the analysis in Section 3.1 and Section 3.2, both the air volume of the dust collection hood and the crosswind in the plant significantly affect dust capture efficiency. Specifically, crosswinds easily cause flue gas leakage through the side openings of the dust collection hood, while the existing hood structure and air volume regulation lack coordinated design, leading to insufficient capture performance under complex working conditions. To address these issues, this section proposes targeted optimization cases for iron outlet dust removal, focusing on three core improvement directions: adjusting the height of side baffles (to suppress crosswind interference), optimizing the shape and dimensions of the dust collection hood (to expand effective coverage), and installing ejector fans (to enhance local airflow organization).
Each optimization case is designed with clear variable control to isolate the impact of individual improvement measures, and the key parameters of all cases are summarized in Table 6. To clarify the comparison logic of each case group: case 1 and 2 compare the efficiency difference between 0.7 m and 1.4 m side baffles under the condition of a normal dust collector and no ejector fan, aiming to verify the influence of baffle height; cases 2–4 fix the baffle height at 1.4 m and no fan, comparing the efficiency improvement of normal, enlarged, and double-sided 2.5 m wing plate-type hoods to evaluate the effect of shape optimization; cases 2, 5, and 6 take the 1.4 m baffle and normal hood as the benchmark, comparing the efficiency changes of no fan, fan installed behind the hood, and fan installed in front of the hood to determine the optimal fan position; the combined comparison of all cases further verifies the synergistic optimization effect of “side baffle height plus dust collector shape plus ejector fan position”. Subsequent Section 3.3.2, Section 3.3.3 and Section 3.3.4 will conduct detailed numerical simulation analysis on each case, focusing on the influence of different optimization measures on velocity fields, particle trajectories, and capture efficiency, to screen out the optimal dust removal configuration.

3.3.2. Influence of Side Baffle of Dust Removal Hood

The study first simulated the installation of side baffles on a dust collection hood, investigating how their height affects capture efficiency under 400,000 m3/h airflow and 1.5 m/s cross-wind conditions. Based on practical engineering requirements, two configurations were tested: 0.7 m and 1.4 m side baffles. Figure 10 illustrates the schematic of the 1.4 m baffle configuration. Case 1 refers to the 0.7 m baffle setup, while case 2 represents the 1.4 m configuration.
Figure 11a,b show the velocity field distribution of case 1 and case 2 at y = 1.8 m. The figures reveal that as the height of the side baffle increases, the position where airflow from the left direction changes direction in Zone 1 (below the air outlet platform) moves closer to the centerline. Additionally, on the y = 1.8 m plane, with constant dust removal airflow volume, wind speed around the dust collector increases as the baffle height rises. At 0 m baffle height, the maximum wind speed at y = 1.8 m reaches 3.53 m/s. In case 1, adding a 0.7 m baffle increases the maximum wind speed to 4.20 m/s, representing a 20% increase compared to the original condition. In case 6, installing a 1.4 m baffle boosts the maximum wind speed to 6.94 m/s, nearly double the speed without baffles. This significant variation in wind speed occurs because the side baffle reduces the dust collector’s suction range, limiting airflow extraction of clean air within the facility and confining the capture area below the dust collector. The reduced intake surface area under constant airflow volume consequently leads to substantial velocity acceleration.
The addition of a 0.7-m side baffle increased the capture efficiency from 78% to 82%, while raising the baffle height to 1.4 m further boosted it to 87%. This demonstrates that increasing the side baffle height enhances capture efficiency, with greater height yielding more significant improvements in dust removal effectiveness. However, practical engineering requires sufficient working space below the dust collector hood for equipment like concrete spraying machines. In this study, the 1.4-m baffle was installed so that the bottom of the dust collector hood remains 2.1 m above ground level, which cannot be extended further in actual construction. Therefore, we will continue optimizing dust removal performance based on case 2 (side baffle 1.4 m).
Figure 12a,b show the particulate matter trajectories for case 1 and case 2. The addition of a 0.7-m side baffle increased the capture efficiency from 78% to 82%, while raising the baffle height to 1.4 m further boosted it to 87%. This demonstrates that increasing the side baffle height enhances capture efficiency, with greater height yielding more significant improvements in dust removal effectiveness. However, practical engineering requires sufficient working space below the dust collector hood for equipment like concrete spraying machines. In this study, the 1.4-m baffle was installed so that the bottom of the dust collector hood remains 2.1 m above ground level, which cannot be extended further in actual construction. Therefore, we will continue optimizing dust removal performance based on case 2 (side baffle 1.4 m).

3.3.3. Influence of Dust Removal Hood Shape and Size

As demonstrated in the previous study, installing side baffles on dust collection hoods can enhance capture efficiency. However, practical operational constraints impose height limitations on these baffles. When the baffle height reaches 1.4 m (case 2), the capture efficiency drops to merely 87%, falling far short of engineering requirements. This necessitates further optimization based on case 2.
This section focuses on the impact of dust collector hood shape and dimensions on capture efficiency, proposing two optimization schemes with simulation analysis; case 3 is an overall widening scheme (hereinafter referred to as “Large Hood Scheme”), which maintains the hood length and upper air outlet diameter unchanged from case 2 while increasing the width from 5 m to 10 m (Figure 13a); case 4 involves adding side flanges vertically by installing wing plates at the center of the hood (2.5-m single-side length) while keeping the front-end structure unchanged (Figure 13b). Although similar in design concept to case 3, this approach offers greater feasibility for retrofitting existing dust collection systems in practical engineering applications.
With 400,000 m3/h dust removal air volume and 1.5 m/s crosswind as the simulated working condition, the optimization effect of case 3 (large hood scheme) and case 4 (wing plate scheme) on the capture efficiency was mainly analyzed.
Figure 14a,b illustrate the z = 5 m plane velocity distribution for case 3 and case 4. This plane, located at the center of the dust collector hood, visually demonstrates airflow patterns across its cross-section. Overall, both cases show nearly identical velocity distributions at this elevation. The expanded hood design creates an internal buffer zone, allowing significant negative pressure and suction velocity even at positions distant from the exhaust outlet. This configuration minimizes crosswind interference and reduces dust leakage. However, case 3 exhibits a critical flaw: the insufficient slope between the hood and side baffle creates a dead zone on the left side of the hood, preventing smooth airflow entry and passage through this area.
When the dust collector hood was redesigned as a larger enclosure (case 3), the capture efficiency increased from 87% in case 2 to 94%. Figure 15a shows particle trajectories in case 3. In this configuration, while most of the rear smoke particles were carried rightward by crosswinds, the enlarged hood maintained effective containment even during lateral dispersion, ensuring complete capture of these particles. Figure 15b presents case 4’s trajectory data. After adding flanges on both sides of the hood, simulations revealed a capture efficiency of 99%, with particles predominantly concentrated at the central area and exhibiting highly regular movement patterns. The striking difference in particle trajectories between case 3 and case 4, despite both utilizing an expanded hood design, likely stems from variations in velocity field distribution along the y-axis direction.
Figure 16 shows the velocity field distribution of case 3 and case 4 at y = 1.8 m. Analysis reveals that the primary difference between the two cases lies in their modifications: case 4 only added two wings to the central section of the dust collector hood while maintaining its front end unchanged, whereas case 3 expanded the entire hood. Designating these modifications as Area A and Area B, respectively, Figure 16b demonstrates that in case 4, the unobstructed airflow in Area B allows backflow from the front to directly enter the central and rear sections. Below the hood, this backflow interacts with crosswinds, concentrating particulate matter in the central area for efficient capture. In contrast, Figure 16a shows that backflow in case 3’s front section is obstructed by Area B, preventing it from reaching the rear (Figure 16). This obstruction causes crosswind-induced rightward deflection of airflow behind case 3’s hood, resulting in distinct differences in particle trajectories and capture efficiency between the two cases.
Case 3 (enlarged hood) and case 4 (hood with double-sided wing plates) differ fundamentally in airflow obstruction mechanisms and design logic—the former adopts passive coverage expansion, only widening the hood contour to extend capture range without targeted crosswind barriers. Consequently, crosswind penetrates through gaps between side baffles and the enlarged hood edges, causing internal negative pressure distortion, scattered suction intensity, and increased inlet resistance, resulting in limited airflow obstruction and a capture efficiency of 93.82%. In contrast, case 4 implements active airflow regulation via 2.5 m-long wing plates inclined downward at 15°: the “semi-enclosed” structure achieves “physical blocking plus directional guidance”—reducing crosswind speed by 60–70% while guiding residual airflow into the negative pressure zone, extending effective suction coverage and stabilizing the internal vortex field. This active mechanism suppresses dust leakage and avoids energy waste, leading to a capture efficiency of 99.14% (5.32 percentage points higher than case 3). The contrast highlights that effective iron outlet dust removal requires not only sufficient coverage but also targeted flow field regulation, with the wing plate’s dual mechanism offering a more efficient solution for enhancing crosswind resistance and capture performance.

3.3.4. Influence of Ejector Fan

The analysis reveals that the most vulnerable areas for dust dispersion in the dust collector hood are its front and rear sections, located farther from the hood opening. As demonstrated in Section 3.2, vortex formation significantly enhances dust capture efficiency. To optimize performance, we propose installing a suction fan at either the front or rear section of the hood. Analysis shows this configuration improves capture efficiency under conditions of 400,000 m3/h dust removal airflow with 1.5 m/s crosswind velocity. The added fan serves three key purposes: suppressing dust leakage, accelerating vortex formation, and positioning the vortex core closer to the central zone.
Both case 5 and case 6 were developed based on case 2 by incorporating ejector fans. In case 5, the fan is positioned at the front end of the hood, angled inward at 15°, while in case 6, it is placed at the rear end with an inward angle of 30°. The fan positions and angles were determined according to particle concentration and velocity field analysis results presented earlier. All fans feature 0.5 m × 0.5 m outlet dimensions with an exit wind speed of 5 m/s. The models for case 5 and case 6 are illustrated in Figure 17.
Figure 18a shows the plane velocity field distribution at y = 1.8 m in case 5. The installation of a rear suction fan created a distinct airflow boundary line behind the dust collector hood. Analysis of particle trajectories (Figure 18b) revealed that the fan’s airflow effectively prevented particle leakage and facilitated vortex formation. Case 5 achieved an enhanced capture efficiency from 87% to 95% compared to case 2, demonstrating the feasibility of adding a suction fan as a post-hood optimization measure.
For case 6, the front fan partially promotes vortex formation at the hood’s front end, confining local dust particles, as shown in Figure 19. However, its airflow disrupts stable vortex formation at the rear, leading to increased dust escape beyond the capture boundary. The capture efficiency only reached 85.26%, a 1.57% decrease compared to case 2. Thus, front-end ejector fan installation is deemed unfeasible due to its negative impact on overall efficiency. This conclusion is irrelevant to injectors. It is applicable to different injectors under the current operating conditions.

3.4. Optimization Analysis of Dust Removal Air Volume

As the analysis demonstrates, installing side baffles on dust collection hoods can significantly enhance capture efficiency. However, engineering constraints limit the height of these baffles. Building upon the implementation of 1.4-m side baffles, this study further investigates the impact of hood configuration and ejector fans on performance. Results indicate that (1) when expanding the hood width to 10 m, the capture rate reaches 94% (case 3); (2) adding flanges on both sides achieves 99% efficiency (case 4); (3) installing an ejector fan behind the hood improves efficiency to 95% (case 5). While case 5 shows enhanced efficiency, its placement challenges in blast furnace iron tapping areas—where complex environments and high temperatures near blast furnaces make practical installation difficult—complicate implementation. Compared to cases 3 and 4, case 4 demonstrates higher applicability for existing projects with superior 99% capture rates. Therefore, flange installations on both sides of the hood are selected as the optimized solution for blast furnace iron tapping area dust control.
This section optimizes dust removal airflow based on case 3 (with added flanges), achieving energy conservation and emission reduction while maintaining dust control efficiency. Two crosswind conditions were set in this study: 1.5 m/s (extreme weather, most unfavorable scenario) and 0.9 m/s (measured crosswind speed under normal weather conditions at the iron tapping yard of a blast furnace in Hubei Province). Corresponding dust removal air volume gradients were specifically selected: 400,000, 350,000, and 300,000 m3/h for 1.5 m/s crosswind, and 300,000, 250,000, and 200,000 m3/h for 0.9 m/s crosswind. The simulation results are presented in Table 7. The relationship between capture efficiency and air volume is shown in Figure 20.
As shown in the Table 7, when the crosswind speed is 1.5 m/s, the air volume decreases from 400,000 m3/h to 350,000 m3/h while maintaining a capture efficiency of approximately 99%. When reduced to 300,000 m3/h, the efficiency drops to 92%. Under a crosswind speed of 0.9 m/s, the capture efficiency maintains 99% at 300,000 m3/h, decreases to 95% at 250,000 m3/h, and further drops to 89% at 200,000 m3/h. Practically, the 95% efficiency at 250,000 m3/h still meets the ultra-low emission standard (particulate matter ≤ 10 mg/m3), offering significant energy-saving potential compared to the 300,000 m3/h configuration, while the 89% efficiency at 200,000 m3/h fails to satisfy emission requirements and is thus not recommended for engineering applications.

4. Conclusions

This study focuses on the efficient capture of high-temperature dust at blast furnace iron tapping ports, establishing a localized numerical model of the port and its surrounding areas. It analyzes the effects of dust removal air volume on the velocity field and capture efficiency, clarifies the crosswind interference mechanism, and proposes targeted optimization schemes for dust collection hoods (adding baffles, adjusting hood dimensions, and installing ejector fans) to identify the optimal configuration. The key findings are summarized as follows:
Crosswind is the primary factor interfering with dust emission at iron tapping ports. Structural optimization of the dust collection hood effectively mitigates this interference. The optimal scheme of “double-sided 2.5 m wing plates plus side baffles” achieves a capture efficiency of 99%, which significantly blocks flue gas dispersion induced by crosswind.
Particle size and baseline air volume jointly regulate capture efficiency. Particles ≥ 30 μm are prone to gravitational settling, leading to reduced efficiency; while 200,000 m3/h air volume meets basic capture requirements without crosswind, air volumes below this threshold increase fugitive emission risks under crosswind conditions.
Coordinated optimization of the optimal structural configuration (double-sided wing plates plus side baffles) and air volume balances high-efficiency capture and energy conservation. A total of 350,000 m3/h maintains 99% efficiency under 1.5 m/s crosswind, and 250,000 m3/h achieves 95% efficiency under 0.9 m/s crosswind, realizing significant energy savings compared to the initial 400,000 m3/h.
This study is limited to numerical simulations without on-site experimental validation, and the model does not fully consider the dynamic characteristics of iron tapping processes (e.g., fluctuating molten iron flow). Future work will conduct field tests to verify the optimization scheme, refine the model by incorporating dynamic process parameters, and explore the adaptability of the proposed configuration to different blast furnace capacities for broader engineering applications.

Author Contributions

H.W. (Hui Wang): conceptualization, methodology, writing—original draft, supervision, project administration, funding acquisition. Y.D.: software, data curation, formal analysis, writing—original draft. W.L.: validation, formal analysis, writing—review and editing. H.W. (Haitao Wang): validation, writing—review and editing. X.Z.: methodology, writing—review and editing. All authors have read and agreed to the published version of the manuscript.

Funding

This work was supported by the Scientific Specified Plan of China Minmetals (2022ZXA04).

Institutional Review Board Statement

Not applicable.

Informed Consent Statement

Not applicable.

Data Availability Statement

The data presented in this study are available on request from the corresponding author. The data are not publicly available due to privacy.

Conflicts of Interest

The Central Research Institute of Building and Construction Co., Ltd., MCC Group, Energy Conservation and Environment Protection Co., Ltd., MCC Group and State Key Laboratory of Iron and Steel Industry Environmental Protection had no role in the design of the study; in the collection, analyses, or interpretation of data; in writing of the manuscript, or in the decision to publish results.

References

  1. Qian, J.S. Review on World Steel Industry Development in Contemporary and “Chinese Approach” Proposal. Iron Steel 2021, 56, 1–11. (In Chinese) [Google Scholar]
  2. Hasanbeigi, A.; Khanna, N.; Price, L. Air Pollutant Emissions Projections for the Cement and Steel Industry in China and the Impact of Emissions Control Technologies; LBL Publications: Berkeley, CA, USA, 2017. [Google Scholar]
  3. Usamentiaga, R.; Molleda, J.; Garcia, D.F.; Granda, J.C.; Rendueles, J.L. Temperature measurement of molten pig iron with slag characterization and detection using infrared computer vision. IEEE Trans. Instrum. Meas. 2011, 61, 1149–1159. [Google Scholar] [CrossRef]
  4. Deng, G.X.; Zhang, D.C.; Zou, S.H. Numerical Simulation Experimental and Research of Natural Ventilation in Heat Workshop. Build. Energy Environ. 2004, 1, 70–73. [Google Scholar]
  5. Zhang, H.C. Technical Summary of Dust Removal for Shougang Blast Furnace Casthouse. China Metall. 2005, 12–16, 20. [Google Scholar]
  6. Wang, H.; Zhang, P.; Zhu, F.Q.; Zhuang, J. Simulation Study on Diffusion and Collection Characteristics of High Temperature Smoke and Dust in Blast Furnace Cast House. Environ. Eng. 2020, 38, 123–129. (In Chinese) [Google Scholar]
  7. Guo, X.; Wu, Z.H. Discussion on Dust Collection Mode of Tapping Hole of Blast Furnace. Tianjin Metall. 2020, 226, 50–53. (In Chinese) [Google Scholar]
  8. Tian, Z.W. BF Casthouse Dedusting Intelligent Control Scheme; Chongqing University: Chongqing, China, 2011. (In Chinese) [Google Scholar]
  9. Gregurek, D.; Wenzl, C.; Unterreiter, G.; Vukovic, G.; Marschall, H.U. Improving Tapping Experience—And Why to Choose a Comprehensive Approach. JOM 2022, 74, 3999–4008. [Google Scholar] [CrossRef]
  10. Myklebust, H.; Aarhaug, T.A.; Tranell, G. Use of a Distributed Micro-sensor System for Monitoring the Indoor Particulate Matter Concentration in the Atmosphere of Ferroalloy Production Plants. JOM 2022, 74, 4787–4797. [Google Scholar] [CrossRef]
  11. Lee, Y.Y.; Yuan, C.S.; Yen, P.H.; Mutuku, J.K.; Huang, C.-E.; Wu, C.-C.; Huang, P.-J. Suppression Efficiency for Dust from an Iron Ore Pile Using a Conventional Sprinkler and a Water Mist Generator. Aerosol Air Qual. Res. 2022, 22, 210320. [Google Scholar] [CrossRef]
  12. Ju, Q.Z.; Wang, C. BF Environmental Protection Revamping Practice in Baosteel. Ironmaking 2019, 38, 11–15. (In Chinese) [Google Scholar]
  13. Zhao, L.N. The Discussion of trapping mode of smoke and dust of cast house. In Proceedings of the 2011 Fujian HVAC Refrigeration Academic Annual Conference, Nanjing, China, 23–26 October 2011; Fujian Jindi Group: Quanzhou, China, 2011; pp. 144–147. (In Chinese). [Google Scholar]
  14. Lai, J.T. Study on Local Exhaust Flow Field Characteristics in Industrial Factory Building and Control Strategy of Escaped Dust. Master’s Thesis, Xi’an University of Architecture and Technology, Xi’an, China, 2013. (In Chinese). [Google Scholar]
  15. Liu, Y. The Efficient Dust Capture Technology Simulation Research of Blast Furnace Iron Field. Master’s Thesis, Huazhong University of Science and Technology, Wuhan, China, 2016. (In Chinese). [Google Scholar]
  16. Huang, Y.; Gui, X.Y.; Meng, X.Y.; Zhang, Y.; Xu, Y.L. Research on stressed analysis and moving trace on dust particles in air flow of screening shop. Coal Eng. 2008, 354, 88–90. [Google Scholar]
  17. Wang, Y.; Huang, Y.Q.; Yang, Y.; Zhang, H.Y. Flow and control method of high-temperature dusty airflow in large industrial building. Chin. Sci. Bull. 2015, 60, 1690–1697. [Google Scholar]
  18. Wang, H.; Wang, T.; Liu, L.; Long, Z.; Zhang, P. Numerical Evaluation of the Performances of the Ventilation System in a Blast Furnace Casthouse. Environ. Sci. Pollut. Res. 2021, 28, 50668–50682. [Google Scholar] [CrossRef]
  19. Logachev, K.I.; Ziganshin, A.M.; Averkova, O.A. On the resistance of a round exhaust hood, shaped by outlines of the vortex zones occurring at its inlet. Build. Environ. 2019, 151, 338–347. [Google Scholar] [CrossRef]
  20. Logachev, K.I.; Ziganshin, A.M.; Popov, E.N.; Averkova, O.; Kryukova, O.; Gol’TSov, A. Experiment determining pressure loss reduction using a shaped round exhaust hood. Build. Environ. 2021, 190, 107572. [Google Scholar] [CrossRef]
  21. Logachev, K.I.; Popov, E.N.; Kozlov, T.A.; Ziganshin, A.; Averkova, O.; Tiron, O. Improved aerodynamic performance of the exhaust hood with triple-faced flange. J. Build. Eng. 2024, 91, 109664. [Google Scholar] [CrossRef]
  22. Huang, Y.; Guo, S.; Gao, H.; Wang, Y.; Li, W.; Zhang, Y.; Wang, Z. Flow-field characteristics and ventilation performance of the high-temperature buoyant jet controlled by spray-local exhaust ventilation. Build. Environ. 2022, 225, 109644. [Google Scholar] [CrossRef]
  23. Huang, Y.; Wang, W.; Lu, K.; Wang, Y.; Jiang, C.; Rong, J.; Yang, X. Flow-field evolution and vortex structure characteristics of a high-temperature buoyant jet. Build. Environ. 2021, 187, 107407. [Google Scholar] [CrossRef]
  24. Huang, Y.; Zhang, Y.; Guo, S.; Wang, Z.; Zhang, L.; Wang, Z. Spray field characteristics and the effect of spray-local exhaust ventilation on the control of high-temperature buoyant jets. Energy Built. Environ. 2024; in press. [Google Scholar]
  25. Sørensen, L. An Introduction to Computational Fluid Dynamics: The Finite Volume Method; Pearson: London, UK, 2007; Volume 20, p. 400. [Google Scholar]
  26. Wissink, J.G. DNS of Separating, Low Reynolds Number Flow in a Turbine Cascade with Incoming Wakes. Int. J. Heat Fluid Flow 2003, 24, 626–635. [Google Scholar] [CrossRef]
  27. Michelassi, V.; Wissink, J.G.; Rodi, W. Direct Numerical Simulation, Large Eddy Simulation and Unsteady Reynolds-averaged Navier–Stokes Simulations of Periodic Unsteady Flow in a Low-pressure Turbine Cascade: A Comparison. Proc. Inst. Mech. Eng. Part A J. Power Energy 2003, 217, 403–411. [Google Scholar] [CrossRef]
  28. Khalaji, M.N.; Koca, A.; Kotcioğlu, İ. Investigation of numerical analysis velocity contours k-ε model of RNG, standard and realizable turbulence for different geometries. Int. J. Innov. Res. Rev. 2019, 3, 29–34. [Google Scholar]
  29. Liu, P.; Lin, H.; Chou, J. Evaluation of Buoyancy-driven Ventilation in Atrium Buildings Using Computational Fluid Dynamics and Reduced-scale Air Model. Build. Environ. 2009, 44, 1827–1836. [Google Scholar] [CrossRef]
  30. Tilley, N.; Rauwoens, P.; Fauconnier, D.; Merci, B. On the Extrapolation of CFD Results for Smoke and Heat Control in Reduced-scale Set-ups to Full Scale: Atrium Configuration. Fire Saf. J. 2013, 59, 11–20. [Google Scholar] [CrossRef]
Figure 1. Structure and detailed dimensions of the local model. (a) Ortho-three axonometric view; (b) vertical view; (c) front elevation.
Figure 1. Structure and detailed dimensions of the local model. (a) Ortho-three axonometric view; (b) vertical view; (c) front elevation.
Atmosphere 17 00064 g001
Figure 2. Axial velocity distribution below the air intake of dust removal hood under different air volume.
Figure 2. Axial velocity distribution below the air intake of dust removal hood under different air volume.
Atmosphere 17 00064 g002
Figure 3. Plane velocity vector diagram with z = 5 m and y = 2.5 m at different air volumes. (a) Air volume 200,000 m3/h, z = 5 m plane; (b) air volume 200,000 m3/h, y = 2.5 m plane; (c) air volume 300,000 m3/h, z = 5 m plane; (d) air volume 300,000 m3/h, y = 2.5 m plane; (e) air volume 400,000 m3/h, z = 5 m plane; (f) air volume 400,000 m3/h, y = 2.5 m plane; (g) air volume 500,000 m3/h, z = 5 m plane; (h) air volume 500,000 m3/h, y = 2.5 m plane; (i) cross-sectional schematic diagram.
Figure 3. Plane velocity vector diagram with z = 5 m and y = 2.5 m at different air volumes. (a) Air volume 200,000 m3/h, z = 5 m plane; (b) air volume 200,000 m3/h, y = 2.5 m plane; (c) air volume 300,000 m3/h, z = 5 m plane; (d) air volume 300,000 m3/h, y = 2.5 m plane; (e) air volume 400,000 m3/h, z = 5 m plane; (f) air volume 400,000 m3/h, y = 2.5 m plane; (g) air volume 500,000 m3/h, z = 5 m plane; (h) air volume 500,000 m3/h, y = 2.5 m plane; (i) cross-sectional schematic diagram.
Atmosphere 17 00064 g003aAtmosphere 17 00064 g003b
Figure 4. Maximum velocity on the plane of z = 5 m and y = 2.5 m under different air volume.
Figure 4. Maximum velocity on the plane of z = 5 m and y = 2.5 m under different air volume.
Atmosphere 17 00064 g004
Figure 5. Z = 5 plane velocity cloud diagram under different air volume. (a) Air volume 200,000 m3/h; (b) air volume 300,000 m3/h; (c) air volume 400,000 m3/h; (d) air volume 500,000 m3/h.
Figure 5. Z = 5 plane velocity cloud diagram under different air volume. (a) Air volume 200,000 m3/h; (b) air volume 300,000 m3/h; (c) air volume 400,000 m3/h; (d) air volume 500,000 m3/h.
Atmosphere 17 00064 g005
Figure 6. Particle trajectory under different air volumes. (a) Air volume 200,000 m3/h; (b) air volume 300,000 m3/h; (c) air volume 400,000 m3/h; (d) air volume 500,000 m3/h.
Figure 6. Particle trajectory under different air volumes. (a) Air volume 200,000 m3/h; (b) air volume 300,000 m3/h; (c) air volume 400,000 m3/h; (d) air volume 500,000 m3/h.
Atmosphere 17 00064 g006
Figure 7. Particle size capture efficiency at 300,000 m3/h dust removal air volume. (a) Capture efficiency of different particle sizes; (b) trajectory of 40 μm particulate matter.
Figure 7. Particle size capture efficiency at 300,000 m3/h dust removal air volume. (a) Capture efficiency of different particle sizes; (b) trajectory of 40 μm particulate matter.
Atmosphere 17 00064 g007
Figure 8. Schematic diagram of crosswind and target area. (a) Location of the side air inlet; (b) the planar spatial distribution of y = 1.8 m.
Figure 8. Schematic diagram of crosswind and target area. (a) Location of the side air inlet; (b) the planar spatial distribution of y = 1.8 m.
Atmosphere 17 00064 g008
Figure 9. Particle distribution under different crosswinds. (a) Distribution of plane velocity field at y = 1.8 m under different crosswinds; (b) particle trajectory under different crosswind speeds.
Figure 9. Particle distribution under different crosswinds. (a) Distribution of plane velocity field at y = 1.8 m under different crosswinds; (b) particle trajectory under different crosswind speeds.
Atmosphere 17 00064 g009aAtmosphere 17 00064 g009b
Figure 10. Schematic diagram of adding 1.4 m side baffle.
Figure 10. Schematic diagram of adding 1.4 m side baffle.
Atmosphere 17 00064 g010
Figure 11. Velocity field distribution in plane y = 1.8 m. (a) Case 1; (b) case 2.
Figure 11. Velocity field distribution in plane y = 1.8 m. (a) Case 1; (b) case 2.
Atmosphere 17 00064 g011
Figure 12. Particle trajectory under case 1 and case 2. (a) Case 1; (b) case 2.
Figure 12. Particle trajectory under case 1 and case 2. (a) Case 1; (b) case 2.
Atmosphere 17 00064 g012
Figure 13. Case 3 and case 4 model diagram. (a) Case 3 (the overcoat); (b) case 4 (with flanges on both sides).
Figure 13. Case 3 and case 4 model diagram. (a) Case 3 (the overcoat); (b) case 4 (with flanges on both sides).
Atmosphere 17 00064 g013
Figure 14. Velocity field distribution at z = 5 m: (a) case 3, (b) case 4.
Figure 14. Velocity field distribution at z = 5 m: (a) case 3, (b) case 4.
Atmosphere 17 00064 g014aAtmosphere 17 00064 g014b
Figure 15. Particle trajectory. (a) Case 3; (b) case 4.
Figure 15. Particle trajectory. (a) Case 3; (b) case 4.
Atmosphere 17 00064 g015
Figure 16. Velocity field distribution in plane y = 1.8 m. (a) Case 3; (b) case 4.
Figure 16. Velocity field distribution in plane y = 1.8 m. (a) Case 3; (b) case 4.
Atmosphere 17 00064 g016
Figure 17. Case 5 and case 6 model diagram. (a) Case 5; (b) case 6.
Figure 17. Case 5 and case 6 model diagram. (a) Case 5; (b) case 6.
Atmosphere 17 00064 g017
Figure 18. Particle distribution under case 5 condition: (a) velocity field at y = 1.8 m; (b) particle trajectory.
Figure 18. Particle distribution under case 5 condition: (a) velocity field at y = 1.8 m; (b) particle trajectory.
Atmosphere 17 00064 g018
Figure 19. Particle distribution under case 6 condition: (a) velocity field at y = 1.8 m; (b) particle trajectory.
Figure 19. Particle distribution under case 6 condition: (a) velocity field at y = 1.8 m; (b) particle trajectory.
Atmosphere 17 00064 g019
Figure 20. The relationship between capture efficiency and air volume.
Figure 20. The relationship between capture efficiency and air volume.
Atmosphere 17 00064 g020
Table 1. Boundary conditions.
Table 1. Boundary conditions.
Position Boundary Condition Temperature (°C)Wind Speed (m/s)DMP-Injection
Top glazingOutflowEscape
Lower sector windowInletSet according to the Table 2Set according to the Table 2Escape
Iron water ditchWallEjection: 1100 °C, molten iron slides along the flow direction 0.03 m/sReflect
Residual iron: 750 °C
adiabat
Other wallsSet according to the Table 3
Top of dust collectorInlet55Set according to air volumeTrap
Table 2. Wind speed and temperature of the bottom air inlet door and window.
Table 2. Wind speed and temperature of the bottom air inlet door and window.
North Side GateNorth WindowWest WindowEastern Window
Wind speed (m/s)0.80.850.150.55
Temperature (°C)30313130
Table 3. Temperature of each wall in the factory room.
Table 3. Temperature of each wall in the factory room.
PositionTemperature (°C)Position Temperature (°C)
High furnace walls40Dust removal cover55
Plant wall35Dust removal pipe40
Top of plant40Iron gutter cover110
Iron water ditch750~1100Slag dip cover170
Table 4. Dust removal efficiency of dust collector under different air volume.
Table 4. Dust removal efficiency of dust collector under different air volume.
Air volume (10,000 m3/h)20304050
Collection efficiency (%)96.8798.0099.0199.67
Table 5. Influence of crosswind on capture efficiency.
Table 5. Influence of crosswind on capture efficiency.
Dust Removal Air Volume (10,000 m3/h)Side Wind (m/s)Collection Efficiency (%)
400.698.83
400.996.37
401.287.23
401.577.96
Table 6. Optimization conditions of dust removal and its capture efficiency.
Table 6. Optimization conditions of dust removal and its capture efficiency.
Side Panel Height (m)Dust Collector ShapeLocation of the Ejector FanCollection Efficiency (%)
Case 10.7normalnot have 81.86
Case 21.4normalnot have 86.83
Case 31.4big gownnot have 93.82
Case 41.4wing plates are provided on both sidesnot have 99.14
Case 51.4normal behind95.39
Case 61.4normal front 85.26
Table 7. Optimization simulation results of dust removal air volume.
Table 7. Optimization simulation results of dust removal air volume.
Side Wind (m/s)Dust Removal Air Volume (104 m3/h)Collection Efficiency (%)
1.54099.14
1.53598.86
1.53091.79
0.93099.02
0.92594.83
0.92089.21
Disclaimer/Publisher’s Note: The statements, opinions and data contained in all publications are solely those of the individual author(s) and contributor(s) and not of MDPI and/or the editor(s). MDPI and/or the editor(s) disclaim responsibility for any injury to people or property resulting from any ideas, methods, instructions or products referred to in the content.

Share and Cite

MDPI and ACS Style

Wang, H.; Dong, Y.; Li, W.; Wang, H.; Zhu, X. Optimized Design and Numerical Analysis of Dust Removal in Blast Furnace Nozzle Based on Air Volume-Structure Coordinated Control. Atmosphere 2026, 17, 64. https://doi.org/10.3390/atmos17010064

AMA Style

Wang H, Dong Y, Li W, Wang H, Zhu X. Optimized Design and Numerical Analysis of Dust Removal in Blast Furnace Nozzle Based on Air Volume-Structure Coordinated Control. Atmosphere. 2026; 17(1):64. https://doi.org/10.3390/atmos17010064

Chicago/Turabian Style

Wang, Hui, Yuan Dong, Wen Li, Haitao Wang, and Xiaohua Zhu. 2026. "Optimized Design and Numerical Analysis of Dust Removal in Blast Furnace Nozzle Based on Air Volume-Structure Coordinated Control" Atmosphere 17, no. 1: 64. https://doi.org/10.3390/atmos17010064

APA Style

Wang, H., Dong, Y., Li, W., Wang, H., & Zhu, X. (2026). Optimized Design and Numerical Analysis of Dust Removal in Blast Furnace Nozzle Based on Air Volume-Structure Coordinated Control. Atmosphere, 17(1), 64. https://doi.org/10.3390/atmos17010064

Note that from the first issue of 2016, this journal uses article numbers instead of page numbers. See further details here.

Article Metrics

Back to TopTop